自然界中的大多数陆生动物都是依靠腿进行运动的(如哺乳类动物的四足行走、昆虫类动物的多足爬行等),它们能够在较平坦地面进行快速移动,同时具有在崎岖复杂环境下进行稳定行走的能力,说明运动灵活性和环境适应性是足式动物在运动方面的主要特点。其中,普遍存在于大自然之中的四足和六足动物具有突出的运动能力,如犬科、猫科动物可以实现快速灵活奔跑;山羊可以穿越悬崖戈壁;骆驼能在沙漠里长途跋涉;水牛能在湿软泥地里拉犁耕地;蚂蚁每秒能爬行相当于自身体长4倍的距离;蚱蜢1次跳跃的距离是它身长的75倍等。而操作功能是动物更为高级的肢体功能,灵长类动物是具有肢体功能的代表性动物,它们的运动能力的实现与其他陆生哺乳动物类似,主要依赖于四肢的节律运动,而进行觅食时,其进化发达的2个前肢可以进行一定的操作功能;相似地,六足昆虫可依靠3对肢体进行爬行运动,并使用1对前肢实现夹持搬运操作功能[1]。根据这种生物学现象,KOYACHI等[2]提出了腿臂融合肢体机构的设计概念,TAKAHASHI等[3-4]将这种机构的设计概念应用在足式机器人上,这种腿臂融合机制可以使足式机器人在不增加额外手臂的情况下实现操作功能,并利用腿的自由度来代替手臂的自由度。能量消耗优化[5]和最佳运动路径规划[6-7]等也都使足式机器人运动更平稳、操作更智能。
然而,目前增加额外的操作执行器仍然是实现足式机器人操作功能的主要途径[8-10],例如瑞士苏黎世联邦理工学院研发的ANYmal机器人,研究人员在其机身上安装了1个六自由度的机械臂,机器人可以实现开关门、夹持取放等操作功能。现阶段对于足式机器人操作功能的实现一般是在其上简单安装机械手等功能属具,移动和操作模式单一、成本高、操作灵活性低。此外,对机器人腿臂融合机构的研究多是集中在安装/不安装末端执行器的腿的附加功能上,考虑肢体在腿和手臂之间的切换灵活性的研究较少。
本文针对以上问题,设计一种具有类人操作功能的六足移动机器人,将四肢体灵长类动物的操作灵活性以及六肢体昆虫动物的运动稳定性结合在一起,实现肢体运动功能和操作功能之间的灵活切换,以满足不同的移动操作任务需求。首先,对机器人的整体构型进行设计和分析,讨论2种不同本体构型的优劣;然后,基于仿生学原理设计机器人不同肢体的仿生构型,分别从腿分支和腿臂分支两方面进行分析,最后设计六足机器人的整体系统,并对机器人的运动性能和操作性能进行相关的实验验证。
1 机器人整体构型设计与分析
在肢体操作能力上,与四足动物相比,六足动物进行静态操作时的稳定性更高,操作模式更加丰富,并且移动操作功能更易实现,并且在四足动物中,除了灵长类动物和其他一些双足行走动物外,大多数四足动物由于肢体构型以及数目的限制,无法实现较复杂的肢体操作功能,以四肢体分支进行机器人操作能力的研究具有很大局限性,因此,本研究中的机器人采用六肢体分支的构型设计。
六足机器人由6条肢体和本体组成,其构型主要包括本体与肢体分支的布局以及肢体的构型两方面。目前,本体与肢体的布局主要有两侧对称矩形本体构型[11-12]和径向对称圆周本体构型[13]两种方式(图1),其中,矩阵本体构型仿照昆虫本体进行设计,由于自然界中昆虫躯干的头、胸腹部分区分明显,3对足分布在胸部,因此,矩形本体构型机器人的3对足也以矢状面为轴均布在本体两侧,一般都有前后方向的区分;而圆周本体构型在自然界中一般没有参照模板,其6个腿分支均布在本体上。

