在我国的许多大型城市,地铁是公共交通系统的重要组成部分[1]。近年来,随着城市人口的增加,地铁客流量也在快速增长[2],导致地铁早晚高峰客流拥挤现象尤为严重。地铁客流拥挤不仅会增加安全事故发生概率[3],还会延长列车停留时间、降低运行效率[4],如何缓解地铁客流拥挤已成为轨道交通领域的重要研究课题。增加运输能力和客流控制是缓解地铁客流拥挤的2种主要方式[5]。其中,增加地铁运输能力可以通过提高发车频次实现[6]。然而,目前我国北京、上海等城市的列车高峰期发车间隔已经压缩到2 min,很难进一步增加发车频次[7]。客流控制是一种缓解地铁客流拥挤、提高运营安全性的有效方法,目前已经应用于国内多个大型城市(如北京、上海、深圳等)。近年来,从需求侧入手的客流控制研究吸引了诸多学者的关注。起初,LI等[8]提出单个地铁换乘站的进出站客流和换乘客流分析方法,并根据分析结果生成客流控制方案。王淑伟等[9]为了解决超大客流地铁站点的站内乘客滞留问题,构建了线性规划模型用于生成客流控制方案。然而,随着地铁网络客流量的快速增长,单站点的客流控制已经无法有效缓解地铁客流拥挤,越来越多的学者开始研究线路以及网络层面的多站协同的客流控制模型。ZHANG等[10]提出一种适用于单条地铁线的客流控制模型,可以动态确定多个站点的上车人数。SHI等[11]将乘客在站台的聚集风险考虑在内,提出一种多站协同的客流控制模型,并利用由2条线路、15个站点组成的北京地铁局部网络验证模型的有效性。XU等[12]提出一种可以同时控制多个站点进站客流和换乘客流的优化控制模型,并采用由4条线路、32个站点组成的北京地铁局部网络进行实例验证。在以往的研究中,学者们对常态下的客流控制进行了深入的研究。然而,目前大部分网络层面的地铁客流控制研究仅采用了由少量线路和部分站点组成的局部网络进行实例验证,是否能够满足整个地铁网络的应用需求有待进一步探索。以往的多站协同地铁客流控制模型通常从所有站点中选择实施客流控制的站点[12-13]。但实际上,极少数的地铁站点贡献了拥挤区间的大部分客流量[14]。因此,本文提出一种基于客源信息的地铁客流控制模型,用于生成早高峰期间整个地铁网络的客流控制方案。其中客源被定义为经过拥挤区间乘客的上车站,而主要客源则是对拥挤区间客流贡献量大的客源。与以往的多站协同客流控制模型相比,本模型从主要客源中选择实施客流控制的站点可以大大减小模型的解空间,提高模型求解速度,使其能够应用于大规模地铁网络。此外,模型还具有控制站点数量少、乘客总等待时间短等优点。
1 问题描述
1.1 基于客源的地铁客流控制模型框架
地铁站点的空间可以分为等待区和上车区。其中,换乘站的等待区分为2个部分,分别服务于进站乘客和换乘乘客。通常等待区和上车区之间会采用隔离设施进行分隔[11]。在实施客流控制时,乘客需要在等待区排队等候,然后根据客流控制方案在合适的时间窗进入上车区。
本文提出了一个基于客源信息的地铁客流控制模型,用于生成早高峰期间整个地铁网络的多站协同的客流控制方案。模型框架如图1所示,第1步输入地铁智能卡刷卡数据、列车时刻表数据和网络结构数据。第2步按照出行时间最短原则确定乘客出行路径,然后将各时间窗的出行需求分配到地铁区间上,确定拥挤区间并计算客源对拥挤区间的客流贡献量;利用K-means聚类算法定位主要客源(候选客流控制站点)。第3步以最小化延误乘客总等待时间为目标构建客流控制模型;最后利用遗传算法求解客流控制方案,包括控制站点、客流控制率和控制时间窗。

