我国市政管网系统建设滞后,随着城市规模不断扩大,导致“拉链式”马路、“蜘蛛网式”架空线等问题日益突出。为解决管网结构功能、美观性等方面与城市发展严重不协调问题,同时兼顾施工效率与成本控制,一些学者提出了预制沟道式管廊结构形式。但普通混凝土管廊(后简称“NC管廊”)在大荷载作用下易出现接头破坏[1],具体表现为管段拼缝张开量过大,接头部位破碎甚至崩裂,影响廊内管线的正常使用。在地质不均匀沉降区域,管廊接头可能会发生竖向错位与结构损伤,导致地下水渗入进入廊体,进而大幅缩短管廊构件的使用寿命。因此,亟需对预制沟道式管廊接头的力学性能开展深入研究。国内外学者对预制装配管廊的接头力学性进行了研究。薛伟辰等[2-3]分析了采用预应力筋连接的综合管廊接头受力性能。凌同华等[4]应用ABAQUS有限元软件建立预制拼装管廊节段与土体纵向三维模型,研究预制拼装综合管廊承插式接头抗剪性能。王庆华等[5]通过建立考虑拼缝构造影响的横向接头有限元分析模型,开展管廊横向接头的抗弯性能研究。国外学者对管廊接头力学性能研究较少。TAO等[6]通过大型复杂地下管沟结构三维地震分析模型,对大型复杂地下管沟结构整体和局部节点受力性能进行研究。ZHANG等[7]基于现有试验方法在边界条件的不足,设计了一种可保持节点纯弯状态的加载装置。LI等[8]研究了管廊接头厚度和加强筋对新型预制管片衬砌的影响。目前,对管廊接头研究主要集中在干线管廊,缺乏对支线管廊尤其工程广泛采用的预制沟道式管廊接头性能的研究。超高性能混凝土(ultra-high performance concrete, UHPC)是以水泥材料为基底,掺入细骨料和硅灰,并加以高效减水剂和钢纤维搅拌制成的材料。与普通混凝土相比,UHPC由于具有良好的机械性能(超高抗压强度、高抗拉强度)、优异的耐久性、超高的稳定性和可塑性、维护成本低、环保及可持续性等优势,被大量应用于各种工程领域中[9]。本研究将UHPC材料用于管廊接头受力薄弱的腋角处,采用试验和有限元计算方法,与普通混凝土构成新型管廊接头(以下简称UHPC-NC管廊),提高接头的抗弯剪承载力和耐久性能。研究成果可对预制沟道管廊接头性能的提升提供参考依据。
1 UHPC材料提升接头受力性能试验
1.1 混凝土材料制备测试
用于制备本研究使用UHPC的组成材料有P.O52.5标号普通硅酸盐水泥、粒径0.4~0.6 mm河沙、硅灰、聚羟酸高效减水剂、光面平直型镀铜钢纤维,部分材料如图1所示。其中镀铜钢纤维直径为0.18 mm,长度为13 mm,抗拉强度大于2 000 MPa,具体的原材料及配比如表1所示,钢纤维体积掺量为2%。

| 材料 | 水泥 | 硅灰 | 砂 | w | SP | SF |
|---|---|---|---|---|---|---|
| 配合比 | 988 | 172 | 1 115 | 130 | 39 | 150 |
UHPC材料的配比及制备均在荣华建设科技公司装配式结构配比室完成,采用容量为60 L的混凝土搅拌机(图2(a))进行搅拌,考虑到要使钢纤维均匀地分布在水泥基体中,每次搅拌25 L。加入水泥、硅灰和砂等干混料预搅拌5 min,使各种材料充分混合。在预搅拌完成后,搅拌机工作的同时,再将掺有水的聚羧酸高效减水剂缓慢加入搅拌机中5 min,在90 s内缓慢加入钢纤维,由于搅拌机较大,不能进行高速搅拌,故低速搅拌6~8 min以上,使钢纤维均匀分散后,停止搅拌(图2(b))。

