J.Cent.South Univ.(2025) 32: 727-743
Graphic abstract:
1 Introduction
Magnesium (Mg) alloys have attracted great interests in transportation and aerospace due to their great potential in weight reduction [1-3]. However, the use of Mg alloys is few compared with steel and aluminum alloys. One of the primary reasons is their poor workability which enhances the difficulty for the fabrication of Mg alloys parts [4, 5]. Mg alloys have a hexagonal close-packed (HCP) structure with the axial ratio of 1.623. Only basal slip can be easily activated to accommodate the plastic deformation. However, basal slip has two independent slip systems, and it can’t accommodate the homogeneous plastic deformation of Mg alloys [6-8]. In addition, the activation of basal slip is in favor of the basal texture in Mg alloys, such as the basal plane texture in Mg alloy plates and basal fiber texture in Mg alloy rods [9-11]. Such basal texture makes for strong anisotropy on the deformation behavior of Mg alloys and further reduces the workability of Mg alloy parts [12, 13].
Weakening the basal texture is an effective way to improve the ductility and reduce the deformation anisotropy of Mg alloys [14-17]. Many severe plastic deformation (SPD) methods are often used to modify the basal texture of Mg alloys, such as equal channel angle extrusion (ECAP) and friction stir processing (FSP). On this way, the ductility of Mg alloys can be improved significantly because the weak basal texture can promote the activation of basal slip [18, 19]. In addition to SPD, isothermal annealing on cold-deformed Mg alloys also has a great effect on their basal texture [20-22]. During cold-deformation, plenty of _Xml/alternativeImage/35EEF4BF-64AE-4e6e-8BCA-D3780303D4DF-M011.jpg)
_Xml/alternativeImage/35EEF4BF-64AE-4e6e-8BCA-D3780303D4DF-M011.jpg)
The aim of this study is to reveal the recrystallization behavior of Mg alloys with high density of _Xml/alternativeImage/35EEF4BF-64AE-4e6e-8BCA-D3780303D4DF-M011.jpg)
_Xml/alternativeImage/35EEF4BF-64AE-4e6e-8BCA-D3780303D4DF-M011.jpg)
2 Experimental procedures
Commercial AZ31 Mg alloy plates are used in this study, with the nominal chemical composition of 3 wt.% Al, 1 wt.% Zn and the balance Mg. Thickness of these plates is 2.3 mm. The original plates have small grains (SG) with the average grain size of about 5 μm. These plates were firstly annealed at 500 ℃ for 9 h to promote the grain growth. Then, plates with large grains (LG) are obtained. Cold-rolling was conducted on SG plates and LG plates using a rolling mill with the diameter of 180 mm. Multi-pass rolling was used to avoid the cracking of plates and the rolling speed is 13 mm/s. For each pass, the rolling reduction was about 0.03 mm. The final rolling reduction of the SG and LG plates is 17% (SG-17%) and 15% (LG-15%), respectively. Isothermal annealing was conducted on these rolled plates from low temperature to high temperature (150, 180, 200, 220, 250, 270, 300, 350, 400 and 500 ℃) for 1 h. In addition, in order to investigate the recrystallization behavior, these rolled plates were also annealed at different temperature (140, 160, 180, 200, 250 and 300 ℃) for a prolonged time from 10 s to 1690 min. For the temperature stability, the low temperature annealing (<200 ℃) was conducted in oil bath pan while the high temperature annealing (_Xml/alternativeImage/35EEF4BF-64AE-4e6e-8BCA-D3780303D4DF-M015.jpg)
Microstructure was observed through optical microscope (OM) and scanning electron microscope (SEM) on the ND-RD plane (normal direction-rolling direction). Electron back-scattered diffraction (EBSD) was also conducted on the ND-RD plane through JSM-6490LV SEM equipped with an HKE-EBSD system. EBSD data were analyzed by Channel 5 software. EBSD samples were prepared by double-jet electro-polishing in a solution of anhydrone, lithium chloride and methanol.
Vickers-hardness measurement was conducted on these annealed samples with prolonged annealing time. At least ten points were tested for each sample to calculate the average microhardness. The loading of the indenter is 0.3 kg and the loading time is 10 s. Compressive tests were conducted on the as-rolled and 500 ℃ annealed samples. Rectangular compressive samples were prepared for compressive tests. The loading direction is parallel with ND and TD (transverse direction). ND samples have dimensions of 1.6 mm×1.6 mm×T (thickness of the plate) and the TD samples have dimensions of 1.6 mm×T×2.5 mm. The compressive speed is 0.3 mm/min.
