相对于其他同等运能的轨道交通方式,磁浮列车在技术先进性、安全性以及节能环保方面表现出色[1],因此得到了轨道交通行业的高度关注和认可。然而,磁浮列车在运行过程中仍会消耗大量的牵引能量,因此在确保安全的前提下,获取最优的磁浮列车节能速度曲线,有效降低牵引能耗,具有重要的理论和应用价值。近年来,全球学者对传统轨道列车的节能速度曲线进行了深入探讨,取得了丰富的研究成果[2-7]。但由于磁浮列车在实现原理和运行机理等方面与轮轨列车存在较大差异,有必要根据磁浮列车的特点对其节能速度曲线优化问题展开深入探讨。饶攀等[8]建立了低速磁浮列车的牵引计算模型,设计了节能牵引计算算法;陈祎格[9]分析了磁浮列车在不同工况下的牵引控制策略及流程;矫岩峻等[10]提出一种快速磁浮列车节时节能上坡牵引策略。上述算法均基于牵引、惰行和制动等典型运行工况以及工程经验计算磁浮列车节能速度曲线,但这些算法在理论上难以保证其最优性。赖晴鹰等[11]提出一种变间距动态规划算法用来求解中高速磁浮列车的节能速度曲线,但当线路距离较长,动态规划规模变大时,动态规划算法的运算效率会大幅降低。ZHONG等[12]针对快速磁浮列车基本阻力是分段二次函数的特点,提出一种最优切换控制模型,并采用控制参数化方法对列车速度曲线进行了计算,但该算法需要人工调整个别优化参数,影响了其工程适用性。伪谱法作为一种典型的求解最优控制问题的直接算法,具有求解精度高、收敛速度快等优点[13],在雷达跟踪监测[14]、飞行器轨迹优化[15-16]、汽车自动驾驶[17-18]、飞机爬升轨迹优化[19]和飞机速度矢量控制优化[20]等领域得到了广泛应用。然而,关于磁浮列车节能曲线优化的文献报道相对较少。本文基于伪谱法研究快速磁浮列车的节能速度曲线优化问题。首先,建立快速磁浮列车节能运行的最优控制模型;其次,根据线路坡道和限速对区间线路进行划分,进而得到磁浮列车节能的多阶段最优控制问题;然后,采用伪谱法对该多阶段最优控制问题进行求解;最后,通过对实际线路数据进行仿真计算,并根据仿真结果评估磁浮列车的节能速度曲线,与对照算法进行比较,从而确定伪谱法求解快速磁浮列车节能速度曲线的有效性与优越性。
1 磁浮列车节能分析及控制模型
中低速磁浮列车采用短定子方式,其悬浮间隙通常约为8 mm。相比常规旋转电机,悬浮及驱动效率相比较低,约20%~30%,但通过合理规划运行曲线,控制驱动牵引,可以降低能耗约10%左右。因此,在此根据列车运动模型,建立线路节能运行的最优控制模型。
1.1 快速磁浮列车节能最优控制模型
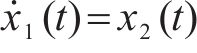
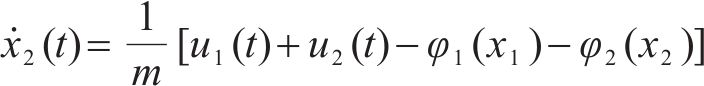
将磁浮列车视为单质点,根据牛顿运动学定律,列车的纵向动力学方程可表示为[12]


式中:









式中:g为重力加速度;




快速磁浮列车的基本阻力分别表示为[10]



式中:
假设



以

牵引力



式中:

磁浮列车在站间运行期间消耗的牵引能量为

令

求得





1.2 快速磁浮列车节能的多阶段最优控制模型
本节首先根据线路坡道和限速重新划分线路,这样使得每一段子分段上的坡道阻力以及线路限速均保持常量。在此基础上,建立快速磁浮列车节能的多阶段最优控制模型。磁浮线路划分示例如图1所示。

假设线路


式中:







式中:
在每个时间子分段







式中:




磁浮列车在子分段

式中:

牵引力和制动力约束表示为


相应地,磁浮列车运行的始终端约束改写为


另外,在各子分段分割点



而磁浮列车在整个站间行驶时消耗的牵引能量可以重新表示为

则快速磁浮列车节能的多阶段最优控制问题可描述为

2 利用伪谱法求解快速磁浮列车节能多阶段最优控制问题
因伪谱法属于优化控制的直接法,具备较高的求解精度和快速收敛的特点,尤其适用于求解多阶段最优控制问题[13]。同时,常用的伪谱法包括Gauss伪谱法、Radau伪谱法和Legendre伪谱法[13]。Gauss伪谱法与Legendre伪谱法适用于高精度积分,但不包含区间端点,而Radau伪谱法在处理端点约束时具有明显优势,所以本文采用了Radau伪谱法进行分析。Radau伪谱法求解多阶段最优控制问题的基本原理是,首先将每一阶段(子分段)的定义域


