随着全球工业化进程的加速,尤其是重工业和矿产资源运输需求的持续增长,铁路货运的重要性日益凸显。作为铁路货运的核心组成部分,重载列车通过提升单列车的运输能力,显著提高了大宗货物的运输效率,并有效降低了单位运输成本。尤其在矿产资源等重型货物的长途运输中,重载列车能够充分发挥轨道运输的潜力,缓解公路运输的负担,从而为经济的可持续发展提供重要支撑[1-2]。在众多矿产资源丰富的地区,重载列车已成为连接生产地与消费市场的关键纽带。然而,随着运输需求的不断增加,重载列车的高密度运行趋于常态[3-4]。特别是在矿产资源运输的关键线路上,列车运行控制面临的挑战日益突出。因此,如何确保列车间合理的间距、避免相互干扰,并保证运输的安全与效率,已成为铁路运营中亟需解决的关键问题。传统的重载列车运行模式通常依赖于固定间隔控制和速度调节机制[5-6]。这种控制策略基于预设的间隔和速度要求,通过固定的调度规则和控制系统来保障列车在运行过程中保持适当的间距,以避免发生碰撞或过度拥堵[7-8]。ZHANG等[9]提出一种重载列车的运行控制方法,旨在优化列车运行性能,包括提升运行安全性、服务质量及降低能耗。该方法通过引入耦合器阻尼惩罚因子,减缓耦合器的循环振动,进而减少能量浪费,并降低阻尼器的维护或更换成本。LIU等[10]则提出一种基于深度Q网络(DQN)算法的智能控制策略,优化重载列车在长陡坡段的运行。在这一控制模型中,列车的运行过程被建模为强化学习(RL)框架下的马尔可夫决策过程,并设计了RL关键组件,提出一种基于DQN算法的智能控制方法,以求解最优列车控制问题。WANG等[11]研究了重载列车在输入饱和和外部干扰条件下的鲁棒巡航控制问题。该方法考虑了列车动力学模型中的不确定参数和执行器饱和现象,并引入线性干扰观测器来近似未知干扰,通过结合列车状态与干扰估计误差,构建了增强型系统。CHEN等[12]则提出一种全局跟踪控制方案,通过在复合学习控制器与附加鲁棒控制器之间切换机制,最终通过Lyapunov理论证明了闭环系统的全局均匀有界性。尽管这些方法在一定程度上能够保障列车的正常运行,但在应对复杂多变的轨道环境和高密度列车运营时,仍存在显著局限性。例如,在突发天气变化或设备故障的情况下,传统控制方法难以对列车运行进行实时调整,可能引起列车运行失稳,从而导致运输延误甚至带来安全风险。因此,亟需一种更加灵活、智能且高效的列车控制策略,以适应日益复杂的运行环境和不断增长的运输需求。多列车协同控制作为铁路运输领域的关键研究课题,旨在通过合理的调度和控制策略,提升铁路运输效率与安全性,特别是在重载列车密集运行的线路上[13-14]。近年来,随着智能化技术和自动化系统的迅速发展,多列车协同控制在提升运输效率、优化列车间隔以及减少能源消耗等方面展现出广阔的应用前景[15-16]。WANG等[17]针对存在参数不确定性与外部扰动的重载列车,研究了鲁棒间歇式巡航控制问题。该方法借鉴驾驶员经验,在间歇控制框架下设计控制输入触发机制。该方法区别于连续控制,仅当系统状态满足预设触发条件时才施加控制动作。然后,基于线性矩阵不等式给出了控制律的可行性判据,从而保证相邻列车的速度跟踪误差与车钩相对位移保持有界,并在无扰动条件下实现渐近稳定。CHEN等[18]面向虚拟耦合的重载列车编组,提出一种基于通信的分布式全局复合学习协同控制算法,确保列车在满足最小安全间隔的前提下,实现列车的稳定运行。该方法依托重载列车动力学模型,并结合神经网络近似,刻画了列车运行的动态特性与不确定性。ZHAO等[19]建立了一个考虑不确定阻力和未知干扰的重载列车跟随模型,其中列车间的信息传递基于先行-跟随拓扑结构。在此模型基础上,结合固定时间滑模控制与自适应控制理论,设计一种分布式有限时间编队控制算法。BAUSO等[20]针对单轨列车在交叉路段的合流问题,提出一种基于参考模型的非线性控制方法,并证明在特定参数范围内能够保证系统的稳定性与鲁棒性。