作为高速铁路发展的有力载体,高速列车由于其安全性、节能性、便捷性,已经发展成为现代交通运输体系的重要组成部分并快速推动国民经济发展。随着高速铁路网络运营速度、复杂性和运输需求的不断提高,实现高速列车高密度和高安全性运行控制已经成为国内外学者关注的研究热点。多列车协同控制是目前提高线路运行效率的主要方法之一,即基于列车之间的局部信息交换,为在同一条线路上运行的多列高速列车设计分布式控制器,以便于实时调整每列列车的速度和位移,在保证安全运行间距的前提下,实现多高速列车的协同运行,缩小列车之间的追踪间隔,提高线路利用率[1-2]。实际上,一列含有7节车厢,每节车厢具有6个自由度的高速列车组,至少需要84个微分方程才能够较为准确地描述其动力学特性[3]。同时,由于高速列车运行环境复杂多变,列车运行面临着诸多挑战性问题,如列车系统时滞和执行器故障等。因此,考虑复杂未知高速列车运行过程中的时滞和执行器故障问题,研究高速列车分布式协同控制方案,可实现多高速列车高效率、高安全性的运行。近年来,国内外学者为解决高速列车协同控制问题,提出了多种控制方法。张友鹏等[4]利用非奇异终端滑模控制、有限时间干扰观测器及动态辅助系统设计控制器实现多列高速列车的协同运行控制。赵凯辉等[5]针对高速列车运行过程中受外界干扰而导致的各车厢速度不同步问题,提出一种基于改进扰动观测器的高速列车分布式速度协同跟踪控制一致性算法。XING等[6]提出一种高速列车协同预测设定点调制控制方法。ZHAO等[7]研究了状态约束和输入饱和条件下高速列车协同滑模自适应控制策略。TIAN等[8]研究了在移动闭塞系统下,具有加速区和约束的多辆高速列车的协同控制问题,提出一种分布式协同控制算法。然而以上关于高速列车协同控制的研究[4-8]未考虑列车运行过程中可能存在的执行器故障问题给列车的安全运行带来的不良影响。随着高速铁路运输网络规模和复杂性的逐渐扩大,列车牵引控制系统中的许多部件的性能将不同程度地下降并导致各种故障,严重威胁列车的安全运行[9]。在列车系统运行的可靠性和安全性要求下,高速列车容错控制已经成为理论和应用研究领域关注的热点话题。GUO等[10]针对高速列车运行的执行器故障问题,设计了一种考虑执行器故障的分布式自适应容错控制器。ZHU等[11]提出一种分布式容错控制策略,用于高速列车在未建模动态、时变外部干扰、输入饱和及执行器部分故障的情况下协同运行。LIN等[12]研究了在未知参数和执行器故障的情况下,多辆高速列车的协同控制问题。然而,以上关于多高速列车在执行器故障问题下的协同控制的研究均基于列车精确的数学模型[10-12],而由于高速列车本身数学模型的复杂性和列车运行环境的多变性,高速列车的精确数学模型往往难以建立。因此,探究不依靠高速列车精确系统模型的协同控制方法是一个非常有现实意义的问题。近些年来,不依赖于系统精确的数学模型,已经产生了一些执行器故障下高速列车协同控制方法。DONG等[13]通过设计自适应事件触发增强性能技术,提出一种新的列车编组安全容错控制方案。