在高速铁路、市域铁路和地铁隧道建造时,通常采用双线隧道。然而,受特殊地质条件和地下结构的受力等影响,国内外高速铁路、市域铁路和地铁隧道中出现了中隔墙隧道,如荷兰的绿色心脏隧道[1-2],我国重庆市域铁路江跳线圣泉寺隧道和中梁山隧道[3-4],青岛崂山隧道[5],上海轨道交通16号线地下段[6]。而且受通风、控烟和疏散等方面的要求,地铁隧道通常在中隔墙上留有防火门洞[7-8]。上述特殊结构隧道中两相邻隧道间的中隔墙、屏蔽门等结构都类似双线隧道中的中隔墙结构,如图1所示的重庆市域铁路江跳线圣泉寺隧道中隔墙结构[3-4]。隧道中隔墙可以改善隧道的力学结构,有效防止隧道坍塌,进一步保障隧道质量和安全,另外,在中隔墙一侧隧道内发生火灾等事故时,另一侧隧道可用作逃生和救援通道。但中隔墙分割形成的单线隧道的车隧阻塞比增大,使隧道压力波更加剧烈,而隔墙开孔可以减缓列车通过一侧隧道内的压力波动。因此可参考地铁隧道的中隔墙防火门洞,在中隔墙设置开孔来减缓列车通过引起的隧道内的压力波动。列车通过中隔墙隧道时,列车的气动特性与常见的单洞单线和单洞双线隧道内运行时有很大差别,因此,对带有开孔中隔墙的隧道内气动效应的研究是有实际工程意义的。针对隧道结构对隧道压力波影响的研究,目前大多是针对隧道洞口形状[9-11]、横通道[12]和竖井[13]等结构。近些年来,针对隧道内带有辅助结构和特殊结构隧道的隧道压力波也进行了相关研究。FANG等[14]研究了高速铁路分叉隧道压力波,发现列车从双线隧道端驶入时车体表面的压力峰峰值比单线隧道端驶入的大。张洁等[15]研究了具有空腔结构的隧道压力波,发现空腔结构对隧道壁面压力和出口微气压波具有明显的减缓作用。陈大伟等[16]研究了隧道内气室位置、气室纵向长度和气室入口面积对列车表面压力波峰值的影响规律。宋军浩等[17]发现隧道内谐振腔结构使隧道表面压力微小增大,使洞口微气压波幅值减小。熊小慧等[18]通过数值模拟发现隧道内的轨道附加板使隧道和车体表面的压力波峰值小幅增大。XUE等[19]对比了变截面和常规等截面的长海底铁路隧道压力波,发现在缩减截面区域,变截面隧道的峰值压力明显大于等截面隧道的。LI等[20-21]研究了隧道群间距对高速磁浮列车隧道压力波的影响,发现车体表面最大压力幅值随隧道间距增大呈阶梯下降趋势。CHEN等[22]发现隧道壁面吸气装置能够有效减小隧道压力波峰值和洞口微气压波峰值,并且给出了吸气速度与压力波、微气压波峰值的拟合关系。内置隔墙隧道作为特殊结构隧道的一种,已有对其压力波的研究成果。XIONG等[3-4]对重庆市域铁路江跳线圣泉寺隧道和中梁山隧道表面压力进行了实车实验测试,发现带有中隔墙的隧道内压力分布与传统的单线隧道类似,中隔墙两侧隧道内都存在压力波动,但无车通过侧隧道内压力波动幅度远小于有车通过侧的。WENG等[7]研究了中隔墙带有门洞时的地铁隧道压力波,发现门洞横截面积和门洞数量降低隧道压力波峰值的作用有限,门洞位置对隧道压力波峰值的影响更加显著,并总结了门洞位置、数量和横截面积对隧道压力波的影响特征。荷兰国家航空航天实验室[23]系统研究了竖井、无孔中隔墙、开孔中隔墙,以及开孔隔墙和竖井同时布置时的隧道压力波,发现竖井比隔墙开孔更能减缓隧道压力波,4种隧道结构下,竖井和隔墙开孔同时布置时隧道压力波峰值最小。徐一民等[24]通过水洞模型实验,发现无孔中隔墙恶化了隧道内的空气压力环境。梅元贵等[25-26]采用一维数值模拟方法发现中隔墙开孔可有效减缓高速铁路隧道压力波,但开孔面积大于5 m2时,一维流动模型计算的误差较大[25]。杨永刚[27]对内置开孔隔墙的高速铁路隧道压力波进行研究,对比了隧道内有无隔墙、隔墙有无开孔下的压力波特征,并研究了一定区间内的开孔参数对隧道压力波和压力波峰值的影响特征。综合上述研究,发现中隔墙隧道在地铁、市域铁路和特殊地下结构以及地质条件复杂的高速铁路隧道中具有重要应用,国内外学者对带有中隔墙的隧道压力波进行了广泛研究。然而,现有研究成果尚未揭示高速铁路隧道内中隔墙开孔处的空气流动特性及隔墙开孔减缓隧道压力波的机理;此外,对于大开孔间距、大开孔面积下的隔墙开孔参数对隧道压力波的影响尚未得到充分探讨,也缺乏开孔参数对隧道压力波峰值影响规律的系统总结。因此,本文通过三维数值模拟,对带有开孔中隔墙的高速铁路隧道压力波进行研究。具体而言,本文首先展示隧道内和隔墙开孔处的流场特征,揭示内置开孔隔墙对隧道压力波的影响机理;其次,分析开孔中隔墙对隧道压力波空间分布的影响特征;最后,系统研究隔墙开孔参数对隧道压力波波形和峰值的影响规律。

