新时代下,我国正处于交通强国建设和铁路高质量发展的关键时期。铁路工程作为国民经济大动脉和综合交通运输体系的骨干,其建设过程面临多重挑战和诸多不确定性[1]。同时,铁路工程建设具有规模大、标准高、工期紧、运输困难、组织协调难度大、技术复杂、质量要求高、参与方众多等特点[2]。在全球社会和经济发展中,铁路工程建设发挥着至关重要的作用,对国家发展的重要性不容忽视[3]。然而,在应对项目延期、成本超支、质量问题以及环境和社会影响等挑战时,传统的制度、管理和技术手段已经无法满足铁路工程建设日益复杂的需求[4]。一方面,铁路发展必须坚定不移地贯彻“创新、协调、绿色、开放、共享”的新发展理念[5]。在实施可持续供应链管理时,社会、经济和环境是影响供应链可持续性的主要因素[6],可以通过优化供应链网络使得供应链对环境的影响更小,消耗更少的资源和能源,给社会带来更多的正向效益,提高其整体可持续性[7]。目前大多数研究都认同将综合考虑经济成本、环境影响和社会效益作为供应链网络可持续设计的重要途径,SEYDANLOU等[8]在设计可持续供应链网络时模型目标为最小化总成本和二氧化碳排放量,并最大化就业机会。LÓPEZ-CASTRO等[9]也认为经济成本的衡量可以用供应链网络的收入和成本计算,环境影响维度考虑为碳排放,社会效益的主要目标为创造就业机会。将可持续发展理念运用于工程项目建设中也已成为重要研究趋势,HAN等[10]在综合选择铁路工程建设方案优化指标体系中加入工程技术、社会效益和环境影响指标。LEE等[11]采用可持续战略平衡交通基础设施开发中的成本、性能和环境影响,这些研究主要是定性分析,没有进行定量优化。SETYANING等[12]将可持续建筑工程实践分为可持续设计、可持续采购和可持续运输。张得志等[13]从可持续视角研究铁路工程建设供应链网络设计集成优化问题,提出了一个两阶段求解框架来决策库存控制与网络最佳流量分配。SALIMIFARD等[14]认为大约23%的全球排放量可以追溯到运输系统,因此需要重点优化建设项目交付的运输策略,目前综合考虑工程建设采购和运输环节的可持续实践较少。从供应链经济成本、供应链对环境的影响和供应链对社会的效益等多个角度优化工程供应链网络,综合考虑采购和运输环节,既能保证工程项目成本可控地完成,又能贯彻可持续发展理念,在铁路工程建设供应链管理实践中具有必要性。另一方面,在供应链系统内,各种中断事件的发生会加剧不确定性环境的复杂程度,严重影响工程供应链的绩效[15]。这些中断事件包括突发公共卫生事件、地震、火灾、洪水等导致的生产中断或设施中断,由极端天气等导致的运输路线中断等[16]。面对可能发生的中断事件,铁路工程建设项目必须提高供应链网络面对中断风险的稳定性,通过维持供应链结构和功能来保障物资供应的正常运行。在过往的制造业供应链中断风险研究中,研究者已经从传统宽泛的风险管理思维转向了主动弹性的供应链缓解策略研究[17]。CHOPRA等[18]认为决策者需要设计或选择预先设计的缓解方法来处理中断,常见的主动弹性缓解策略包括供应链节点之间的合作(例如资源信息共享[19])、供应链灵活性(例如备用供应商和运输系统[20])和供应链冗余性(例如持有缓冲库存和安全库存[21])。