3 Results
3.1 Microstructure evolution during annealing
Microstructures of the original SG sample and LG sample are shown in Figures 1(a) and (b). Average grain sizes of the SG sample and LG sample are 5 and 50 μm, respectively. These two kinds of plates were cold-rolled at room temperature. Microstructures of these rolled plates were also shown in Figure 1. After 17% cold-rolling, plenty of shear bands are found in the SG sample with few twins, as shown in Figures 1(c) and (e). In these shear bands, grains are crushed and refined, showing complex morphologies compared with the grains besides the shear bands. It indicates that the plastic deformation concentrates in these shear bands. In contrast, in the LG sample, plenty of lamellar twins are found in grains. These twins are speculated as _Xml/alternativeImage/35EEF4BF-64AE-4e6e-8BCA-D3780303D4DF-M011.jpg)
_Xml/alternativeImage/35EEF4BF-64AE-4e6e-8BCA-D3780303D4DF-F002.jpg)
From the cold-rolled microstructure in Figure 1, it is seen that, during cold-rolling, the deformation mechanisms are different for SG plates and LG plates. It is because grain size has a great effect on the activation of twinning in Mg alloys [30]. In SG plates, twinning is suppressed due to their small grains where twinning is hard to be activated due to its high critical resolved-shear stress (CRSS). Dislocation slip is the dominating deformation mechanism during cold-rolling. Thus, few twins are found in SG-17%. Meanwhile, since the plastic deformation accommodated by dislocation slip is non-uniform, plenty of shear bands are produced in SG-17%. In LG plates, the CRSS of twinning is lower than that in SG plates. The stress concentration can also be produced easily in coarse grains to promote the activation of twinning. Therefore, twinning plays the dominating role during the cold-rolling of LG plates. Finally, high density of twins is produced in LG plates after 15% cold-rolling.
These cold-rolled plates with different microstructure characteristics are subjected to isothermal annealing at different temperature. Microstructures of the annealed SG-17% are shown in Figure 2 and the average grain size is measured and shown in Figure 3(a). The microstructure and grain size show gradual evolution with the increase of annealing temperature. When the annealing temperature is 150 ℃, the average grain size is 2.9 μm, smaller than that of the original plate. Some small grains are found along the shear bands. It indicates that recrystallized grains nucleate firstly in these shear bands during annealing, showing a shear band induced recrystallization mechanism. The high stored energy in these shear bands should be responsible for such phenomenon because the plastic deformation concentrates in these shear bands during cold-rolling. With the increase of annealing temperature, these recrystallized grains grow gradually to consume the matrix. Equiaxed grains are obtained when the annealing temperature is 300 ℃, and the average grain size is 6.2 μm. With the further increase in annealing temperature, the grain size increases gradually and it is 12.5 μm after 500 ℃ annealing.
_Xml/alternativeImage/35EEF4BF-64AE-4e6e-8BCA-D3780303D4DF-F003.jpg)
_Xml/alternativeImage/35EEF4BF-64AE-4e6e-8BCA-D3780303D4DF-F004.jpg)
Figure 4 shows the microstructure of annealed LG-15% at different temperature and the average grain size is plotted in Figure 3(b). Static recrystallization also occurs during the isothermal annealing, but the annealed LG-15% shows different microstructure evolution. When annealing temperature is lower than 180 ℃, no obvious recrystallized grain is found in the microstructure. It indicates that the stored energy in LG-15% is lower than that in SG-17%. When the annealing temperature is 200 ℃, some small recrystallized grains are observed along _Xml/alternativeImage/35EEF4BF-64AE-4e6e-8BCA-D3780303D4DF-M011.jpg)
_Xml/alternativeImage/35EEF4BF-64AE-4e6e-8BCA-D3780303D4DF-M011.jpg)
_Xml/alternativeImage/35EEF4BF-64AE-4e6e-8BCA-D3780303D4DF-M011.jpg)
_Xml/alternativeImage/35EEF4BF-64AE-4e6e-8BCA-D3780303D4DF-M020.jpg)
_Xml/alternativeImage/35EEF4BF-64AE-4e6e-8BCA-D3780303D4DF-M011.jpg)
_Xml/alternativeImage/35EEF4BF-64AE-4e6e-8BCA-D3780303D4DF-M011.jpg)
_Xml/alternativeImage/35EEF4BF-64AE-4e6e-8BCA-D3780303D4DF-F005.jpg)
3.2 Texture evolution during annealing
EBSD was conducted on the as-rolled and annealed AZ31 Mg alloy plates to reveal the texture evolution during isothermal annealing. Figure 5 shows the IPF maps and (0001) pole figures of SG-17% and LG-15%. In IPF maps, grains are colored depending on their crystal orientation and the standard IPF map at the top-right corner of Figure 5(a). It should be noted that some black zones are not identified due to high strain concentration in these zones. From the IPF maps and (0001) pole figures, it is seen that, both SG-17% and LG-15% have a strong basal plane texture where c-axis of grains is parallel with ND of the plates.
_Xml/alternativeImage/35EEF4BF-64AE-4e6e-8BCA-D3780303D4DF-F006.jpg)
Figure 6 shows the IPF maps and (0001) pole figures of annealed SG-17%. When annealing temperature is low, some zones are also not identified. When annealing temperature is 400 ℃, all grains are identified and equiaxed grains are obtained. It is consistent with the microstructure evolution in Figure 2. It is seen from the (0001) pole figures, after annealing at different temperature, these samples still own a strong basal plane texture. The texture has small difference compared with the as-rolled SG sample in Figure 5(c). It indicates that, in annealed SG-17%, the nucleation and growth of recrystallized grains have a small effect on the final texture.
_Xml/alternativeImage/35EEF4BF-64AE-4e6e-8BCA-D3780303D4DF-F007.jpg)
IPF maps and (0001) pole figures of annealed LG-15% are shown in Figure 7. For the SG-17%, some zones are not identified when the annealing temperature is low. Equiaxed grains are obtained at high annealing temperature. However, the colors of grains, which indicate different crystal orientation, are richer than that of annealed SG-17%. It is also seen from (0001) pole figures where great difference is found. When annealing temperature is low, these annealed samples have strong basal plane texture for the LG-15%. It is because these fine recrystallized grains have a small effect on overall texture. When LG-15% is annealed at high temperature, a random basal texture is observed compared with the as-rolled LG-15%. The basal poles deviate from the top and bottom sides of the (0001) pole figures. It means that the nucleation and growth of recrystallized grains from twinning zones can weaken the basal texture of Mg alloy.