1.2 UHPC-NC管廊试件制作
UHPC-NC管廊构件设计与2种材料的交界面如图3所示。其中上、下角是螺栓连接的腋角处,为接头受力破坏薄弱处[1],采用UHPC材料进行局部加强,其余部位均为普通混凝土。试件具体参数设计如表2所示。试验共对4组UHPC-NC管廊试件开展抗弯和抗剪力学性能试验。

| 试件名称 | 下腋角长度/mm | 钢棒数量/mm | 螺栓预紧力/kN | 螺栓布设位置 | 试验工况 |
|---|---|---|---|---|---|
| CT-1 | 300 | 2 | 25 | 下腋角 | 抗弯试验 |
| CT-2 | 400 | 2 | 15 | 下腋角 | |
| CT-3 | 300 | 2 | 25 | 下腋角 | 抗剪试验 |
| CT-4 | 300 | 4 | 15 | 上、下腋角 |
制作管廊时采用“热接头”[9]形式浇筑2种材料,即在浇筑时,允许2种材料自由流动,且可以相互掺合。从2种混凝土浇筑、振捣和养护后成型交界面(图5(c))可以看出2种材料较好地融合为一体,未发现离析现象。


1.3 试验加载与布置
试验加载装置包括结构反力架、分配梁、100 t液压千斤顶、测试装置、压力传感器、直线型位移传感器和规格为120-80AA的混凝土应变片等。图4为接头抗弯剪试验布置与内力图。
管廊试件采用分段加载法进行试验。在试件产生微小裂缝之前,施加速率为5 kN/min的力控制加载,荷载按50 kN的阶次递增,观察管廊试件的裂缝。在试件产生裂缝后,荷载按25 kN的阶次递增。
在抗弯性能试验过程中,接头试件满足平截面假定,即螺栓伸长变形时,接头端只发生相对转动,接头承载变形关系如图5所示。变形过程的几何关系式按式(1)近似进行计算,忽略上部受压区挤压变形。抗剪试验中的错动量指接头相对错动量。

式中:


1.4 测量内容
应变片的布置用于收集试验过程中构件混凝土的力学特性变化,位移计的布置用于收集构件接头位移变化,为研究试验构件力学性能提供数据支撑。混凝土应变片布置如图6(a)所示,总布置测点36个,由于篇幅限制仅展示了28个应变测点位置,剩余8个应变测点布置在UHPC材料和普通混凝土交界面处。抗弯、剪试验位移计均设置12个,集中在接头位置和拼缝位置,布置图见图6(b)。数据的采集均采用DHDAS动态信号采集分析系统,采样频率均为2 Hz。

2 接头性能试验结果与分析
2.1 抗弯试验
1) 力与变形
图7(a)和图7(b)为2个试件接头力与变形曲线,以及与NC管廊试件的对比曲线。在抗弯试验中接头钢棒受拉力,沿腋角方向与钢棒接触的混凝土受压力。从图中可以看出,各试件随加载值提高,位移不断增大,经历了弹性、滑移和强化3个阶段。其中滑移平台段为螺栓预紧力消压完全,端部锚固螺帽出现轻微滑移所致。试件CT-2接头刚度小于试件CT-1,是因为试件CT-1钢棒预应力大于试件CT-2,表现为弹性抗弯刚度较大。在滑移阶段预应力被抵消,2条加载曲线交叉,之后加强阶段2个试件的刚度相同。