SURYADI等[22]在供应商选择过程中讨论了供应商储备应急库存能力的重要性,要求供应商储备一定的应急库存。KAMALAHMADI等[23]将供应商的紧急库存视为企业所有以便在供应链中断时使用,验证了供应商额外库存策略的可行性。在备用供应商灵活性策略方面,KAMALAHMADI等[24]对比了与备用供应商签订备用供应能力合同的灵活性策略和让主供应商保留一定的额外能力的冗余性策略之间的区别,得出了签订备用供应商产能对供应链具有更好缓解效果的结论。在可替代运输路线策略上,SABOUHI等[25]发现该策略能够应对供应链随机中断并节省运输成本,目前大多数文献将运输路线的选择作为供应链网络设计运输成本最小化的一部分,而不是作为缓解策略主动考虑使用可替代的运输路线方案[9]。这些研究文献说明,主动缓解策略已经被证明是提高制造业供应链弹性的有效策略。在供应链主动缓解策略组合的研究中,SANCI等[26]认为使用位于安全地区的供应商的产能,同时混合备用库存策略对供应链中断作用非常明显。总的来看,目前在同一个供应链网络模型中应用并考虑多种中断策略的文献较少[24]。提出并应用多种主动弹性缓解策略的组合,并分析这些策略对提高工程供应链网络面对中断事件恢复能力的影响是必要的。综合而言,目前在铁路工程建设物资供应过程中实现可持续目标,综合决策供应网络设计和物资运输方案,同时在供应网络设计时应用多种主动缓解策略的研究较少。因此,为了在铁路工程建设供应链中贯彻可持续理念和提高面对中断风险的稳定性,本研究提出一个综合考虑供应链经济成本、环境影响和社会效益的多目标铁路工程建设供应链网络优化模型,通过实施预留库存、备用供应商和替代运输策略来决定供应商在各个中断场景下的采购和运输决策,提高铁路工程建设供应链网络的可持续性和面对中断事件的供应稳定性。在求解过程中设置中断场景缩减问题规模,并对物资需求的不确定性构建相应的鲁棒优化模型。最后通过对实际案例分析,得到各弹性缓解策略及其组合对铁路工程建设供应链网络应对不同中断场景的缓解效用,同时,通过对不确定性参数的敏感性分析给出额外的管理建议。
1 问题描述与基本假设
考虑铁路工程建设过程中可能发生的生产供应中断和运输供应中断风险,基于工程项目物资供应的实际需要,设计了一个由供应商、物资储备基地、加工配送中心和施工需求点组成的4级铁路工程建设供应链网络,网络结构如图1所示。工程物资由主供应商或备用供应商运输到物资储备基地,这些供应商都会面临供应中断的风险。为了分析这些中断风险对供应链网络带来的影响,定义一组中断场景,在每个场景中刻画某个供应商或多个供应商中断的情况。物资储备基地负责集中大量地存储工程物资,根据网络结构的对应服务关系将物资运输到各加工配送中心,加工配送中心容量较小,距离施工需求点更近,负责完成必要的工程物资流通加工例如钢材的切割,最后将物资配送到各工段需求点。由于工程项目的实际施工情况具有一定的不确定性,需求点的物资需求也具有一定的不确定性。

