随着高速铁路的快速发展,中国开启了智能高速铁路建设新篇章,提出了智能高速铁路的科学定义和技术内涵,创新了“模数驱动、轴面协同”理论,推动数据分析能力走向预测性分析应用[1]。在接触网运维方面,随着设备运营时间持续增加,因设备状态异常导致的弓网故障时有发生,易造成接触网设备的损坏、损毁,影响列车运行[2]。为避免此类故障发生,在“模数驱动、轴面协同”理论指导下,提出基于数据特征识别的接触网设备状态预警方法,提升运维的智能化水平,降低设备运行风险。长期研究积累发现,接触网设备状态变化与检测数据密切相关。运营条件下,当没有维修、改造等外部输入时,设备状态正常处所的长期检测数据稳定性较好,但当设备状态出现异常后,部分检测参数会产生特定的模式响应。例如,当补偿装置卡滞时会严重影响接触网弹性,导致该锚段在不同环境温度下采集的接触线高度、弓网接触力等检测数据发生显著变化;当出现支柱基础移位、支柱倾斜或定位器支座滑移时,会导致定位点附近连续多次几何参数检测数据发生变化。因此,可以依托不同类型、不同来源的检测监测数据,运用特征建模、机器学习等数据挖掘技术获取数据中隐含的有用信息[3],以此来表征设备的运行状态,进而实现不良设备状态预警的目的。事实上,此类基于数据驱动的设备状态评估与故障预警技术已在多种工程领域中获得了成功运用。例如,靳志杰等[4]提出了一种基于特征选择和极端梯度提升算法的风电机组故障预警方法,该方法采用随机森林的袋外估计进行特征选择,基于极端梯度提升算法搭建诊断模型,并通过网格搜索和交叉验证对算法参数进行优化,实证分析表明该方法比传统算法的预警准确率更高。付骏宇等[5]提出了一种基于双通道数据主振动特征提取的水电机组轴系故障预警方法,该方法利用主成分分析法对轴系双通道时域振动信号进行数据融合与特征提取,再利用支持向量机算法进行分类诊断,实证分析表明该方法可以消除主振动方向变化带来的影响,提升类内聚类和类间分离的效果,最终提高故障预警的准确率。叶育林等[6]提出了一种基于特征量优选的变压器故障预警模型,该方法采用优化算法对构建的21维变压器油中溶解气体特征量进行优选,采用随机森林算法训练预警模型,通过与不同特征量、不同分类算法的预警结果对比,结果表明该方法的准确率显著优于其他方法。杨建伟等[7]提出一种结合小波包与BP神经网络的车辆滚动轴承故障预警方法,该方法采用小波降噪和小波包分解方法构造特征量,最后采用BP神经网络进行训练,试验结果表明该方法能很好地诊断轴承出现的疲劳、磨损、剥落和裂纹等故障。上述示例均采用基于采样信号的特征建模技术和机器学习算法实现了对各类工程领域设备的故障预警。经过多年发展,供电安全检测监测系统已在全路广泛运用,积累了海量的检测监测数据[8],这为开展设备故障智能预警技术研究创造了有利条件。本文以“数据准备-特征提取-算法构建-试验验证”为主轴,通过提取支柱倾斜、定位器受力异常、补偿装置偏磨卡滞等典型设备异常时的检测数据特征,构建接触网几何状态不良、定位器受力状态不良和弹性状态不良预警算法,并利用实测数据开展试验验证,为保障系统安全运行、实现接触网设备精准施修提供技术手段和依据。
1 接触网设备状态不良预警模型
基于数据特征识别的接触网设备状态不良预警模型如图1所示,该模型包括粗差修正、定位点识别、里程校正、特征提取、算法构建和试验验证等内容。

模型中采用的检测数据来源于弓网综合检测系统,该系统可采集接触网动态几何参数和弓网受流参数,采样频率为4次/m。弓网综合检测系统主要依靠安装在车辆轮轴上的光电编码器触发采集数据,实现等距采样和实时车速监测,在受电弓弓头装有压力和加速度传感器,用于测量弓网接触力和硬点,在车顶受电弓附近装有光学检测梁,用于测量接触线高度和拉出值[9],部分传感器安装示意图如图2所示。在接触网检修中,弓网综合检测系统的运用频率高、时空同步好且数据存储规范,可为算法的构建和试用提供良好的数据基础。