表3给出3种接头形式抗弯承载力和不同阶段的刚度值,从表4可以看出,采用UHPC对接头力学性能进行提升后,接头的弹性抗弯刚度由4.5×104 (kN∙m)/rad增加到12.1×104 (kN∙m)/rad和9.8×104 (kN∙m)/rad,分别提高165.2%和117.8%。这是由于UHPC材料具体很高的弹性模量,弹性阶段变形更小。3种接头形式加载结束后承载力分别为196、430和440 kN∙m,采用UHPC后分别提高134%和141%,并且提升后接头腋角处UHPC材料只出现裂缝,未见明显破坏。而普通混凝土构件接头腋角因发生崩裂破坏而终止试验。这体现了UHPC材料具有较高抗压强度,对接头抗弯承载力提高明显。
试件 名称 | 弹性段终点 | 滑移段终点 | 破坏点/加载终点 | K/104(kN∙m∙rad-1) | |||
|---|---|---|---|---|---|---|---|
| φ/rad | M/(kN∙m) | φ/rad | M/(kN∙m) | φ/rad | M/(kN∙m) | ||
| NC管廊 | 0.003 | 76 | — | — | 0.008 0 | 196 | 4.5 |
| CT-1 | 0.003 | 270 | 0.004 5 | 310 | 0.007 0 | 430 | 12.1 |
| CT-2 | 0.004 | 390 | 0.005 5 | 330 | 0.007 8 | 440 | 9.8 |


试件 名称 | 弹性段终点 | 破坏点/加载终点 | K/ (kN∙mm-1) | ||
|---|---|---|---|---|---|
| 错动量/mm | Q/kN | 错动量/mm | Q/kN | ||
| NC管廊 | 0.6 | 60 | 5.8 | 134 | 120 |
| CT-3 | 0.8 | 170 | 14 | 313 | 187.5 |
| CT-4 | 0.6 | 170 | 14 | 410 | 340 |
2) 应力-应变
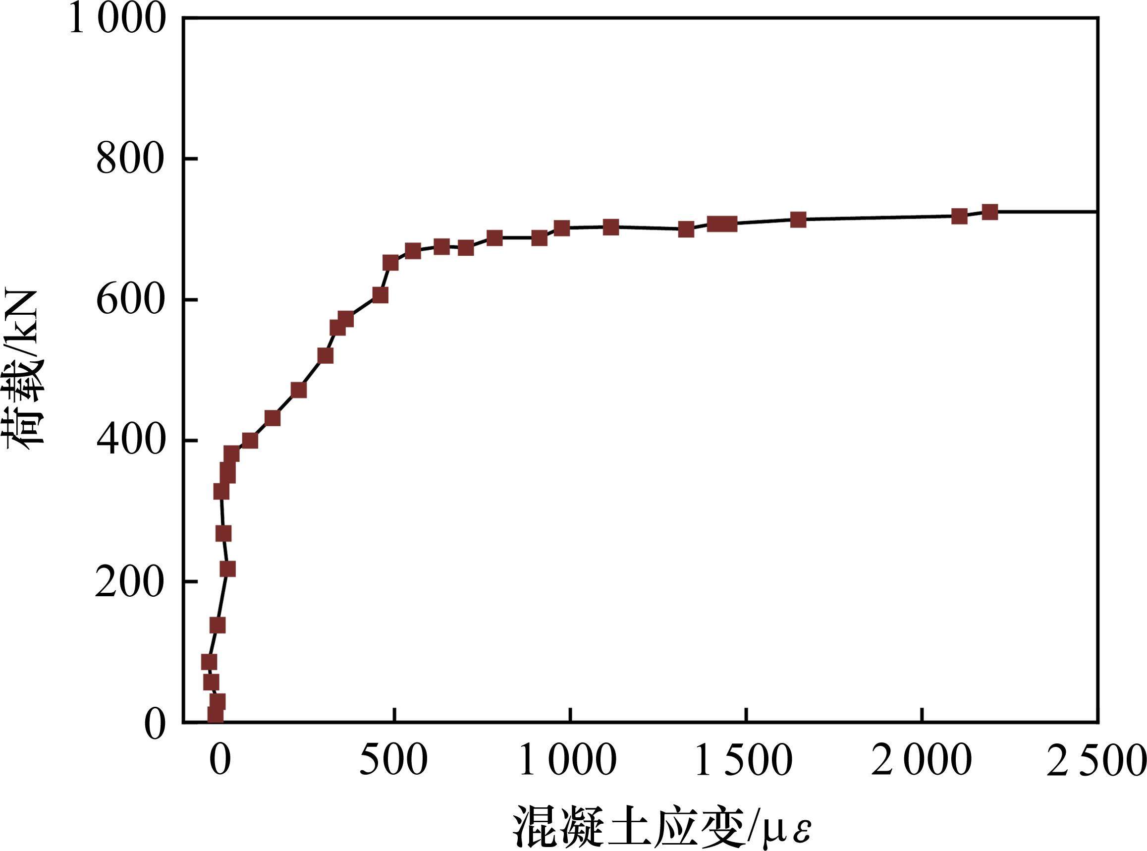
腋角UHPC材料应力应变曲线如图7(c)所示。从图中可以看出,腋角UHPC材料应变随着外荷载的增大,应变逐渐增大,试验中最大压应变2 150 με,未达到其峰值压应变3 300 με,这说明该处混凝土未被压碎。相较采用普通混凝土接头加载到560 kN即发生崩裂现象[1],体现了UHPC材料的高强高韧受力性能。
图7(d)为CT-1试件侧壁2种混凝土材料交界面荷载-应变曲线。如图所示,2种材料交界面的应变分布在整个加载过程中均呈现高度一致性,表明在抗弯状态下,2种材料具有良好的协同受力性能,未出现显著的界面裂缝。
2.2 抗剪试验
1) 力与变形
图8为UHPC-NC抗剪试件CT-3和CT-4接头试验曲线,并给出了其与普通混凝土制作试件的对比曲线。抗剪试验中接头钢棒受剪力,腋角处与钢棒接触的上下混凝土受到压力。从图中可以看出,各试件随着加载值的提高,变形不断增大。其中UHPC-NC管廊有弹性和强化2个阶段,普通混凝土试件有弹性、强化和破坏3个阶段。提升后UHPC-NC管廊腋角处仅有微裂缝还可持续加载,而普通混凝土接头处混凝土发生崩裂破坏,已无法继续加载。这是由于UHPC材料具有超高韧性,使接头的抗剪承载力明显提高。试件CT-3接头刚度小于试件CT-4,这是因为试件CT-4在4个腋角均布置了钢棒,而CT-3只在下腋角布置,布置更多钢棒可有效限制接头处上下变形。