中断事件的发生会让供应商发生生产供应中断或运输供应中断,具体来说,2类供应商的中断事件被纳入考虑,一类是单个供应商因为产能受损或库存失效等原因,不能按原供应计划提供物资,发生生产供应中断;一类是供应商原有的运输能力受损,不能将工程物资运输到物资储备基地,发生运输供应中断[27]。为了提高供应链网络在中断风险中的稳定性和恢复能力,考虑以下3种主动弹性缓解策略:
1) 预留库存(RI):由主供应商额外预留一定比例的物资库存,可以在供应商发生生产供应中断时使用该部分库存。该策略会产生额外的库存存储费用。
2) 备用供应商灵活采购(OC):与供应商达成备用供应商协议,当主供应商遇到中断事件而无法满足物资供应需求时,供应网络可以从备用供应商处调用一定比例的物资。相比于主供应商,备用供应商发生产能中断的概率更小。该策略会产生额外的采购订单费用。
3) 使用紧急运输方案(AS):发生运输供应中断时,供应商可以选择使用运输量有限的紧急运输方案,恢复一定比例的物资供应能力。该策略会产生额外的固定运输费用并提高物资运输单价。
为了符合实际情况,研究模型假设如下:
1) 只考虑单一类型的物资;
2) 中转设施的位置、运营成本、最大容量等信息已知;
3) 需求点的施工成本、碳排放量和社会效益不在考虑范围内;
4) 物资在各节点之间的运输和在加工配送中心的加工活动会带来碳排放量;
5) 不考虑物资在中转节点的存储碳排放;
6) 中转设施的运营会带来一定的社会效益;
7) 中转设施能够稳定运营不会发生中断情况;
8) 需求点未被满足的物资需要额外购买,将产生一定额外购买成本。
2 模型构建
2.1 符号说明
本文的符号说明如表1所示。
| 符号 | 说明 | 符号 | 说明 |
|---|---|---|---|
| 集合 | ![]() | 需求点![]() | |
![]() | 候选供应商集合,![]() | ![]() | 主供应商预留库存比例上限 |
![]() | 候选物资储备基地集合,![]() | ![]() | 备用供应商灵活采购物资比例上限 |
![]() | 候选加工配送中心集合,![]() | ![]() | 单位物资在节点之间运输单位距离排放量 |
![]() | 需求点集合,![]() | ![]() | 单位物资加工产生的碳排放量 |
![]() | 场景集合,![]() | ![]() | 运营物资储备基地![]() |
![]() | 选择主供应商集合 | ![]() | 运营加工配送中心![]() |
![]() | 选择备用供应商集合 | ![]() | 物资储备基地![]() |
![]() | ![]() | ![]() | 加工配送中心![]() |
![]() | ![]() | ![]() | ![]() ![]() |
![]() | ![]() | ![]() | ![]() ![]() |
![]() | ![]() | ![]() | 供应商![]() |
| 参数 | ![]() | 供应商![]() | |
![]() | 供应商![]() | ![]() | 供应商![]() |
![]() | 供应商![]() | ![]() | 碳税价格 |
![]() | 主供应商供应合同签约成本 | ![]() | 单位未满足需求量额外购买成本系数 |
![]() | 主供应商预留库存单位存储成本 | 决策变量 | |
![]() | 备用供应商单位物资订单成本 | ![]() | 选择供应商![]() |
![]() | 供应商![]() | ![]() | 选择供应商![]() |
![]() | 供应商最大购买单价 | ![]() | 开放物资储备基地![]() |
![]() | 供应商![]() | ![]() | 开放加工配送中心![]() |
![]() | 开设物资储备基地![]() | ![]() | 主供应商预留库存比例 |
![]() | 开设加工配送中心![]() | ![]() | 备用供应商灵活采购物资比例 |
![]() | 物资储备基地![]() | ![]() | 供应商![]() |
![]() | 加工配送中心![]() | ![]() | ![]() ![]() ![]() |
![]() | 单位物资在供应节点之间运输单价 | ![]() | ![]() ![]() ![]() |
![]() | 供应节点之间运输距离 | ![]() | ![]() ![]() ![]() |
![]() | 场景![]() | ![]() | ![]() ![]() |
2.2 模型构建
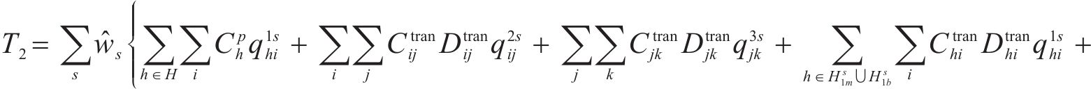
本研究构建了一个平衡经济成本、环境影响和社会效益的多目标铁路工程建设供应链网络优化模型。供应链网络经济成本包括运营成本、购买成本、运输成本和未满足需求的缺货成本。具体而言,供应链网络运营成本由主供应商合同成本、主供应商预留库存额外存储成本、备用供应商额外订单成本、储备基地运营成本、加工配送中心运营成本和紧急运输方案额外固定运输费用组成,计算方法如式(1)。