1 计算模型
1.1 列车和隧道模型
列车模型采用4编组国内某型高速列车,列车外形及几何尺寸如图2所示,车体总长102.4 m,车高3.86 m,车宽3.3 m。为研究车体表面压力波的相关特性,在车体表面布置了如图2所示的压力测点。头尾车测点对称布置,各布置8个测点,中间平直车各布置4个测点。测点布置沿车体高度方向分为3行,分别位于车体底部表面、侧墙中部和车体顶部表面。对于中间车,所有测点均位于车体长度方向的中心截面处。括号内的测点编号表示相邻的测点位于隧道中心侧。

隧道采用速度300~350 km/h单洞双线隧道,隧道净空面积100 m2,线间距5.0 m,洞口为帽檐斜切式,简化了隧道内的人行通道和轨道。简化后的隧道模型如图3(a)所示,在单洞双线隧道中间位置沿列车运行方向设置带有等间距圆形开孔的中隔墙,隔墙厚0.2 m,如图3(c)所示,图中h为隔墙高度,ΔL为开孔间距。本文不讨论隧道长度对隧道压力波的影响,隧道长度取1 000 m。为研究隧道内压力波的相关特性,在隧道长度方向上,以隧道入口为起点,每隔100 m(约1个车长)在隧道横截面上布置如图3(a)和图3(b)所示测点,图中括号内编号测点位于隧道无车侧,图中给出了隧道内前500 m(从隧道入口到隧道中心截面)的测点布置,后500 m测点和前500 m对称布置。

1.2 计算区域和边界条件
计算区域如图4所示,列车、路基、隧道、隧道口端墙和开孔隔墙为无滑移固体壁面边界。隧道端口大气域的两侧、后端和顶部采用自由流边界。运动网格外围为重叠网格边界,重叠网格用于模拟列车与隧道间的相对运动。

1.3 网格划分
数值模拟采用正交六面体非结构化裁剪体网格(Trim)和棱柱层网格(Prism)。通过改变核心区网格的尺寸和边界层网格层数,划分了粗糙网格、中等网格和精细网格3套网格进行网格独立性验证,网格总数分别约为1 722万、2 426万和3 524万,中等网格的网格分布如图5所示,表1给出了具体网格参数。车体表面边界层网格y+取60,增长比取1.2,近壁面第1层网格厚度为0.606 mm。

