J.Cent.South Univ.(2025) 32: 1008-1023
Graphic abstract:
1 Introduction
With the development of the high-end equipment manufacturing field, the requirements for high-performance, high-reliability, and high-precision parts are becoming increasingly stringent [1]. Most of these parts are usually characterized by thin-walled, irregular section, extreme combination of large and small sizes. Residual stresses are inevitably generated due to the presence of violent uneven deformation during the formation [2], leading to significant effects on the dimensional stability [3], strength, and fatigue life of the parts [4]. Therefore, the study of residual stress relief is crucial for high performance forming of complex thin-walled components.
In view of this, many new and unique relieving technologies (such as magnetic-vibration stress relief [5], thermal-vibratory stress relief [6], electromagnetic coupling treatmenton [7], vibration stress relief [8]) have been developed by scholars. Among them, vibration stress relief (VSR) [9] is widely used due to its significant advantages such as low energy consumption, short processing cycle, minor material limitation, and environmental friendliness [10]. However, VSR typically achieves relieved residual stress by applying low-frequency, high-amplitude vibrations to the parts through a motor-rotating eccentric mechanism. The high amplitude vibrations can lead to deformations of the thin-walled parts, which is not suitable for the release of residual stresses in complex thin-walled parts with high precision. SHALVANDI et al [11] compared the effects of thermal stress relief (TSR) and ultrasonic vibration stress relief (UVSR) on residual stress release in 316 stainless steel, which showed that the stress release by the UVSR is comparable to the TSR. Therefore, the relief of residual stresses by introducing ultrasonic vibration has received wide attention from scholars.
Ultrasonic vibration technology can be classified into three types based on the timing and method of applying the ultrasonic vibration. The first type is the application of ultrasonic vibration excitation to the surface of the part during machining. KHAJEHZADEH et al [12] found that ultrasonic-assisted turning can significantly reduce residual stresses compared to conventional turning. PANG et al [13] introduced ultrasonic vibration in the rolling process of Ti6Al4V alloy, which caused compressive stress on the surface of the alloy, thus inhibiting the fatigue crack propagation. The second type is the application of ultrasonic vibration excitation to the surface of the part after machining. SAMIGULLINA et al [14] and ZHILYAEV et al [15] carried out a study on the structure evolution in nickel and found that ultrasonic vibration induces a structure relaxation phenomenon in severely deformed material. HAN et al [16] showed that ultrasonic impact vibration can release the tensile residual stress and thus improve the joint fatigue strength by studying doubly-welded rib-to-deck joints. The investigation of ZOHREVAND et al [17, 18] on ultrasonic vibration of deformed stainless steel confirmed that ultrasonic vibration can effectively reduce the internal stresses and pointed out that it is due to the generation and absorption of dislocations at grain boundaries induced by the higher oscillatory stresses. The third type is a simple harmonic vibration of the part at its natural frequency after machining. ZHANG et al [19] excited the aluminum alloy plate under the natural frequency to carry out ultrasonic vibration, which resulted in a 53% release of average weld residual stresses in the aluminum alloy.
However, the studies of UVSR on the distribution and release of residual stresses in thin-walled members are relatively limited, and the stress release mechanism is not yet clear due to the complexity of the coupled ultrasound vibration. In particular, most of the structures are in load holding state during service, UVSR has conducted relatively few studies on load-holding structures. In addition, there has also been little study on the effect of ultrasound vibrations on the distribution and release of residual stresses in thin-walled components from the perspective of different vibration types. Therefore, further numerical simulations and experimental studies are necessary to facilitate the generalization and application of UVSR.
In this paper, four ultrasonic vibration modes are designed based on notched specimens to analyze the effect of ultrasonic vibration modes on the mechanical properties and residual stress relaxation of 6061-T6 aluminum alloy, and to compare the advantages and limitations of different ultrasonic vibration modes. A numerical prediction model for the relaxation of residual stresses in ultrasonic vibration was developed by coupling kinematics and elastic-plastic mechanics. The effects of different geometric and ultrasonic parameters on the release of residual stresses were studied by the orthogonal experiment method. The stress relief mechanism of UVSR was summarized.
2 Experimental
2.1 Sample preparation
In this study, UVSR experiments were conducted on the notched specimens of thin plates. The notched tensile specimen was designed based on modal analysis to obtain a uniform vibration shape of the specimen, as shown in Figure 1 (RD and TD are the rolling direction and transverse direction, respectively). The experimental specimens were made from a 6061-T6 aluminum alloy sheet with a thickness of 1 mm cut by wire electrical discharge machining. The chemical composition of the 6061-T6 aluminum alloy is listed in Table 1.
_Xml/alternativeImage/D0C3512E-1F4E-45d9-AC49-120D3942D16E-F002.jpg)
| Si | Fe | Cu | Mn | Mg | Cr | Zn | Ti | Al |
|---|---|---|---|---|---|---|---|---|
| 0.53 | 0.26 | 0.22 | 0.04 | 1.00 | 0.27 | 0.12 | 0.05 | Bal. |
2.2 UVSR experiment
In this study, the modes of UVSR shown in Figure 2 were designed as: 1) the ultrasonic vibration was applied to the specimen while it was being stretched (TM1); 2) The specimen is unloaded after tensile deformation followed by the application of ultrasonic vibration (TM2); 3) The specimen after tensile deformation is treated with its natural ultrasonic frequency vibration pattern (designed as a bending vibration shape in this study, TM3); 4) The specimen is not unloaded after tensile deformation, and then ultrasonic vibration is applied (TM4). TM0 is the comparison operating condition without UVSR.