表4给出了3种接头形式抗剪承载力和刚度值。从表中可以看出,2种UHPC-NC接头相较于NC接头,初始刚度由100 kN/mm增加到218 kN/mm(CT-3)和283 kN/mm(CT-4),分别提高118%和183%。在抗剪承载力方面,与普通混凝土试件相比,试件接头终止加载时接头受力由134 kN增加到313 kN(CT-3)和410 kN(CT-4),分别提高179%和200%。需要说明的是,试验加载终止是考虑到加载装置的限值,此时接头尚未破坏仍可继续加载。
2) 应力与应变
接头腋角处UHPC材料承受所连接钢棒传递的压力较大,其应力应变曲线如图9(CT-4)所示。随着外荷载的增大应变也逐渐增大,当荷载值约为712 kN时应变值瞬间放大,此时材料应出现裂缝,这与试验逐级加载观察出现裂缝现象基本一致。与腋角处采用普通混凝土在加载到400 kN时发生崩裂[1]相比,UHPC材料在相同荷载条件下仍保持完整,其高强高韧性得到充分体现。

图10为抗剪试件NC和UHPC材料交界面处荷载-应变图(CT-4)。如图10所示,界面处2种混凝土的应变在整个加载过程中都比较小,最大值约为普通混凝土极限应变的4%,即材料还处于弹性阶段初期。由于2种材料应变测点位置接近,根据应力应变关系可判断出,交界面处2种材料受力性能良好,因此具有良好的协同受力能力。

3 有限元模型建立与验证
3.1 有限元模型
采用有限元软件ABAQUS建立管廊试验模型,并与试验结果进行验证分析。
1) 材料本构关系
普通混凝土本构参考《混凝土结构通用规范》[10](GB 55008—2021)取值。UHPC材料压应力-应变关系采用杨剑[11]提出的计算公式,如式(2)所示:

其中:



UHPC拉伸本构关系采用GAO等[12]提出的修正的UHPC拉伸本构关系,见式(3),得到UHPC材料的拉伸应力-应变关系。

式中:

对于拉伸中UHPC的应力-应变关系,弹性拉伸强度、极限拉伸强度、弹性拉伸应变和极限拉伸应变分别为6.0 MPa、8.1 MPa、250 µε、3 700 µε。
2) 单元与建模接触设置
管廊中普通混凝土和UHPC材料均采用C3D8R单元[13],廊体与盖板的网格尺寸设置为40 mm。UHPC接头单元采用C3D8R单元和C3D6单元,接头单元尺寸设置为3 mm。钢筋采用T3D2桁架单元进行模拟,钢筋单元通过Embed指令嵌入混凝土材料中,且忽略两者之间的滑移[14],单元尺寸设置为20 mm。
根据试验结果可知,UHPC材料与普通混凝材料之间未发生界面滑移,建模中通过Tie命令(绑定约束)实现对界面的约束。混凝土之间或与钢棒接触面之间存在的接触特性,均采用ABAQUS软件中的“罚”接触,接触面法向采用硬接触关系,切向接触面设置摩擦因数。管廊抗弯试验有限元模型如图11所示(篇幅有限,以抗弯试验模型为例),为节省数值计算时间,不受力的盖板在模型上未表示,但不影响最后模拟结果。

3) 边界条件
廊体底部采用2个钢体约束支座,且对其施加U1=U2=U3=UR1=UR2=UR3=0命令,来约束x、y、z这3个方向的平动和平面内的转动,为防止2个端面失稳,设置约束U1=UR2=UR3=0。其中U1、U2和U3分别代表有限元模型沿x、y、z坐标轴方向的位移,UR1、UR2和UR3分别代表绕x、y、z坐标轴的转动位移。
3.2 试验与模拟对比
为验证有限元建模的正确性,分别对管廊抗弯剪试验与有限元模拟结果进行分析。
1) 抗弯性能
抗弯试件CT-1、CT-2试验与有限元模拟结果对比如图12所示。从图中可以看出针对接头弯矩-转角,有限元模拟和试验结果具有较好的一致性,试件曲线都经历了弹性阶段、滑移阶段和强化阶段,仿真模拟也可以较好模拟出螺栓出现滑移的现象。试件CT-1和CT-2有限元结果得到的最大承载力,分别比试验结果增加5.19%和5.55%。误差产生的原因可能有以下2种情况,一方面是由于试验构件的收缩和水泥水化反应均会导致试件产生微裂缝,但有限元模型中不存在此类微裂缝。另一方面是模型中假定了钢筋与混凝土完美结合,这种情况对于试验是不存在的,钢筋与混凝土之间可能会发生黏结滑移。

抗弯性能试验与有限元结果的对比见图13所示,在有限元软件ABAQUS中采用等效应力云图来描述管廊试件裂缝发展,有限元模型裂缝发展与试验破坏模式基本吻合。

2) 抗剪性能
图14和图15是CT-3和CT-4试件竖向荷载-位移及接头剪力-错动量,试验与有限元模拟结果对比。可以看出2种试件数值模拟与试验结果较为接近,模型计算的最大抗剪承载力分别比试验结果增加2.45%和5.23%。


4 接头力学性能的参数分析
4.1 抗弯性能
在对管廊有限元模型建立正确性验证后,对不同接头参数对抗弯剪承载力影响进行研究,将接头弯矩或剪力峰值定义为承载力。
表5给出对接头抗弯承载力影响较大的3个因素,即管廊接头UHPC腋角高度、腋角长度和强度及各参数取值。管廊其他参数对接头抗弯承载力影响较小,限于篇幅原因不再列出。
| 水平数 | UHPC腋角 高度/mm | UHJPC腋角长度/mm | UHPC强 度/MPa |
|---|---|---|---|
| 水平1 | 110 | 100 | 80 |
| 水平2 | 130 | 200 | 100 |
| 水平3 | 150 | 300 | 120 |
| 水平4 | 170 | 400 | 140 |
| 水平5 | 190 | 500 | 160 |
图16分别给出3个影响因素不同参数取值下,接头抗弯承载力和变形关系。