两侧布局方式会限制机器人的步长,同一侧的3条肢体会使相邻两肢体的足端在地面上的可达区域发生交叉,这意味着行走时相邻两肢体的足端可能发生碰撞冲突,一般通过限制机器人行走的步长来避免发生碰撞;采用圆周布局方式时则不存在该问题,相邻两肢体的足端在地面上的可达区域相距甚远,因此,可以使用更大的步长行走以提高行走速度,另外,该构型布局的机器人可以实现全向运动以及零半径转弯,并且通过控制肢体与本体相连的关节使其变成两侧布局的方式(图2),但两侧布局则不能完全变换到圆周布局的方式。

两种构型的机器人都可以实现3+3,4+2以及5+1的典型六足步态,并且径向对称圆周本体构型机器人具有更加丰富的3+3步态。图1中,构型(a)可以实现昆虫II型摆腿步态和混合步态,构型(b)可以实现昆虫I型摆腿步态和哺乳动物踢腿步态[14]。综上所述,本研究选用径向对称的圆周本体构型,并以机身半径200 mm初步确定机器人的整体尺寸。
2 机器人不同肢体仿生构型设计与分析
2.1 腿分支构型设计及分析
蚂蚁是最为常见的六足动物,一般可以举起质量为自己体质量50倍甚至100倍的物体,具有高负载和高灵活的运动特点。首先,基于蚁科动物的后腿结构设计机器人腿分支的基本构型,其中,髋节部分不变,髋节与本体相连关节设计为机器人的髋关节;然后,将转节和大腿节等效为机器人的大腿节,转节的转动自由度则等效为机器人的膝关节;最后,小腿节与大腿节连接处的自由度等效为机器人的踝关节。对于六足机器人,过多的自由度虽然可以增加运动灵活性,但设计难度和控制难度也会相应增加,并且单腿分支3个自由度就可以实现足端在空间中的自由移动,因此,单腿分支选择3个自由度,即将动物小腿节、跗节和跗端节等效为机器人的小腿节。腿分支基本构型如图3所示,髋关节使腿前后摆动,膝关节和踝关节使腿上下摆动。

将4条腿分支分别标记为腿3、腿4、腿5和腿6。图4所示为腿分支的机构简图。图4中,髋关节处的坐标系为








对各关节的转角范围、髋节长度以及大小腿节的长度比例3个参数进行分析。
1) 各关节的转角范围。关节的转角范围直接影响机器人的运动性能,为使机器人的工作空间尽可能地大,并且考虑实际设计中受机械结构的限制,髋关节以本体圆心和
2) 髋节长度。髋节长度会影响足端工作范围。根据机器人小型化的需求,在其他参数相同的条件下,选取3种髋节长度(15、65和130 mm),使用蒙特卡洛法[15]绘制不同长度的足端工作空间在 x-z平面的投影。髋节的长度对足端工作空间的影响如图5所示。

从图5可见:髋节过短会导致足端的工作空间位于机器人本体之下的部分过多,造成工作空间的浪费;髋节过长,足端的落地点将远离本体,使得摆腿过程产生过大转动惯量,影响运动性能,并且使机器人的地形通过性降低。因此,选择髋节长度为65 mm。
3) 大小腿节的长度比。在确定各关节的转动范围后,需要确定大小腿节的长度来确定工作空间的大小,可采用其在x-z平面内的投影来表征。根据生物学的相关研究[16-18]可知,昆虫中最常见的蚁科动物的后腿髋节和整个等效小腿节的长度比约为0.24,大腿节和小腿节的长度比约为0.45,结合髋节的长度为65 mm,确定小腿节的长度为270 mm,大腿节的长度为120 mm。为验证该大小腿节长度比下设计的腿分支工作空间为最优,以长度比0.15和0.9(大腿节长度取40.5 mm和 243 mm)为参照,在其他参数不变的条件下,对比不同长度比的足端工作空间在x-z平面的投影,结果如图6所示。

