为适应铁路长距离、高速度、高密度、重负荷运营要求,高速铁路普遍采用基于固定闭塞的列车运行控制技术来保证列车群安全运行[1-2]。由于高速列车制动距离长,追踪列车之间的安全距离范围应大于2 196.7 m,基于车-地通信的列车群控制技术难以进一步提升高速铁路运能[3-4]。为此,在不改变高速铁路现有基础设施的情况下,将高密度列车群分解构造为独立智能单元列车,构建基于多智能体一致性控制理论的列车群协同控车模式受到广泛关注和重视[5-7]。这种基于车-车通信的列车群中心控制架构,能够为列车群短距离、紧追踪运行提供新思路。相对其他交通工具的供电系统,高速铁路广泛采用单相轮流不平衡供电模式,大功率牵引系统产生的电磁干扰通常具有正弦非周期持续激励、频带范围广等特点,从而给列车运行控制系统的可靠性带来不可逆影响,严重时将威胁高速列车安全运行[8]。在通信抗干扰方面,李虹等[9]综述了高速列车供电系统电磁干扰形成机理与抑制方法,特别是揭示了供电系统电磁干扰传播对信号系统的影响规律,给出了敏感设备的抗扰性与电磁干扰常见频段耦合路径。为了抑制弓网离线电弧的辐射干扰,朱峰等[10]提出在CRH380BL型高速列车速度传感器上嵌套磁环抑制的方法。上述方法只是从定性角度对高速列车电磁干扰传播规律进行研究。针对这些问题,牛大鹏等[11]采用最小二乘拟合法对高铁离线电弧电磁发射点频数据进行统计分析,得出弓网离线等效电磁干扰强度与列车速度、牵引电流、弓网接触压力有关。然而这些方法大都是从电磁干扰传播开环角度进行分析,很少考虑采用先进控制方法对干扰的闭环抑制效果,且没有考虑电磁干扰在多车追踪过程传播补偿机制。针对特殊电磁干扰下高速列车群链式不稳定问题,如何设计可靠的协同控制策略,从而有效降低电磁干扰影响,缩短列车追踪距离,国内外学者进行了相关研究[12]。针对高密度运行模式下列车延误传播问题,上官伟等[13]从列车操纵层面开展列车群体合作优化研究。通过分析列车群动力学特性,林俊亭等[14]建立了多车追踪控制模型,并提出一种基于扩张观测器的触发模型预测控制方法来应对实际线路环境下系统的实时性和抗扰性。针对高速列车外界干扰随机性和非周期特性,GUO等[15]应用多智能体系统理论,建立了“领航车-跟随车”模式下的列车群组鲁棒自适应控制框架。上述方法大都面向高速列车群固定追踪距离进行研究,保守性较差,难以应对干扰在列车群快速传播问题。受多智能体系统随机矩阵理论和高速列车群多模态等价变换思想启发,LIN等[16]将高速列车制动过程、追踪距离弹性调节过程和列车群防碰撞过程建模为列车群多模态切换过程,并设计了分布式协同控制算法来实现一致性跟踪控制。然而,该方法只适用于相邻列车之间有通信拓扑的列车群,难以解决大规模路网条件下非相邻列车电磁干扰传播下协同控制问题。考虑到滑模控制在系统主动抗干扰控制方面的优势,ZHAO等[17]采用滑模自适应控制策略来保证高速列车群在复杂环境干扰下的追踪距离和状态信息在安全范围内。基于以上分析,本文分析非匹配电磁干扰快速传播对高速列车群控制系统链式稳定性的影响,并考虑通信拓扑、跟踪误差和状态变量微分等因素的影响,研究列车群速度跟踪控制问题及追踪间隔弹性一致性问题,提出一种基于非匹配干扰补偿的高速列车群协同追踪控制策略,并结合现场数据进行仿真验证。
1 高速列车群协同追踪控制原理分析
如图1所示,随着高速铁路无线通信网络(GSM-R)和地面无线闭塞中心(RBC)技术的推广应用,高速列车群在列车自动监控系统(ATS)防护下,采用链式通信来实现协同追踪控制[16]。由图论可知,在大规模复杂路网条件下,具有动力单元决策功能的高速列车,可抽象为一个智能体节点。