_Xml/alternativeImage/D0C3512E-1F4E-45d9-AC49-120D3942D16E-F003.jpg)
The experimental platform of the UVSR was built based on a universal testing machine (UTM), as shown in Figure 3. The UTM controls the tensile movement of the specimen in the RD direction and stretches the specimen to 50% of the fracture displacement at a constant speed of 0.25 mm/min. Then, unloading is performed and residual stresses are generated in the specimen due to uneven plastic deformation. The ultrasonic vibrator is set perpendicular to the specimen surface by a stationary frame, which controls the linear excitation motion in the normal direction of the specimen, thus realizing the modes of TM1, TM2, and TM4. In addition, the elastic device is set symmetrically on both sides to improve the coupling between the vibrator and the specimen, which ensures the effective transmission of the ultrasonic energy field. The TM3 mode is realized by connecting the specimen clamping position to the horn.
_Xml/alternativeImage/D0C3512E-1F4E-45d9-AC49-120D3942D16E-F004.jpg)
Ultrasound vibration with different energy densities can be realized by changing the output power of the ultrasound generator. The amplitudes of the vibrators at different powers were measured using a SOPTOPLV-S01 series laser vibrometer. The ultrasonic energy density _Xml/alternativeImage/D0C3512E-1F4E-45d9-AC49-120D3942D16E-M001.jpg)
_Xml/alternativeImage/D0C3512E-1F4E-45d9-AC49-120D3942D16E-M002.jpg)
where _Xml/alternativeImage/D0C3512E-1F4E-45d9-AC49-120D3942D16E-M003.jpg)
_Xml/alternativeImage/D0C3512E-1F4E-45d9-AC49-120D3942D16E-M004.jpg)
_Xml/alternativeImage/D0C3512E-1F4E-45d9-AC49-120D3942D16E-M005.jpg)
_Xml/alternativeImage/D0C3512E-1F4E-45d9-AC49-120D3942D16E-M006.jpg)
| Power/W | Frequency/kHz | Amplitude/μm | Acoustic energy density/(J·m-3) |
|---|---|---|---|
| 0 | 0 | 0 | 0 |
| 600 | 19.67 | 8.29 | 8273.93 |
| 1200 | 19.67 | 10.16 | 12427.68 |
| 1800 | 19.67 | 11.96 | 17221.27 |
| 3000 | 19.67 | 15.46 | 28775.42 |
Residual stresses were measured using X-ray diffraction [21, 22]. The measurement was performed by the Rigaku AutoMATE II type X-ray stress gauge (Cr Target). The voltage and current are 40 kV and 40 mA, respectively. For the 6061-T6 aluminum alloy, (331) is used as the crystal face, and the diffraction angle varies from 128° to 149° at a scanning width of 0.08°.
3 Finite element modeling
It is impractical to generate comprehensive data through experiments due to the requirement for expensive and unique facilities [23] and the limitations in measurement [24]. With the development of finite element software, it has become a mainstream trend to predict various types of residual stress problems through numerical simulations. In this section, the UVSR simulation analysis is performed using the software ABAQUS to predict the distribution and release of residual stresses under different ultrasonic vibration parameter.
3.1 Modal analysis modeling
The structure and dimensions of the ultrasonic vibrator and specimen were optimally designed based on the modal analysis of ABAQUS to achieve the mode TM3 described in section 2.2. The 3D model is shown in Figure 4, in which the ultrasonic transducer mainly consists of the front/rear metal cover and the piezoelectric ceramic. Corresponding to the setup of the UVSR experiment, the material of the front cover is a hard aluminum alloy, and that of the rear cover, horn, and tool is 45 steel. Lead zirconate titanate (PZT-4) was selected as the piezoelectric material of the ultrasonic transducer with the density of 7.5×103 kg/m3, Poisson ratio of 0.3, and elastic modulus of 83 GPa. The 8-node hexahedral reduced integration element (C3D8R) is used to simplify the whole solid component in the numerical model.
_Xml/alternativeImage/D0C3512E-1F4E-45d9-AC49-120D3942D16E-F005.jpg)
3.2 Residual stress analysis modeling
The UVSR processes were simulated under the same conditions as those carried out in the previous experimentation. The simulation model is shown in Figure 5, in which the main relevant molds are established as rigid bodies and the specimens are established as deformable bodies based on the UVSR experimental setup. The specimen is simplified using the element types C3D8R.
