近年来,随着轨道交通网络的日益密集和列车运行速度的显著提升,碰撞事故的破坏力和影响范围也随之增大。事故不仅会造成巨大的人员伤亡和财产损失,严重时还可能引发火灾、爆炸以及有毒物质泄漏等一系列次生灾害[1-2]。在上述背景下,开展列车碰撞安全性研究已成为轨道交通安全领域的迫切需求。在列车碰撞安全性研究中,列车线路碰撞试验是最具真实性和说服力的手段[3-4]。然而,该试验方法却面临着显著的技术经济瓶颈。除成本极高、周期长等限制外,列车线路碰撞试验还伴随着极大的风险性。在碰撞过程中,列车系统携带的巨大冲击动能将以吸能结构的弹塑性变形方式耗散[5]。同时,吸能结构非理想变形模式以及极限破坏载荷可能会引起车体的点头、摇头效应。随着相邻车辆间动态接触界面的不断演化,进一步导致爬车、脱轨等失稳形态的产生[6-7]。当试验过程中出现爬车或脱轨等失稳现象时,不仅会造成车辆结构损伤和轨道设施破坏,更对试验现场人员安全构成直接威胁。因此,如何在试验前精准预测列车碰撞姿态演化规律,系统评估脱轨风险并构建多层级安全防护体系,成为制约列车线路碰撞试验可行性与可重复性的核心问题。针对上述问题,本研究提出基于多体动力学理论的列车线路碰撞试验前安全评估方法。相较于传统有限元方法,多体动力学方法在建模效率与计算速度方面具有显著优势,已在列车碰撞能量管理[8-10]、碰撞爬车和脱轨分析[11-13]以及乘员二次碰撞研究[14]等方面得到了广泛应用。本研究以一次5编组列车线路对撞试验为例,利用MotionView多体动力学仿真平台构建了多体动力学仿真模型,开展了极端工况下多风险因素的耦合分析,以量化评估碰撞过程中的脱轨风险。依据评估结果制定安全防护措施,最终在多重安全防护措施保障下成功开展实车碰撞试验。
1 列车线路对撞试验设计
为深入探究多编组列车碰撞行为的演化过程,拟于中车长春轨道客车股份有限公司的列车线路碰撞试验台开展一次5编组列车线路对撞试验。本次试验主要依据中国铁路标准(TB/T 3500—2018)和欧洲标准(EN 15227—2020)设计碰撞场景,具体为:将一列车静止停放在平直轨道上,另一运动列车以设定冲击速度与其发生正面碰撞[15]。运动列车和静止列车的类型及配置相同,且在碰撞过程中,2列车均未采取制动措施。基于一维碰撞动力学仿真模型,对当前车辆系统的能量吸收能力进行评估分析,初步确定本次试验的碰撞速度为30 km/h,运动列车和静止列车各车辆的配重情况见表1。
| 类别 | 运动列车/t | 静止列车/t |
|---|---|---|
| 车1 | 53.42 | 52.94 |
| 车2 | 60.64 | 60.64 |
| 车3 | 60.41 | 60.41 |
| 车4 | 50.00 | 50.00 |
| 车5 | 50.00 | 50.00 |
为确保表述的唯一性,对运动列车和静止列车的各车辆、转向架以及轮对的编号进行如下定义,具体如图1所示。运动列车和静止列车编号分别为Train_M和Train_S;运动列车和静止列车第1节车辆编号分别为M1和S1,其余车辆编号依此类推;M1与S1车辆的碰撞界面编号为M1-S1,M1与M2车辆界面编号为M1-M2,S1与S2车辆界面编号为S1-S2,其余界面编号依此类推;以M1车为例,一位端转向架编号为M1Bg1,二位端转向架编号为M1Bg2;一位、二位端轮对编号分别为M1Bg1Ws1、M1Bg1Ws2。运动列车行进方向的左侧为L,右侧为R。