粗差修正、定位点识别和里程校正是为开展预警算法构建进行的数据准备工作,主要目的是提升后续步骤的执行效率和计算准确性。
通过长期检测积累和专家经验,总结与特定设备状态不良密切相关的检测参数变化规律,对数据特征进行分类,如支柱倾斜与定位点处的接触线高度和拉出值密切相关、补偿装置卡滞与中心锚结处的弓网接触力和接触线高度密切相关等。
特征提取是指对特定设备状态不良引发的数据响应模式进行多维度量化描述,其本质是实现数据降维的同时又保留原始数据的特定模式。
预警算法构建是指依托海量检测监测数据,采用机器学习等方法训练预警模型,实现针对典型设备状态不良的准确辨识。
2 数据预处理方法
2.1 粗差修正
弓网综合检测系统安装在车顶,受强光、雨雪和高压电磁干扰等因素影响,检测数据中往往包含1%~5%的粗差数据[10]。为减小干扰数据对预警结果的影响,需要对检测数据进行滤波。基于卡尔曼滤波(Kalman Filtering, KF)[11-12]思想的粗差数据修正方法主要步骤如下。
步骤1:利用矩形窗函数定义系统状态值,将t时刻的系统状态值定义为

式中:



步骤2:依托











2.2 定位点识别
依托定位点识别实现以“跨”为单位的检测数据精准分割,对预警特征量构造至关重要,有助于确保预警结果的准确性与可靠性。利用接触网拉出值布置特征实现定位点自动识别的主要步骤如下。
步骤1:将拉出值检测数据视为由线路公里标和拉出值组成的2维轮廓曲线,利用曲线到弦的比例(Curve to Chord Ratio,CCR)算子[13]构造角点特征量。
步骤2:采用非极大值拟制(Non-Maximum Suppression,NMS)[14]算法方法实现接触网支柱初始定位,将角点特征量的局部极大值作为目标,将该极大值附近的其他值都删掉,并循环操作直到找出所有局部极大值。
步骤3:对初始定位点的可靠性进行评估,两相邻初始定位点之间的距离越近,对其角点特征量施加的惩罚系数值越大,若施加惩罚系数后的角点特征量小于NMS阈值,则剔除该初始定位点。
步骤4:若某两相邻初始定位点之间的距离过大,或显著大于附近任意两相邻定位点之间的距离时,则在它们之间角点特征量最大值处增补定位点。
2.3 里程校正
弓网综合检测系统的数据采集过程中,由于定位误差、检测装备安装位置差异等因素导致多次检测数据存在里程偏差的问题普遍存在,偏差值通常在5~20 m[15]。为方便分析同一设备处的多次检测数据,需要对数据中存在的里程偏差情况进行校正。利用接触网几何特征进行里程校正的主要步骤如下。
步骤1:以接触网等高点为分段点,将检测数据划分为多个片段。
步骤2:设





式中:


步骤3:采用线性插值方法,将片段




3 接触网典型设备状态不良预警方法
3.1 几何状态不良预警
接触网部件在经历持续的随机振动和频繁载荷作用下,可能会出现接触线几何参数相对于初始状态的偏移,从而影响列车受电弓与接触网的正常接触,甚至造成钻弓、打弓等故障,严重威胁列车运行安全。因此,研究接触网几何状态不良预警方法,及时辨识几何状态变化处所。
3.1.1 数据特征提取
跨作为接触网的基本结构单元,各跨内的动态检测数据模式具有相似性,以跨为单位构建接触网几何状态不良预警特征量。
设第







采用





3.1.2 预警算法构建
接触网几何状态不良预警方法的主要目的是辨识几何参数变化处所,由于受电弓型号、检测速度等运行工况会显著影响几何参数检测数据,如何规避此类工况影响并准确辨识因接触网设备状态异常导致的参数变化是进行几何状态预警的主要技术难点。若以受电弓型号、检测速度等运行工况为依据对跨进行分类,将各个分类中出现的几何参数变化的处所视作离群点,则接触网几何状态不良预警问题便可以转化为一个情景离群点诊断问题。
基于密度的离群点诊断算法使用对象和其近邻的相对密度指示该对象的离群程度,能够同时获取全局和局部离群点[18],故采用基于密度的离群点诊断算法构建几何状态预警算法,具体步骤如下。
步骤1:以跨为单位,对接触网几何参数差值特征量进行分类。
步骤2:设某类中包含的特征向量数为