_Xml/alternativeImage/D0C3512E-1F4E-45d9-AC49-120D3942D16E-F006.jpg)
The pre-stretch deformation is first performed to obtain the stress-strain field in the UVSR simulation analysis, which is then used as a predefined field to assign initial residual stresses to the specimen. A periodic amplitude profile (_Xml/alternativeImage/D0C3512E-1F4E-45d9-AC49-120D3942D16E-M007.jpg)
3.3 Ultrasound plasticity constitutive model
The Johnson-Cook (J-C) model is the classical constitutive model used to describe the dynamic mechanical response of metals. In the J-C model, the equivalent stress _Xml/alternativeImage/D0C3512E-1F4E-45d9-AC49-120D3942D16E-M008.jpg)
_Xml/alternativeImage/D0C3512E-1F4E-45d9-AC49-120D3942D16E-M009.jpg)
where _Xml/alternativeImage/D0C3512E-1F4E-45d9-AC49-120D3942D16E-M010.jpg)
_Xml/alternativeImage/D0C3512E-1F4E-45d9-AC49-120D3942D16E-M011.jpg)
_Xml/alternativeImage/D0C3512E-1F4E-45d9-AC49-120D3942D16E-M012.jpg)
_Xml/alternativeImage/D0C3512E-1F4E-45d9-AC49-120D3942D16E-M013.jpg)
_Xml/alternativeImage/D0C3512E-1F4E-45d9-AC49-120D3942D16E-M014.jpg)
_Xml/alternativeImage/D0C3512E-1F4E-45d9-AC49-120D3942D16E-M015.jpg)
_Xml/alternativeImage/D0C3512E-1F4E-45d9-AC49-120D3942D16E-M016.jpg)
_Xml/alternativeImage/D0C3512E-1F4E-45d9-AC49-120D3942D16E-M017.jpg)
_Xml/alternativeImage/D0C3512E-1F4E-45d9-AC49-120D3942D16E-M018.jpg)
_Xml/alternativeImage/D0C3512E-1F4E-45d9-AC49-120D3942D16E-M019.jpg)
_Xml/alternativeImage/D0C3512E-1F4E-45d9-AC49-120D3942D16E-M020.jpg)
Researches [1] have found that a significant softening phenomenon is presented during ultrasonic vibration-assisted metal forming. The J-C model has been modified by scholars [27, 28] to describe the dynamic mechanical response of metal under ultrasonic vibration by studying the influence law of amplitude on each parameter in the model, yet its expression is relatively complex and the solution process is cumbersome. Previous studies have found that the ultrasonic softening effect is similar to the softening behavior in the temperature field [29], and its mechanical response is closely related to the acoustic energy density. Given this, the ultrasonic vibration J-C (UVJ-C) model is proposed by introducing a new ultrasonic softening function _Xml/alternativeImage/D0C3512E-1F4E-45d9-AC49-120D3942D16E-M021.jpg)
3.4 Parameter determination
The determination of material parameters is generally obtained by fitting the experimental data. It is indicated that the ultrasonic softening effect function _Xml/alternativeImage/D0C3512E-1F4E-45d9-AC49-120D3942D16E-M022.jpg)
_Xml/alternativeImage/D0C3512E-1F4E-45d9-AC49-120D3942D16E-F007.jpg)
_Xml/alternativeImage/D0C3512E-1F4E-45d9-AC49-120D3942D16E-M023.jpg)
where _Xml/alternativeImage/D0C3512E-1F4E-45d9-AC49-120D3942D16E-M024.jpg)
_Xml/alternativeImage/D0C3512E-1F4E-45d9-AC49-120D3942D16E-M025.jpg)
_Xml/alternativeImage/D0C3512E-1F4E-45d9-AC49-120D3942D16E-M026.jpg)
and the acoustic softening rate σr is expressd as:
where σuv and σnuv represent the equivalent stress with and without ultrasonic vibration assistance, respectively.
The determination of the material constants in the J-C model is crucial for the reliability of the simulation results [30], and further parameter identification is necessary. Therefore, the calibration of model parameters is implemented in MATLAB using the advantages of genetic algorithms [31]. In addition, the experiment was performed at room temperature and there was no significant sharp increase in specimen temperature during the different ultrasonic vibration modes (Figure 6(d)). Therefore, the thermal softening effect was neglected in the UVSR simulation. The final optimization results for the model material constants are demonstrated in Table 3.
| A/MPa | B/MPa | n | C | k | l |
|---|---|---|---|---|---|
| 314.98 | 768.67 | 0.99 | 0.58 | 1.57 | -0.05 |
4 Results and discussions
4.1 Modal prediction validation
The solid granules are uniformly sprinkled on the surface of the specimen, which were driven to the region of smaller amplitude after applying ultrasonic vibration to visualize the specimen vibration shape. The specimen vibration shape after TM3 treatment is shown in Figure 7.
_Xml/alternativeImage/D0C3512E-1F4E-45d9-AC49-120D3942D16E-F008.jpg)
It can be observed that the specimen is in the shape of bending vibration, which is the required shape for the experiment. The nodal lines in the simulation cloud diagram of the specimen match well with the morphology of the solid granules after redistribution in the experiment, which indicates the effectiveness of the modal prediction of the ultrasonic vibration system. ZHANG et al [19] have successfully observed the vibration shape of welded aluminum alloy plates using a similar approach.
4.2 Tensile experiment results
The specimens were stretched after UVSR to evaluate the effect of different ultrasonic vibrational modes on the mechanical properties of the specimens. The forming force-displacement curves of the 6061-T6 aluminum alloy are illustrated in Figure 8.
_Xml/alternativeImage/D0C3512E-1F4E-45d9-AC49-120D3942D16E-F009.jpg)
The different ultrasonic vibration models all lead to a decrease in forming force compared to mode TM0 (specimen S0) (Figure 8(a)). Among them, the largest decrease in forming force was observed in mode TM3 (specimen S3), which could reach 4.05%. Moreover, mode TM1 improves the specimen ductility compared to mode TM0, whereas modes TM2 and TM3 act as inhibitors of specimen ductility.