LIANG等[14]研究了外部随机干扰下,多列高速列车的精确协同控制,设计了一种高鲁棒性分数非奇异终端滑模控制器。WU等[15]研究了在存在执行器故障、饱和极限和未知操作阻力的情况下,多高速列车的协同容错跟踪控制问题。除了列车运行过程中可能存在的执行器故障,对高速列车的协同运行控制还有很高的通信需求,如系统时滞和数据丢包等[16]。以上关于执行器故障下数据驱动的多高速列车协同控制的研究[13-15]并未考虑系统时滞的影响。在实际高速列车运行系统中,时滞问题的出现是无法避免的。当系统存在时间延迟时,当前的控制输入需要经过一定的延迟后反馈到系统输出。时滞问题常常导致控制系统性能的恶化,甚至破坏系统稳定性,增加了高速列车协同控制设计的难度。因此,带有时滞的高速列车的控制问题得到了广泛的关注和研究。刘洋等[17]针对高速列车运行过程中的复杂时滞问题,提出一种基于时滞补偿的高速列车无线网络多幂次滑模控制方法。为了解决高速列车运行系统中参数不确定性和时变时滞问题,WANG等[18]提出一种高速列车鲁棒巡航控制方法。ZHANG等[19]研究了具有2个时变时滞的不确定高速列车的H∞巡航控制策略。SHI等[20]研究了在车钩力和数据传输过程中存在2个独立时变延迟的高速列车速度和位移的网络控制问题。然而,以上关于高速列车时滞问题的研究均是以单列列车为研究对象[17-20],未考虑高速列车之间的协同问题。目前,关于时滞下高速列车协同控制的研究已经有了一些成果[21-22]。为了提高高速列车的运输效率,PEI等[21]研究了高速列车运行中的延迟恢复问题和列车离线运行中最佳轨迹的快速获取问题,引入多智能体编队控制的思想,设计了一种在线多高速列车协同运行控制器。YAO等[22]为消除时滞对列车控制系统的负面影响,设计了一种具有自适应误差补偿项的分布式径向基函数神经网络,用于预测时滞。然而,目前能够同时处理高速列车协同控制下的时滞和执行器故障问题的研究却很少。KONG等[23]研究了具有执行器故障和通信延迟的多高速列车的协同容错控制问题。但该方法要求高速列车模型结构已知,且运用径向基神经网络处理列车的时滞问题时需要进行大量的离线和在线的数据训练,计算量巨大。基于以上研究分析,现有文献[10-15]仅考虑了执行器故障下列车的协同控制问题,文献[21-22]仅考虑了时滞下列车的协同控制问题,而同时考虑时滞和执行器故障问题且不依赖系统机理模型的列车协同控制方法目前未见报道。本文首次针对机理模型完全未知的高速列车系统并同时考虑列车运行过程中存在的时滞和执行器故障问题,利用Smith预估器、跟踪微分器及在线自适应执行器故障估计方法,设计一种多高速列车无模型自适应预测容错协同控制器。
1 基础知识和问题描述
1.1 图论
图论的知识经常被用在多高速列车协同控制的研究中。基于列车间的通信拓扑,列车的速度、位移等状态信息可以在列车之间传递和共享。多高速列车系统中的每列高速列车可看作是一个多智能体,基于多智能体的框架,构建高速列车分布式多智能体模型[24]。列车间的通信拓扑关系可以用有向图描述。有向图
