从图6可知,足端工作空间的大小随着大小腿节长度比的增大而增大,且长度比过小会造成足端工作空间过小,机器人的运动性能会变得很差。长度比较大虽然能增加足端的工作空间,但大部分工作空间都位于机器人本体以下部分,离本体很远,处于这些空间中的腿分支姿态会趋于哺乳式的支撑腿结构,违背昆虫式支撑腿的设计准则,而与本体过近的部分则会使机身本体变得离地很近,导致机器人地形适应性变差,因此,过大的长度比会造成工作空间的浪费。当长度比取0.45时,足端工作空间大小适当,在机身本体旁侧及下侧都具有较大的工作空间,是较理想比例。说明这种生物大小腿节长度比也可以指导机器人腿分支各腿节的长度比设计。
不同腿的位姿构成了机器人不同的支撑模式:一种是类昆虫式,其本体高度一般不超过踝关节的高度;另一种是类哺乳动物式,其本体位置一般高于腿踝关节的位置,如图7所示。这两种模式分别与昆虫和哺乳动物腿的位姿相似。下面从工作空间、速度椭圆和力椭圆来分析机器人在两种支撑模式下的运动能力和承载能力。

设全局坐标系{

以图4所示构型为零位姿态,且以逆时针方向为正方向,类昆虫式的初始位形所对应的关节为


同样地,类哺乳动物式初始位形所对应的关节为


使用蒙特卡洛法计算两种不同模式下机器人腿足端的工作空间在x-z平面内的投影,结果如图8所示。

总体上来说,类昆虫式机器人在

通过工作空间可以获得腿足端运动空间的大小,但无法判断足端在空间中运动是否为各向同性,因此,需要计算单腿的雅克比矩阵建立关节空间与工作空间的速度关系,以得到工作空间的速度椭圆来判断足端在空间中运动的各向同性的大小。
对式(1)两边同时求导可得:


其中:

因此,关节空间与工作空间速度的关系为:



式中:J(θ)为雅克比矩阵。
在初始位姿,类昆虫式和类哺乳动物式的雅克比矩阵分别为:


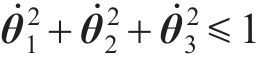
给定关节空间各关节速度的约束为:

该约束表示各关节速度是一致的,可以表示为空间上的速度球,如图9所示。

在此关节速度约束下,2种模式下足端的空间速度为:

2种模式的工作空间速度椭球如图10所示。

从图10可知:在类昆虫式和类哺乳动物式下,足端在空间中的运动都不是各向同性的。机器人单腿的主要运动在x-z平面内进行,因此,将速度椭球投影到x-z平面内,结果如图11所示。从图11可以看到:在类昆虫式下,虽然足端在x和z方向的运动不是各向同性的,但比类哺乳动物式的要好,这是因为类昆虫式下速度椭球的长短轴比要比类哺乳动物式下的小,在类哺乳动物式下,某些方向的运动能力下降,影响机器人整体的运动性能。因此,类昆虫式下机器人的运动更均衡。

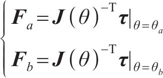
由关节空间与工作空间的速度关系可建立两空间之间力矩和力的关系:

同样,给定关节空间各关节力矩的约束:

该约束表示各关节力矩是一致的,在空间上可以表示为力矩球,如图12所示。

在此关节力矩约束下,2种模式下足端的空间力为:

2种模式下足端的工作空间力椭球如图13所示。从图13可知:在类昆虫式和类哺乳动物式下,足端的空间力都不是各向同性的,尤其是类哺乳动物式,各个方向相差较大。机器人单腿的主要运动在x-z平面内进行,因此,将力椭球投影到 x-z平面内,结果如图14所示。