3 仿真验证
为验证伪谱法在快速磁浮列车节能速度曲线优化问题中的适用性,本节基于某磁浮线路的实际线路和列车数据进行数值仿真。算例线路总长度





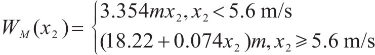
通常,快速磁浮列车在启动阶段和低速运行区,应使牵引电机产生最大恒定牵引力,以缩短加速时间;在高速运行区,应使牵引电机以恒功率运行,以充分利用电机容量。在制动过程中,快速磁浮列车牵引电机也呈现类似特性。为简化计算且不失一般性,本算例假设磁浮列车的最大牵引特性曲线


在Matlab中利用伪谱法软件包GPOPS[13]编制快速磁浮列车节能曲线优化问题的求解算法,并在计算机上进行仿真运行,算法流程如图2所示。首先,输入线路数据和列车参数,根据线路划分结果,将快速磁浮列车节能曲线优化问题转化为23阶段最优控制问题;接着,在GPOPS中设置上述多阶段最优控制问题各阶段的状态微分方程、约束条件和各阶段始终端连接关系,并设置每个阶段的配点数(本算例设置为20),多阶段最优控制问题自动被GPOPS转化为非线性规划问题;然后,由GPOPS调用自带的SNOPT[13]求解器求解转化后的非线性规划问题(求解精度设置为


由图5可知,磁浮列车在整个线路中的节能运行策略包括最大牵引、巡航、惰行和最大制动4种工况,与轮轨列车最大牵引-巡航-惰行-最大制动的节能运行策略一致。同时,磁浮列车运行速度均在线路限速值以下,且列车最大牵引力和制动力也都在特性曲线的限制值以内,满足了线路速度约束和列车最大牵引/制动力约束要求,验证了伪谱法在求解快速磁浮列车节能速度曲线问题中的有效性。
为进一步说明伪谱法在解决上述问题中的优越性,本文基于相同的线路数据和列车参数采用ZHONG等[12]采用的算法对问题进行了重新求解。计算得到的磁浮列车牵引能耗为

基于上述研究,为提升中速磁浮列车节能运行优化所得的优化曲线求解效果,在某磁浮线上基于对全线站间发车时间、公里标对应车型、前行列车与后行列车等进行优化,测得数据能够实现节能率4.20%,用伪谱法最优数值算法修正工作日列车时刻表求解模型进行仿真实验较全线最大能耗的能耗优化率为13.85%,表明伪谱法所得解对应的指标值在准时性、节能性及舒适性上均有提升,验证了伪谱法在处理磁浮列车节能优化问题中的优越性,这也为下一步研究磁浮线路的伪谱法优化提供前瞻性指导。如随着客流量的上升、列车发车数量的增加、再生制动节能研究等策略将会给全线运行节省更多能量,以此来指导实际线路的运营工作。
4 结论
1) 用Radau伪谱法求解得到快速磁浮列车节能的多阶段最优控制模型,得到磁浮列车牵引能耗为

2) Radau伪谱法计算得到的最优控制力曲线均为光滑变化,文献[12]采用的算法计算得到的最优控制力曲线确实呈分段阶梯状,从而验证Radau伪谱法更能提高列车驾乘的舒适性。
3) 在某磁浮线上,通过伪谱法最优数值算法修正工作日列车时刻表,得到全线最大能耗的能耗优化率为13.85%,验证了所用算法的优越性。
Multi-stage cooperative trajectory optimization of dual-pulse aircraft based on decentralized parallel pseudospectral algorithm
[C]//基于Hp自适应伪谱法的飞机速度矢量控制优化
[J/OL]. 北京航空航天大学学报, 1-16[李拥军,杨明智,李进翱.基于伪谱法的快速磁浮列车节能优化策略研究[J].铁道科学与工程学报,2025,22(10):4347-4353.
LI Yongjun,YANG Mingzhi,LI Jin’ao.Energy saving optimization strategy of fast maglev train based on pseudo-spectral method[J].Journal of Railway Science and Engineering,2025,22(10):4347-4353.