在5编组列车线路对撞试验中,各车辆界面吸能结构布置情况如图2所示。其中,M1-S1车辆碰撞界面由1组主吸能结构与2组Ⅰ型防爬器协同作用。主吸能结构的设计吸能行程为750 mm,撞击平台力为1 700 kN;Ⅰ型防爬器的设计吸能行程为450 mm,撞击平台力为550 kN。其余车辆界面则采用一个中间车钩和一组Ⅱ型防爬器协同作用的形式。Ⅱ型防爬器的设计吸能行程均为150 mm,且距离M1-S1越远的界面,其撞击平台力越小,具体数值分别为900、900、675、400 kN。

2 列车碰撞多体动力学建模
根据车辆系统动力学理论[16-17],基于MotionView多体动力学仿真平台,构建5编组列车线路对撞多体动力学模型。该模型主要包括车辆悬挂子系统、轮轨接触子系统以及吸能结构子系统3部分,具体如图3所示。其中,全局坐标系X轴指向车辆前进的方向,Z轴垂直于轨顶面向上,Y轴指向由右手螺旋定则确定。5编组列车线路对撞多体动力学模型的关键建模参数见表2。

| 类型 | 参数 | 数值 | ||
|---|---|---|---|---|
| X | Y | Z | ||
| 几何参数 | 头车外形/mm | 26 495 | 3 300 | 3 010 |
| 中间车外形/mm | 24 955 | 3 300 | 3 010 | |
| 车辆定距/mm | 17 800 | — | — | |
| 转向架轴距/mm | 2 500 | — | — | |
| 质量参数 | 车体质量/t | 35.76 | ||
| 车体转动惯量/(t∙mm2) | 9.33×107 | 1.44×109 | 1.33×109 | |
| 构架质量/t | 3.878 | |||
| 构架转动惯量/(t∙mm2) | 2.12×106 | 1.42×106 | 2.60×106 | |
| 轮对质量/t | 1.635 | |||
| 轮对转动惯量/(t∙mm2) | 7.41×105 | 1.57×105 | 7.41×105 | |
| 悬挂参数 | 一系轴箱弹簧刚度/(N∙mm-1) | 920 | 920 | 886 |
| 二系空气弹簧刚度/(N∙mm-1) | 107 | 107 | 173 | |
| 牵引拉杆刚度/(N∙mm-1) | 1 250 | 625 | 625 | |
1) 车辆悬挂子系统。在碰撞过程中,由于车体、构架和轮对的弹性变形相对于外形尺寸可以忽略不计,因此在建模时将车体、构架和轮对等效为刚体。同时,车辆悬挂系统的弹性元件简化为非线性力元。具体而言,一系轴箱弹簧、二系空气弹簧以及牵引拉杆均通过等效六分量弹簧阻尼器(Force_Bushing)进行模拟,而各液压减振器及弹性止挡则由弹簧-阻尼串联力元(Force-SpringDamper)进行描述。由于车辆悬挂系统采用的弹性元件通常为变刚度设计,为便于研究,将各弹性元件的非线性特征定义为分段线性曲线,并在力元的设置中予以引用[18]。