定义该集合中任一对象




1)至少有K个对象

2)至少有K-1个对象

换言之,


步骤3:定义对象




步骤4:定义从另一对象


即对象

步骤5:定义对象

由式(6)可知:对象


步骤6:定义对象

由式(7)可知:对象


步骤7:以
3.2 定位器受力状态不良预警
定位装置在定位点处实现接触线相对于线路中心的横向定位,当定位器的水平拉力状态不良时,定位钩会沿着定位支座的内侧弧面逐渐往下滑动,定位钩与定位支座的接触点由1个变为2个,当受电弓经过时,定位器会围绕着钩环结构的2个接触点与定位支座发生相对转动,这会显著加剧定位支座和定位钩接触部分的磨耗。长期运行状态下,可能导致部件断裂,严重影响运行安全。因此,研究接触网定位器受力状态不良预警方法,精准辨识定位器受力不良处所。
3.2.1 数据特征提取
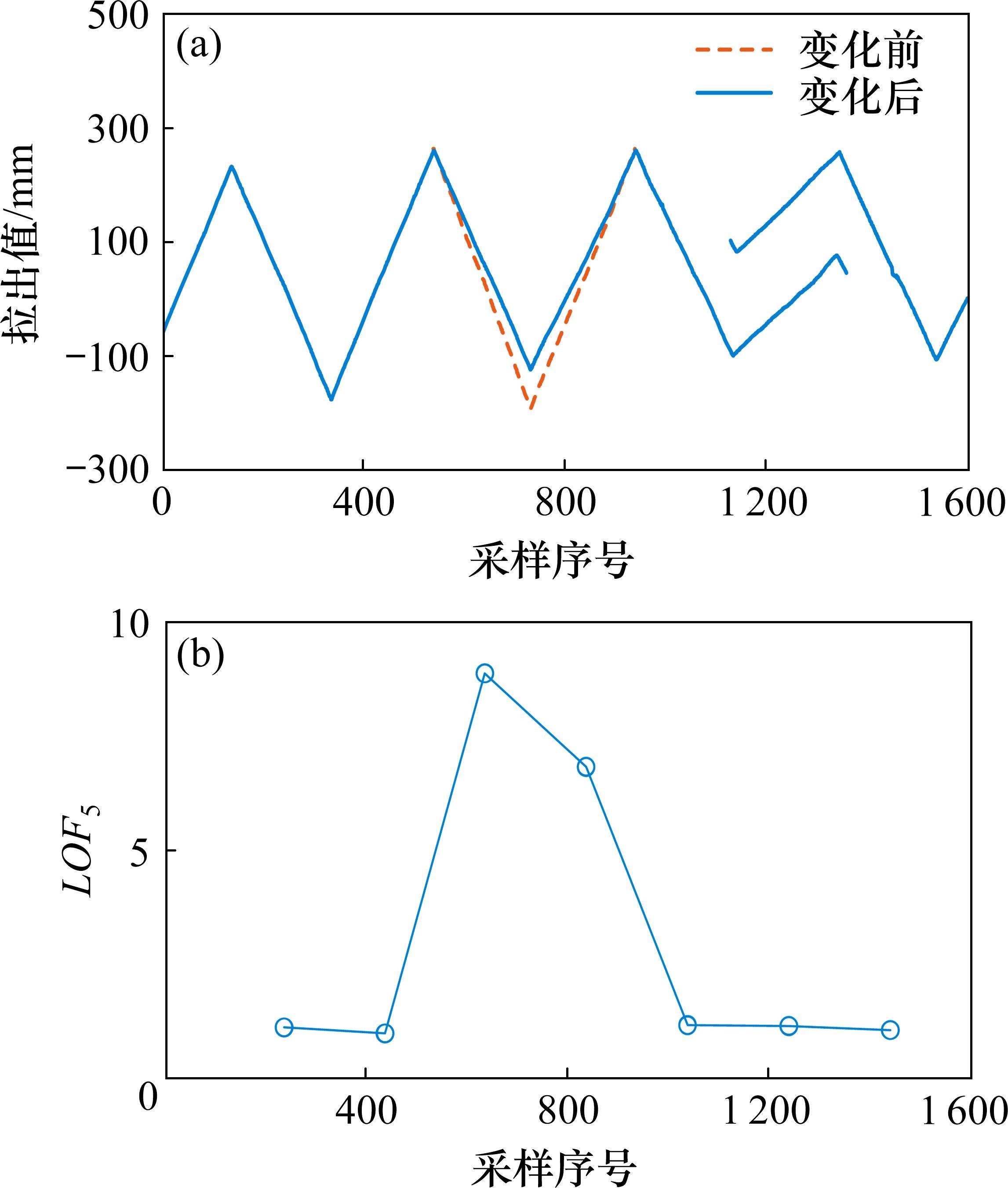
当定位器受力状态不良时,直线区段和曲线区段(曲率半径为4 500 m)的拉出值检测数据如图3所示。图中:P,Q点的定位器受力状态不良。