| 网格规模 | 头尾车及尾流区网格尺寸/m | 平直车身网格尺寸/m | 隧道内网格尺寸/m | 隔墙网格尺寸/m | 边界层层数 |
|---|---|---|---|---|---|
| 粗糙网格 | 0.10 | 0.20 | 0.40~0.40 | 0.2 | 12 |
| 中等网格 | 0.10 | 0.10 | 0.20~0.40 | 0.1 | 12 |
| 精细网格 | 0.05 | 0.10 | 0.10~0.40 | 0.1 | 16 |
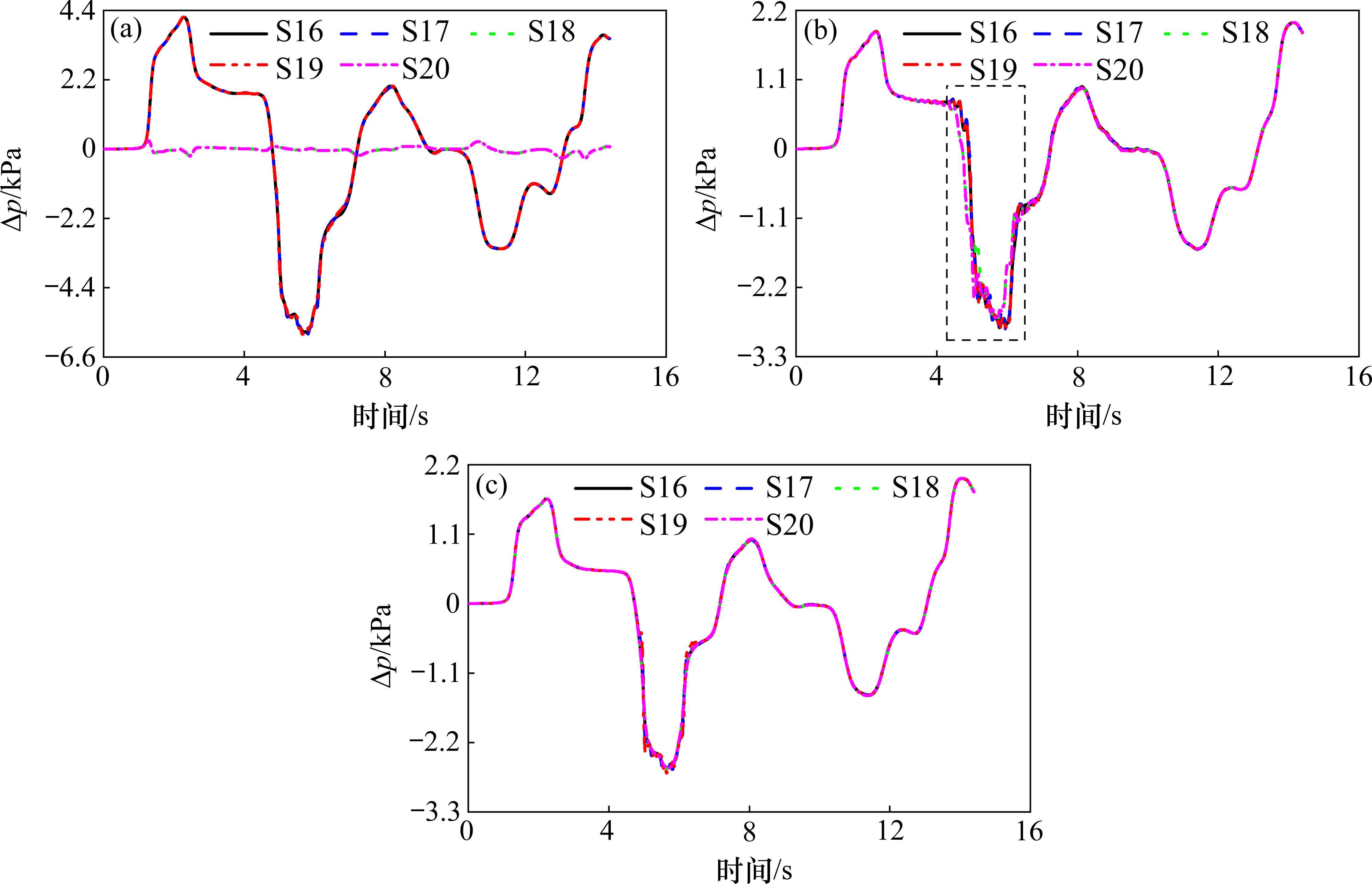
不同网格密度下车体测点T2和隧道测点S17的压力波曲线如图6所示,表2统计了压力波峰值。由图6可知:不同网格密度下的压力波曲线基本一致,但隧道表面压力波形在部分时刻产生较小差异,粗糙网格与中等、精细网格的差异明显,如图中划线框内。由表2可知:粗糙网格与精细网格的车体和隧道测点的最大压力峰峰值差值分别为4.40%和4.98%,中等和精细网格的最大压力峰峰值差值少于1.0%,综合考虑压力波曲线和压力波峰值,选用中等网格进行后续研究。