1.1 基于加权有向图的高速列车群通信拓扑分析
对于具有n个跟随车和m个虚拟领航车组成的列车群,可用加权向图
















基于上述分析,由杨晓峰等[18]研究可知,为了研究相邻列车及非相邻列车之间的双向通信强度对系统稳定性的影响,



式中:

1.2 融合跟踪误差和状态变量微分的控制模型设计
定义1[9-10]:高速列车群非匹配干扰:高铁供电系统电磁干扰传播对列车群运行控制系统速度传感器性能的影响。
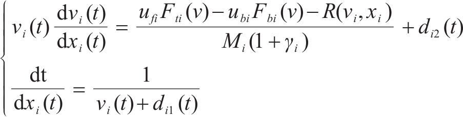
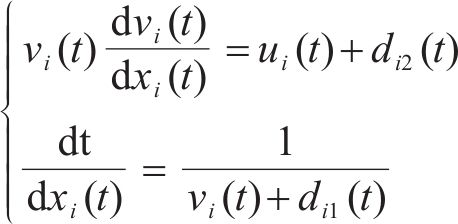
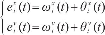
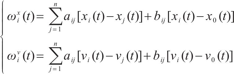
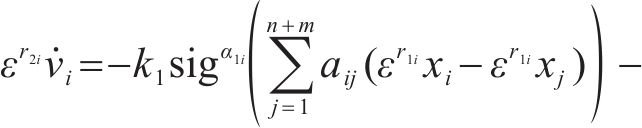
基于上述建立的列车群通信拓扑,考虑电磁干扰传播对高速列车群动力学分析的影响,建立如下的列车群动力学模型[19]:

式中:

















由于高速列车运行过程中的牵引力/制动力、阻力等参数可以从车载控制系统获取,则单个列车控制输入量


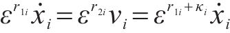
根据加权有向图构建的列车群通信拓扑和王洋等[20]研究可知,为减轻电磁干扰传播对系统链式稳定性的影响,本文在传统多智能体系统状态跟踪误差形式上增加微分算子,则覆盖领航者所有工况下的跟随车位置跟踪误差


式中:





式中:


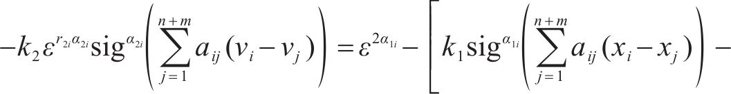
根据跟踪误差(4),设计列车群控制模型如下:

式中:控制增益





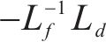
2 基于非匹配干扰补偿的高速列车群协同追踪控制设计
由式(2)和式(7)可知,高速列车群协同追踪控制面临着一系列难题,如非匹配电磁干扰传播所带来的控制回路间强烈耦合现象(图2)。由于经典滑模控制方法只对匹配干扰具有鲁棒性,本文提出一种基于电磁干扰传播前馈补偿的分布式滑模控制算法。

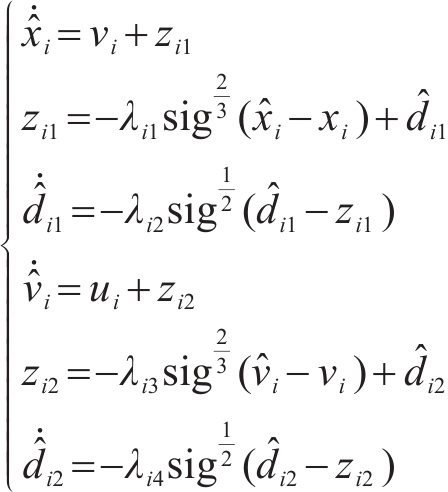
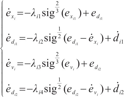
2.1 高速列车群非匹配电磁干扰观测器设计
由ZHAO等[17]和王洋[20]等研究可知,基于干扰观测器补偿的滑模控制方法对非匹配干扰的抑制能力取决于干扰估计精度。本文针对式(2)和式(7)所面临的控制问题,设计如下干扰观测器:

式中:


联合式(3)和式(8),通过定义




2.2 基于前馈补偿的分布式滑模控制算法
由于高速铁路单相轮流供电模式下网压和网流波动,且高速列车运行控制系统的参数存在不确定性问题,则作用在列车群控制环路的总干扰上界具有不确定、时变特性。针对该问题,本文联合式(4)、式(8)和式(9)设计一个具有前馈补偿项的分布式滑模控制算法:

式中:








当

2.3 列车群控制系统稳定性及追踪距离弹性一致性分析




对于高速列车群(3),且考虑分布式干扰观测器估计误差(9)在有限时间内收敛,即存在时间








由HU等[23]研究可知,当


2) 高速列车群追踪距离弹性一致性分析
① 针对领航车匀速工况
由引理1和高速列车群加权有向图





为了分析高速列车群追踪距离弹性一致性,首先证明


对式(15)求导:



从式(16)可以看出,当







式中:



在式(17)满足一致性跟踪控制的基础上,接下来对具有前馈补偿的分布式滑模控制算法的弹性一致性进行分析。首先对第






为便于分析,将式(18)转化成矩阵形式:

式中:


构造Lyapunov函数如下:

对其求1阶导:




式中:





由干扰观测器估计误差(9)可知,在






因此,当

式(22)表明列车群状态从初始时刻开始就能收敛到在非线性滑模面上,即实现了追踪距离弹性一致性控制。
② 针对领航车加速和制动工况
由式(13)可知,高速列车群(3)具有全局渐近收敛稳定性质,则可以保证式(6)中

因此,得证。
3 实验验证与仿真分析
为了验证本文所提方法有效性,设置CRH380BL型高速列车编组成“1列虚拟领航车和4列跟随车”的群模式,并以G805次列车运行时间在“北京西至郑州东区间段”(区间里程664.69 km)的追踪过程为研究对象。基于高速列车CTCS-3级列车控制系统、GSM-R无线通信网络和地面无线闭塞中心RBC等车-地双向无线通信系统,本文采取图3所示的加权有向通信拓扑来描述领航车-跟随车追踪规律。从图3中可以看出,节点0表示单向发送信息的虚拟领航车,相邻节点1~4表示具有双向通信功能的跟随车,非相邻节点1与节点3/4通过有向生成树进行通信。

通过采集大量现场数据进行了对比性仿真试验,本文以0.5 s采样周期对高速列车运行控制数据进行采样,共采集了15 000个有效数据进行仿真,图4给出了虚拟领航车真实的V-S曲线。

3.1 列车群电磁干扰模拟及通信拓扑构建
由宋宗莹等[6]研究可知,列车群通信拓扑结构对电磁干扰传播下列车稳定性运行有较大影响。考虑到电磁干扰具有正弦非周期持续激励特性,4个跟随车非匹配/匹配干扰采用如下方式进行模拟:














3.2 高速列车群协同追踪控制仿真参数设置
面向图4所示的虚拟领航车加速、匀速和减速等工况下的速度分布曲线,基于前馈补偿的分布式积分滑模控制算法参数设置如表1。
| 参数 | 取值 |
|---|---|
| 跟踪误差(6) | ![]() ![]() |
| 控制器(7) | ![]() |
| 干扰观测器估计误差(9) | ![]() ![]() ![]() ![]() ![]() |
3.3 高速列车群干扰观测器性能分析
基于表1所示的干扰观测器估计误差参数(信噪比为46 dB),4个跟随车的非匹配和匹配电磁干扰估计值及误差分别如图5和图6所示。从图中可以看出,干扰观测器估计误差可以快速收敛到0,能准确描述电磁干扰在列车群内传播规律。


为进一步验证本文所设计干扰观测器的鲁棒性和适应能力,图7给出了不同噪声强度下干扰观测器的平均相对误差及均方根误差。从图7中可以看出,以本文模拟的干扰强度为基准,即NP=1下,干扰观测器的平均相对误差为2.56%,均方根误差为0.009 7。而当NP>20时,平均相对误差(MRE)与均方根误差(RMSE)均显著增大,超出回归评价标准。

