我国寒区面积达417.4万km2,约占国土面积的43%。在《中长期铁路网规划》“八纵八横”战略的推动下,我国寒区高速铁路里程逐年增加[1],然而,寒区季节性低温和阶段性降雪的恶劣条件加剧了高速铁路日常运营的安全隐患[2-5],其中由列车脱冰引起的冰雪飞溅问题尤为突出。列车落冰主要来源于积聚在列车底部,尤其是转向架区域的冰雪块,因温度变化、列车振动及高速气流作用而脱落,进而击打列车自身部件或轨道基础设施,形成安全隐患[6-8]。落冰通常击打列车裙板、车轴、压力管道及车窗玻璃等,可能导致车体表面凹陷、结构损伤或玻璃破裂。同时,冰雪块脱落后可能撞击轨道道床、应答器等基础设施,造成不同程度的损坏。例如,欧盟AOA(aerodynamics in open air)项目统计了2001至2008年期间出现的严重道砟飞溅事件,近50%的事件是由车体上附着的冰雪块高速脱落引起的,大量列车裙板因冰雪块和道砟颗粒的撞击而凹陷;2015年我国哈大高铁全线应答器防护罩因冰雪块击打损坏232块,同时转辙机、轨道电路方向盒以及钢轨引接线等都有一定程度的损伤;2017年宝兰高铁开通运营后,当年就出现了7次由列车脱冰导致的应答器损坏,严重影响列车运行安全[9]。为应对寒区铁路列车的转向架冰雪块积聚-脱落问题,国内外学者展开深入研究,取得一系列重要成果。MA等[10]基于滑动网格技术,结合非定常雷诺时均方法、离散相模型和粒子捕获标准,模拟了高速列车转向架区域在不同速度下的积雪粒子附着组件和积累质量,揭示了不同转向架积雪量与列车速度的规律。PAZ等[11]通过风洞实验和计算流体动力学(computational fluid dynamics, CFD)仿真方法研究了列车底部的空气动力学特性,对探究冰雪块在湍流作用下的运动行为和飞溅机理提供了借鉴。SHON等[12]在小型风洞中进行了列车模型积雪实验并进行CFD分析仿真,通过欧拉方法评估积雪厚度。KAMATA等[13]基于积雪数据及气象数据开发了一个基于铁路沿线气象信息的积雪量估算方法,有效地估算了新干线列车转向架上的积雪量。LOPONEN等[14]研究冰雪块从列车底架上脱落所需的激励量,根据雪块的特性,建立了考虑冰雪与车体表面黏结力的简化平衡方程,计算表明冰雪脱落大约需要(20~2 000)g的加速度幅值,但在实践中由于多因素的综合作用,冰雪脱落所需的激励值一般小于理论值。KAWASHIM等[15]使用空气炮高速喷射冰块,以探究冰块冲击有砟轨道的动态过程,揭示了冰块和道砟的飞溅行为特征,但由于条件所限,实验并未对速度200 km/h以上的冰块冲击进行测试。DING等[16]基于非连续变形分析方法,建立了冰雪块-有砟轨道冲击仿真模型,研究了积聚冰雪块以200~400 km/h高速脱落引起的道砟飞溅演化行为,揭示了冰雪块与道砟颗粒在碰撞过程中的动态特征。上述研究对于揭示列车脱冰风险具有重要意义,但大多聚焦于冰雪块积聚-脱落过程中的单一层面,未能在多因素、多层面复杂环境下对脱冰风险进行全面评估。列车脱冰是一个动态随机的运动过程,涉及众多影响因素,对脱冰风险进行评估具有一定的复杂性。因此,有必要系统地梳理和量化列车脱冰过程中的影响因素,以采取针对性措施降低冰雪块脱落对列车运行安全的影响。本研究拟针对列车车体脱冰行为,提出一种基于Monte Carlo模拟的列车脱冰风险评估方法。具体来说,基于列车车体附着冰雪块的受力机理,综合考虑风荷载、车体振动和温度等主要影响因素构建冰雪块脱落极限状态函数,通过Monte Carlo模拟分析,定量评估列车附着冰雪块在复杂环境条件下的脱落风险。
1 列车脱冰可靠度模型
1.1 列车脱冰受力分析
冰雪积聚-脱落问题的演化过程可以概括为2个子事件的组合:一是在环境风和列车风的作用下,雪颗粒在列车车体和转向架弱风区沉积,进而融化冻结形成冰雪块;二是列车车体上积聚的冰雪块,在高速气流和温度变化等因素影响下脱落击打轨道和周围基础设施,具体演化过程如图1所示。