| 网格规模 | 车体测点T2 | 隧道测点S17 | ||||
|---|---|---|---|---|---|---|
| 正压峰值 | 负压峰值 | 最大压力峰峰值 | 正压峰值 | 负压峰值 | 最大压力峰峰值 | |
| 粗糙网格 | -0.05 | -3.53 | 3.48 | 2.01 | -2.76 | 4.77 |
| 中等网格 | -0.06 | -3.69 | 3.63 | 2.07 | -2.92 | 4.99 |
| 精细网格 | -0.07 | -3.71 | 3.64 | 2.06 | -2.96 | 5.02 |
1.4 数值计算方法
本研究中列车速度取300 km/h,列车在隧道内运行时,列车周围流场为非定常、湍流状态,而且受列车和隧道壁面的限制作用,需要考虑空气的压缩性。因此,计算采用三维、非定常、可压缩、黏性流的雷诺平均纳维—斯托克斯方程及
1.5 研究工况
为方便各工况之间的对比分析,定义中隔墙开孔无量纲间距和面积分别为L*和A*。


式中:Lperforated为中隔墙开孔间距;Aperforated为中隔墙开孔面积;Atunnel为隧道净空面积;Dtunnel为隧道净空面积的等效直径;隧道净空面积为100 m2;等效直径为5.64 m。
各工况下的开孔参数如表3所示,其中开孔间距0为隧道内无隔墙,开孔面积0为隔墙无开孔。
| 不同面积 | 不同间距 | ||
|---|---|---|---|
无量纲开 孔间距 | 无量纲开 孔面积 | 无量纲开 孔间距 | 无量纲开 孔面积 |
| — | 0 | 0 | — |
| 3.55 | 0.01 | 1.77 | 0.10 |
| 3.55 | 0.02 | 3.55 | 0.10 |
| 3.55 | 0.05 | 5.32 | 0.10 |
| 3.55 | 0.10 | 8.87 | 0.10 |
| 3.55 | 0.15 | 17.73 | 0.10 |
| 3.55 | 0.20 | 35.46 | 0.10 |
| 3.55 | 0.30 | 53.19 | 0.10 |
2 计算方法验证
用京沪线凤凰台隧道的实车试验数据进行数值模拟准确性验证。凤凰台隧道长1 168 m,列车为8编组CRH380A,列车速度350 km/h。图7所示为隧道内距离进口端200 m测点处实车试验与数值模拟的压力时程曲线,表4统计了其压力波峰值。由图7和表4可知:对于隧道内压力波,数值模拟结果与实车试验压力变化规律基本一致,正、负压峰值的最大误差为6.84%(以实车试验结果为基准),说明所采用的数值模拟模型的准确性。

| 方法 | 正压峰值 | 负压峰值 | 最大压力峰峰值 |
|---|---|---|---|
| 实车试验 | 2.78 | -2.16 | 4.94 |
| 数值模拟 | 2.59 | -2.03 | 4.62 |
| 误差% | 6.84 | 6.01 | 6.48 |
3 计算结果分析
3.1 开孔隔墙对隧道内压力的影响
为分析隔墙对隧道内压力的影响特征,图8所示为单车通过隧道内带有无孔中隔墙、有孔中隔墙和隧道内无中隔墙时的压力云图,图中底面为路基表面。由图8可知:列车在隧道内运行时,隧道内无隔墙时,隧道内车头前方压力呈一维特征;隧道内设置无孔隔墙时,无车通过侧隧道内接近于0;隧道内设置开孔隔墙时,车头前方一定距离后两侧隧道内的压力几乎相等。另外,隧道内有、无开孔隔墙时的车体表面压力分布规律和压力值总体一致,但在车体局部位置存在较小差别;而且距离列车一定距离后,有开孔隔墙和无隔墙隧道内的压力几乎一致。设置无孔中隔墙时车体表面和隧道内的压力值都远大于隧道内无隔墙和开孔隔墙的。因此,隔墙开孔可以有效减缓有车通过一侧隧道内的压力波动,使隔墙两侧隧道内的压力趋于平衡。