从图14可见:与类哺乳动物式相比,类昆虫式下足端的空间力的椭圆相对均匀,关节力矩在空间各个方向产生的力更均匀。一般来说,在机器人的行走过程中,z方向的力由机器人的质量和负载产生,其大小远大于x方向或者y方向的摩擦力,因此,腿关节力矩主要用于平衡z方向的力。从克服重力和负载的能力来看,类哺乳动物式比类昆虫式的更优,这是因为其力椭圆的长轴比类昆虫式的长且更靠近z轴,这与死点支撑效应理论一致[19],说明哺乳动物肢体中的死点支撑效应大大提高了承载能力,类哺乳动物式可通过连杆来支撑质量而减少关节力矩,反之,在同等的关节力矩下,类哺乳动物式机器人比类昆虫式机器人可承载更多的质量,即其承载能力更强。
综上所述,运动能力和承载能力是对立的2种性能,因此,机器人构型应由应用需求或者设计指标来定。对于六足机器人,如果要求运动灵活,那么选择类昆虫式;如果要求能够承载很大的外部负载,那么选择类哺乳动物式。
2.2 腿臂分支构型设计及分析
机械臂与腿臂分支在操作功能实现上具有相似性,因此,机械臂的设计思路对腿臂分支的构型设计有一定的借鉴意义。人类手臂是机械臂设计的模板,人类手臂骨骼系统及主要等效关节如图15所示。从图15可以看出:人类手臂的骨骼主要由肩胛骨、肱骨、尺骨和桡骨构成,骨连接主要通过肩关节、肘关节以及腕关节实现,手臂的运动主要依赖于这3个关节的转动,并且在不考虑手部自由度的情况下,每条手臂都有7个自由度。

对于这7个自由度的分布,ROSHEIM[20]认为这7个自由度分别由肩关节(球副)等效的3个旋转关节、肘关节(转动副)等效的1个旋转关节以及腕关节(球副)等效的3个旋转关节构成(3-1-3分布);方承[21]认为这7个自由度分别是由肩关节(球副)等效的3个旋转关节、肘关节(虎克铰)等效的2个旋转关节以及腕关节(虎克铰)等效的2个旋转关节构成(3-2-2分布)。其中,3-1-3分布被应用到大多数七自由度拟人机械臂的研究中,如KUKA机器人系列、天宫空间站七自由度机械臂均是采用的这种自由度分配构型。
在本研究中,由于腿臂分支的构型设计是针对足式移动机器人的,而不是固定底座或者自动导引(automated guided vehicle,AGV),可以通过机器人其他腿分支的协调运动对腿臂分支的欠自由度进行补偿,因此,腿臂分支关节自由度数量可以减少为5个,以减少过度冗余的自由度引起的设计复杂度和控制难度增加的问题。基于腿分支的构型设计,保留髋关节、膝关节和踝关节,再增加2个自由度,即只需要5个自由度关节就可满足空间中六维的运动。
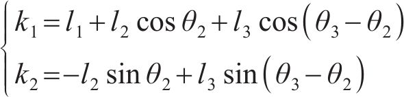
腿臂分支中增加的2个自由度是影响该分支构型的主要因素。由腿分支构型分析结果可知,小腿节具有最大的剩余布局空间,因此,可以将新增的2个自由度布置在该区域。再考虑腿臂分支在腿构型和臂构型之间的灵活切换,可以将小腿节切分为两部分,通过新增的1个自由度关节相互连接,该关节同时与操作臂连杆相连,通过该关节的转动实现腿/臂构型之间的相互切换。根据这种设计思路,腿臂分支的机构简图如图16所示。从图16可见,近体端的3个关节分别为髋关节、膝关节和踝1关节,其中,踝1关节和腿分支的踝关节一致,将小腿节切分为小腿1节和小腿2节并通过踝2关节相连接,小腿2节连接着腿构型下的足;踝2关节同时也与臂1节相连,臂1节则通过踝3关节与臂2节相连,臂2节连接着臂构型下的末端操作属具,因此,腿臂分支共由5个关节、6条连杆以及1个末端操作属具构成。