3.4 高速列车群速度跟踪控制对比分析
基于表1所设计的控制器参数,ZHAO等[17]提出的方法和本文方法得到的列车群速度跟踪误差曲线分别如图8和图9所示。从图8中可以看出,ZHAO等[17]提出的方法未考虑跟踪误差和状态变量微分融合的控制模型,在领航车匀速工况下,跟随车的速度跟踪误差能收敛到[-2 km/h, 2 km/h]内,具有较好的跟踪精度;但在领航车加速与减速工况下,由于列车速度变化较快,跟踪误差较大,难以满足列车运行控制系统对安全运行的要求。图9为本文融合跟踪误差和状态变量微分所设计的控制模型,加速和减速工况下的跟踪误差也能收敛到[-2 km/h,2 km/h],提高了系统对不同工况的适应能力。


基于表1中所设计的列车群模型跟踪误差参数、干扰观测器估计误差参数和控制器参数,ZHAO等[17]提出的方法和本文方法得到的滑模面分别如图10和图11所示。由图10可见,ZHAO等[17]提出的方法得到的滑模面曲线毛刺过多,在减速工况下出现跳变现象,跟随车难以快速收敛到滑模面。另一方面,基于本文方法得到的滑模面曲线较为光滑,跟随车始终位于滑模面上,提高了系统全工况下的跟踪性能。


为进一步验证本文算法能够在有限时间内实现一致性控制,图12给出了高速列车群速度和位置在固定运行时分下的三维仿真图。从图中可以看出,跟随车能以一定的巡航速度沿同一方向运动,速度、位置信息均在固定追踪距离模式下与领航车的运行轨迹保持同步。

3.5 高速列车群追踪距离弹性一致性对比分析
面向大规模路网条件下非相邻列车电磁干扰传播下协同控制问题,传统方法和本文方法得到的列车群追踪距离分别如图13和图14所示。由上官伟等[13]研究可知,各列车初始间距可设为1 950 m。从图13可以看出,基于HU等[23]采用的传统通信拓扑设计的控制算法,难以在加速和减速工况下对列车群非匹配干扰进行有效补偿,导致追踪距离随系统速度跟踪误差波动而产生较大变化,其弹性变化程度超出了列车安全制动距离:第2个跟随车和第1个跟随车之间的追踪距离1在加速和减速阶段的最大跟踪误差达到正负10 m;第3个跟随车和第2个跟随车之间的追踪距离2在加速和减速阶段的最大跟踪误差达到正负2 m;第4个跟随车和第3个跟随车之间的追踪距离3加速和减速阶段的最大跟踪误差达到正负4 m。


另一方面,从图14中可以看出,基于本文定理1严格稳定性分析方法得到的列车群追踪距离始终在安全范围内,实现有限时间内的追踪距离弹性一致性控制:第2个跟随车和第1个跟随车之间的追踪距离1在加速和减速阶段的最大跟踪误差在正负6 m以内,在巡航阶段通过调整策略能收敛至恒定间距;第3个跟随车和第2个跟随车之间的追踪距离2以及第4个跟随车和第3个跟随车之间的追追距离3在全程都能收敛至恒定间距。
4 结论
针对高速列车追踪过程易受到干扰影响导致的链式不稳定问题,本文综合考虑通信拓扑、跟踪误差和状态变量微分等因素的影响,设计了一种基于非线性干扰观测器补偿的“领航车-跟随车”协同追踪控制算法。通过对所设计的列车群观测器鲁棒性、速度跟踪精度、追踪距离弹性一致性进行大量仿真对比分析,表明所提方案下列车群协同追踪控制效率更高。该方法具有以下优点:
1) 针对繁忙高速铁路普遍采用的固定闭塞运行控制模式,建立了高速列车群主动抗干扰模型,该模型相较于其他研究中采用的模型较为简单。
2) 采用的分布式滑模控制算法对模型精度要求低,可以利用高速列车群2阶多智能体模型进行设计,易于工程实施。
张坤鹏,李梦凡,杨辉等.电磁干扰传播补偿的高速列车群协同追踪控制[J].铁道科学与工程学报,2025,22(10):4335-4346.
ZHANG Kunpeng,LI Mengfan,YANG Hui,et al.Cooperative tracking control for high speed train fleet with electromagnetic interference propagation compensation[J].Journal of Railway Science and Engineering,2025,22(10):4335-4346.




