3.2 隔墙开孔处的空气流动特性
图9所示为单车通过带有开孔中隔墙隧道时隔墙开孔处的速度流线图,图中速度流线的截面位置位于隧道内距离进口端400 m。由图9(a)可知:当车头到达隧道口后,有车通过一侧隧道内的空气通过隔墙开孔向无车通过一侧流动,但气流速度很小。列车继续行驶,有车通过一侧隧道内的空气继续向无车一侧隧道内流动,而且气流速度增大,如图9(b)所示。平直车身经过隔墙开孔时,隔墙开孔处气流速度较小,如图9(c)所示。当车尾经过隔墙开孔后,由于车尾的负压较大,导致无车通过一侧隧道内空气通过开孔向有车通过一侧流动,气流速度较大,如图9(d)所示。当车尾驶离一段时间后,隔墙两侧隧道内的压力趋于平衡,隔墙开孔处气流速度较小,如图9(e)所示。因此,隔墙开孔处具有有效的换气作用,可以平衡隔墙两侧隧道内的压力,有效减缓有车通过一侧隧道内的压力波动。

3.3 车体表面压力分布特性
图10所示为单车通过隧道内带有无孔中隔墙、有孔中隔墙和隧道内无中隔墙时尾车平直车身两侧测点的压力时程曲线,由图10可知:不同工况下,列车通过隧道时车体表面的压力变化规律基本一致;列车两侧面对称测点的压力变化规律也基本一致,特别是中隔墙无开孔时车体两侧的压力波曲线几乎完全重合,隧道内压力分布呈一维特征。但中隔墙有开孔时靠近隧道壁面侧的压力振荡幅度更加剧烈,压力波幅值也更大,车体两侧测点的最大压力峰峰值相差9.12%,产生上述现象的原因是列车通过一侧隧道内的压力通过隔墙开孔释放到无车侧,且隔墙开孔对靠近隧道中心侧的压力波动减缓效果更强,最终导致靠近隧道壁面侧的压力波幅值相对较大。因此,后续研究时选择靠近隧道壁面侧的列车表面压力进行相关分析。

图11所示为单车通过隧道内带有无孔中隔墙、有孔中隔墙和隧道内无中隔墙时靠近隧道壁面侧沿车长方向列车表面各测点的压力峰值曲线,由图11可知:3种隧道工况下,从车头到车尾方向,列车表面的正压峰值呈减小趋势;负压峰值呈增大趋势;最大压力峰峰值变化幅度较小。另外,中隔墙有开孔时尾车测点(T6)的负压峰值突然增大,T2测点的负压峰值最大,本文主要研究带有开孔中隔墙的隧道压力波,因此取T2测点压力进行后续分析。

3.4 隧道内压力分布特性
图12所示为单车通过隧道内带有无孔中隔墙、有孔中隔墙和隧道内无中隔墙时距离隧道进口端400 m截面处隔墙两侧隧道内的压力时程曲线,由图12可知:中隔墙无开孔时,无车通过一侧隧道内的压力波动幅度很小,接近于0,有车通过一侧不同测点的压力波曲线几乎完全重合,如图12(a)所示。隧道内无中隔墙时,列车两侧面对称测点的压力变化规律基本一致,如图12(c)所示。中隔墙有开孔时,列车两侧面对称测点的压力变化规律也基本一致,但压力波形在部分时刻产生较小差异,如图12(b)中划线框内,产生这种差异的主要原因是该时间间隔内列车驶过隧道内400 m位置,而且400 m位置处隔墙存在开孔,在列车通过效应和隔墙开孔换气共同作用下,隧道内压力在该时间段呈现出三维特征,隔墙两侧隧道内的压力出现较小的差值。对比两侧隧道内的压力峰值,发现其正压峰值几乎完全一致,负压峰值有车侧的比无车侧的大,两者相差8.16%,因此,取有车通过侧隧道内的压力进行后续分析。