The force-displacement curves for specimens exposed to low-amplitude vibration for a short time in modes TM2 and TM3 are illustrated in Figure 8(b). It was found that the ductility of specimens S4 and S5 improved when compared to specimens S2 and S3 under the same ultrasound vibration mode, suggesting that the suppression of ductility in specimens S4 and S5 was caused by the vast ultrasound energy field and the long vibration time. The forming force-displacement curves of the specimens treated with different amplitudes and times in mode TM1 are demonstrated in Figures 8(c) and (d); the ductility was found to show a tendency to increase and then decrease, which further supports the existence of an inflection point in the effect of ultrasound vibration on the mechanical properties of the material. In addition, specimens S7 and S9 exhibited higher strength and ductility compared to specimen S0, similar to the mechanical phenomena observed by ZOHREVAND et al [18] in 2205 dual-phase pre-strained stainless steel after ultrasonic vibration, which indicates that the strength and ductility of the material can be increased simultaneously after ultrasonic vibration treatment.
4.3 Fractography
Figure 9 shows the scanning electron microscopy (SEM) images of the specimens at different locations of tensile fracture after treatment with different ultrasonic vibration modes. The approximate positions of the electron microscope scans are marked with red dots in the figure.
_Xml/alternativeImage/D0C3512E-1F4E-45d9-AC49-120D3942D16E-F010.jpg)
It is observed that the fracture morphology of the specimens consists of dimples, tearing ridges, and cleavage steps, and therefore the fracture mechanism belongs to tough-brittle mixed fracture. The fracture morphology is shown in Figures 9(a)-(d) after the vibration of modes TM0 and TM1, respectively, which shows a large number of dimples, and the difference in fracture morphology at different locations is not obvious. Compared with TM0, the fracture surface of the specimens treated with mode TM1 is flat, the distribution of dimples is denser and uniform, and the dimples are relatively smaller and more uniformly distributed in size to the extent that it is not easy to form individual weak points, which improves the fracture toughness of the specimen.
The fracture morphology after the vibration of modes TM2 and TM3 is shown in Figures 9(e)-(h), respectively. The number of dimples is relatively small and shallow. There is a clear difference in the morphology of the fracture at different positions of the specimen, where the number of dimples at the notch position is significantly greater than that at the central position. Therefore, it can be determined that the fracture occurred from the notch position. Moreover, after the mode TM2 vibration, it can be observed that the fracture has obvious cleavage steps characteristics, which leads to poor plasticity, consistent with the tensile test results. It is concluded that mode TM1 is more effective in inhibiting the fracture for the same ultrasonic energy field and vibration time.