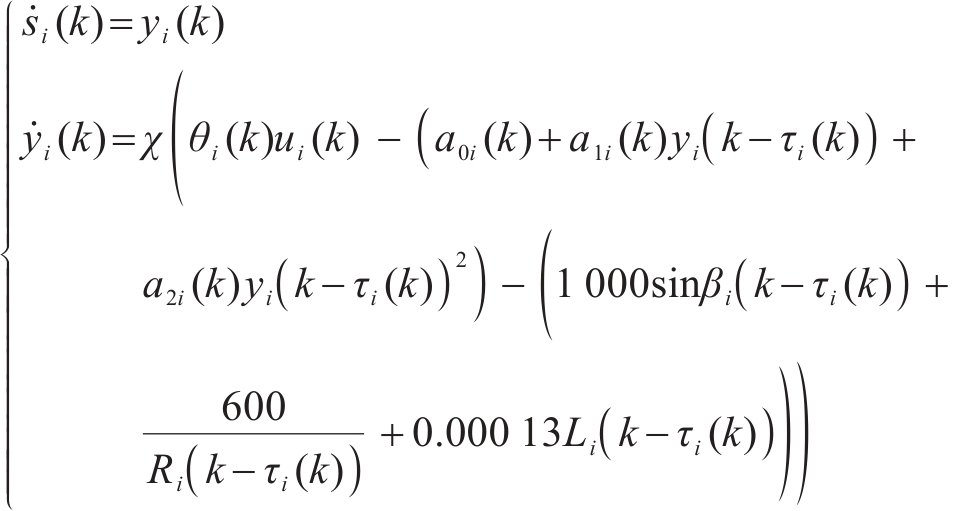
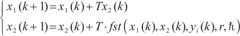
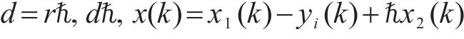
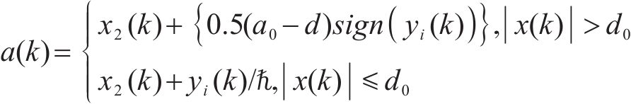
1.2 多高速列车动态模型
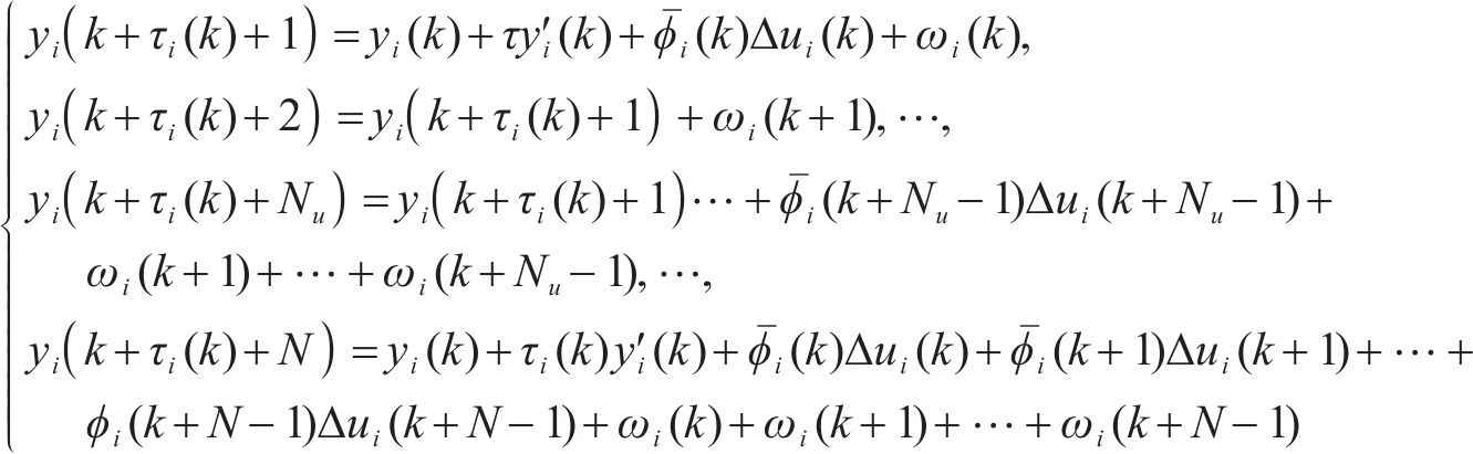
高速列车的单质点模型[25]可以将整列列车视为一个质点进行建模,忽略列车长度,模型结构简单。时滞和执行器故障下高速列车的动力学模型可描述如下[23, 26]:

其中,










虽然上述模型(1)被广泛应用于列车控制方法设计中,比如文献[23, 26-28],但是实际的高速列车运行环境复杂多变,模型(1)并不能对列车动力学模型进行完整刻画。本文针对如式(2)这种机理模型完全未知并考虑时滞和执行器故障的高速列车系统进行控制方法设计。
含有时滞和执行器故障的多高速列车系统可用更一般的非线性非仿射系统表示如下[29]:


其中,









1.3 多高速列车动态建模
系统(2)可以由以下紧格式等效动态线性化数据模型描述[30]:

其中,











1.4 相关数学假设
假设1:对于所有的



假设2:除有限的时间点外,非线性函数

假设3:除有限的时间点外,系统(2)是一个广义的Lipschitz系统,即对任意的






假设4:系统(2)是输入输出可测、可控的。即对于一致有界的期望输出信号

2 控制器设计
针对多高速列车协同控制问题,基于Smith预估器、跟踪微分器及执行器故障在线自适应估计设计高速列车运行控制器,具体设计方法结构框图如图1所示。

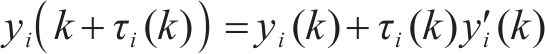
2.1 Smith预估器设计
由于系统存在时滞,在



其中,



2.2 跟踪微分器设计
为了获取式(5)中的

式(6)中,




对于上述2阶跟踪微分器式(6)中的输入信号










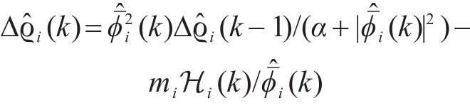
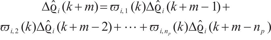
2.3 无模型自适应预测估计算法设计
首先,定义


其中,



其中,







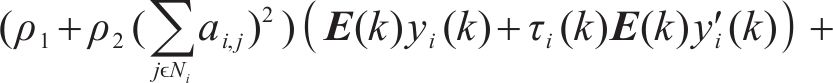
定义系统的性能指标函数如下:






其中,


将式(8)中的







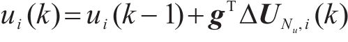
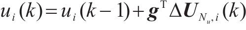
根据滚动优化策略可得,当前时刻的控制器为
其中,



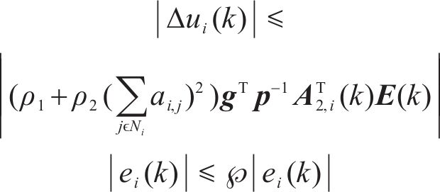
1) 使用与控制算法对称相似的参数估计算法来估计

为了使式(23)具有更强的时变参数跟踪能力,给出

式中:
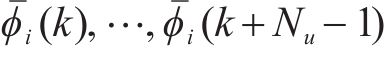
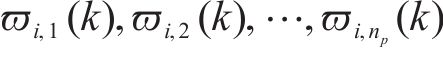
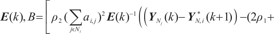
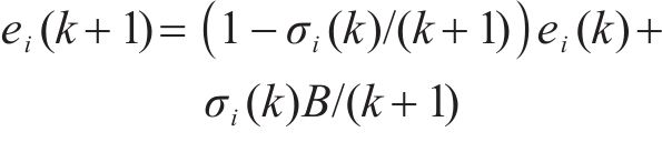
2) 采用自回归模型预测未来




式中:







其中,



2.4 执行器故障在线自适应估计
由于所设计控制器(11)中所包含的


其中,



其中,










其中,





本文所涉及的物理量如表1所示。
| 列车运行物理量 | 列车运行物理量信息 |
|---|---|
![]() | 列车![]() |
![]() | 列车![]() |
![]() | 列车![]() |
![]() | 列车![]() |
![]() | 列车![]() |
![]() | 列车![]() |
3 算法收敛性分析
1) 闭环系统是BIBO稳定的,即输出序列

2) 系统的输出跟踪误差是收敛的,即

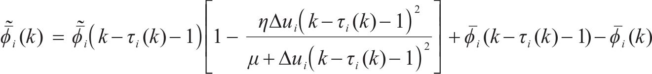
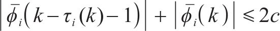
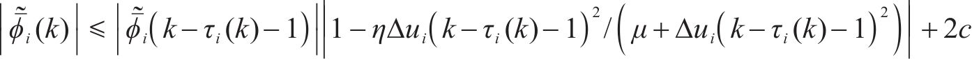
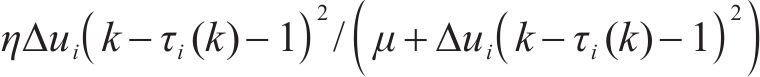
1) 系统BIBO稳定性证明。首先是