_Xml/alternativeImage/35EEF4BF-64AE-4e6e-8BCA-D3780303D4DF-F008.jpg)
3.3 Mechanical properties of annealed plates
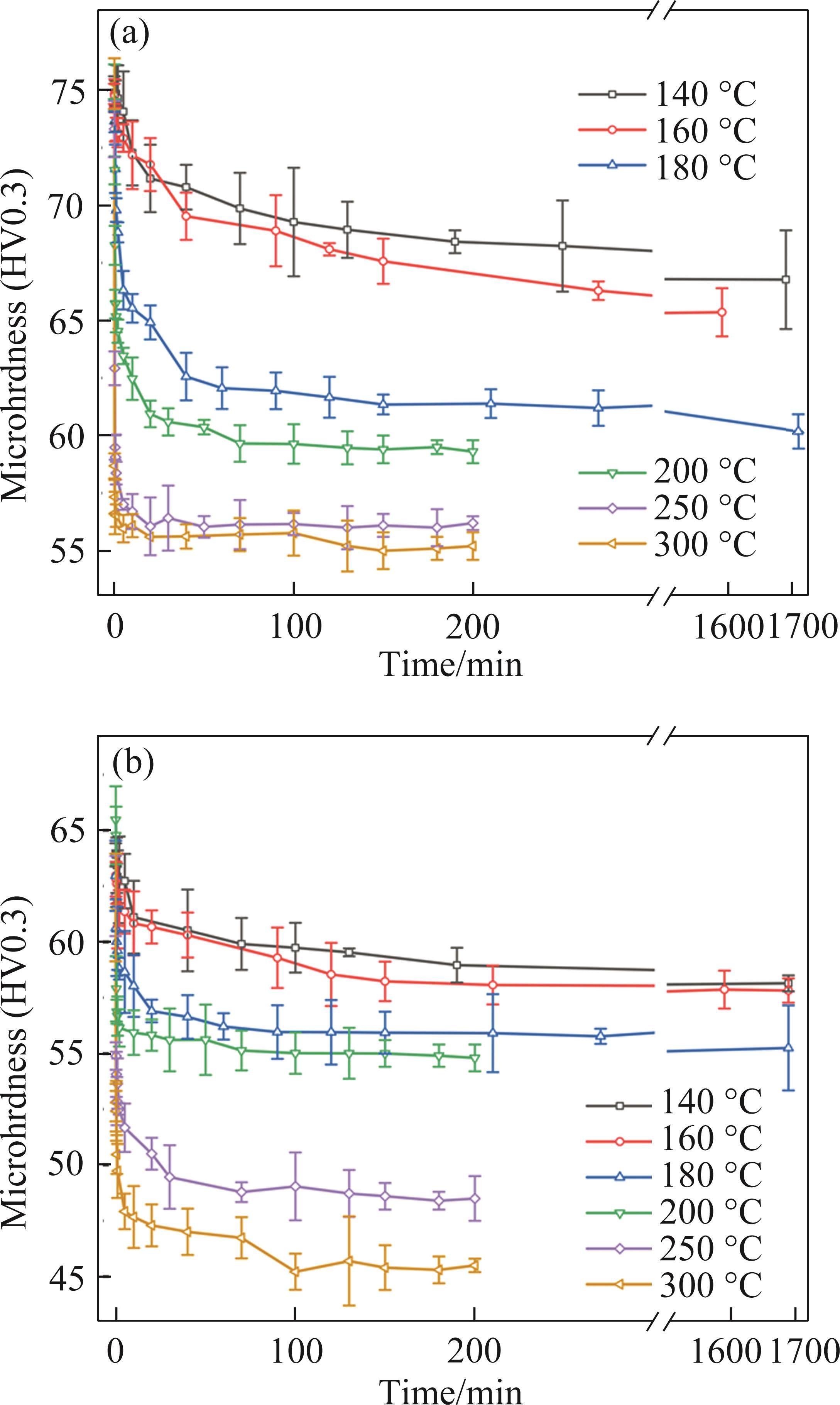
In order to reveal the effect of isothermal annealing on mechanical properties of cold-rolled SG and LG samples, firstly, microhardness measurement was conducted on the annealed SG-17% and LG-15% at different annealing temperature with prolonged annealing time. Microhardness distribution at different annealing temperature is shown in Figure 8. After cold-rolling, microhardness values of the SG and LG samples are 75HV and 64HV, respectively. During isothermal annealing, microhardness decreases gradually due to static recrystallization. With the prolonged annealing time, the microhardness variation can be divided into two stages. At the first stage, the microhardness decreases quickly with the prolonged annealing time and it reaches a steady value at the second stage. In addition, the steady value decreased gradually with the increasing annealing temperature. And the steady value of annealed SG-17% is higher than that of annealed LG-15% at each annealing temperature.