供应链网络的购买成本、运输成本和缺货成本与供应网络在各个场景下的物资运输方案有关,式(2)计算了各场景下从供应商处购买物资的成本、不同中断情景下物资在中间设施之间运输的成本和各场景下缺货导致的额外购买成本。综合得到供应链网络经济成本计算式如式(3)。



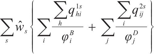
供应链网络对环境的影响考虑为2个方面,一是各个场景下物资在加工配送中心进行加工活动产生的碳排放,二是物资在各物流节点之间运输产生的碳排放,具体计算如式(4)。由于物资在中转节点因存储而产生的碳排放量影响较小且难以计量[8],本文暂未考虑物资的库存碳排放。


在供应链可持续性的第3个维度中,量化比较运营工程供应链网络带来的工作岗位能够有效衡量供应链网络的社会效益,因此将社会效益目标考虑为最大化供应网络运营带来的固定工作岗位和可变工作岗位[8]。固定工作岗位通过中转设施的运营与否计算,可变工作岗位与经过储备基地和加工配送中心的物资流量有关,具体计算方法如式(5)。


s.t.





















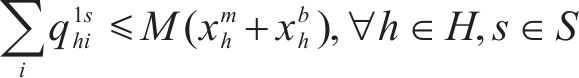
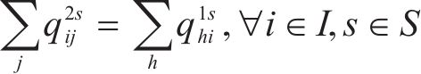
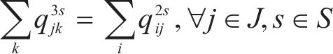
约束条件(6)确保各需求点的需求得到满足。约束条件(7)避免供应商重复签约。约束条件(8)确保中断供应商集合中的供应商至少发生一种供应中断情况。约束条件(9)~(12)约束了物资采购量不超过各个供应商在不同中断场景和使用不同缓解策略下的供应能力。约束条件(13)限制了只能从签约供应商处采购物资。约束条件(14)和约束条件(15)是物资储备基地和加工配送中心的开放与否约束。约束条件(16)和约束条件(17)保证了物资储备基地和加工配送中心的出入库物资流量平衡。约束条件(18)和约束条件(19)是物资储备基地和加工配送中心的容量约束。约束条件(20)和约束条件(21)确保决策策略的比例不超过上限。约束条件(22)~约束条件(24)是相关决策变量的非负约束和0-1约束。
2.3 中断场景设置
单个或几个随机发生的中断事件形成一个中断场景,可以通过假设每个场景最多发生的中断事件数量来控制对中断风险的规避态度。考虑到中断事件的发生并不是常有事件,为了避免问题规模过大,假设每个场景最多发生2个中断事件,影响最多





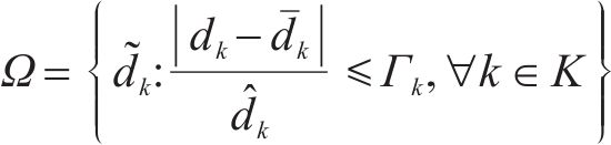
2.4 需求不确定性描述
在该模型中,需求的不确定性更适合使用基于集合的鲁棒优化方法,参考BERTSIMAS等[28]提出的基数不确定集方法,该方法能够有效规避不确定性参数对模型解的扰动,更准确地描述不确定性需求的波动情况。假设各需求点的物资需求量


其中,






2.5 多目标求解
对于衡量供应链网络环境影响的目标函数




~

3 案例分析与结果讨论
3.1 参数设置
通过调研某铁路工程建设项目,将该项目的水泥物资供应方案作为案例研究。该案例共有来自4个不同区域的8家供应商,共有3个物资储备基地和15个加工配送中心可以运营,需求点为15个施工工段。在该案例下,各个中断场景下最多有四家供应商受到中断影响。案例的一些参数设置使用随机值,具体数值如表2所示。为了覆盖更广泛的可能风险,供应商供应中断后的剩余容量范围设置在[0,0.9],剩余容量为0表示供应商已经无法提供物资,剩余容量0.9表示供应商可以正常供应能力的90%提供物资。供应商使用紧急运输方案后,运输能力恢复比例为30%~70%。工段需求标称值由工期计划决定,最大偏移值取15%,不确定性参数取值范围为[0,1],以覆盖更广泛的需求波动情况。主供应商预留库存最高比例为供应能力的50%,备用供应商灵活采购比例上限为30%。为了尽量避免物资短缺的情况,单位未满足需求量额外购买成本系数取3,购买单价
| 参数 | ![]() | ![]() | ![]() | ![]() | ![]() | ![]() | ![]() | ![]() | ![]() | ![]() |
|---|---|---|---|---|---|---|---|---|---|---|
| 设置 | [0,0.9] | [0.2,0.3] | [0.3,0.7] | 3 | 4 | [0,1] | 50% | 30% | 0.5 | 90 |
3.2 求解结果
根据实际案例情况,求出供应链网络社会效益目标函数单独求解的最优值