式(21)两边同时取绝对值,由绝对值不等式关系



又








由式(22)和式(23)可得











由

其中,


2) 系统输出跟踪误差收敛性的证明。结合



为了简化以下推导过程,令




由于









其中,




4 仿真分析
为验证所提MFAPFTCC方法的有效性,将所提方法与王连杰等[33-34]提出的算法进行对比仿真。系统仿真参数设置如下:运行时间为3 600 s,采样时间












执行器故障的值设置为










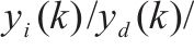
图2展示了所提MFAPFTCC方法下4列列车的速度跟踪协同运行效果。从图2中可以清晰地看出,列车的速度跟踪精度(

图3展示了所提MFAPFTCC方法和王连杰等[33-34]提出的方法下的列车1的速度跟踪效果的对比仿真。可清晰看出所提方法的速度跟踪效果明显优于文献[33]和文献[34],且列车的速度跟踪精度(

为了更清晰展示图3中的绘图细节,选取500,1 000、1 500、2 000、2 500、3 000、3 500 s对应的数据点,给出对应点的数据对比,如表2所示。从表2可以看出,所提MFAPFTCC方法的速度跟踪性能在各个时间点均优于文献[33]和文献[34]。
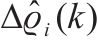
图4是实际执行器故障的差值






图5展示了在3种方法下的相邻列车的运行间距(即所考虑的相邻列车1车和2车,2车和3车,3车和4车之间的运行间距)的变化。从图5可以明显地看出在所提MFAPFTCC方法下,相邻列车的运行间距始终保持在各自的安全区间内,且与文献[33]相比,有更紧密的安全距离保持。在所对比的文献[34]下,相邻列车的运行间距会在某些时间区间超出安全运行间距,严重影响到列车的安全运行。

为更清晰地给出图4的绘图细节,取636、1 000、1 500、2 000、2 574、3 000、3 250、3 500 s时刻的数据点,并给出对应数据点的数据对比表,如表3所示。所选时刻对应于各个区段([0, 1 000],(1 000, 2 000],(2 000, 3 000],(3 000, 3 600])范围内执行器故障差值估计误差的最大值和最小值,所选数据点的执行器故障差值