2) 轮轨接触子系统。轮对与钢轨之间通过轮轨相互作用力相连接,采用3D-Rigid-to-Rigid-Contact实现。首先,选择LMA磨耗型车轮踏面,与之匹配是轨距为1 435 mm的中国CHN60 kg/m标准轨。然后,将轮对和钢轨的真实几何外形曲面导入到MotionView软件中,调用HyperMesh软件进行网格划分,并输出精细化的网格模型。最后,定义轮轨法向接触力和切向接触力算法,并设置相应求解参数。其中,轮轨法向接触力通过经典Hertz非线性弹性接触理论求解,轮轨切向接触力则通过库伦摩擦理论求解。在试验现场进行多次车辆自由滑行试验,测得轮轨间动摩擦因数约为0.001 3。
3) 吸能结构子系统。在多体系统中,吸能结构的塑变吸能特性通过广义弹簧单元定义,采用非线性迟滞数学模型进行模拟。非线性迟滞数学模型的定义主要包括加载曲线和卸载曲线2部分。图4所示为简化的蜂窝填充式吸能结构的动态加/卸载行为。从开始加载到卸载结束过程中,力与位移构成了不可逆的滞回闭合曲线,曲线的闭环面积表示耗散的能量。

图4中,ke和kr分别表示吸能结构在弹性加载/卸载过程和刚性冲击过程的刚度;fp表示吸能结构撞击平台力;de和ds分别表示吸能结构的弹性压缩极限和最大吸能行程。图中1~7分别表示为:弹性加载阶段、塑性加载阶段、弹性卸载阶段、分离阶段、2次空载阶段、2次弹性加载阶段、2次塑性加载阶段。
为验证所构建列车碰撞多体动力学模型的准确性,在中车长春轨道客车股份有限公司的列车线路碰撞试验台开展一次全尺寸头车冲击刚性墙试验。通过对比动力学仿真结果与试验结果,发现动力学模型相比于实车碰撞试验的动力学响应误差均处于10%的工程误差范围之内,表明本研究构建的动力学模型具备与实际车辆相似的撞击力学特性[19]。
3 极限工况碰撞安全评估
3.1 风险因素选择
列车碰撞过程中存在诸多不确定因素,直接影响碰撞安全性。基于当前列车耐撞性研究的成果,本研究选取以下3个关键风险参数进行深入分析。
1) 冲击速度v。作为决定碰撞系统初始动能的决定因素之一,冲击速度与动能呈二次方关系增长,显著影响碰撞严重性。由于本次试验的设计冲击速度为30 km/h,考虑10%安全裕量,因此定义冲击速度的变化范围为30~33 km/h。
2) 吸能结构撞击平台力F。在5编组列车线路对撞试验中,主吸能结构、Ⅰ型防爬器、Ⅱ型防爬器均为铝蜂窝填充式吸能结构。然而,在铝蜂窝芯块的切削加工过程中,容易产生撕裂毛刺、压溃翻折、开裂脱胶等加工缺陷,这些缺陷会导致结构面内的承载能力降低[20]。因此,本研究选取M1-S1、M1-M2和S1-S2这3个关键车辆界面吸能结构的撞击平台力作为风险因素,并将撞击平台力的变化范围设定为初始值的90%~100%。
3) 车间初始横向偏移量β。碰撞发生时,运动列车各车辆间的相对位置具有随机性[21-22]。Mayville指出,列车锯齿式横向褶曲行为的衍生需要碰撞发生前编组列车的车辆间存在较小的横向偏移量。由于撞击力从前向后传播,越靠近头车撞击界面的影响程度越显著。因此,本研究选取M1-M2界面相邻车间横向偏移量为风险因素,其变化范围为0~40 mm[23]。
3.2 动力学仿真方案设计
针对上述3个风险因素,对其进行线性归一化处理,将变量的变化范围映射到[-1, 1]区间内,以消除量纲差异。综合考虑各风险因素之间耦合作用,采用全因子试验设计法,每个因素取3个水平,共生成27组样本点。通过动力学仿真计算,系统评估各因素及其耦合作用对碰撞响应的贡献。
3.3 安全评估结果