为了构建客流控制模型,本文有如下假设:
1) 地铁列车严格按照时刻表运行,忽略紧急情况的影响[8];
2) 忽略乘客在地铁站点内的步行时间[6];
3) 假设乘客均采用出行时间最短的路径[8];
4) 假设上一时间窗延误的所有乘客均能够在当前时间窗上车[10]。
1.2 基础输入
本研究使用的数据包括地铁智能卡刷卡数据、列车时刻表数据和地铁网络结构数据。地铁的智能卡刷卡数据通过自动售检票系统收集。该数据记录了每个乘客的出行信息。地铁网络由多条线路组成,每条线路独立运行,有2个方向,不同的线路可以通过换乘站连接(图2)。构建的地铁网络为有向网络N(I,S),其中I表示节点集合 (地铁站点),S表示边集合(地铁区间)。如图2,换乘乘客的出发站和到达站属于不同线路;非换乘乘客的出发站和到达站属于同一条地铁线。

1.3 出行路径选择
本研究假设乘客会选择出行时间最短的路径,并利用Dijkstra算法计算出行路径[15]。换乘乘客的出行时间包括2个部分:1) 在不同地铁线路上乘坐列车的时间;2) 在换乘站的换乘时间。本研究通过列车时刻表获取乘客乘坐列车的时间,换乘时间根据WANG等[16]提出的方法估计。
1.4 客流分配
根据乘客出行路径选择的结果,将乘客的出行需求分配到相应的地铁列车上。图3中的红线代表列车的时空轨迹,列车的出发时间为离散值。通过将不同站点间的乘客出行需求分配到列车上,计算列车通过每个地铁区间时的乘客数量。当列车通过某区间时车上人数超过列车容量时,则该区间为拥挤区间。为了将列车运行和乘客出行需求相匹配,SUN等[17]提出等效时间的概念。列车在每个站点出发的等效时间为实际时间减去运行偏移量。以列车1为例,其轨迹可以表示为图3(a)中的{(1, 1), (3, 2), (5, 3), (7, 4), (9, 5), (11, 6)}。如图3(b)所示,列车在时间t = {1,3,8,14,18}从各站出发。基于等效时间的概念,本研究假设同一列列车在同一线路上所有站点的出发时间是相同的,也就是出发的时间窗是相同的。

1.5 利用K-means聚类算法定位主要客源
K-means聚类是一种无监督学习方法,可以根据研究对象属性的相似性将其划分为K个团簇,不同团簇中的样本属性差异较大[18-19]。考虑到不同客源对拥挤区间的客流贡献量分布极不均衡,本论文将客流贡献量这一属性作为分类依据,利用K-means聚类算法对客源进行分类,确定客流贡献量均值最大的团簇(主要客源),具体操作步骤如下。
1) 数据标准化:将客源的客流贡献量进行0-1标准化。
2) 选择聚类数K:利用误差平方和来评价不同K值下的聚类效果。随着K值的增大,误差平方和系数会骤然减小,此时的K值为最佳聚类数量[20]。
3) 执行K-means聚类:随机选择K个标准化后的客流贡献量值作为初始质心,然后将所有标准化后的客流贡献量值分配给最近的质心,形成K个聚类;最后计算这K个聚类的质心(平均值),迭代优化这些质心的位置,直到质心不再发生显著变化。
4) 确定主要客源:计算每个团簇中客源客流贡献量的平均值,然后将客流贡献量均值最大的一类客源定义为主要客源。
2 模型构建
2.1 符号说明
模型中使用的符号如下:
1) 集合






















2) 参数



















3) 中间变量




























4) 决策变量








2.2 模型约束
2.2.1 列车容量约束
列车容量是决定乘客能否上车的重要指标。约束(1)对



列车在经过各站点时,车上人数会发生变化,通过式(2)可以计算列车经过各区间时车上的人数。

其中,当

上车乘客数量的计算分为以下2种:
1) 站点



2) 站点



2.2.2 乘客等待时间约束
在时间窗






其中,时间窗





2.2.3 客流约束
每个时间窗内各站点允许进入上车区的进站乘客人数不超过每个站点需要进站的人数:

同样地,每个时间窗内各站点允许进入上车区的换乘乘客人数不超过每个站点需要换乘的人数:

进站等待区可以根据站点的实际情况设置在车站外广场或站厅内,

当实施换乘客流控制时,会限制该时间窗的换乘客流量,减少换乘乘客到达上车区的人数,这就会造成部分换乘乘客在换乘通道中排队等待[12]。站点



2.3 决策变量
决策变量用于生成具体的客流控制方案,方案包括控制站点、客流控制率和控制时间窗。其中,控制站点从主要客源中选择。控制站点和控制时间窗通过

在本研究中,对于不需要进行客流控制的站点,所有乘客均能登上距离最近的一趟列车。如果在非换乘站点实施客流控制,只需要控制进站乘客;而对于需要同时进行进站客流控制和换乘客流控制的换乘站,换乘站分解为2个独立的客源,分别服务于进站乘客和换乘乘客,换乘乘客与非换乘乘客的优先性需要根据求解得到的进站客流控制率



本研究采用了等效时间窗的概念。使用式(16)和式(17)可以将等效时间窗转换为精确的时间戳



2.4 目标函数
模型的优化目标是最小化乘客的总等待时间,即进站乘客和换乘乘客的等待时间之和,如式(18):

延误乘客包括滞留在进站等待区和换乘等待区的乘客。进站延误乘客的等待时间



其中,
2.5 求解算法
客流控制方案的求解属于求解复杂的组合优化问题,这类问题适合采用启发式算法求解。遗传算法是经典的启发式算法,常用于生成交通控制方案[24-25]。遗传算法具有较强的全局搜索能力,求解过程中利用选择、交叉和变异等操作避免陷入局部最优解,并通过多次迭代快速逼近问题的最优解。本研究利用遗传算法生成各地铁线路每个时间窗的客流控制方案。求解算法框架如图4所示,具体包括以下步骤。

1) 初始化:设置种群规模,种群中的每个个体代表各个主要客源站点延误的乘客数量,这里用向量表示,记为:





2) 客流分配:根据向量

3) 适应度计算:个体适应度越高则有更大概率遗传给下一代。在本算法中,适应度函数为最小化延误乘客数量,这意味着延误乘客数量越少,适应度越高。如果达到最大迭代次数,算法停止;否则,继续迭代并进入步骤4。
4) 遗传操作:选择适应度高的个体。然后,利用选择、交叉和多点变异生成新一代种群。接着,返回步骤2并继续迭代。
5) 生成客流控制方案:首先根据求解得到的最优个体
3 案例分析
3.1 基础输入
本文利用2016年8月深圳市地铁网络地理信息,构建了一个包含6条线路、132个站点的地铁网络(图5)。表1为列车在早高峰时段的运行情况,信息来源于深圳地铁官网(https://www.szmc.net)。此外,本研究还从深圳地铁官网获取了列车经过每对相邻站点的时间、列车在各站点的停留时间和换乘站的换乘时间。