1) UHPC腋角高度
从图16(a)中可以看出,随腋角高度增大接头抗弯承载力大幅提高,腋角高度在110~170 mm范围内,提升效果最显著。当腋角高度超过170 mm后,接头抗弯承载力提升效果减弱。高度从110 mm增加到190 mm,抗弯承载力提高约176 kN∙m。
2) UHPC腋角长度
从图16(b)可以看出,接头抗弯承载力随腋角长度增加而大幅提高,尤其腋角长度在100~300 mm时,提升效果显著。长度每增大100 mm,抗弯承载能力约提高58 kN∙m。长度每增大100 mm,抗弯承载能力约提高58 kN∙m。
3) UHPC强度
从图16(c)中可以看出,随着UHPC强度提高,抗弯承载力大幅提高,尤其UHPC强度在80~120 MPa时,对接头抗弯能力提高明显。此时,UHPC强度每增加20 MPa,抗弯承载能力提高约68 kN∙m。
4.2 抗剪性能
系统研究了管廊接头UHPC腋角高度和强度,钢棒数量和预紧力及各参数对接头承载力的影响,具体如图17所示。

1) UHPC腋角高度
从图17(a)可以看出,随着腋角高度增加接头抗剪承载力大幅提高,当腋角高度超过170 mm后,对承载能力的影响减弱。其中当腋角高度在110~190 mm时,腋角高度每增大20 mm,承载力提高约38 kN。
2) UHPC强度
从图17(b)可以看出,UHPC强度增大可以明显提高接头抗剪承载力。当UHPC强度超过140 MPa后,对接头抗剪承载力影响程度变弱。其中UHPC强度在80~140 MPa时,强度每增加20 MPa,接头抗剪承载力增加了37 kN。
3) 钢棒预紧力
从图17(c)可以看出,接头抗剪承载力随钢棒预紧力增大而显著提高。当钢棒预紧力在50~100 kN范围内,对管廊抗剪性能提升效果明显,这是因为预紧力提高,增大了接头处的摩擦力,故表现为增大了接头的抗剪能力。此时,钢棒预紧力每增加25 kN,接头抗剪承载力提高30 kN。
4) 钢棒数量
从图17(d)可以看出,钢棒数量对接头抗剪性能影响较大,抗剪承载力随钢棒数量增加显著提高。钢棒数量由2根增大到4根,抗剪承载力提高196 kN,约31.3%。
5 UHPC-NC接头承载力计算
在管廊接头抗弯剪承载力参数分析基础上,研究给出UHPC-NC接头抗弯剪承载力计算公式。
5.1 抗弯承载力
王元等[15]提出均匀设计方法,其思想是将试验点均匀地散布在试验范围内,以求通过最少的试验数来获得最多系统信息的试验设计方法,且适用于因素较多和系统模型未知的情况。依据此方法采用均匀设计表U12(43)进行试验设计,对影响接头抗弯承载力的3个因素,由对抗弯承载力显著影响的取值范围划分水平和进行组合,计算得到接头抗弯承载力如表6所示。
| 组号 | UHPC腋角高/mm | UHPC腋角长/mm | UHPC强度/MPa | 接头弯矩/(kN∙m) |
|---|---|---|---|---|
| 1 | 150 | 300 | 100 | 390 |
| 2 | 130 | 100 | 120 | 307 |
| 3 | 170 | 200 | 80 | 375 |
| 4 | 150 | 200 | 120 | 416 |
| 5 | 110 | 200 | 80 | 252 |
| 6 | 130 | 100 | 100 | 276 |
| 7 | 110 | 200 | 100 | 231 |
| 8 | 110 | 100 | 120 | 241 |
| 9 | 170 | 300 | 120 | 431 |
| 10 | 150 | 100 | 120 | 320 |
| 11 | 130 | 300 | 100 | 310 |
| 12 | 170 | 300 | 80 | 352 |
回归分析是数据分析最常用的统计方法之一。多元线性回归可以较好地直接反映试件与其他因素的线性关系。均匀试验数据比较复杂,一般需要借助计算机软件对试验结果进行回归分析[16]。使用IBM SPSS Statistics数据分析软件进行拟合回归,见式(4)。