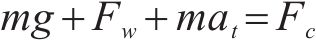
针对车体附着冰雪块脱落过程,根据车体冰雪块受力分析(见图2)可知,车体上质量为








其中,
























其中,

1.2 列车脱冰可靠度计算
根据力学机理建立的脱落风险函数可知,影响车体冰雪块脱落的力主要有由振动加速度引起的振动荷载、风载、冰雪块黏附力、冰雪块重力,与之相关的直接因素有:列车车速、列车轮对不圆度、轨道不平顺、环境温度、冰雪块体的质量、黏附高度、黏附面积。根据所建立的风险函数可得到冰雪块脱落极限状态函数为

本文拟采用Monte Carlo模拟的方法进行脱冰风险评估,具体步骤为:通过借鉴现有实验数据,确定各参数的概率分布类型及其统计特征;随机模拟产生与上述统计特性相符的随机数,代入到功能函数式(5)中得到一个随机数,并进行N次模拟,得到N个功能函数的随机数据。若其中有M个数据小于0,当N的数值足够大时,根据大数定律频率即可视为概率,此时发生列车脱冰的概率

而列车脱冰可靠度

其中,

上述分析过程,利用车体冰雪块脱落风险函数及极限状态函数,对脱落风险进行评估,具体流程如图3所示。

2 列车脱冰参数确定与分析
根据所建立的冰雪块脱落极限状态函数,遵循指标体系的系统性、层次性和可操作性建立递阶层次结构模型。综合考虑列车脱冰形成机理及演化过程,将脱冰风险进行层次化分析,构建与轨道、列车、环境、黏附冰雪块4个维度相对应的7个1级指标,并通过各1级指标之间相互耦合而形成振动加速度、风载、黏附力、冰雪块重力4个2级指标,为列车脱冰风险评估奠定基础,具体如图4所示。

为分析列车冰雪块脱落过程中各关键因素作用机理,收集哈大铁路四平段2021—2023年期间的历史温度数据,并结合文献研究及实验数据,确定了轨道不平顺、列车轮对不圆度、列车车速、环境温度、冰雪块黏附位置等影响因素的统计特性。通过对各影响因素进行函数拟合,并结合随机分布模型,全面总结各影响因素的分布特征,为后续风险评估提供理论依据与计算参数。
2.1 振动加速度
列车在高速运行过程中,由列车动态响应产生的振动对冰雪块脱落起到了一定的影响作用。车体振动的强度与频率直接作用于冰雪块,使其发生微小的位移和破裂,提升了冰雪块脱落的可能性,因此列车振动是研究冰雪块脱落的关键动力因素。赵乾峰等[17-19]运用多体动力学与有限元耦合方法,结合实测数据验证,分别解析了列车车速、轮对不圆度、轨道不平顺对列车振动加速度的影响,对其进行函数拟合,得出振动加速度随列车车速、轮对不圆度、轨道不平顺的变化曲线(见图5)[17-19]。



其中,












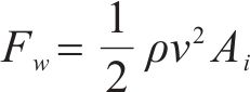
2.2 风载
列车运行时,车体前方的气流与地面及轨道之间相互作用,形成强烈的风压和气流剪切,作用于冰雪块表面,打破其与列车表面之间的黏附力,促进了冰雪块的脱落。由上文内容可知,冰雪块黏附位置、冰雪块迎风面积以及列车车速共同决定了其所受风载的大小。冰雪块迎风面积可近似为其在导流板上的黏附面积,并在0~1 m2范围内服从随机分布[20]。根据王家斌等[21]通过风洞试验对高速列车底部风雪两相流的演化特征进行的分析与验证,得出了转向架区域垂向速度系数(垂向风速与列车速度的比值)随距道床面距离的变化曲线(见图6)[21],并将其拟合为公式(11)所示的三次函数:

其中,






2.3 冰雪块黏附力
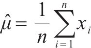
黏附力的强弱不仅取决于冰雪块的剪切黏附强度,还与环境温度以及列车表面的粗糙度密切相关。选取哈大高铁四平段2021—2023年中1、2、11、12这4个月份的温度数据(见图7(a))[22],通过极大似然估计方法,利用公式(12)和(13)得出相应的温度均值、方差:




其中,



2.4 冰雪块重力
冰雪块的质量直接影响其脱落的稳定性和难易程度。根据日本东京铁道技术研究所针对寒冷地区运行列车的转向架区域积聚冰雪情况的监测结果[15]可得出列车脱冰的最大质量可达15 kg,质量分布大致呈现出正态分布特征,调查结果如图8所示。通过极大似然估计方法可得出转向架区域附着冰雪块质量的均值、方差如下:


将列车振动加速度、风载、冰雪块黏附力、冰雪块重力代入式(4),可得:

鉴于高速列车在运行过程中呈现显著的动态特性,各因素均在特定范围内波动与变化。根据上述所用计算方法,综合运用统计特征分析手段,紧密关联高速列车实际运行速度的区间范围,将冰雪块脱落现象各1级指标特征汇总如表1所示。
列车脱冰 影响因素 | 列车速度/ (km∙h-1) | 轮对不 圆度/阶 | 轨道不平 顺波长/m | 温度/℃ | 冰雪块黏附位置 距道床面距离/m | 冰雪块 质量/kg | 冰雪块黏附 面积/m2 |
|---|---|---|---|---|---|---|---|
| 分布类型 | 随机分布 | 随机分布 | 随机分布 | 正态分布 | 随机分布 | 正态分布 | 随机分布 |
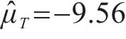
| 均值 | -9.56 | 1.33 | |||||
| 均方根 | 48.50 | 21.44 | |||||
| 分布范围 | 150~350 | 0~26 | 0~200 | 0.3~0.75 | 0~1 |
3 列车脱冰可靠度评估
3.1 单因素分析
为探究各项因素对列车脱冰现象的影响,采用控制变量法进行相关性分析,即令研究因素在其分布范围内按等距离取值,而其他因素仍服从其原有分布类型;对于每个取值点,进行106次模拟,并采用分组模拟的方法,每组包含103次独立仿真,通过103组模拟获得103个统计样本,最终取平均值作为该取值点的仿真结果,进而得出冰雪块脱落可靠度与列车车速、轮对多边形阶次、轨道不平顺波长、温度等各单一因素的关系曲线。
由图9(a)和图9(f)可知,冰雪块脱落可靠度与列车车速和冰雪块质量呈显著负相关关系。具体而言,随着列车车速的增加,列车底部气流速度加快,在其下方形成明显的负压区,从而对附着于车体底部的冰雪块施加更强的气动吸力与剪切力,显著增强其向下脱落的趋势,降低其附着稳定性。同时,冰雪块质量的增加意味着其所受重力增大,进一步削弱原有的附着平衡状态,导致冰雪块更易从车体表面脱落。

由图9(b)、图9(d)、图9(e)、图9(g)可知,冰雪块脱落可靠度与轮对多边形阶次、环境温度、冰雪块黏附高度、冰雪块黏附面积呈现非线性关系。首先,从轮对不圆度角度分析,随着轮对多边形阶次的增加,由该因素引起的列车加速度出现上升后下降的趋势,由此导致了由列车振动加速度产生的力在某一特定值处达到峰值,进而使得冰雪块脱落可靠度降至最低,后随着由多边形阶次引起的加速度逐渐降低,冰雪块脱落可靠度也随之回升。其次,从温度因素可解释为当温度从冰点下降至-4 ℃时,冰雪块的微观结构不断密实,使其与列车表面的结合更加牢固,进而不易从列车表面脱落。然而,随着温度进一步下降,冰雪块与列车表面的黏结剪切强度减弱,使得冰雪块更容易受到外界因素扰动,导致发生冰雪块脱落的可靠度随之降低。然后,从冰雪块黏附高度的角度分析,冰雪块脱落可靠度随黏附高度增加呈现先下降后上升的趋势:中等高度位置如转向架一系悬挂区湍流剧烈、气动扰动显著,脱冰风险最高。后随着黏附高度进一步增大,由于受到局部气流扰动、边界效应等因素的影响,冰雪块周围的气流场分布趋于稳定,脱冰可靠度随之回升。最后,从冰雪块黏附面积的影响分析可知,随着冰雪块黏附面积的增大,冰雪块脱落可靠度呈现先上升后趋于稳定的趋势。这是由于在黏附面积增加的初始阶段,冰雪块与列车表面的黏附力逐渐增大,从而提高其可靠度;当黏附面积增大到一定范围后,冰雪块的整体质量也随之增加,使其受重力作用显著增强。同时,过大的黏附面积可能导致局部应力分布不均,在气流冲击等因素的共同作用下,局部区域的黏附强度可能削弱,进而降低整体稳定性。因此,在面积达到某一阈值后,冰雪块脱落可靠度趋于稳定,不再显著变化。
由图9(c)可知,轨道不平顺波长对冰雪块脱落可靠度的影响相对较小。主要原因是,随着轨道不平顺波长的提升,由此引起的车体振动加速度在一定范围内增大,但由于列车运行过程中存在多种复杂作用共同影响冰雪块脱落可靠度,而相对稳定的振动加速度引起的作用力在整个作用体系中相对微弱[14],其对冰雪块稳定性的影响被其他主导因素所掩盖。因此对冰雪块脱落可靠度影响几乎可以忽略不计,在关系曲线上表现为细微波动。
3.2 多因素分析
为探究各项2级指标内多因素耦合作用下对列车脱冰现象的影响,通过相关性分析,得出冰雪块脱落可靠度与多因素的响应面。
振动加速度指标下的多因素耦合分析结果如图10所示。从图10(a)和图10(b)中可以得出:随着列车车速的增大,冰雪块脱落可靠度都呈现显著减小的趋势,这表明列车车速相较于轮对多边形阶次及轨道不平顺波长而言,是显著影响冰雪块脱落可靠度的关键因素;而从图10(c)中可以得出:随着轮对多边形阶次的增大,冰雪块脱落可靠度呈现先减小后增大的趋势,在阶次为10阶处出现拐点,该处冰雪块脱落可靠度取得最小值,这表明在相同不平顺波长情况下,轮对多边形阶次对可靠度的影响较大。针对以上特性,可以通过采取降速行驶、对轮对进行铣磨以消除多边形磨耗恢复轮对圆度,同时结合轨道不平顺波长的检测与整治等多维度实施协同控制,进而有效提升冰雪块脱落可靠度。