图13所示为单车通过隧道内带有无孔中隔墙、有孔中隔墙和隧道内无中隔墙时,沿隧道长度方向有车通过侧隧道壁面不同测点的压力峰值曲线。由图13可知:3种隧道工况下,各压力峰值分布曲线的变化趋势基本一致,但隧道壁面的正、负压峰值沿隧道长度方向没有明显变化规律,3种工况下隧道内400 m截面位置处测点的压力峰峰值最大,如图中划线位置所示,因此取隧道内400 m位置的压力进行后续分析。

3.5 开孔面积对压力波的影响
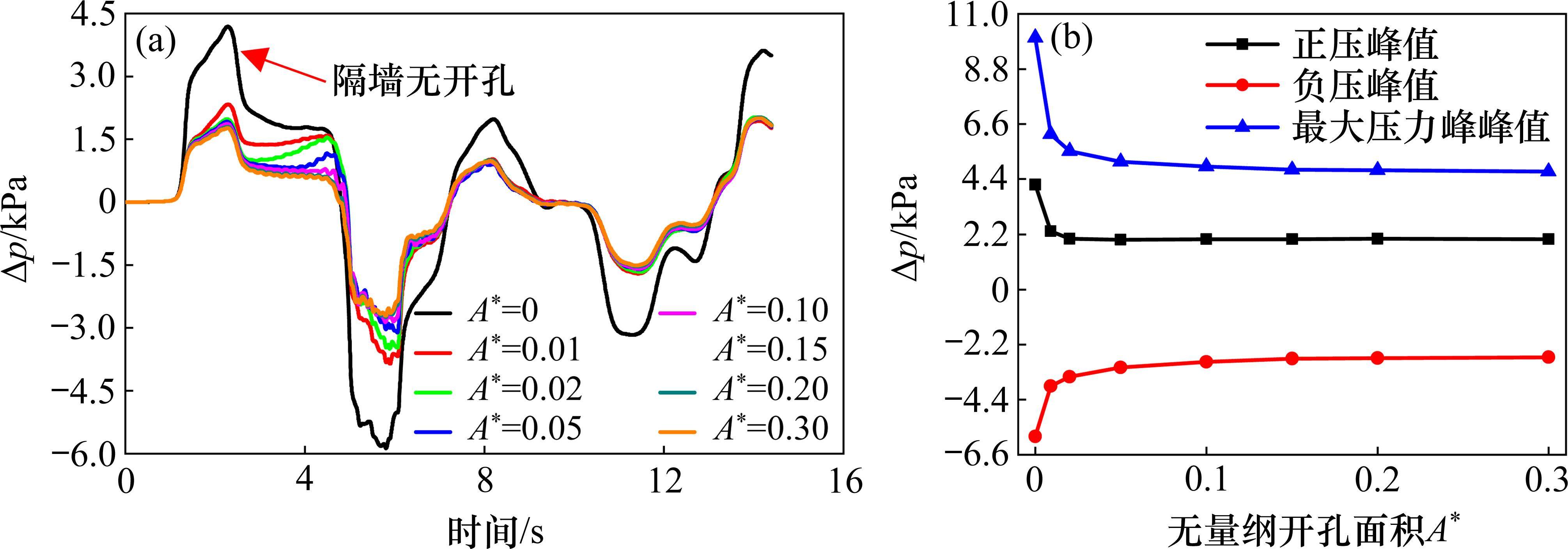
图14所示为不同开孔面积下尾车测点T2的压力时程曲线和压力波峰值曲线,不同面积下各工况中隔墙无量纲开孔间距L*都为3.55,其中A*=0为隔墙无开孔工况。由图14(a)可知:不同开孔面积下,车体表面压力的变化规律基本一致。隔墙开孔使车体表面压力出现准等间隔小幅振荡,压力振荡幅度随开孔面积的增大而增大,但无量纲开孔面积A*超过0.1时,其振荡幅度不再继续增大。这主要因为列车通过隧道过程中,列车连续驶过隔墙开孔使车体表面压力产生小幅振荡。隔墙开孔面积越大,开孔的换气作用越显著,导致列车经过开孔时的压力波动幅度随开孔面积增大而增大。另外,隔墙开孔使车体表面压力波峰值急剧减小,特别是负压峰值,因此,隔墙开孔能够有效减小列车表面的压力波动。由图14(b)可知:随开孔面积的增大,车体表面压力的负压峰值和最大压力峰峰值呈减小趋势,正压峰值接近于0。当无量纲开孔面积A*由0增至0.30时,即相较于隔墙无开孔工况,负压峰值降低44.68%。另外,当A*超过0.05时,继续增大开孔面积对减缓列车表面压力波峰值效果不太显著。例如,当A*由0.05增大至0.1时,最大压力峰峰值仅下降3.16%。此外。当A*依次从0.1增大至0.15、0.15增大至0.2和0.2增大至0.3时,最大压力峰峰值分别下降2.72%、2.03%和2.52%,在整个区间总共下降了7.27%。因此,合理选择隔墙开孔面积对于有效控制隧道压力波至关重要。