4.4 Residual stress under ultrasonic vibration
4.4.1 UVSR model validation
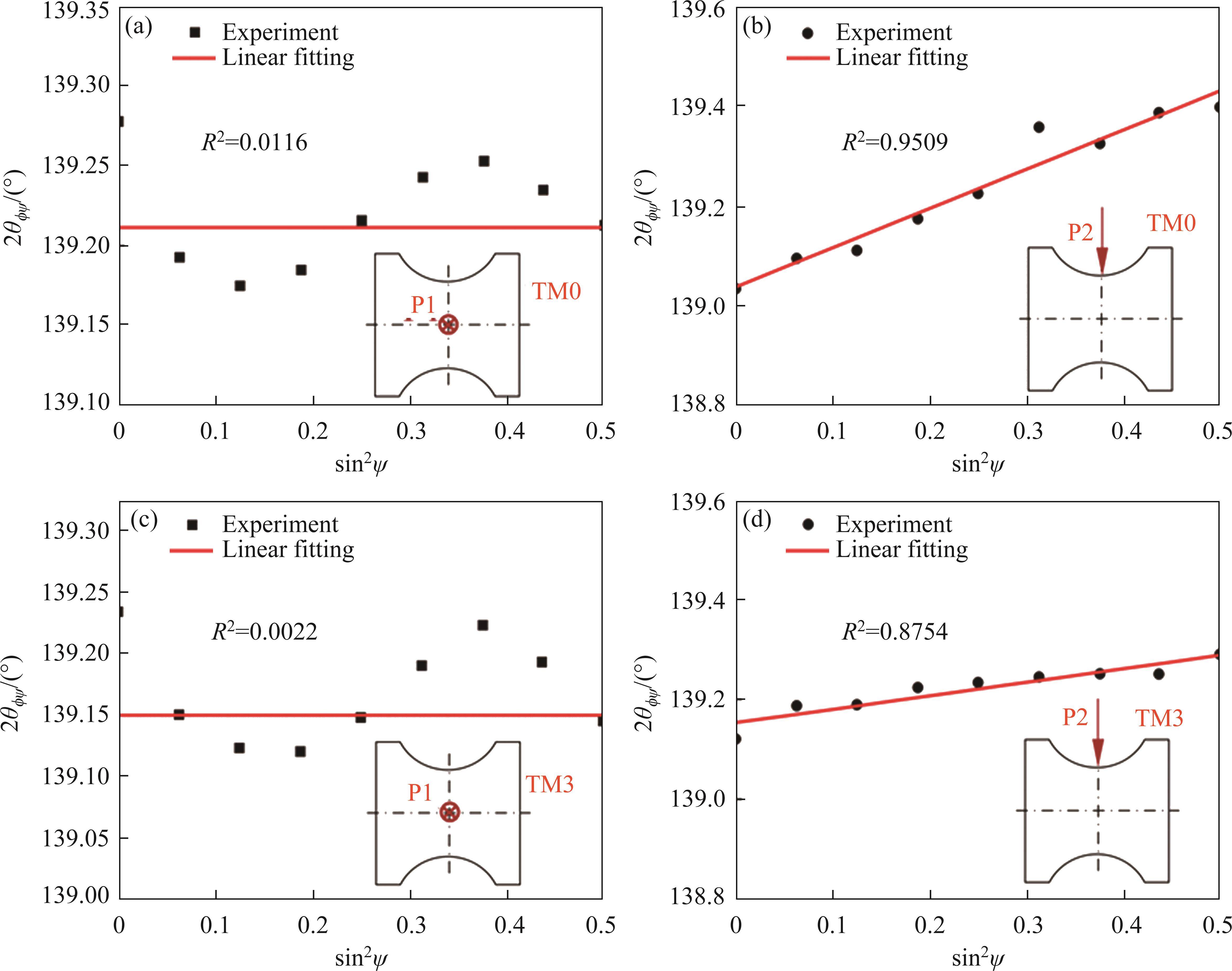
The FEM model was validated using the digital image correlation (DIC) online measurement system (Figure 10(a)). It is found that the strain cloud diagram generated by the numerical simulation (Figure 10(b)) is consistent with the experimental one (Figure 10(c)), which proves that the established model can effectively predict the plastic flow behavior of the notched sample. However, the DIC is unable to measure the strain field of the specimen under ultrasonic vibration conditions due to the masking of the ultrasonic vibrator. Therefore, the residual stress data of the specimen obtained by X-ray diffraction were employed as a reference for its simulation results in order to verify the reliability of the finite element simulation results under ultrasonic vibration conditions. The relationship between the diffraction angle _Xml/alternativeImage/D0C3512E-1F4E-45d9-AC49-120D3942D16E-M027.jpg)
_Xml/alternativeImage/D0C3512E-1F4E-45d9-AC49-120D3942D16E-M028.jpg)
_Xml/alternativeImage/D0C3512E-1F4E-45d9-AC49-120D3942D16E-F011.jpg)
_Xml/alternativeImage/D0C3512E-1F4E-45d9-AC49-120D3942D16E-M037.jpg)
_Xml/alternativeImage/D0C3512E-1F4E-45d9-AC49-120D3942D16E-M038.jpg)
_Xml/alternativeImage/D0C3512E-1F4E-45d9-AC49-120D3942D16E-F012.jpg)
The measurements were carried out at the position away from the notch position P1 and at the notch position P2, since the arc notch is the main deformation region during stretching and in consideration of the economy of residual stress measurement. It is found from Figures 11(a) and (c) that _Xml/alternativeImage/D0C3512E-1F4E-45d9-AC49-120D3942D16E-M029.jpg)
_Xml/alternativeImage/D0C3512E-1F4E-45d9-AC49-120D3942D16E-M030.jpg)
_Xml/alternativeImage/D0C3512E-1F4E-45d9-AC49-120D3942D16E-M031.jpg)
_Xml/alternativeImage/D0C3512E-1F4E-45d9-AC49-120D3942D16E-M032.jpg)
_Xml/alternativeImage/D0C3512E-1F4E-45d9-AC49-120D3942D16E-M033.jpg)
_Xml/alternativeImage/D0C3512E-1F4E-45d9-AC49-120D3942D16E-M034.jpg)
_Xml/alternativeImage/D0C3512E-1F4E-45d9-AC49-120D3942D16E-M035.jpg)
_Xml/alternativeImage/D0C3512E-1F4E-45d9-AC49-120D3942D16E-M036.jpg)
| Vibration mode | Experiment | Simulation | ||
|---|---|---|---|---|
| Residual stress/MPa | Relieving ratio/% | Residual stress/MPa | Relieving ratio/% | |
| TM0 | -132.5 | -154.8 | ||
| TM1 | -109.0 | 17.7 | -130.7 | 15.6 |
| TM2 | -96.8 | 26.9 | -103.7 | 33.0 |
| TM3 | -45.8 | 65.4 | -51.3 | 66.9 |
| TM4 | -110.2 | 16.8 | -128.1 | 17.2 |
The experimental results show that the residual stress can be effectively released by superimposed ultrasonic vibration during the parts manufacturing process (TM1) and the parts under load holding state (TM4). Compared with other vibration modes, mode TM3 demonstrates the highest residual stress release efficiency, reaching 65.4%. The experimental results demonstrate good agreement with the finite element simulation results, which further proves the correctness of the UVSR model.