其中:HU为UHPC腋角高度;LU为UHPC腋角长度;
将上述公式用于试件CT-1和CT-2承载力计算,试验值与计算值对比如表7所示。结果显示拟合求得的公式与试验值结果较为吻合,最大误差不超过5%。因此该公式可用于UHPC-NC接头抗弯承载力的计算。
| 试件 | 试验值PR/ (kN‧m) | 计算值PS/ (kN‧m) | 试验值/ 计算值 |
|---|---|---|---|
| CT-1 | 450 | 444 | 1.01 |
| CT-2 | 462 | 480 | 0.96 |
5.2 抗剪承载力
采用均匀设计表U12(43×21)进行试验设计,对影响接头抗剪承载力的4个因素、抗剪承载力显著影响的取值范围划分水平和进行组合。通过仿真模拟与分析软件相结合的方法,得到关于UHPC腋角高度、螺栓预紧力等因素的公式(5)。

其中:HU为UHPC腋角高度;F为螺栓预紧力;
将式(5)用于试件CT-3和CT-4承载力计算,试验值与计算值对比如表8所示。结果显示拟合求得的公式与试验数据较为吻合,最大误差不超过5%,因此可用于UHPC-NC接头抗弯剪承载力的计算。
| 试件 | 试验值![]() | 计算值![]() | 试验值/计算值 |
|---|---|---|---|
| CT-3 | 308 | 312 | 0.99 |
| CT-4 | 410 | 426 | 1.02 |
6 结论
1) UHPC-NC接头沟道管廊相较普通混凝土接头,抗弯承载力为420 kN,提高约134%,抗弯刚度达到12.1×104 (kN∙m)/rad,提高约165%;抗剪承载力为226 kN,提高约179%;抗剪刚度为218 kN/mm,提高约118%。证明新型接头抗弯剪性能提高明显。
2) 影响这种新型接头形式抗弯承载力的主要因素有UHPC腋角高度、长度和UHPC强度,其显著影响区间分别为110~170 mm、100~300 mm、80~120 MPa。其中腋角高度每增加20 mm,承载力提高42 kN∙m;UHPC强度每增加20 MPa,接头承载力约提升68 kN∙m;预紧力每增加25 kN,接头承载力约提升44 kN∙m。
3) 影响UHPC-NC接头抗剪承载力的主要因素有UHPC腋角高度、强度,以及连接钢棒的预紧力和数量。其显著影响区间分别为110~170 mm、80~120 MPa、50~125 kN、2~4根。其中腋角高度每增加20 mm,承载力提高38 kN;UHPC强度每增加20 MPa,接头承载力提升约37 kN;预紧力每增加25 kN,接头承载力提升约30 kN;钢棒数量由2根增加到4根,抗剪承载力提升190 kN。
4) 采用均匀设计法设计试验工况,通过模型计算得到的UHPC-NC接头抗弯剪承载力计算公式,计算结果与试验结果较为吻合,最大误差不超过5%,证明该公式可用于新型接头形式的承载力计算。
付伟庆,黄鑫,王鑫鹏等.超高性能混凝土提升预制沟道管廊接头力学性能研究[J].铁道科学与工程学报,2025,22(03):1215-1228.
FU Weiqing,HUANG Xin,WANG Xinpeng,et al.Enhancement of mechanical performance of precast utility tunnel manhole joints with UHPC ultra-high performance concrete[J].Journal of Railway Science and Engineering,2025,22(03):1215-1228.