两条腿臂分支分别为腿臂1和腿臂2,在髋关节处建立坐标系







1) 近体端三关节的转动范围和腿分支的转动范围保持一致。理论上,踝2关节可以进行


2) 髋节和大腿节长度和腿分支的长度保持一致。根据

各个关节的转动范围如表1所示。
![]() | ![]() | ![]() | ![]() | ![]() |
|---|---|---|---|---|
| [0,180] | [-60,60] | [30,60] | [0,180] | [0,180] |
机器人的主要构型参数如表2所示。从表2可以发现,NOROS机器人大腿节和髋节的长度与本文的类似,而其大腿节和小腿节的长度比例趋近于1,这是因为NOROS机器人小腿具有轮行机构,按照本文所述的生物学原始比例设计虽然可以提高地形适应性,但会导致机器人轮腿切换变得困难,这说明机器人实现功能不同会导致其仿生设计参数产生差异。
| 机器人 | 髋节长度l1/mm | 大腿节长度l2/mm | 小腿节长度l3/mm | 小腿节1长度l31/mm | 小腿节2长度l32/mm | 臂节1长度l4/mm | 臂节2长度l5/mm | 本体半径/mm |
|---|---|---|---|---|---|---|---|---|
| 本文 | 65 | 120 | 270 | 200 | 70 | 25 | 105 | — |
| NOROS机器人[14] | 50 | 120 | 130 | — | — | — | — | 150 |
3 腿臂融合六足机器人系统设计
因为一般动物都通过1对腿/臂进行操作,所以,本研究确定六足机器人具有双腿臂分支,其余4条腿为普通的腿分支。综合本体构型、腿分支构型和腿臂分支构型,具有腿臂融合功能的六足机器人的完整构型设计为:4条腿分支和2条腿臂分支均布在径向对称的圆周本体上,各分支的髋关节旋转轴线垂直于本体所在平面。整体的机构简图如图17所示,图中,在地面建立全局坐标系{


已知机器人的当前参考姿态,利用机器人运动学逆解可以求解机器人的关节参考角度,从而控制机器人。机器人站立时机身成为动平台,大地为静平台,各个支撑腿为并联支链,机器人机身的位姿由各个支撑腿协调控制。依据机器人机身坐标系相对惯性坐标系的位姿,可以解算出固连在机身上的各个单腿坐标系相对于惯性坐标系的位姿,然后,根据各个支撑腿立足点相对于惯性坐标系的位置,得到支撑腿立足点相对于各个单腿坐标系的位置,再运用运动学逆解,可解算出当前位姿下各个支撑腿关节的角度,从而达到控制机器人机身位姿的目的。将机器人的期望位姿和足末端位置映射成为基于各自单腿坐标系下的位置,原理如图18所示。

已知机器人的机身的期望运动位姿为



根据得到的期望单腿运动,进行单腿运动学逆解,可以得到用于控制机器人运动的各个关节的角度。
在三维建模软件中进行机械设计(图19),并制作腿臂融合六足机器人样机,如图20所示。最后,对腿臂融合六足机器人的硬件部分进行系统设计,其硬件设计框架如图21所示。



4 六足机器人运动操作功能实验
4.1 3+3步态行走实验
径向圆周对称构型的六足机器人可以实现多种3+3步态的行走功能,以昆虫II型3+3步态为例设计相应的实验。首先,根据3+3步态进行足端轨迹规划。
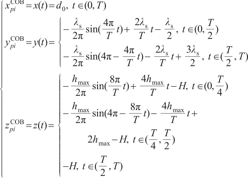
1) 对于足端位置

其中,
2) 对于足端位置
①当


其中,

②当

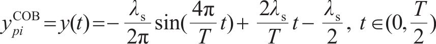
3) 对于足端坐标
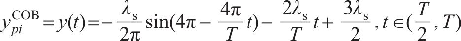
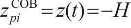
①当