4.4.2 Residual stress distribution
The cloud diagram of _Xml/alternativeImage/D0C3512E-1F4E-45d9-AC49-120D3942D16E-M036.jpg)
_Xml/alternativeImage/D0C3512E-1F4E-45d9-AC49-120D3942D16E-M042.jpg)
_Xml/alternativeImage/D0C3512E-1F4E-45d9-AC49-120D3942D16E-F013.jpg)
The deformation is large relative to the other areas. The elongated region is compressed under unloading conditions, which introduces residual compressive stresses in the notched region, and balanced by residual tensile stresses away from the notch. The _Xml/alternativeImage/D0C3512E-1F4E-45d9-AC49-120D3942D16E-M036.jpg)
_Xml/alternativeImage/D0C3512E-1F4E-45d9-AC49-120D3942D16E-M041.jpg)
The _Xml/alternativeImage/D0C3512E-1F4E-45d9-AC49-120D3942D16E-M036.jpg)
_Xml/alternativeImage/D0C3512E-1F4E-45d9-AC49-120D3942D16E-M036.jpg)
_Xml/alternativeImage/D0C3512E-1F4E-45d9-AC49-120D3942D16E-M045.jpg)
_Xml/alternativeImage/D0C3512E-1F4E-45d9-AC49-120D3942D16E-M036.jpg)
_Xml/alternativeImage/D0C3512E-1F4E-45d9-AC49-120D3942D16E-M036.jpg)
_Xml/alternativeImage/D0C3512E-1F4E-45d9-AC49-120D3942D16E-M053.jpg)
_Xml/alternativeImage/D0C3512E-1F4E-45d9-AC49-120D3942D16E-F014.jpg)
The residual stress _Xml/alternativeImage/D0C3512E-1F4E-45d9-AC49-120D3942D16E-M048.jpg)
_Xml/alternativeImage/D0C3512E-1F4E-45d9-AC49-120D3942D16E-M049.jpg)
_Xml/alternativeImage/D0C3512E-1F4E-45d9-AC49-120D3942D16E-M036.jpg)
_Xml/alternativeImage/D0C3512E-1F4E-45d9-AC49-120D3942D16E-M054.jpg)
_Xml/alternativeImage/D0C3512E-1F4E-45d9-AC49-120D3942D16E-F015.jpg)
Ultrasonic vibration modes result in different releasing effects on the residual stresses in different directions by comparing the residual stresses after ultrasonic vibration. The _Xml/alternativeImage/D0C3512E-1F4E-45d9-AC49-120D3942D16E-M051.jpg)
_Xml/alternativeImage/D0C3512E-1F4E-45d9-AC49-120D3942D16E-M036.jpg)
Comprehensive comparison, the study concludes that TM3 has the best effect on residual stress relief, followed by TM2, TM1 and TM4. However, TM3 is the treatment mode of ultrasonic vibration based on the natural frequency of the sample itself, which is limited by the geometric size, shape, and material of the sample, so it is not easy to achieve in industrial applications.
4.4.3 Effects of ultrasonic vibration factors
The effects of variations in ultrasonic vibration factors on the effectiveness of UVSR are analyzed based on the FEM. The orthogonal experimental analysis method was used to carry out simulation experiments to improve efficiency. The simulation experiment scheme is designed according to the level table with four factors and four levels (as shown in Table 5) to analyze the effect of the amplitude (_Xml/alternativeImage/D0C3512E-1F4E-45d9-AC49-120D3942D16E-M005.jpg)
_Xml/alternativeImage/D0C3512E-1F4E-45d9-AC49-120D3942D16E-M056.jpg)
_Xml/alternativeImage/D0C3512E-1F4E-45d9-AC49-120D3942D16E-M057.jpg)
_Xml/alternativeImage/D0C3512E-1F4E-45d9-AC49-120D3942D16E-M058.jpg)
| No. | ![]() | ![]() | ![]() | ![]() |
|---|---|---|---|---|
| 1 | 8.29 | 60 | 13 | 15 |
| 2 | 10.16 | 120 | 64 | 35 |
| 3 | 11.96 | 180 | 177 | 55 |
| 4 | 15.46 | 240 | 660 | 75 |
The average values of the stress relief ratio on the PD2 path for different ultrasonic vibration factors were obtained by extracting the equivalent stresses based on the numerical model. The priorities of the influence of the various factors on the UVSR are calculated using a range analysis method. The results show that the contact area is the most important factor affecting UVSR, followed by the back force, the amplitude, and the excitation time. As far as the study is concerned, the best technological parameters of UVSR are obtained through range analysis: _Xml/alternativeImage/D0C3512E-1F4E-45d9-AC49-120D3942D16E-M063.jpg)
_Xml/alternativeImage/D0C3512E-1F4E-45d9-AC49-120D3942D16E-M064.jpg)
_Xml/alternativeImage/D0C3512E-1F4E-45d9-AC49-120D3942D16E-M065.jpg)
_Xml/alternativeImage/D0C3512E-1F4E-45d9-AC49-120D3942D16E-M066.jpg)
4.5 Discussion of residual stress relaxation mechanisms
Residual stress exists in an object to maintain internal equilibrium when there is no external force acting on it. The effect of ultrasonic vibration on the specimen under modes TM2 and TM3 consists of two aspects by analyzing the force on the specimen during the UVSR process. 1) The alternating excitation force (shown in Figure 15(a)) provided by ultrasonic vibration causes the specimen to generate pulsating stress, relying on the sum of the pulsating stress and initial residual stress exceeding the yield strength of the material, resulting in a localized micro elastic-plastic deformation; 2) Ultrasonic softening effect increases the possibility of its plasticization, that is, the application of ultrasonic vibrations during deformation results in a significant decrease in the yield strength of the material, which is different from that of conventional low-frequency VSR.
_Xml/alternativeImage/D0C3512E-1F4E-45d9-AC49-120D3942D16E-F016.jpg)
The mode TM4 is in the loaded state and the residual stress release mechanism is similar to that of TM2 and TM3. It is different from mode TM4 reling on the sum of the pulsating stress and the stress provided by the load to produce localized microelastic-plastic deformation for stress release. However, mode TM1 is different from them. The residual stress release is due to ultrasonic vibrations playing the role of coordinating the deformation.