_Xml/alternativeImage/35EEF4BF-64AE-4e6e-8BCA-D3780303D4DF-F009.jpg)
During cold-rolling, the SG and LG plates experienced severe plastic deformation at room temperature. However, the SG plate has smaller grain size and higher rolling reduction, so working hardening is stronger in SG plates. Microhardness of the SG-17% is higher than that of the LG-15%. When the as-rolled plates are subjected to isothermal annealing, the stored energy in the rolled plates is in favor of the nucleation and growth of recrystallized grains. Once static recrystallization occurs in the plates, the working hardening can be consumed quickly. Therefore, microhardness of the as-rolled plates decreases quickly at the first stage of annealing. After that, recrystallized grains grow gradually with the prolonged time. However, the grain growth is restricted at each annealing temperature, so microhardness reaches a steady value at the second stage. In addition, the final grain size increased gradually with the increasing annealing temperature. Thus, the steady microhardness decreases gradually due to the weaker refinement strengthening effect.
Compression tests are conducted on the original, cold-rolled and annealed plates. Figure 9 shows the compressive true stress-strain curves of the original SG and LG plates. Since the SG sample has a smaller grain size than LG sample, yield strength and ultimate compressive strength of the SG sample are higher than those of LG sample both for ND and TD compression. When compressing along TD, the stress-strain curves show a concave shape. It attributes to the basal plane texture in the original SG and LG plates where _Xml/alternativeImage/35EEF4BF-64AE-4e6e-8BCA-D3780303D4DF-M020.jpg)
_Xml/alternativeImage/35EEF4BF-64AE-4e6e-8BCA-D3780303D4DF-M020.jpg)
_Xml/alternativeImage/35EEF4BF-64AE-4e6e-8BCA-D3780303D4DF-F010.jpg)
Figure 10 shows the compressive stress-strain curves of the as-rolled and 500 ℃ annealed plates. After cold-rolling, yield strength and ultimate compressive strength are improved significantly due to working hardening. After 500 ℃ annealing, they decrease significantly due to static recrystallization. Meanwhile, the compression failure strain shows significant improvement both for ND and TD compression tests. The increment of failure strain for ND compression is much higher than that for TD compression. For annealed SG-17%, the ND failure strain increases from 9.7% to 31% while the TD failure strain increases from 16.6% to 20%. And for annealed LG-15%, the ND failure strain increases from 19.5% to about 50% while the TD failure increases from 20.7% to 32.5%. It is also noted from Figure 10 that, in ND compression, the final failure strain for annealed LG-15% is much higher than that of annealed SG-17%; however, their true stress is almost at the same level. It means that they have experienced different strain hardening behavior during compression tests. Different texture evolution during annealing should be responsible for their great difference in mechanical properties, and it will be discussed in the following section.
_Xml/alternativeImage/35EEF4BF-64AE-4e6e-8BCA-D3780303D4DF-F011.jpg)
4 Discussion
4.1 Static recrystallization behavior
During cold-rolling, plenty of shear bands and _Xml/alternativeImage/35EEF4BF-64AE-4e6e-8BCA-D3780303D4DF-M011.jpg)
_Xml/alternativeImage/35EEF4BF-64AE-4e6e-8BCA-D3780303D4DF-F012.jpg)
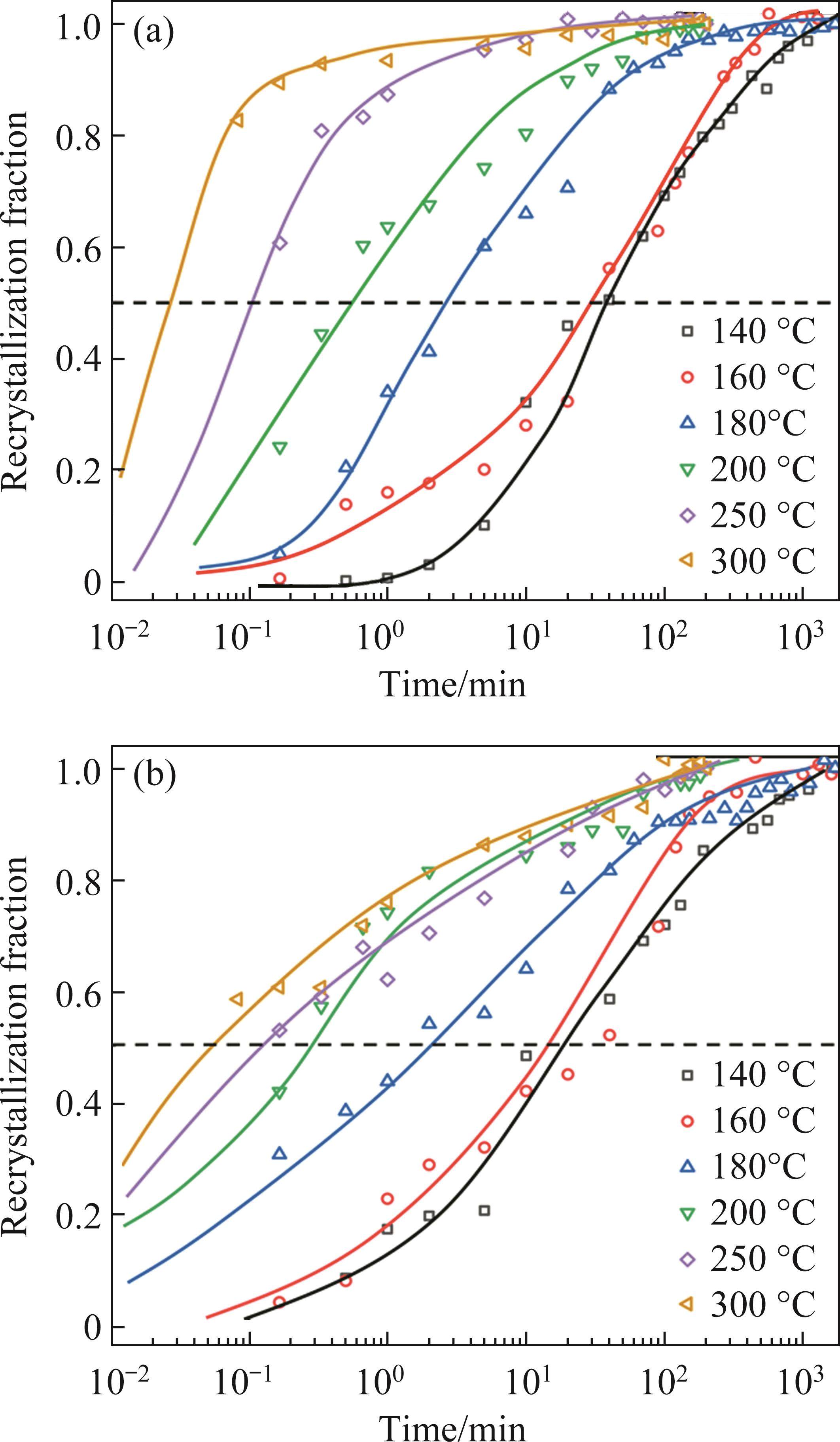