在此基础上,该研究进一步拓展至多车协同控制,深入分析了系统的同步动态特性与稳定条件,并揭示了车辆通信拓扑结构可能引发的振荡行为及其阻尼系数界限。上述研究表明,多列车协同控制技术在复杂铁路环境中具有广阔的应用前景,不仅能够有效提升运输效率,而且有助于进一步保障运行安全。随着智能交通系统和自动驾驶技术的快速发展,列车控制方法不断得到丰富与拓展。其中,控制障碍函数作为一种前沿控制方法,已在多个领域取得重要进展,并显示出在交通运输中的应用潜力[21-24]。LIU等[25]提出一种基于屏障函数的自适应滑模控制策略,用于车辆主动悬架系统。该方法在无需已知不确定性上界的条件下实现了有限时间收敛,有效减弱了系统抖振。同时,结合时延估计设计一种鲁棒无模型控制算法,并在1/4车辆主动悬架实验平台上与传统方法对比验证了其有效性。HU等[26]提出一种量化驾驶员对自适应巡航控制(ACC)系统信任度的动态模型,并将其应用于基于信任的ACC系统中,其中驾驶员信任水平被建模为评估自动化系统可信度的客观指标。该研究结合改进的控制障碍函数与新的预设性能函数,保证了系统稳定性与性能约束,并通过CarSim仿真验证了所提模型与控制方法的有效性。HAN等[27]提出一种基于障碍函数的安全路径跟踪控制策略,将障碍物规避与路径跟踪统一建模,将轨迹跟随问题简化为偏航角跟踪问题。在此基础上,设计了有限时间自适应障碍函数滑模控制器,在考虑输入饱和的同时提升了系统鲁棒性,并通过CarSim仿真与实车实验验证了该方法在路径跟踪与行车安全方面的有效性。LI等[28]针对非线性仿射控制系统中的控制李雅普诺夫函数(CLF)与控制屏障函数(CBF)进行了综述,将控制问题转化为约束二次规划问题,其中CLF与CBF分别用于刻画系统的稳定性与安全性目标。该研究总结了CLF与CBF在可控性、收敛性和鲁棒性等方面的理论进展及应用成果,并进一步探讨了在考虑系统不确定性与外部干扰时的稳定性与安全性分析,展望了未来的研究方向。基于上述研究成果,本文提出一种基于控制障碍函数的虚拟编组重载列车运行控制方法。该方法通过构建虚拟编组模型,结合控制障碍函数理论,设计一种列车运行控制策略,以提升运输效率并确保运行安全。在虚拟编组控制框架下,多个列车单元被视作整体进行协同管理,能够在确保列车间安全距离的前提下,优化列车相对运动,从而提高运行的协调性与稳定性。与此同时,控制障碍函数通过引入安全约束,确保列车在运行过程中始终保持在安全边界内,避免潜在的碰撞风险。将虚拟编组与控制障碍函数理论相结合,不仅优化了列车的空间利用与控制策略,还能够在复杂轨道和高密度运输条件下保持运行的有序与可靠。与传统方法相比,本文提出的策略能够有效减少列车间距波动,降低了因频繁调整带来的不稳定风险,从而提高列车运行的平稳性与控制效率。通过数值仿真表明,该方法在多种运行场景下均能满足安全约束,并保持良好的运行性能。
1 重载列车虚拟编组
1.1 重载列车虚拟编组控制原理
传统列车控制模式下,列车通常按照固定的间隔和速度运行。然而,当编组过长或载重过大时,列车纵向力显著增加,可能引发车钩断裂等安全风险。同时,该模式也难以适应复杂轨道条件、气候差异和动态交通需求,从而限制了运行效率[29]。重载列车虚拟编组作为一种新兴的列车运行控制策略,通过将多个独立运行的列车单元在控制层面上视作统一整体,优化列车间的相对运动,进而提升整体运行效率。如图1所示,列车虚拟编组运行依托地面设备向领航列车下发运行计划,并通过编组配置与协同控制算法,在保障列车间安全间隔的同时,实现列车相对位置与速度的灵活协调。该机制不仅提升了整体运输效率,还有效降低了能源消耗,促进了运输资源的优化配置。此外,在高密度运营、复杂地形及突发天气等特殊运行条件下,虚拟编组通过动态调控机制,提升了列车运行控制的实时性与系统稳定性,克服了传统控制方式中易出现的控制滞后和运行不稳定问题。