由图3可知:点P与两侧相邻定位点处的拉出值构成一条直线,点Q与两侧相邻定位点处的拉出值构成一条平滑曲线,检测数据在P,Q这2点处均无角点特征,但在其他定位点处存在显著角点。
CCR算子利用三角形边长原理来实现角点检测,是目前性能最优的轮廓角点检测算法[19],其主要优势是检测性能好、计算复杂度低、识别准确率高,而且能够有效区分真实角点和圆形角点。
图4为CCR算子原理图。

设任一采样序号










根据三角形原理,弧长










3.2.2 预警算法构建
为提升角点检测效率,降低诊断阈值的确定难度,采用不同尺度下角点特征量乘积的方式增强定位器受力状态不良处所与正常处所的差异。
设





式中:

以
3.3 接触网弹性状态不良预警
当补偿装置出现偏磨卡滞等异常情况时,伴随着外部环境温度变化,中心锚结两侧长时间承受不对称的作用力,使得接触悬挂系统向一侧偏移,会导致接触网的弹性状态变差,影响列车的安全、稳定取流。因此,研究接触网弹性状态不良预警方法,提前发现补偿装置状态异常处所。
3.3.1 数据特征提取
长期检测积累发现,当补偿装置偏磨卡滞时,锚段内接触线高度检测数据存在2类常见的响应模式。补偿装置状态异常时的典型数据如图5所示。图中:方框内为中心锚结区域。

由图5可知:响应模式1和模式2的接触线高度数据特征存在显著区别,模式1在中心锚结区域内呈现明显的倒“V”形,模式2在中心锚结外部两侧的量值呈现明显差异。为方便表述,后文将这2类响应模式分别称为A类异常和B类异常,归纳不同异常对应的数据特征见表1。
| 类型 | 接触线高度特征 |
|---|---|
| A类异常 | 特征1:中心锚结区域峰值显著较大 特征2:中心锚结区域呈现倒“V”字形 特征3:中心锚结区域波动显著较大 |
| B类异常 | 特征4:中心锚结区域相邻跨存在突变 特征5:中心锚结区域2侧呈现显著差异 特征6:锚段一侧整体大于另一侧 |
采用多种时序数据分析方法对表1中各项数据特征进行量化,形成的各特征量定义如下。
1) 接触线高度峰值量
2) 接触线高度峰形量

式中:




中心锚结区域接触线高度倒“V”形关键点提取示意图如图6所示,点A为倒“V”形的峰值点,点A与跨中的相对距离

式中:



3) 接触线高度波动量
4) 接触线高度突变量
5) 接触线高度平均差
6) 接触线高度差异率

其中,




式中:






3.3.2 预警算法构建
利用随机森林算法训练分类模型,实现补偿装置状态异常识别,形成接触网弹性状态不良预警方法,具体步骤如下。
步骤1:基于接触线高度检测数据计算各项特征量,通过现场复核确认设备状态,以设备状态正常锚段为正样本、异常锚段为负样本,分别构建A类和B类2类异常的样本库,并对各样本的质量进行评估,剔除离群样本。
步骤2:采用皮尔逊(Pearson)相关系数[20]对任意2个特征量之间的相关性进行分析,通常情况下2个特征量的相关系数大于0.7即可认为它们具有强相关关系[21]。对于强相关特征量,采用主成分分析法[22](Principal Component Analysis,PCA)对原特征量进行重构,选择累积贡献率超过95%的主成分作为新特征量。
步骤3:采用以决策树[23](Decision Tree,DT)作为基学习器的随机森林算法[24](Random Forest,RF)进行训练,采样装袋方法采用有放回抽样,同时,参与训练的特征量也由随机抽样产生。采用基尼指数作为决策树构建中的分裂指标,计算式为