In addition, it is noted that the recrystallization process shows different characteristics for annealed SG-17% and LG-15%. At low annealing temperature (200 ℃ and 270 ℃), the fraction of recrystallized grains for SG-17% is 16% and 45%, respectively, while it is 2% and 36% for LG-15%. The annealed LG-15% shows lower recrystallization fraction and higher deformation fraction. In contrast, at high annealing temperature (400 ℃ and 500 ℃), the fraction of recrystallized grains of LG-15% is 65% and 86%, respectively, higher than that of SG-17%. The fraction of deformed grains for LG-15% is only 2% after 500 ℃ annealing. These results indicate that SG-17% and LG-15% experience different recrystallization process where shear bands and _Xml/alternativeImage/35EEF4BF-64AE-4e6e-8BCA-D3780303D4DF-M026.jpg)
_Xml/alternativeImage/35EEF4BF-64AE-4e6e-8BCA-D3780303D4DF-M011.jpg)
_Xml/alternativeImage/35EEF4BF-64AE-4e6e-8BCA-D3780303D4DF-M011.jpg)
In order to further reveal their different recrystallization behavior for SG-17% and LG-15%, the recrystallization fraction _Xml/alternativeImage/35EEF4BF-64AE-4e6e-8BCA-D3780303D4DF-M029.jpg)
_Xml/alternativeImage/35EEF4BF-64AE-4e6e-8BCA-D3780303D4DF-M030.jpg)
where _Xml/alternativeImage/35EEF4BF-64AE-4e6e-8BCA-D3780303D4DF-M031.jpg)
_Xml/alternativeImage/35EEF4BF-64AE-4e6e-8BCA-D3780303D4DF-M032.jpg)
_Xml/alternativeImage/35EEF4BF-64AE-4e6e-8BCA-D3780303D4DF-M033.jpg)
_Xml/alternativeImage/35EEF4BF-64AE-4e6e-8BCA-D3780303D4DF-M034.jpg)
_Xml/alternativeImage/35EEF4BF-64AE-4e6e-8BCA-D3780303D4DF-M035.jpg)
_Xml/alternativeImage/35EEF4BF-64AE-4e6e-8BCA-D3780303D4DF-M033.jpg)
_Xml/alternativeImage/35EEF4BF-64AE-4e6e-8BCA-D3780303D4DF-M037.jpg)
_Xml/alternativeImage/35EEF4BF-64AE-4e6e-8BCA-D3780303D4DF-M038.jpg)
_Xml/alternativeImage/35EEF4BF-64AE-4e6e-8BCA-D3780303D4DF-F013.jpg)
where _Xml/alternativeImage/35EEF4BF-64AE-4e6e-8BCA-D3780303D4DF-M039.jpg)
_Xml/alternativeImage/35EEF4BF-64AE-4e6e-8BCA-D3780303D4DF-M040.jpg)
_Xml/alternativeImage/35EEF4BF-64AE-4e6e-8BCA-D3780303D4DF-M041.jpg)
_Xml/alternativeImage/35EEF4BF-64AE-4e6e-8BCA-D3780303D4DF-M042.jpg)
In order to receive the activation energy _Xml/alternativeImage/35EEF4BF-64AE-4e6e-8BCA-D3780303D4DF-M037.jpg)
_Xml/alternativeImage/35EEF4BF-64AE-4e6e-8BCA-D3780303D4DF-M044.jpg)
_Xml/alternativeImage/35EEF4BF-64AE-4e6e-8BCA-D3780303D4DF-M045.jpg)
_Xml/alternativeImage/35EEF4BF-64AE-4e6e-8BCA-D3780303D4DF-M033.jpg)
_Xml/alternativeImage/35EEF4BF-64AE-4e6e-8BCA-D3780303D4DF-M047.jpg)
_Xml/alternativeImage/35EEF4BF-64AE-4e6e-8BCA-D3780303D4DF-M037.jpg)
_Xml/alternativeImage/35EEF4BF-64AE-4e6e-8BCA-D3780303D4DF-M037.jpg)
_Xml/alternativeImage/35EEF4BF-64AE-4e6e-8BCA-D3780303D4DF-M011.jpg)
_Xml/alternativeImage/35EEF4BF-64AE-4e6e-8BCA-D3780303D4DF-M051.jpg)
_Xml/alternativeImage/35EEF4BF-64AE-4e6e-8BCA-D3780303D4DF-M052.jpg)
_Xml/alternativeImage/35EEF4BF-64AE-4e6e-8BCA-D3780303D4DF-M053.jpg)
_Xml/alternativeImage/35EEF4BF-64AE-4e6e-8BCA-D3780303D4DF-M054.jpg)
_Xml/alternativeImage/35EEF4BF-64AE-4e6e-8BCA-D3780303D4DF-F014.jpg)
4.2 Effect of static recrystallization on texture variation
As stated in Section 3.2, during isothermal annealing, basal texture of SG-17% and LG-15% has different evolution with the increase of annealing temperature. It indicates that the static recrystallization from shear bands and _Xml/alternativeImage/35EEF4BF-64AE-4e6e-8BCA-D3780303D4DF-M011.jpg)
_Xml/alternativeImage/35EEF4BF-64AE-4e6e-8BCA-D3780303D4DF-F015.jpg)