在虚拟编组运行模式中,多列车协同控制是其核心问题之一。该问题主要涉及如何确保虚拟编组中多个单元列车之间的协同运行,以实现系统的安全与稳定运行。具体而言,协同控制不仅要求各列车能够在动态变化的运行环境中保持既定的速度和间距,还需考虑列车间的信息互联、运行效率以及突发事件下的快速响应能力。因此,如何设计一种高效可靠的控制策略,以实现列车间的实时协调与系统稳定,已成为虚拟编组技术发展的重要挑战。
1.2 重载列车纵向动力学模型
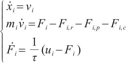
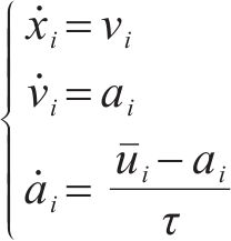
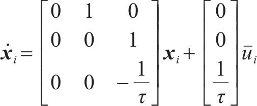
在重载列车运行中,列车在牵引/制动力与阻力作用下,其动力学行为可依据牛顿第二定律进行描述。将


其中,




















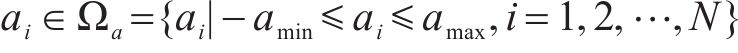
设列车运行过程中,




式中:




设重载列车组的期望速度为










其中,








2 基于控制障碍函数的列车控制策略
2.1 控制障碍函数设计
控制障碍函数(control barrier function, CBF)作为一种用于确保系统安全运行的控制方法,其通过构造安全约束来限制控制输入,以保证系统状态始终在安全区域内。在列车运行控制中,CBF可用于确保列车间的动态安全间隔,从而降低虚拟编组列车运行风险。控制障碍函数的核心思想在于构造一个能刻画系统状态安全边界的函数h(x),以保证系统运行状态始终满足安全约束,避免进入不安全区域。为便于后续分析,首先给出控制障碍函数的相关定义。
定义1:对于控制系统(3),如果存在集合



定义2:对于一个连续可微的函数
1) 

2) 



则该函数被称为控制障碍函数。
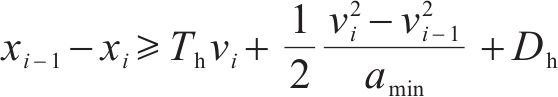
基于列车安全间隔约束(4),本文选取的控制障碍函数为

根据条件(4),可以得到





条件(7)作为保持列车间安全间隔的不等式约束,可确保在列车运行过程中,各列车始终保持足够的安全间距,从而避免重载列车单元因距离过近而产生运行冲突。
2.2 基于控制障碍函数的列车运行控制
合理的列车间距控制是保障列车运行安全、提升运行效率的重要条件。基于控制障碍函数的列车间距控制策略,在保证列车安全间距的同时,能动态调整列车运行状态,有效克服传统固定间距控制效率低、抗风险能力弱的问题。如图3所示,为确保重载列车在复杂轨道环境中的安全与高效运行,编组内各列车需与前车保持车-车通信。在该通信拓扑结构下,列车间通过无线通信系统实时交换运行状态信息,包括位置、速度、加速度等关键信息。基于这种实时信息共享机制,列车能够根据前车的动态变化及时调整自身运行状态,从而提升整体运行效率和安全性。

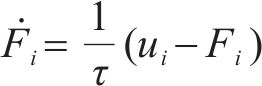
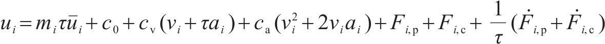
为了保证控制系统(3)的稳定性,需构造合适的控制李雅普诺夫函数,用于指导稳定控制律的设计。本文选取的李雅普诺夫函数为

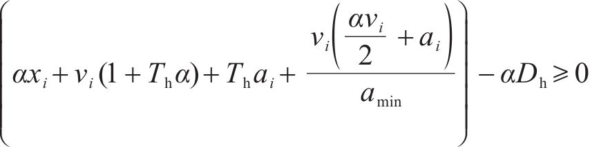
在此基础上,本文提出一种基于控制障碍函数的最优控制方法,其数学表示为

s.t. 