式中:






步骤4:采用总体准确率、真负率、假正率对模型进行评估,选择获得最佳分类模型。利用分类模型对锚段进行分类,将分类属于异常的锚段作为预警结果输出。
4 试验验证
依托2024年1月至6月的弓网综合检测系统检测数据,对本文提出的接触网几何状态不良预警方法、定位器受力状态不良预警方法和弹性状态不良预警方法进行试用,试用线路以国内高速铁路和普速铁路干线为主。累计预警几何状态不良551处、定位器受力状态不良87处、弹性状态不良213处,总体准确率93%,现场复核发现了292处支柱倾斜、套管滑移类严重隐患,20处定位部件严重磨损,以及60处由轴承损坏、补偿绳窜槽脱槽等导致的补偿装置严重卡滞。试用结果表明本文所提出接触网典型设备状态不良预警方法具备可行性,能够精准定位典型设备状态异常处所。
以下对各算法进行验证。
4.1 几何状态不良
利用几何状态不良预警算法对某350 km/h高速铁路线路进行计算,发现某定位点左侧跨的





现场复核发现,该定位点处的腕臂套管座顶紧螺栓松动,在接触悬挂水平载荷作用下,腕臂套管座向承力索座方向滑移,如图8所示。由此可见,上文定义的局部离群因子能够有效辨识几何参数变化与否。

4.2 定位器受力状态不良
利用定位器受力状态不良预警算法对某350 km/h高速铁路线路进行计算,发现某定位点的



由图9可知:④处的


现场复核发现,某高速铁路发现一处定位器受力状态不良,现场复核发现该处的定位底座上出现明显磨痕,如图10所示。

4.3 弹性状态不良
利用弹性状态不良预警算法对某350 km/h高速铁路线路进行计算,发现一锚段存在B类异常,该锚段的接触线高度检测数据如图11所示。

由图11可知:锚段左侧接触线高度整体下降,该锚段的特征量如表2所示。由表5可知:与B类异常相关的特征量


| 特征量 | 卡滞前 | 卡滞后 | 变化比 |
|---|---|---|---|
| HMP | 4.666 7 | 2.614 3 | 0.56 |
| HMS | 0.173 9 | 0.078 1 | 0.45 |
| HMD | 2.035 7 | 2.212 8 | 1.09 |
| HMM | 3.512 8 | 43.572 8 | 12.40 |
| HAD | 1.773 9 | 49.138 4 | 27.70 |
| HDR | 0.571 4 | 1.000 0 | 1.75 |
现场复核发现,该锚段接触线补偿棘轮轴承处缺油导致传动效率下降,环境温度升高后接触线张力减小,棘轮在重力作用下发生位移,导致棘轮齿尖与制动卡板接触卡滞,如图12所示。

5 结论
1) 归纳得到了典型设备状态不良的主要数据特征,通过特征建模实现了数据降维,无须训练海量的原始数据,仅需要少量的特征数据及人工标签即可完成训练;实证分析结果表明各项特征量可分性良好,能够准确反映接触网设备状态变化。
2) 在大范围的现场试用过程中发现了多处设备安全隐患,各项预警方法的现场复核准确性均较高,显著提升了维修精准性,有效避免了故障发生。
3) 后续可通过试用持续扩充样本库,依托样本库对算法进行优化迭代,逐步提升预警准确率;同时,持续研究其他设备状态变化关联的检测参数响应模式,参照本文模型,不断拓展接触网设备状态不良预警算法。
王同军,柯在田,王婧.基于数据特征识别的接触网典型设备状态不良预警[J].铁道科学与工程学报,2025,22(03):1396-1406.
WANG Tongjun,KE Zaitian,WANG Jing.Early warning of typical equipment malfunctions in overhead contact systems based on data feature recognition[J].Journal of Railway Science and Engineering,2025,22(03):1396-1406.