| 时间/s | 类别 | |||
|---|---|---|---|---|
| 实际的执行器故障差值 | 估计的执行器故障差值 | 执行器故障差值的估计误差 | 执行器故障差值估计 误差率/% | |
| 636 | 3.07 | 2.91 | 0.16 | 5.24 |
| 1 000 | -21.76 | -21.75 | -0.01 | 0.05 |
| 1 500 | 26.01 | 26.00 | 0.01 | 0.04 |
| 2 000 | 41.08 | 40.89 | 0.19 | 0.46 |
| 2 574 | 12.26 | 12.29 | -0.03 | -0.22 |
| 3 000 | 10.51 | 10.41 | 0.10 | 0.95 |
| 3 250 | 1.11 | 0.95 | 0.16 | 14.40 |
| 3 500 | -12.32 | -12.26 | -0.06 | 0.45 |
为更清晰展示图5中的细节,选取250、500、1 000、1 500、2 000、2 500、3 000、3 500 s时刻对应的数据点,并给出对应数据点的数据对比表,如表4所示。从表4中可以看到所提MFAPFTCC方法和文献[33]在各个时刻各相邻列车均能保持安全运行间距。但相比于文献[33],所提MFAPFTCC方法下相邻列车之间运行间距的保持更贴近安全运行间距,具有更好的运行间距保持性能。而文献[34]下1车和2车的运行间距在1 000 s之后均超出了所设置的安全运行距离,意味着2车和1车的运行距离过大,会影响到后方列车的安全运行。此外,文献[34]下2车和3车的运行间距从1 000 s开始减小,到2 500 s已经低至3.08 km,意味着有追尾前车的危险,影响列车安全运行。文献[34]下3车和4车的间距从1 000 s开始超出安全运行间距,在第2 500 s已经高至11.125 km,意味着4车和3车之间的运行距离过大,会影响到后方列车的安全运行。
| 时间/s | 间距/km | |||||||||||
|---|---|---|---|---|---|---|---|---|---|---|---|---|
| 1/2车间安全运行间距 | 2/3车间安全运行间距 | 3/4车间安全运行间距 | 1/2车运行间距 | 2/3车运行间距 | 3/4车运行间距 | |||||||
| 250 | 5 | 6 | 8 | 4.997* | 4.953** | 4.729*** | 5.997* | 5.962** | 6.151*** | 7.997* | 7.953** | 7.818*** |
| 500 | 5 | 6 | 8 | 4.991* | 4.934** | 4.786*** | 5.991* | 5.943** | 5.971*** | 7.992* | 7.934** | 7.823*** |
| 1 000 | 5 | 6 | 8 | 4.986* | 4.947** | 6.052*** | 5.986* | 5.956** | 4.530*** | 7.987* | 7.947** | 8.915*** |
| 1 500 | 5 | 6 | 8 | 4.972* | 4.928** | 6.558*** | 5.972* | 5.937** | 4.544*** | 7.972* | 7.928** | 9.077*** |
| 2 000 | 5 | 6 | 8 | 4.952* | 4.910** | 7.899*** | 5.952* | 5.919** | 3.567*** | 7.953* | 7.910** | 10.034*** |
| 2 500 | 5 | 6 | 8 | 4.949* | 4.922** | 9.312*** | 5.949* | 5.931** | 3.080*** | 7.949* | 7.922** | 11.125*** |
| 3 000 | 5 | 6 | 8 | 4.939* | 4.922** | 8.020*** | 5.939* | 5.931** | 4.887*** | 7.939* | 7.922** | 10.479*** |
| 3 500 | 5 | 6 | 8 | 4.996* | 4.991** | 8.117*** | 5.996* | 6.000** | 6.662*** | 7.996* | 7.991** | 10.906*** |
5 结论
1) 针对高速列车系统时滞问题,应用Smith预估器将含有时滞的系统输出转化为非时滞的系统输出,并结合跟踪-微分器获取系统微分信息的能力,实现对时滞影响下未来某个时刻输出的预测。预测机制的引入,进一步增强了所设计控制器的实时有效性。
2) 对于高速列车运行中出现的执行器故障问题,给出了相邻列车的输出跟踪误差信息,并基于列车系统等效动态数据模型参数,设计了一种在线自适应估计与预测算法,实现对执行器故障信息的估计与预测,提高了高速列车在执行器故障下运行的鲁棒性和稳定性。
3) 仿真结果表明,在所提MFAPFTCC方法下,一组4列高速列车可实现对期望轨迹的良好跟踪和一致性保持。相较于2种对比算法,在速度跟踪方面,所提MFAPFTCC方法的跟踪精度相较于文献[33]和[34]分别提升了69.79%和84.44%。在相邻列车运行间距保持方面,所提MFAPFTCC方法下相邻列车运行间距始终能保持在各自期望的安全运行间距内,保障了列车安全平稳地运行。
余琼霞,吴帅帅,孙俊杰等.时滞执行器故障下高速列车无模型自适应预测协同控制[J].铁道科学与工程学报,2025,22(10):4354-4365.
YU Qiongxia,WU Shuaishuai,SUN Junjie,et al.Model free adaptive predictive cooperative control of high-speed trains with time delay and actuator fault[J].Journal of Railway Science and Engineering,2025,22(10):4354-4365.