图15所示为不同开孔面积下隧道内400 m截面处隧道测点S17的压力时程曲线和压力波峰值曲线,由图15(a)可知:不同开孔面积下,隧道内压力的变化规律基本一致,大多时刻的压力波曲线几乎重合,只有部分时刻的压力波曲线的峰值存在明显差值。平直车身进入隧道时空气黏性摩擦效应引起的初始压缩波增量随开孔面积的增大而减小。隔墙无开孔的隧道内压力波峰值远大于隔墙有开孔的,因此,隔墙开孔有效减缓了有车通过一侧隧道内的压力波动。由图15(b)可知:随着开孔面积的增大,隧道内压力波的正、负压峰值以及最大压力峰峰值均呈下降趋势。当无量纲开孔面积A*由0增大至0.30时,即相较于隔墙无开孔工况,其正、负压峰值和最大压力峰峰值分别降低52.15%、53.82%和53.12%。此外,当A*超过0.05时,继续增大开孔面积对减缓隧道内压力波峰值效果不太显著。例如,当A*由0.05增大至0.1时,最大压力峰峰值仅下降3.80%,A*由0.05增大至0.3,最大压力峰峰值下降7.54%。综合考虑车体表面和隧道内压力,建议隧道中隔墙开孔的最小无量纲面积取为0.05。因此,对于带有隔墙的双线隧道,可考虑在其隔墙上设置开孔,以此来有效减缓列车通过侧隧道内的压力波动。