图5展示了计算所得的列车在碰撞过程中的2种典型碰撞姿态:纵向压溃和横向褶曲。当β为0 mm时,各车辆主要呈现纵向相对运动,撞击前后未出现脱轨、爬车等不稳定行为,如图5(a)所示。当β为20 mm和40 mm时,运动列车与静止列车均出现了锯齿状横向褶曲现象,如图5(b)所示。

基于标准EN 15227—2020对车辆脱轨行为的定义,以车轮抬升量为评价指标,对27组仿真工况数据进行量化分析。标准规定:碰撞过程中每台转向架需保证至少一个轮对与钢轨保持有效接触,且车轮抬升量不得超过轮缘高度的75%。磨耗型踏面车轮轮缘高度为27 mm,对应抬升量阈值为21 mm。结果表明:
1) M2Bg1转向架的右侧车轮在碰撞中发生显著垂向抬升。通过极差分析法量化3个风险因素对M2Bg1Ws1_R、M2Bg1Ws2_R这2个车轮抬升量的影响,如图6(a)和图6(b)所示。结果显示:车间初始横向偏移量β对车轮抬升量具有决定性影响,且呈正相关关系,表明车间初始横向偏移量增大会直接加剧脱轨风险。冲击速度v的影响次之,其通过增加碰撞动能间接加剧车轮抬升;吸能结构撞击平台力F对M2Bg1Ws1_R垂向位移呈弱负相关,对M2Bg1Ws2_R的抬升量无显著影响。

2) 以M2Bg1Ws1_R、M2Bg1Ws2_R这2个车轮抬升量均超阈值(21 mm)为标准,从27组方案中筛选出3组高风险工况(方案A、B、C),如图6(c)和表3所示,高风险工况均满足极限参数组合条件β=40 mm且v=33 km/h。随着吸能结构撞击平台力F增大,M2Bg1Ws1_R抬升量由35.69 mm降至24.52 mm。这一趋势与极差分析中F的负相关性一致,表明增强吸能结构承载能力可有效缓解极端工况下的脱轨风险。
方案 编号 | v/(km∙h-1) | F/kN | β/mm | 车轮垂向位移/mm | |||
|---|---|---|---|---|---|---|---|
| 主吸能结构 | Ⅰ型防爬器 | Ⅱ型防爬器 | M2Bg1Ws1_R | M2Bg1Ws2_R | |||
| A | 33 | 1 530 | 495 | 810 | 40 | 35.69 | 23.86 |
| B | 33 | 1 615 | 522.5 | 855 | 40 | 28.56 | 22.11 |
| C | 33 | 1 700 | 550 | 900 | 40 | 24.52 | 22.58 |
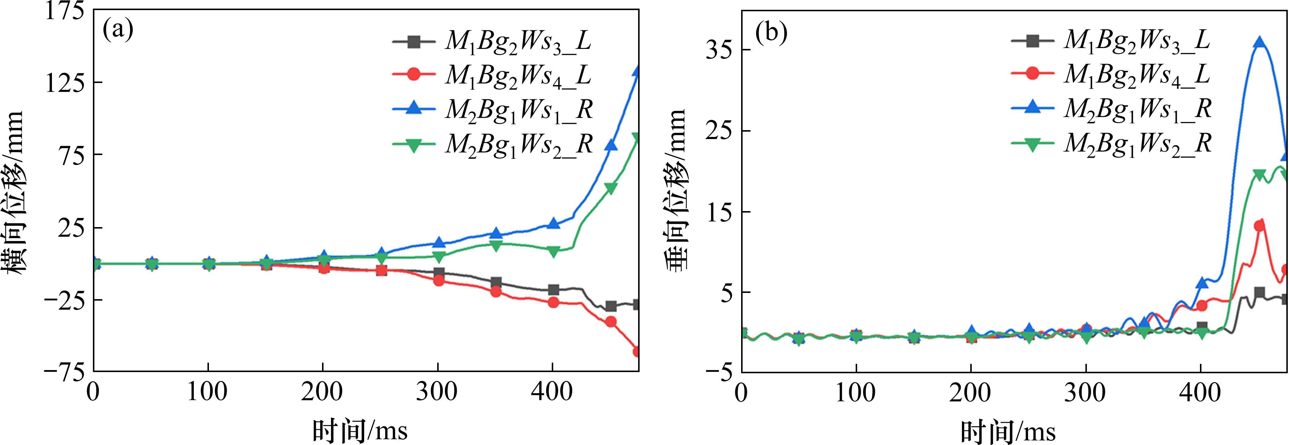
以方案A为例,对其关键位置车轮的运动情况及脱轨机理进行详细分析。图7为4个关键位置车轮的横向和垂向位移变化曲线。0时刻为M1-S1头车碰撞界面主吸能结构的初始接触时刻。M1-M2界面中间车钩的初始摇头运动导致M1车体尾端向左产生横向偏移,进而带动M1Bg2转向架向左移动,直至左侧车轮与左侧钢轨发生接触;类似地,M1-M2界面中间车钩的摇头运动造成M2车体前端向右横向偏移,带动M2Bg1转向架向右运动,直到右侧车轮与右侧钢轨接触。由图7可知,随着撞击持续进行,M1Bg2Ws4_L和M1Bg2Ws3_L车轮逐渐左偏,同时M2Bg1Ws1_R和M2Bg1Ws2_R逐渐右偏,且横向偏移量随车轮与M1-M2界面距离的减小而增大。在420 ms时,各车轮的横向位移曲线出现拐点,曲线变化速率骤增,垂向抬升量显著增大,表示此刻车轮已完全脱离钢轨约束。上述分析表明,该工况下车轮的抬升过程由爬轨效应主导,其根本原因为车体横向运动量值过大,带动转向架及轮对大幅横移。