其中,



3 列车运行仿真结果
为验证所提虚拟编组列车控制策略的有效性,通过数值仿真对该控制策略进行分析。在仿真过程中,构建了一个基于虚拟编组的列车运行模型,以模拟重载列车的运行情况。如图3所示,该模型由4列重载列车组成,每列车与前车实时通信。通过车-车通信,列车之间交换位置、速度、加速度等关键参数,以实现协同控制。如表1所示,为确保仿真结果的准确性和可靠性,在模型中根据相关文献设置了重载列车的主要运行参数[18]。这些参数包括列车的质量、最大牵引/制动力、戴维斯系数以及最小安全距离。通过合理设置这些参数,可以有效模拟重载列车在不同轨道条件下的运行表现,从而为后续控制策略的优化提供可靠的理论依据。
| 重载列车参数 | 重载列车信息 |
|---|---|
| 列车质量/kg | 200 000 |
![]() | 1.2 |
![]() | 0.006 5 |
![]() | 0.000 279 |
| 最大牵引力/kN | 760 |
| 最大制动力/kN | 461 |
![]() | 250 |
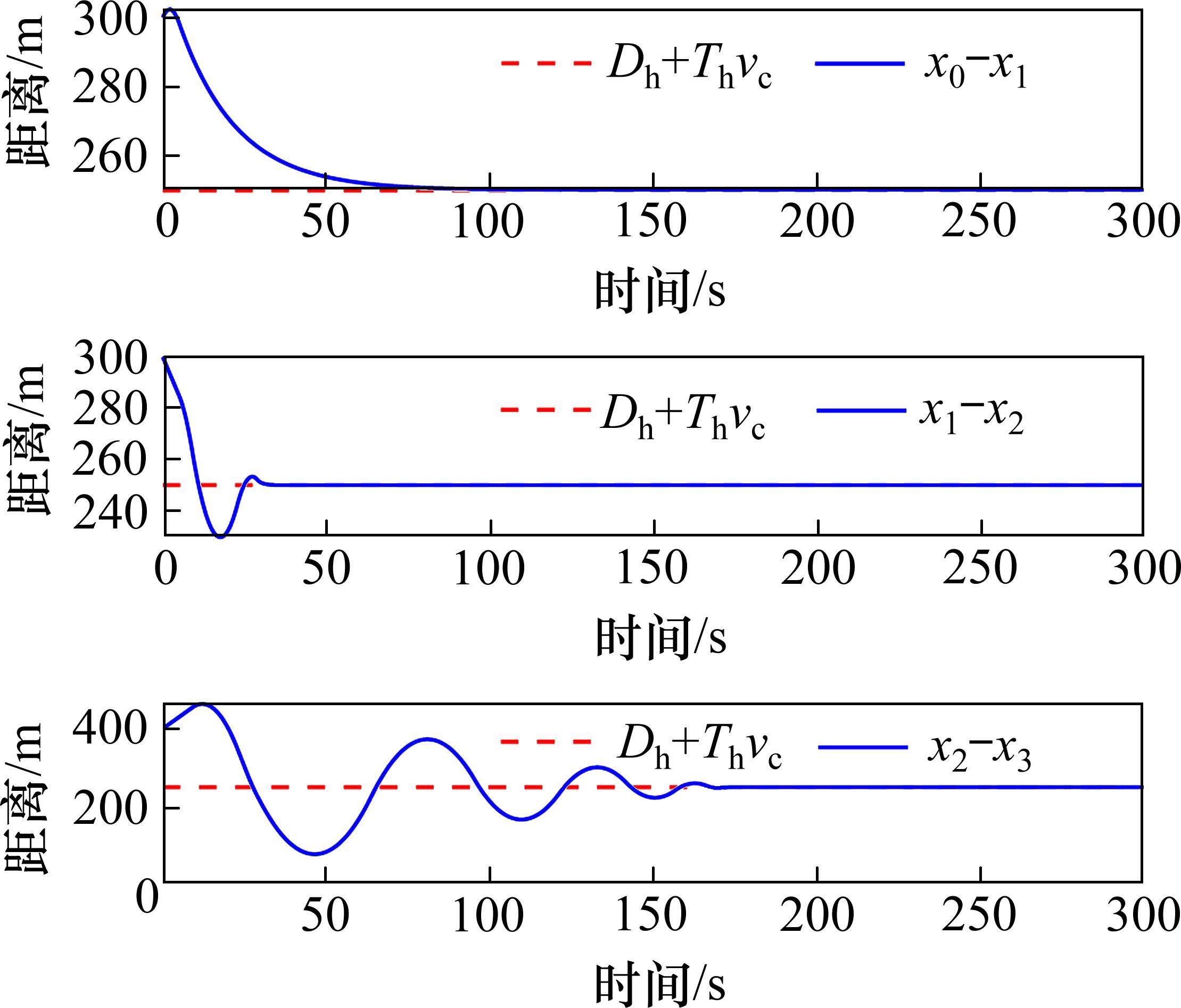
图4展示了虚拟编组重载列车在运行过程中各列车之间的相对位置变化情况。在3个子图中,列车间的相对位置在初始阶段经历了较大的波动,随着时间的推移,波动幅度逐渐减小,最终趋于稳定。不同列车之间相对位置表现出一定的差异。第1个子图中(x0和x1之间),列车间距调整较快且波动较小;第2个子图中(x1和x2之间),间距调整过程中存在更明显的波动;第3个子图中(x2和x3之间),波动幅度更大且调整过程持续时间较长。这表明排在后方列车控制的响应时间有所延长,但整体仍然能够实现稳定控制。