The vibrator will generate ultrasonic waves in the vibration direction during the UVSR process. It spreads in the medium as a stress longitudinal wave, and the particle displacements for the longitudinal wave are shown in Figure 15(b). After contact with the specimen surface, a part of the ultrasonic waves will be reflected. Another part will be transmitted to the internal material, which will have a certain effect on the internal structure. Based on dislocation dynamics, part of the ultrasonic energy is absorbed by the crystal defects when ultrasound is transmitted into the material, decreasing the potential barriers that impede the dislocation motion and inducing dislocation slip, leading to an additional evolution of the internal structure of the material.
According to the principle of the minimum energy, the ultrasonic vibrations in this process will harmonize the internal energy distribution of the material to a minimum and stable equilibrium state, which is therefore manifested as a reduction of residual stresses when the external loads are stopped. It has been found that superimposed ultrasonic vibration during plastic deformation of materials leads to a decrease in dislocation density [33], an increase in grain size and the proportion of twin boundaries [34], and it has been found that ultrasonic vibration facilitates grain rotation [35]. All the above phenomena are traces left behind by ultrasonic vibration in the process of coordinated plastic deformation.
5 Conclusions
The paper mainly studies the residual stress relaxation and mechanical properties of 6061 aluminum alloy after treatment with different ultrasonic vibration modes. The following conclusions can be drawn:
1) An ultrasonic vibration JC model is proposed, which effectively predicts the relaxation behavior of residual stresses in 6061 aluminum alloy under ultrasonic vibration.
2) Samples subjected to ultrasonic vibration with an amplitude of 10.16 μm and a duration of 120 s during deformation showed more excellent ductility than the other modes.
3) Ultrasonic vibration during deformation, post-unloading, load holding, and simple harmonic vibration at its natural frequency effectively releases residual stress by 17.7%, 26.9%, 16.8%, and 65.4%, respectively.
4) The UVSR treatment mechanism can be explained as the superposition of the initial residual stress and the pulsating stress, the softening effect, and the coordinated deformation effect of ultrasonic vibration.
A review on ultrasonic-assisted forming: Mechanism, model, and process
[J]. Chinese Journal of Mechanical Engineering, 2021, 34(1): 99. DOI: 10.1186/s10033-021-00612-0.Residual stress generation in grinding: Mechanism and modeling
[J]. Journal of Materials Processing Technology, 2024, 324: 118262. DOI: 10.1016/j.jmatprotec.2023.118262.Measuring internal residual stress in Al-Cu alloy forgings by crack compliance method with optimized parameters
[J]. Journal of Central South University, 2020, 27(11): 3163-3174. DOI: 10.1007/s11771-020-4538-0.Prediction about residual stress and microhardness of material subjected to multiple overlap laser shock processing using artificial neural network
[J]. Journal of Central South University, 2022, 29(10): 3346-3360. DOI: 10.1007/s11771-022-5158-7.The combined magnetic-vibration stress relief
[J]. Results in Physics, 2023, 47: 106372. DOI: 10.1016/j.rinp.2023.106372.Experimental study and simulation analysis of thermal-vibratory stress relief treatment of Al-Cu-Mg alloy plate
[J]. Journal of Manufacturing Processes, 2023, 92: 124-134. DOI: 10.1016/j.jmapro.2023.02.049.Effect of electromagnetic coupling treatment on the residual stress relief and mechanical properties of 7050 aluminum alloy
[J]. Journal of Materials Science, 2023, 58(29): 12097-12117. DOI: 10.1007/s10853-023-08775-y.Effect of residual stress on thermal fatigue in a type 420 martensitic stainless steel weldment
[J]. Journal of Materials Processing Technology, 2003, 138(1-3): 22-27. DOI: 10.1016/S0924-0136(03)00043-8.Fatigue life of 7075-T651 aluminium alloy treated with vibratory stress relief
[J]. International Journal of Fatigue, 2018, 108: 62-67. DOI: 10.1016/j.ijfatigue.2017.11.011.The effect of residual stress relaxation by the vibratory stress relief technique on the textures of grains in AA 6061 aluminum alloy
[J]. Materials Science and Engineering A, 2014, 605: 98-107. DOI: 10.1016/j.msea.2014.03.037.Influence of ultrasonic stress relief on stainless steel 316 specimens: A comparison with thermal stress relief
[J]. Materials & Design (1980-2015), 2013, 46: 713-723. DOI: 10.1016/j.matdes.2012.11.023.Finite element simulation and experimental investigation of residual stresses in ultrasonic assisted turning
[J]. Ultrasonics, 2020, 108: 106208. DOI: 10.1016/j.ultras.2020.106208.Effect of spindle speed during ultrasonic rolling on surface integrity and fatigue performance of Ti6Al4V alloy
[J]. International Journal of Fatigue, 2022, 159: 106794. DOI: 10.1016/j.ijfatigue.2022.106794.Microstructure changes in ultrafine-grained nickel processed by high pressure torsion under ultrasonic treatment