| 线路 | 列车发车间隔/min | 车型 | 列车最大载客数 |
|---|---|---|---|
| 1号线 | 2 | A | 2 400 |
| 2号线 | 3 | A | 2 400 |
| 3号线 | 3 | B | 2 000 |
| 4号线 | 2.5 | A | 2 400 |
| 5号线 | 5 | A | 2 400 |
| 11号线 | 5 | A | 2 400 |
地铁智能卡刷卡数据记录了智能卡编号、站点编号、站点名称、线路编号、刷卡时间、刷卡类型和闸机编号。本研究利用2016年8月1日工作日早高峰的智能卡刷卡数据。在数据预处理阶段,首先删除重复记录和超出运营时段的记录;然后将相同智能卡编号的记录按照时间升序排序;最后将一对连续的进站和出站记录作为一次乘客出行。
3.2 拥挤区间及客源分布
图6中,黑色线段表示拥挤区间,圆圈的大小和客流贡献量成正比。如图6所示,不同客源对拥挤区间的客流贡献量相差极大。为了方便实施客流控制,本研究将不在拥挤区间所在地铁线路客源的客流贡献量通过换乘站进行汇总。如图6(a),将换乘站布吉站分解为2个客源,客源布吉站的客流贡献量为从布吉站进站并经过拥挤区间的乘客数量,客源布吉(换乘)站的客流贡献量为从5号线换乘到3号线并经过3号线拥挤区间的乘客数量。利用K-means聚类算法分别对3号线和4号线的客源进行分类,其中对拥挤区间贡献量最大的一类客源为主要客源。3号线的主要客源为丹竹头、大芬和布吉,4号线的主要客源为清湖、龙华、龙胜、深圳北(换乘)和白石龙。

3.3 生成客流控制方案
在求解过程中,遗传算法的交叉概率设为0.7,变异概率设为0.03[13],迭代次数设为80。如图7所示,迭代次数增加到80之后,延误乘客总人数趋于稳定,表明已获得了一个接近最优值的解。