图5展示了虚拟编组重载列车在运行过程中各列车的速度变化情况。图中,虚线表示领航列车速度vc,即列车运行过程中的参考速度,实线表示各列车实际速度。在初始阶段,跟随列车速度与领航列车速度vc存在一定偏差。这主要是由于列车在启动或复杂环境中需要一定的时间进行调整。第1个子图中,速度曲线呈现出快速下降并趋于稳定的过程,表明虚拟编组列车在受到控制后的初期反应较为剧烈,但最终趋向于领航列车速度vc。第2个子图表现出类似的趋势,但速度波动更明显。第3个子图则表现出更为显著的周期性波动,表明在该情况下,控制策略引发了复杂的动态响应行为。总体而言,3个子图中的列车速度曲线均在一定时间后趋于领航列车速度vc。

图6展示了在不同控制障碍函数(CBF)参数设置下,虚拟编组重载列车的相对位置变化情况。具体而言,图中展示了2种不同控制障碍函数参数γ1=0.5和γ2=3.5的控制效果,虚线表示目标安全距离。不同控制障碍函数参数的设置对列车间距的响应速度和波动幅度产生了较大影响。γ1:调整过程相对较快,但初始波动较大;γ2:调整过程较为平稳,初始波动相对较小。随着时间推移,各列车的相对位置逐渐趋于稳定,并最终保持在目标安全距离Dh+Thvc附近。这表明,无论控制障碍函数参数设置为γ1还是γ2,所提控制策略均能够保证列车运行的稳定性。

类似地,图7展示了在不同控制障碍函数(CBF)参数



综上所述,仿真结果验证了基于控制障碍函数虚拟编组控制策略的有效性与可行性。通过合理调节控制障碍函数参数,可在系统快速响应与运行平稳性之间实现良好平衡。不同参数设置下的仿真表现为控制策略的进一步优化提供了重要依据,也为重载列车的智能控制及其安全、高效运行奠定了理论基础。
4 结论
1) 为解决传统列车控制方法在高密度运输和复杂轨道环境中的局限性,提出一种基于控制障碍函数(CBF)的重载列车虚拟编组控制策略。利用控制障碍函数将非线性列车安全间距约束转化为等价的不等式条件,并将其引入控制策略设计过程中,保证安全集的前向不变性。该方法能够在列车编组运行中防止过度接近,确保系统始终处于安全运行状态,从而提升整体运行的安全性与稳定性。
2) 本文设计的虚拟编组控制输入结合了列车的动力学特性与控制障碍函数基本原理,确保列车在不同速度控制目标下始终保持安全间距,从而提升整体运行效率。该方法提升了控制系统的响应速度和运行安全,为应对多变的运行环境提供了更高的适应性。
3) 数值仿真结果表明,基于控制障碍函数的虚拟编组控制方法能够有效减少列车间距波动,避免传统控制方法中因控制冲突或过度调整导致的不稳定问题,从而提升列车运行的安全性和整体运输效率。
马骏峰,宋宗莹,谢晓天等.基于控制障碍函数的虚拟编组重载列车运行控制[J].铁道科学与工程学报,2025,22(10):4388-4397.
MA Junfeng,SONG Zongying,XIE Xiaotian,et al.Operation control of virtual coupling heavy-haul trains based on control barrier function[J].Journal of Railway Science and Engineering,2025,22(10):4388-4397.