[J]. Ultrasonics, 2018, 82: 313-321. DOI: 10.1016/j.ultras.2017.09.005.Structure evolution in coarse-grained nickel under ultrasonic treatment
[J]. Materials Science and Engineering A, 2018, 731: 231-238. DOI: 10.1016/j.msea. 2018.06.052.Effect of ultrasonic impact treatment on welding residual stress and fatigue resistance of doubly-welded rib-to-deck joints in OSD
[J]. Journal of Constructional Steel Research, 2023, 211: 108157. DOI: 10.1016/j.jcsr.2023.108157.Softening mechanisms in ultrasonic treatment of deformed austenitic stainless steel
[J]. Ultrasonics, 2021, 116: 106519. DOI: 10.1016/j.ultras.2021.106519.Internal stress relief and microstructural evolution by ultrasonic treatment of austeno-ferritic 2205 duplex stainless steel
[J]. Materials Science and Engineering A, 2021, 815: 141290. DOI: 10.1016/j.msea.2021.141290.Residual stress relief of welded aluminum alloy plate using ultrasonic vibration
[J]. Ultrasonics, 2020, 107: 106164. DOI: 10.1016/j.ultras.2020.106164.An energy based modeling for the acoustic softening effect on the Hall-Petch behavior of pure titanium in ultrasonic vibration assisted micro-tension
[J]. International Journal of Plasticity, 2021, 136: 102879. DOI: 10.1016/j.ijplas.2020. 102879.Development of a new 3D model for the prediction of residual stress and fracture behaviour in Ti-6Al-4V after ultrasonic peening treatment
[J]. Journal of Materials Processing Technology, 2017, 247: 29-39. DOI: 10.1016/j.jmatprotec.2017.03.033.A model to predict the relaxation of weld residual stress by cyclic load: Experimental and finite element modeling
[J]. International Journal of Fatigue, 2017, 95: 293-301. DOI: 10.1016/j.ijfatigue.2016.11.011.Study of the effective parameters on welding residual stress relaxation in aluminum cylindrical shells under cyclic pressure
[J]. Thin-Walled Structures, 2019, 143: 106235. DOI: 10.1016/j.tws.2019.106235.Simplified models for residual stresses and equivalent plastic strains in cold-formed steel elliptical hollow sections
[J]. Thin-Walled Structures, 2020, 154: 106835. DOI: 10.1016/j.tws.2020.106835.Ultrasonic vibration-assisted metal forming: Constitutive modelling of acoustoplasticity and applications
[J]. Journal of Materials Processing Technology, 2019, 265: 122-129. DOI: 10.1016/j.jmatprotec.2018.10.012.Simulation and experimental study of 7A09 aluminum alloy milling under double liquid quenching
[J]. Journal of Central South University, 2020, 27(2): 372-380. DOI: 10.1007/s11771-020-4302-5.Investigation of acoustic-plastic constitutive modeling based on Johnson-Cook model and numerical simulation application
[J]. Archives of Civil and Mechanical Engineering, 2021, 21(2): 77. DOI: 10.1007/s43452-021-00228-0.Constitutive model of 6063 aluminum alloy under the ultrasonic vibration upsetting based on Johnson-Cook model
[J]. Ultrasonics, 2019, 96: 1-9. DOI: 10.1016/j.ultras.2019.03.017.Microstructure evolution of Al6061 and copper during ultrasonic energy assisted compression
[J]. Materials Characterization, 2019, 153: 240-250. DOI: 10.1016/j.matchar.2019.05.005.3D finite element modeling of face milling of continuous chip material
[J]. The International Journal of Advanced Manufacturing Technology, 2010, 47(5): 543-555. DOI: 10.1007/s00170-009-2235-0.The coupling machine learning for microstructural evolution and rolling force during hot strip rolling of steels
[J]. Journal of Materials Processing Technology, 2022, 309: 117736. DOI: 10.1016/j.jmatprotec.2022.117736.The influence of crystallographic texture on diffraction measurements of residual stress
[J]. Acta Metallurgica et Materialia, 1993, 41(2): 323-336. DOI: 10.1016/0956-7151(93)90063-X.The effect of tensile deformation by in situ ultrasonic treatment on the microstructure of low-carbon steel
[J]. Acta Materialia, 2013, 61(5): 1592-1602. DOI: 10.1016/j.actamat.2012.11.036.Constitutive behavior and microstructural evolution in ultrasonic vibration assisted deformation of ultrathin superalloy sheet
[J]. International Journal of Mechanical Sciences, 2019, 157: 609-618. DOI: 10.1016/j.ijmecsci.2019.05.009.Characteristics and mechanism in ultrasonic vibration-assisted deformation of Ni-based superalloy thin-walled sheet by quasi-in-situ EBSD
[J]. Journal of Alloys and Compounds, 2022, 908: 164591. DOI: 10.1016/j.jallcom. 2022. 164591.SONG Peng-fei, CAO Miao-yan, FU Min, LI Bing, WU Li-jun, LI Yun-feng, and LIU Zheng declare that they have no conflict of interest.
SONG Peng-fei, CAO Miao-yan, FU Min, LI Bing, WU Li-jun, LI Yun-feng, LIU Zheng. Effect of ultrasonic vibration modes on the residual stress relaxation and mechanical properties of aluminum alloy [J]. Journal of Central South University, 2025, 32(3): 1008-1023. DOI: https://doi.org/10.1007/s11771-025-5913-7.
宋鹏飞,曹秒艳,付敏等.超声振动模式对铝合金残余应力消减和力学性能的影响[J].中南大学学报(英文版),2025,32(3):1008-1023.


_Xml/alternativeImage/D0C3512E-1F4E-45d9-AC49-120D3942D16E-M059.jpg)
_Xml/alternativeImage/D0C3512E-1F4E-45d9-AC49-120D3942D16E-M060.jpg)
_Xml/alternativeImage/D0C3512E-1F4E-45d9-AC49-120D3942D16E-M061.jpg)
_Xml/alternativeImage/D0C3512E-1F4E-45d9-AC49-120D3942D16E-M062.jpg)