图8所示为车轮M1Bg2Ws4_L和M2Bg1Ws1_R的爬轨过程细节。可见,M1Bg2Ws4_L车轮在构架牵引下持续左偏,在405 ms时刻贴靠左侧钢轨,沿轨面爬升直至越过轨顶,最终发生实质脱轨行为。M2Bg1Ws1_R车轮运动过程与之类似,但具有更快的横移速度与更早的脱轨时点。

为了保证5编组列车线路对撞试验的安全进行,基于试验前安全评估的分析结果,针对3个风险因素分别提出对应改进原则如下:1) 对驱动加速过程中车辆的实时速度进行检测,保证驱动机车脱钩时运动列车冲击速度精度在0.5 km/h以内;2) 试验前对各界面填充的铝蜂窝芯块进行反复检查,排除具有明显加工缺陷的试件;3) 尽量保证运动列车各车辆具有较为平稳的初始状态。
4 列车线路对撞试验结果
4.1 试验步骤
1) 试验列车的配重和编组。将吸能结构与车体装配完成后,通过称重设备获得各车辆空车重量;根据配重要求,将配重沙袋均匀放入与车体地板螺栓连接的铁箱内,再次测量各车辆整车重量,并调整各车辆重心高度一致;通过中间车钩将相邻车辆连接,完成列车编组。
2) 测试设备的布置和调试。为了对碰撞过程中风险较大车辆的运动过程、吸能结构变形以及各部件间的接触情况进行观测和分析,在运动列车行进方向线路的左侧共布置了4台高速相机,通过卫星定位的方式实时测量试验中各车辆的速度,加速度传感器布置在每辆车的一位端和二位端以及车体中心位置。
3) 安全防护措施检查。安全防护方案包括防护轨、防护站台、制动台车和蜂窝吸能装置。防护轨主要用来阻止轮对过大的横向位移,进而阻止列车脱轨。防护轨已经失效的情况下,防护站台通过与车体的直接作用来阻止车体进一步冲离线路,阻止车体侧翻倾覆。碰撞结束后,运动列车和静止列车会以一定的速度继续运行,在静止列车与刚性墙中间设置制动台车,通过制动台车与静止列车的二次碰撞吸收一部分动能,使试验列车能够安全制动。刚性墙前端放置铝蜂窝块可以防止列车与刚性墙发生刚性撞击。
4) 运动列车加速和碰撞。驱动机车接收指令,开始驱动5编组运动列车;当驱动机车接近脱钩位置时,采用卫星定位的测速方式来实时测量试验车运动速度并进行调整,保证驱动机车的速度误差在试验接受的范围内[24];驱动机车接收到脱钩信号后开始自动脱钩,驱动机车制动,运动列车继续向前行驶并撞击静止列车。
4.2 试验结果
图9为碰撞过程中各高速相机捕捉的序列图像。可以看出,在5编组列车线路对撞试验过程中,各车辆吸能结构均发生有序可控变形,列车各界面能量吸收梯度可控,充分吸收了列车的初始冲击动能。车辆撞击前后无脱轨、爬车等不稳定行为,各界面有效啮合,姿态稳定。
5编组列车线路对撞试验最终实际测速为30.4 km/h,速度误差为0.4 km/h。图10显示的是高速摄影分析所得试验中各车辆的速度变化情况。可以看出,运动列车将自身携带的动能以撞击的方式传递给静止列车,从M1-S1界面开始,碰撞效应依次向运动列车和静止列车的其他车辆传递,按照离碰撞界面的近远依次参与碰撞过程。5编组列车线路对撞试验全过程主要可细分为以下4个阶段。
第1阶段(0~270 ms)。2列车头车率先碰撞,导致M1和S1速度发生突变:M1由初始速度持续减速,S1由静止状态开始加速;至270 ms时,M1与S1速度达到一致,标志着M1-S1界面的冲击压缩和能量交换过程结束。