根据第2节构建的基于客源信息的地铁客流控制模型生成的控制方案如表2所示。其中L3、L4分别表示管控站点位于3号线和4号线,实施进站客流控制;L5&4表示管控站点是5号线和4号线的换乘站,控制从5号线去往4号线的换乘客流。在早高峰的客流控制方案中,3号线有3个控制站点,4号线有5控制站点。3号线的丹竹头和大芬站,以及4号线的白石龙站实施客流控制的时间最长,这可能是由于这3个站点和拥挤区间的距离较近,控制这3个站点便于调整拥挤区间的满载率。如表2,深圳北站只在奇数时间窗进行换乘客流控制。这是因为4号线发车间隔为2.5 min,而5号线列车的发车间隔为5 min,若不进行客流控制,从5号线来的换乘乘客将集中在4号线2列连续列车的其中一列上。在深圳北站实施换乘客流控制,可以将乘客出行需求更加合理地分配到不同列车上。
| 站点 | 时间窗 | 控制率/% | 站点 | 时间窗 | 控制率/% | 站点 | 时间窗 | 控制率/% |
|---|---|---|---|---|---|---|---|---|
| L3-丹竹头 | 8 | 41.3 | L3-布吉 | 8 | 11.4 | L4-白石龙 | 15 | 5.1 |
| 9 | 49.8 | 11 | 32.8 | 16 | 41.7 | |||
| 10 | 36.4 | 13 | 5.5 | 17 | 32.3 | |||
| 11 | 57.3 | 14 | 6.1 | 18 | 40.8 | |||
| 12 | 44.5 | 16 | 43.7 | 19 | 22.6 | |||
| 13 | 50.8 | L4-清湖 | 16 | 2.3 | 21 | 37.2 | ||
| 14 | 49.2 | 18 | 4.4 | 25 | 30.2 | |||
| 15 | 45.0 | 20 | 22.8 | 27 | 17.9 | |||
| 16 | 37.0 | 21 | 8.1 | 29 | 8.2 | |||
| 17 | 28.6 | L4-龙华 | 15 | 19.9 | 31 | 42.2 | ||
| L3-大芬 | 8 | 44.2 | 19 | 29.2 | L4&5-深圳北 | 15 | 39.7 | |
| 9 | 8.3 | 20 | 11.3 | 17 | 49.5 | |||
| 10 | 77.0 | 22 | 8.0 | 19 | 48.6 | |||
| 11 | 42.8 | 29 | 31.0 | 21 | 49.4 | |||
| 12 | 40.1 | L4-龙胜 | 15 | 3.0 | 23 | 15.9 | ||
| 13 | 57.7 | 16 | 24.3 | 25 | 30.1 | |||
| 14 | 23.7 | 20 | 32.9 | 27 | 44.7 | |||
| 15 | 62.4 | 25 | 25.9 | |||||
| 16 | 44.5 | 27 | 16.2 |
3.4 基于客源信息的客流控制模型效果
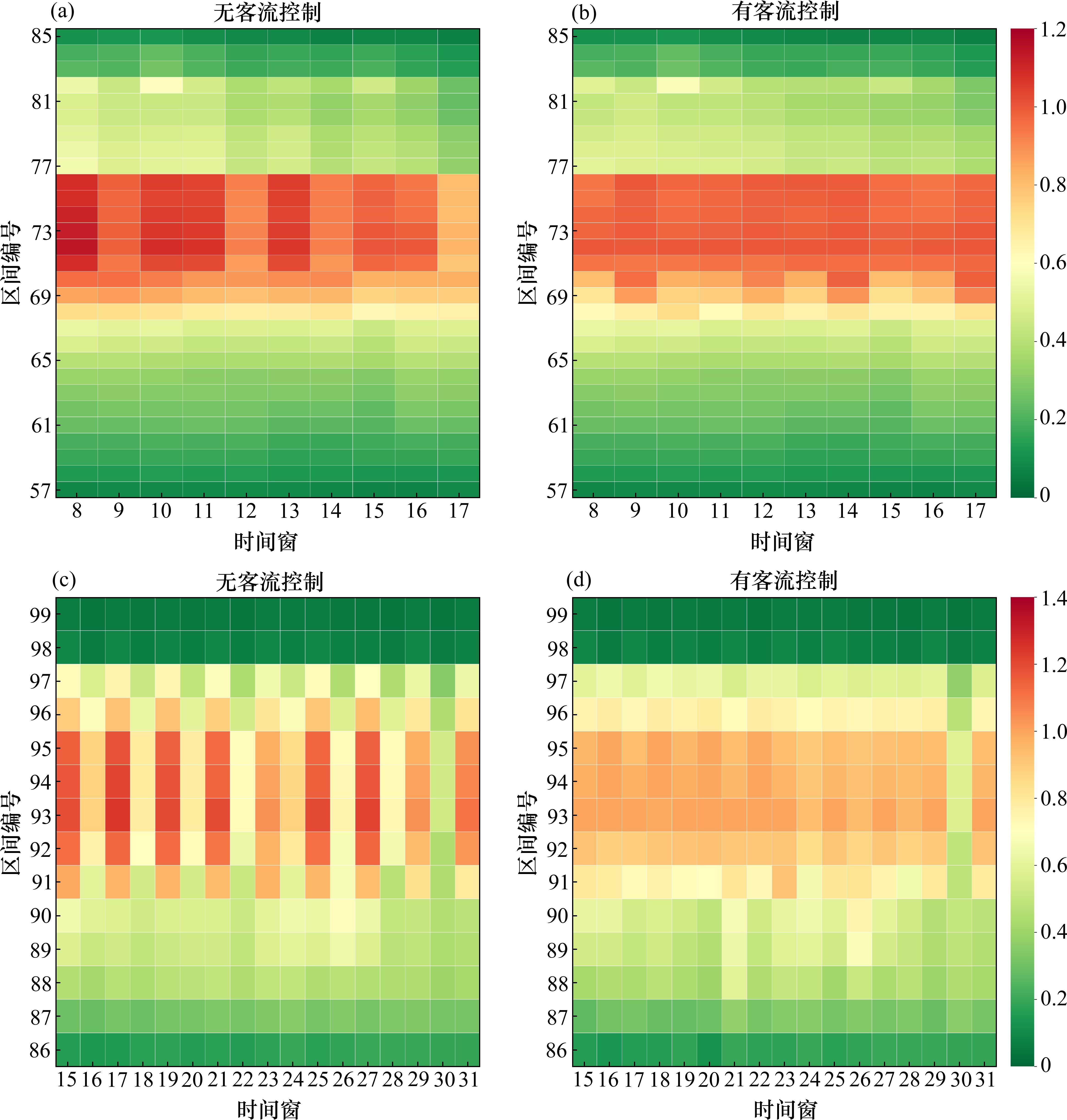
本研究利用满载率评价模型生成控制方案的拥挤缓解效果。区间满载率是评价区间拥挤程度的重要指标。如果区间满载率超过1.0,列车车厢就会变得十分拥挤。在没有实施客流控制的情况下,3号线上的70~76号区间(木棉湾站—老街站)和4号线上的92~95号区间(白石龙站—少年宫站)满载率在多个时间窗均高于1.0,其中,92~93号区间(白石龙站—上梅林站)的满载率甚至超过1.2(图8)。当实施客流控制后,各区间的最大满载率下降到1.0附近。