风载指标下的多因素耦合分析结果如图11所示。从图11(a)和图11(b)中可以得出:随着冰雪块黏附位置距道床面高度的增大,冰雪块脱落可靠度呈现先减小后增大的趋势,在0.5 


冰雪块黏附力指标下的多因素耦合分析结果如图12所示。由图12可知,随着温度下降,冰雪块脱落可靠度呈现先增后减的趋势,这表明,相较于冰雪块黏附面积,环境温度对冰雪块脱落可靠度的影响更为显著,且当环境温度在-4 ℃左右时,冰雪块脱落可靠度达到峰值,这与单因素分析中所得到的结论一致。基于这一特性,可对冰雪块黏附位置进行特殊涂层或温度控制处理,使冰雪块黏附位置处温度稳定在可靠度峰值区间,以保证列车安全运行。

4 结论
1) 列车速度和冰雪块质量是影响脱冰风险的主导因素。随着列车速度增加,车底气流速度加快并形成强烈湍流,导致冰雪块所受风荷载和气动剪切力显著增强,脱落趋势增强;冰雪块质量越大,其重力越大,黏附稳定性越差,更易在振动与风载共同作用下发生脱落。
2) 环境温度通过调控黏附强度对脱冰风险产生显著非线性影响。温度从0 ℃下降至-4 ℃时,冰雪结构致密化使其黏附强度增强,脱落风险下降;但继续下降至更低温度时,材料间界面结合能力减弱,黏附强度反而降低,脱冰风险随之升高,表现出“先减后增”的变化特征。
3) 冰雪块黏附高度与面积对脱冰可靠度的影响具有非单调性。中等高度位置如转向架一系悬挂区湍流剧烈、气动扰动显著,脱冰风险最高;而过高或过低位置因流场变化,风险有所降低。黏附面积初期增大会增强附着力,但过大则引发局部应力集中及质量增重,稳定性反而下降。整体表明,几何位置与气动环境共同决定高风险区域分布,应作为重点优化目标。
Numerical study on the anti-snow performance of deflectors in the bogie region of a high-speed train using the discrete phase model
[J]. Proceedings of the Institution of Mechanical Engineers, Part F: Journal of Rail and Rapid Transit, 2019, 233(2): 141-159.丁东,蔡业林,马鑫宁等.基于Monte Carlo模拟的高速列车转向架积冰脱落风险评估[J].铁道科学与工程学报,2025,22(10):4376-4387.
DING Dong,CAI Yelin,MA Xinning,et al.Risk assessment of de-icing from train bogies based on Monte Carlo simulation[J].Journal of Railway Science and Engineering,2025,22(10):4376-4387.