It has been previously reported that _Xml/alternativeImage/35EEF4BF-64AE-4e6e-8BCA-D3780303D4DF-M056.jpg)
_Xml/alternativeImage/35EEF4BF-64AE-4e6e-8BCA-D3780303D4DF-M020.jpg)
4.3 Effect of static recrystallization on mechanical properties
During isothermal annealing, microstructure and texture are modified due to static recrystallization which has a great effect on the mechanical properties of SG-17% and LG-15%. As shown in Figure 15, after cold-rolling, the yield strength is improved significantly with the sacrifice in compressive failure strain due to strain hardening effect. After 500 ℃ annealing, the yield strength shows significant decrement with a great improvement in failure strain due to recrystallization softening effect. However, the variation of yield strength and ductility shows great difference for SG-17% and LG-15% due to their different microstructure and texture characteristics.
_Xml/alternativeImage/35EEF4BF-64AE-4e6e-8BCA-D3780303D4DF-F016.jpg)
Firstly, their yield strength shows different reduction after 500 ℃ annealing, as shown in Figure 15(a). For annealed SG-17%, the ND compressive yield strength decreases from 303 MPa to 186 MPa, with a 38.6% reduction while the TD compressive yield strength has a 65% reduction. In contrast, for annealed LG-15%, both ND and TD compressive yield strength have a high reduction, about 56%. As stated above, the annealed SG-17% has a strong basal texture. Pyramidal slip and _Xml/alternativeImage/35EEF4BF-64AE-4e6e-8BCA-D3780303D4DF-M058.jpg)
_Xml/alternativeImage/35EEF4BF-64AE-4e6e-8BCA-D3780303D4DF-M020.jpg)
Secondly, after 500 ℃ annealing, SG-17% has a smaller grain size than LG-15%, so it has a higher yield strength depending on refinement strengthening effect. However, the ND-yield strength of SG-17% is much higher than that of LG-15% which is beyond the effect of grain size [41, 10]. Furthermore, as shown in Figure 15(b), both ND and TD compressive strains of annealed LG-15% are much higher than that of annealed SG-17% in spite of its small grain size. It is then obvious that, in addition to grain size, the weak basal texture in annealed LG-15% should also be responsible for its low yield strength and high compressive ductility. With a weak basal texture, basal slip can be activated easily in annealed LG-15%. Thus, it has a low ND-yield strength due to the low CRSS of basal slip. Meanwhile, in Mg alloys, basal slip can accommodate more plastic deformation than prismatic slip and _Xml/alternativeImage/35EEF4BF-64AE-4e6e-8BCA-D3780303D4DF-M020.jpg)
Thirdly, concerning the stress-strain curves in Figure 10, although the annealed SG-17% has a much higher ND-yield strength than LG-15%, they achieve a similar stress level during ND compression tests. It ascribes to their different strain hardening effect where different deformation mechanisms are activated. Pyramidal slip is the dominating deformation mechanism when compressing along the ND of SG-17%. The activation and movement of pyramidal slip is difficult in Mg alloys, so weak strain hardening is observed. In contrast, basal slip can be activated easily to accommodate the ND compressive strain for annealed LG-15% due to its weak basal texture. Strong strain hardening can be produced due to the universal basal slip. Meanwhile, LG-15% has a longer strain hardening stage than SG-17% due to its higher compressive strain. As a result, the maximum stress has a similar level for annealed SG-17% and LG-15% in ND compression.