其中:hmax为足端摆动最大高度;H为机器人本体高度。
②当


③当

综上所述,足端在机身坐标系中的轨迹方程为

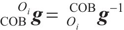
根据坐标变换可得足端轨迹

其中,

根据式(23)进行腿分支的逆运动学的求解。基于机器人的设计尺寸和行走速度0.06 m/s,令 T=1 s,λs=60 mm,hmax=30 mm,H=150 mm,单分支的足端轨迹曲线如图22所示。

不同分支在一个步态运动周期中的时序图如图23所示。根据图23规划各分支摆腿顺序,从而进行实验。六足机器人以昆虫II型3+3步态行走的实验过程如图24所示。在阶段I,机械人处于六肢体支撑站立的初始状态;接着,腿臂1、腿3和腿5抬起并向前摆动,剩余肢体支撑并蹬地(阶段II);3条摆动肢体足端越过抬起的最高点后向下摆落,其余肢体继续蹬地(阶段III);当机器人运动到阶段IV时,腿臂1、腿3和腿5足端着地处于支撑状态,而剩余的腿臂2、腿4、腿6则抬起进入摆动状态,摆动肢体和支撑肢体相互调换;阶段V中,各肢体状态和阶段III中的状态类似;阶段VI则表示机器人进入下一个步态周期,其状态类似于上一个步态周期的阶段II的状态,说明在1个完整步态周期内,几乎没有六足同时着地支撑的状态。


4.2 单腿臂夹持实验
与腿分支相比,腿臂分支具有5个自由度,当腿臂分支通过踝2关节旋转将臂1节以下部分折叠收入小腿1节内时,小腿2节连接的足伸出,腿臂分支可以实现与普通腿分支相同的摆动和支撑功能,而当腿臂分支通过旋转踝2关节将臂1节以下部分伸出时,该分支改变构型为一个五自由度的机械臂,可以实现操作功能,可见这种构型的腿臂分支可以实现腿功能和臂功能之间的灵活切换,效率较高,并且减小了一般腿臂融合分支操作时足部分的不良影响。在臂2节末端安装夹持器(图25)即可实现单腿臂夹持功能。六足机器人单腿臂夹持实验如图26所示。


从图26可见:在单腿臂夹持过程中,机器人首先保持阶段I中的初始站立姿势;然后,其中一个具有夹持器的腿臂分支通过旋转踝2关节将其切换至操作模式状态(阶段II);接着,该腿臂分支调整末端位姿从而接近目标(阶段III),在此过程中,机器人也可以通过其余5条腿的协调运动来调整末端夹持器的位姿;夹持器到达目标位置后,对目标物体进行夹持操作(阶段IV);最后,六足机器人利用腿臂分支将目标物体夹取并抬起,同时可利用特殊的五足步态进行搬运操作[22]。
5 结论
1) 参考生物学原理,依照蚁科动物的肢体结构,确定最优的关节转角范围、髋节长度以及大小腿节的长度比例,并从工作空间、速度椭圆和力椭圆三方面评估六足机器人类昆虫式和类哺乳动物式的运动能力和承载能力,从而完成了机器人腿分支的构型设计以及尺度综合。
2) 以人类手臂为设计灵感,对其主要关节进行简化和等效,设计了一种具有五自由度的腿臂分支,其可以通过旋转踝2关节实现腿模式和臂模式之间的灵活切换。
3) 设计了机器人整体系统,并对机器人的步行功能和操作功能进行了实验验证。研究结果为后续机器人多腿臂协调操作以及移动操作奠定了基础。
Agricultural entomology (a teaching draft for crop protection students)
[EB/OL]. [郑羿, 饶思贤, 高佳篷. 腿臂融合六足机器人仿生设计及分析[J]. 中南大学学报(自然科学版), 2025, 56(2): 545-559.
ZHENG Yi, RAO Sixian, GAO Jiapeng. Bionic design and analysis of a novel hexapod robot with leg–arm integration[J]. Journal of Central South University(Science and Technology), 2025, 56(2): 545-559.