第2阶段(270~405 ms)。随着碰撞持续,M2和S2分别与前方车辆M1和S1发生碰撞:0~258 ms时段,M2和S2的速度曲线变化平缓,仅中间车钩参与能量吸收;258~405 ms时段,M2和S2的速度曲线斜率骤增,中间车钩与防爬吸能结构协同作用;405 ms时,4节车辆的速度曲线交汇,标志着M1-M2、S1-S2界面的冲击过程结束。
第3阶段(405~505 ms)。M3和S3分别与M2和S2发生碰撞:只有中间车钩单独作用,防爬吸能结构未触发;505 ms时,S3速度曲线与前4节车辆曲线交汇,标志着M2-M3、S2-S3界面冲击过程结束。
第4阶段(505 ms~结束)。505 ms后,运动列车与静止列车速度曲线分离,2列车耦合碰撞过程结束;后续阶段,各车辆在轮轨摩擦力作用下逐渐减速。可以看出,各辆车的最终回弹速度并不相等,S1的平均回弹速度约为4.12 m/s,M1的平均回弹速度约为4.03 m/s,静止列车的平均回弹速度略高于运动列车的。2车在回弹过程中速度有上下波动,表明运动列车和静止列车回弹过程中存在二次碰撞。
通过动能定理计算得到5编组列车的初始撞击动能为9 522.66 kJ。碰撞结束后各辆车的最终回弹速度并不相等,静止列车的平均回弹速度略高于运动列车,分别以动车1的回弹速度4.03 m/s和静车1的回弹速度4.12 m/s计算运动列车和静止列车的回弹动能为2 228.84 kJ和2 325.42 kJ,则碰撞系统总回弹动能为4 554.26 kJ,占列车初始动能的47.82%。碰撞过程中系统的总变形能为4 427.66 kJ,占列车初始动能的46.49%,其余冲击动能则通过轮轨摩擦耗散。
5 结论
1) 当车间初始横向偏移量为20 mm和40 mm时,运动列车与静止列车均出现了锯齿状横向褶曲现象,运动列车第2节车辆的一位端转向架车轮在碰撞中发生显著垂向抬升现象。
2) 极差分析结果表明:车辆间初始横向偏移量β对车轮抬升量影响最为显著且呈正相关关系,表明偏移量增大会直接加剧脱轨风险;冲击速度V的影响次之,其通过增加碰撞动能间接加剧车轮抬升;提升吸能结构承载能力F可有效缓解极端工况下的脱轨风险。
3) 以2车轮抬升量均超阈值21 mm为判据,从27组仿真方案中筛选出3组高风险工况,均满足极限参数组合条件β=40 mm与v=33 km/h。
4) 基于脱轨风险分析结果,对可能发生脱轨的区域实施多重安全防护。经过试验列车的配重和编组、测试设备的布置和调试、安全防护措施的检查以及运动列车加速等准备工作,5编组列车线路碰撞试验顺利完成。试验中各车辆在撞击前后均保持姿态稳定,未出现脱轨、爬车等不稳定行为。
赵慧,许平,阳程星等.高速列车线路对撞试验前安全评估及试验验证研究[J].铁道科学与工程学报,2025,22(10):4366-4375.
ZHAO Hui,XU Ping,YANG Chengxing,et al.Safety assessment before high-speed train line collision test and test verification[J].Journal of Railway Science and Engineering,2025,22(10):4366-4375.