5 Conclusions
In summary, cold-rolling and subsequent isothermal annealing were conducted on AZ31 Mg alloy plates with different initial grain size. Different recrystallization behavior from shear bands and _Xml/alternativeImage/35EEF4BF-64AE-4e6e-8BCA-D3780303D4DF-M011.jpg)
1) During cold-rolling, plenty of shear bands and _Xml/alternativeImage/35EEF4BF-64AE-4e6e-8BCA-D3780303D4DF-M011.jpg)
_Xml/alternativeImage/35EEF4BF-64AE-4e6e-8BCA-D3780303D4DF-M011.jpg)
SG-17% and twin induced recrystallization mechanism for LG-15%.
2) The annealed SG-17% has a strong basal texture because recrystallized grains from shear bands have a c-axis//ND orientation. In contrast, recrystallized grain from _Xml/alternativeImage/35EEF4BF-64AE-4e6e-8BCA-D3780303D4DF-M011.jpg)
3) During isothermal annealing, microhardness decreases gradually with the prolonged annealing time. LG-15% has a lower recrystallization activation energy (85 kJ/mol) than SG-17% because _Xml/alternativeImage/35EEF4BF-64AE-4e6e-8BCA-D3780303D4DF-M011.jpg)
4) During compression tests, deformation mechanisms are different for annealed SG-17% and LG-15% due to their different texture characteristics. With a weak basal texture, basal slip can be activated easily in ND and TD compression for annealed LG-15%. Thus, the annealed LG-15% shows high reduction in yield strength and high improvement in compressive strain due to texture weakening effect.
Applications of magnesium alloys for aerospace: A review
[J]. Journal of Magnesium and Alloys, 2023, 11(10): 3609-3619. DOI: 10.1016/j.jma.2023.09.015.Post processing of additive manufactured Mg alloys: Current status, challenges, and opportunities
[J]. Journal of Magnesium and Alloys, 2024, 12(4): 1283-1310. DOI: 10. 1016/j.jma.2024.04.017.Recent developments and applications on high-performance cast magnesium rare-earth alloys
[J]. Journal of Magnesium and Alloys, 2021, 9(1): 1-20. DOI: 10.1016/j.jma.2020.06.021.Plane-strain compression of magnesium and magnesium alloy crystals
[J]. Transactions of the Metallurgical Society of AIME, 1968, 242: 5-13. DOI: 10.1016/0001-6160(66)90196-9.Rejuvenation of plasticity via deformation graining in magnesium
[J]. Nature Communications, 2022, 13(1): 1060. DOI: 10.1038/s41467-022-28688-9.Plastic deformation behavior of a Mg-1.5Zn-0.1Ca (mass%) alloy sheet under different strain paths
[J]. Materials Science and Engineering A, 2023, 869: 144772. DOI: 10.1016/j.msea.2023.144772.Temperature dependency of slip and twinning in plane strain compressed magnesium single crystals
[J]. Acta Materialia, 2011, 59(5): 1986-1994. DOI: 10.1016/j.actamat.2010.11.064.Plastic deformation of magnesium single crystals
[J]. JOM, 1952, 4(3): 295-303. DOI: 10.1007/BF03397694.Texture dependence of uniform elongation for a magnesium alloy
[J]. Scripta Materialia, 2012, 67(10): 858-861. DOI: 10.1016/j.scriptamat.2012.08.009.The mechanism for the high dependence of the Hall-Petch slope for twinning/slip on texture in Mg alloys
[J]. Acta Materialia, 2017, 128: 313-326. DOI: 10.1016/j.actamat.2017.02.044.Microstructure and anisotropy of mechanical properties in ring rolled AZ80-Ag alloy
[J]. Journal of Central South University, 2021, 28(5): 1316-1323. DOI: 10.1007/s11771-021-4699-5.Influence of texture on Hall-Petch relationships in an Mg alloy
[J]. Acta Materialia, 2014, 81: 83-97. DOI: 10.1016/j.actamat.2014.08.023.On tension-compression yield asymmetry in an extruded Mg-3Al-1Zn alloy
[J]. Journal of Alloys and Compounds, 2009, 478(1-2): 789-795. DOI: 10.1016/j.jallcom.2008.12.033.The texture and its optimization in magnesium alloy
[J]. Journal of Materials Science & Technology, 2020, 42: 175-189. DOI: 10. 1016/j.jmst.2019.10.010.Effect of variable thickness cross rolling on edge crack and microstructure gradient of AZ31 magnesium alloy
[J]. Journal of Central South University, 2022, 29(4): 1124-1132. DOI: 10.1007/s11771-022-4973-1.Ductility enhancement in AZ31 magnesium alloy by controlling its grain structure
[J]. Scripta Materialia, 2001, 45(1): 89-94. DOI: 10.1016/S1359-6462(01)00996-4.The effect of continuous confined strip shearing deformation on the mechanical properties of AZ31 magnesium alloys
[J]. Materials Science and Engineering A, 2019, 743: 397-403. DOI: 10.1016/j.msea.2018.11.069.The role of microstructure and texture in controlling mechanical properties of AZ31B magnesium alloy processed by I-ECAP
[J]. Materials Science and Engineering A, 2015, 638: 20-29. DOI: 10.1016/j.msea.2015.04.055.The effect of texture and grain size on improving the mechanical properties of Mg-Al-Zn alloys by friction stir processing