![]() | ![]() | 运营成本 | 购买成本 | 运输成本 | 缺货成本 | 未满足需求的场景数 | 未满足场景供应链服务水平 | |
|---|---|---|---|---|---|---|---|---|
| 未使用缓解策略 | 4 596.13 | 837.55 | 1 150.99 | 1 919.37 | 1 340.36 | 185.41 | 25 | 78.91% |
| 使用缓解策略 | 4 329.83 | 868.04 | 1 109.29 | 1 926.65 | 1 266.51 | 27.38 | 11 | 91.70% |
| 对比 | -5.79% | 3.64% | -3.62% | 0.38% | -5.51% | -85.23% | -56.00% | 16.20% |
为了进一步分析独立和组合使用各弹性缓解策略的效能,图4展示了3种弹性缓解策略单独或组合使用时供应链网络运行结果,结果表明3种策略的组合使用相比于单独使用一种策略更能降低供应链网络运行成本,提高供应链在不能满足需求的场景中的服务水平,保障物资供应。当使用2种策略组合时,预留库存和紧急运输方案的组合策略对降低供应链网络总成本效果最好,备用供应商灵活采购和紧急运输方案的策略组合能够最有效提高供应链服务水平。使用单一策略时,预留库存策略对降低供应链网络总成本作用最大,紧急运输方案对提高供应链服务水平效果更好。备用供应商灵活采购策略的实施能够有效降低供应链网络的运营和购买成本,但会提高供应链网络的运输成本。

3.3 敏感性分析
为研究不同程度的需求波动对于弹性缓解策略的影响,对不确定参数和需求的最大偏移值进行敏感性分析。具体而言,将

此外,为了分析不确定性程度对供应链网络经济成本和运行效果的影响,进一步研究不同不确定参数下供应链网络运营成本、购买成本、运输成本和未满足需求场景下的服务水平结果。具体而言,选取数据偏差为15%时工程供应链网络在不同不确定性参数下的运行结果进行分析,得到图6。可以发现,当不确定性参数在0~1的范围变动时,供应链网络的运营成本基本不会发生变化,说明供应商的选择和中转设施运营情况基本没有变化,购买成本和运输成本则随着不确定性的增加而增加。供应链网络在未满足场景的表现方面,服务水平会随着不确定性的增加先增加后有所降低,最终稳定在92%左右,说明供应链网络能够有效应对一定的需求不确定性波动。

4 结论
1) 以铁路工程建设供应链网络为背景,将主动弹性缓解策略的组合应用到面临中断风险的铁路工程建设供应链网络中,提出了一个平衡经济成本、环境影响和社会效益的多目标铁路工程建设供应链网络优化模型。通过设置一系列中断场景,描述物资需求的不确定性并进行多目标求解,综合决策各缓解策略的决策结果和供应链网络在各中断场景下物资运输方案。在实例分析中,对比了缓解策略实施前后和应用不同缓解策略组合的工程供应链网络运行结果,分析了各策略组合对工程供应链网络运行成本和物资供应保障能力的影响,并对需求波动性进行了敏感性分析。
2) 对比弹性缓解策略使用前后实际算例运行结果的差异,在面对中断不确定性风险和需求不确定性风险时,预留库存、灵活采购和紧急运输方案的缓解策略组合能够有效提高工程供应链网络面对不同供应中断场景的物资供应稳定性,提高供应链服务水平。在可持续发展角度,优化后的供应链网络能够在平衡社会效益的同时,降低工程供应链网络运行成本。对比各个策略组合的应用发现,多种缓解策略的组合使用比单个缓解策略更有效,预留库存策略对降低运行成本作用更大,紧急运输方案对提高供应链面对中断场景的服务水平有更好的效果。随着需求不确定性的提高,决策结果中供应节点的运行方案基本不会变化,工程供应链网络在不同中断场景下的物资供应能力也趋于稳定,但保守的决策倾向会提高预留库存策略和灵活采购策略的比例。
3) 本研究的局限性主要体现在仍有一些不确定性没有考虑,例如供应链网络中间设施运营容量的不确定性;同时,周期性调整物资供应方案更符合实际情况,本研究暂未考虑。后续研究可以考虑更全面地描述不确定性和提出周期性的灵活调整方案。
马璇,方晓平,张得志等.考虑弹性缓解策略的铁路工程建设可持续供应链网络优化[J].铁道科学与工程学报,2025,22(04):1542-1553.
MA Xuan,FANG Xiaoping,ZHANG Dezhi,et al.Sustainable supply chain network optimization for railway engineering construction considering resilient mitigation strategies[J].Journal of Railway Science and Engineering,2025,22(04):1542-1553.









































