为了进一步验证基于客源信息的客流控制模型的性能,本文选择2个模型进行对比实验。表3分别展示了传统模型、无客源信息的客流控制模型和基于客源信息的客流控制模型的客流控制效果。在传统模型中,上游站点乘客比下游站点乘客的上车优先级更高,站点的上车人数取决于列车到站时剩余容量[10]。在无客源信息的客流控制模型中,所有站点均可以作为候选客流控制站点。在无客源信息的客流控制模型和基于客源信息的客流控制模型的求解过程中,遗传算法的参数设置均相同。与无客源信息的客流控制模型相比,基于客源信息的客流控制模型的求解速度提高了2.42倍。如表3,基于客源信息的客流控制模型的延误乘客数量最小,乘客总等待时间也最小。虽然无客源信息的客流控制模型的控制站点平均上车率最高,但其延误乘客数量和控制站点数量均大于基于客源信息的客流控制模型,这说明利用客源信息可以更加高效地缓解地铁客流拥挤。虽然传统模型的控制站点总数最小,但是其平均上车率也最小。如图9所示,当采用传统模型时,草埔站和民乐站在部分时间窗的上车率很小,许多乘客需要等待多趟列车后才能上车。而其他2个模型由于添加了等待时间约束,保证每个乘客在等待区的最长等待时间均不超过列车的发车间隔。因此,综合考虑各指标,本研究提出的基于客源信息的客流控制模型综合性能最优。
| 模型 | 各时间窗延误乘客之和 | 总等待时间/min | 上车率/% | 控制站点总数 |
|---|---|---|---|---|
| 传统模型 | 11 582 | 32 117 | 30.86 | 37 |
| 无客源信息的客流控制模型 | 11 435 | 31 465.5 | 70.67 | 158 |
| 基于客源信息的客流控制模型 | 10 818 | 29 791.5 | 68.44 | 55 |

4 结论
1) 构建了基于客源信息的地铁客流控制模型,能够有效平衡各控制站点的上车率,缓解地铁网络区间拥挤,减少延误乘客总等待时间。
2) 研究发现经过拥挤区间的大部分乘客来源于少数客源,本研究从主要客源中选择实施客流控制的站点可以大大压缩模型的解空间,提升模型求解速度,使提出的模型能够应用于大规模地铁网络。
3) 在模型中引入乘客等待时间约束,降低了乘客的平均等待时间,使乘客更易接受客流控制方案。
4) 本文提出的模型可以为地铁管理部门提供针对性较强的客流控制方案,有效地缓解地铁网络拥挤。在实际应用中,可以通过控制安检速度、调整闸机反应时间和设置护栏引导等措施[11]来实施客流控制方案。
吕思锐,阳虎,王璞.基于客源信息的地铁客流控制模型[J].铁道科学与工程学报,2025,22(04):1530-1541.
LÜ Sirui,YANG Hu,WANG Pu.Urban metro passenger flow control model based on passenger source information[J].Journal of Railway Science and Engineering,2025,22(04):1530-1541.