[J]. Scientific Reports, 2018, 8(1): 4196. DOI: 10.1038/s41598-018-22344-3.Texture evolution during static recrystallization of cold-rolled magnesium alloys
[J]. Acta Materialia, 2016, 105: 479-494. DOI: 10.1016/j.actamat.2015.12.045.Static recrystallization behavior of magnesium AZ31 alloy subjected to high speed rolling
[J]. Materials Science and Engineering A, 2016, 662: 412-425. DOI: 10.1016/j.msea.2016.03.047.Effect of initial microstructure on static recrystallization of Mg-3Al-1Zn alloy
[J]. Materials Characterization, 2017, 129: 104-113. DOI: 10.1016/j.matchar.2017.04.029.Correlation of static recrystallization and texture weakening of AZ31 magnesium alloy sheets subjected to high speed rolling
[J]. Materials Science and Engineering A, 2016, 674: 343-360. DOI: 10.1016/j.msea.2016.07.107.The effect of grain size on texture evolution and mechanical properties of an AZ31 magnesium alloy during cold-rolling process
[J]. Journal of Alloys and Compounds, 2020, 817: 153302. DOI: 10.1016/j.jallcom.2019.153302.Twin recrystallization mechanisms and exceptional contribution to texture evolution during annealing in a magnesium alloy
[J]. Acta Materialia, 2017, 126: 132-144. DOI: 10.1016/j.actamat.2016.12.058.Influence of deformation twinning on static annealing of AZ31 Mg alloy
[J]. Acta Materialia, 2013, 61(16): 5966-5978. DOI: 10.1016/j.actamat.2013.06.037.Individual effect of recrystallisation nucleation sites on texture weakening in a magnesium alloy: Part 1- double twins
[J]. Acta Materialia, 2017, 135: 14-24. DOI: 10.1016/j.actamat.2017.06.015.Twinning and its related work hardening during the ambient extrusion of a magnesium alloy
[J]. Materials Science and Engineering A, 2013, 577: 125-137. DOI: 10.1016/j.msea.2013.03.078.Twinning character and texture origination in the randomly-oriented AZ31B magnesium alloy during cold-rolling
[J]. Journal of Materials Research and Technology, 2022, 19: 151-166. DOI: 10.1016/j.jmrt.2022.05.028.Sensitivity of deformation twinning to grain size in titanium and magnesium
[J]. Acta Materialia, 2011, 59(20): 7824-7839. DOI: 10.1016/j.actamat.2011.09.018.Role of yttrium content in twinning behavior of extruded Mg: Y sheets under tension/compression
[J]. Transactions of Nonferrous Metals Society of China, 2022, 32(11): 3534-3549. DOI: 10.1016/S1003-6326(22)66037-0.{101¯2} extension twinning activity and compression behavior of pure Mg and Mg-0.5Ca alloy at cryogenic temperature
[J]. Materials Science and Engineering A, 2022, 831: 142189. DOI: 10.1016/j.msea.2021.142189.Effect of electric current on recrystallization kinetics in interstitial free steel and AZ31 magnesium alloy
[J]. Materials Characterization, 2017, 133: 70-76. DOI: 10.1016/j.matchar.2017.09.021.Effect of pre-recovery on subsequent recrystallization kinetics in moderately deformed and supersaturated Al-Mn alloys
[J]. Journal of Central South University, 2018, 25(3): 534-542. DOI: 10.1007/s11771-018-3758-z.Structural development at severely high strain in AZ31 magnesium alloy processed by cold forging and subsequent annealing
[J]. Materials & Design, 2013, 44: 573-579. DOI: 10.1016/j.matdes.2012.08.025.Unveiling annealing texture formation and static recrystallization kinetics of hot-rolled Mg-Al-Zn-Mn-Ca alloy
[J]. Journal of Materials Science & Technology, 2020, 43: 104-118. DOI: 10.1016/j.jmst.2020.01.018.Structural characteristics of {101¯1} contraction twin-twin interaction in magnesium
[J]. Acta Materialia, 2020, 192: 60-66. DOI: 10.1016/j.actamat.2020.03.035.Improving the plastic homogeneity of a magnesium alloy by introducing high volume fraction of twins during ambient extrusion
[J]. Journal of Materials Processing Technology, 2020, 277: 116445. DOI: 10.1016/j.jmatprotec.2019.116445.Ambient extrusion induced working hardening and their effect on mechanical properties in AZ31 hot-extrusion bar
[J]. Materials Science and Engineering A, 2022, 832: 142437. DOI: 10.1016/j.msea.2021.142437.High-strength extruded magnesium alloys: A critical review
[J]. Journal of Materials Science & Technology, 2024, 199: 27-52. DOI: 10.1016/j.jmst.2024.01.089.CHENG Zong-yuan, PENG Jin-hua, FANG Tao, ZANG Qian-hao, CHEN Liang-yu and LU Sheng, declare that they have no conflict of interest.
CHENG Zong-yuan, PENG Jin-hua, FANG Tao, ZANG Qian-hao, CHEN Liang-yu, LU Sheng. Static recrystallization behavior of cold-rolled AZ31 Mg alloy with high density of shear bands and _Xml/alternativeImage/35EEF4BF-64AE-4e6e-8BCA-D3780303D4DF-M066.jpg)
程宗元,彭金华,方涛等.高密度剪切带和_Xml/alternativeImage/35EEF4BF-64AE-4e6e-8BCA-D3780303D4DF-M002.jpg)


_Xml/alternativeImage/35EEF4BF-64AE-4e6e-8BCA-D3780303D4DF-M007.jpg)