3.6 开孔间距对压力波的影响
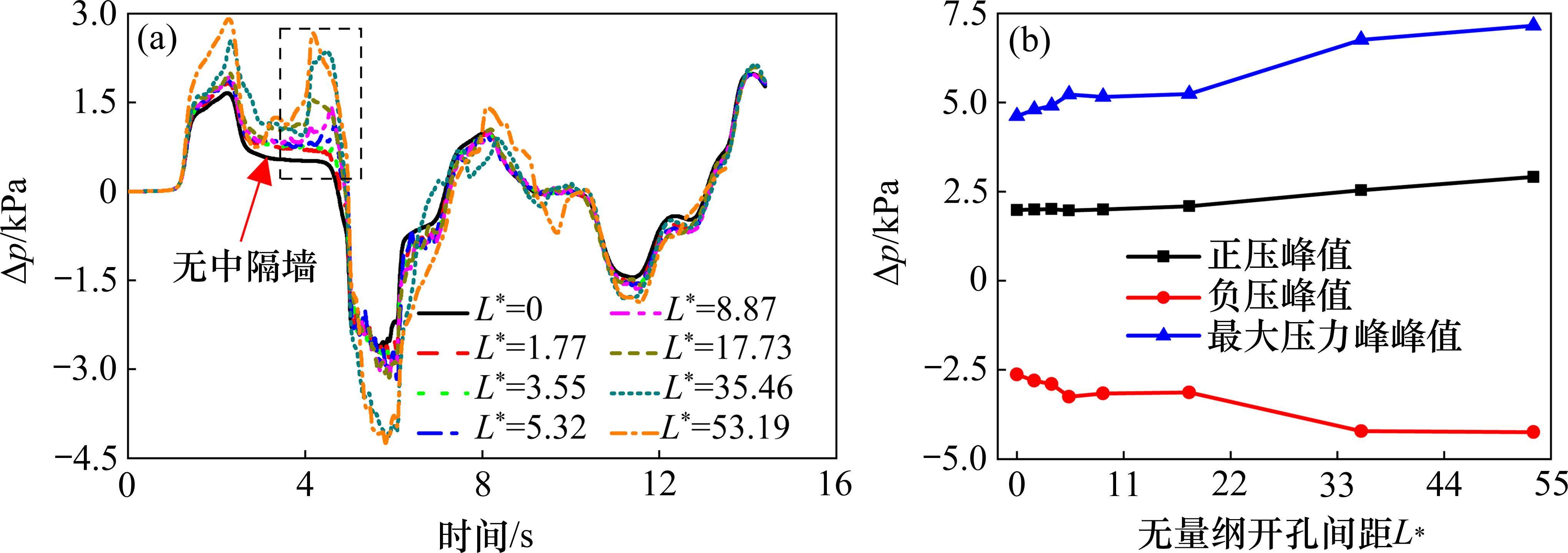
图16所示为不同开孔间距下尾车测点T2的压力时程曲线和压力波峰值曲线,不同开孔间距下各工况的中隔墙无量纲开孔面积A*都为0.10,其中L*=0为无隔墙的基准工况,鉴于无量纲开孔间距L*为17.73、35.46和53.19时的压力波曲线形状与L*为0的差异较大,在同一图中难以直观对比和有效分析,因此将不同开孔间距下的压力波曲线分开对比。由图16(a)可知:在小开孔间距下(L*≤8.87),车体表面压力的变化规律与无隔墙时的基本一致,但隔墙开孔引起的车体表面压力的准等间隔振荡幅度随开孔间距的增大而增大。这主要因为随开孔间距的增大,两相邻开孔间隔墙两侧隧道内压力累积长度增加,使两侧隧道内的压力差值也随之增大,开孔处的空气流动更剧烈,列车经过隔墙开孔时引起的车体表面压力振荡也更剧烈。此外,随开孔间距的增大,隧道内反射波经过隔墙开孔的次数减少,反射波强度衰减程度降低,反射波经过车体时引起的压力波动幅度也更剧烈。在上述2个方面的共同作用下,最终导致车体表面压力振荡幅度随开孔间距的增大而增大。

由图16(b)可知:在大开孔间距下(L*≧17.73),尽管车体表面压力波的整体波形类似于无隔墙的,但其具体波动特征却表现出明显的区别,尤其是在L*等于35.46和53.19大间距下更为突出。值得注意的是,在大开孔间距下,车体表面的压力波峰值明显高于隧道无隔墙的情况,而且车体表面压力准等间隔振荡现象不明显,部分时刻的压力振荡幅度与压力波波动幅度相当,如图16(b)中划线框内。由图16(c)可知:随着开孔间距的增大,车体表面压力波的负压峰值和最大压力峰峰值呈增大趋势,而正压峰值几乎不变,接近于0。具体而言,当无量纲开孔间距L*由0增大至1.77时,即相较于无隔墙工况,负压峰值增大13.90%。此外,当L*由0增大至17.73和35.46时,负压峰值共增加38.04%和58.52%,可见当L*为35.46时,车体表面压力峰值突增。
图17所示为不同开孔间距下隧道内距离进口端400 m截面处测点S17的压力时程曲线和压力波峰值曲线,由图17(a)可知:不同开孔间距下,隧道内压力的变化规律基本一致,但压力波形在部分时刻产生差异,如图中划线框内,该时间段车头正压区通过400 m截面,导致该点的压力增大,且压力增大幅值随开孔间距的增大而增大。L*为35.46、53.19的正、负压峰值明显大于其他间距的。隧道内无隔墙与小间距开孔下的压力波峰值相差较小,这表明小间距开孔隔墙没有明显加剧隧道内压力波峰值。由图17(b)可知:随着开孔间距的增大,隧道内压力波的正、负压峰值和最大压力峰峰值整体呈增大趋势。具体而言,当无量纲开孔间距L*由0增至1.77时,即相较于无隔墙工况,最大压力峰峰值仅增加4.10%。当L*由0增大至17.73和35.46时,最大压力峰峰值分别增大13.54%和46.34%,且L*由17.73增大至35.46时最大压力峰峰值增大28.97%,表明当L*为35.46时,隧道内压力波峰值突增。综合考虑车体表面和隧道内压力,建议隧道内隔墙的无量纲开孔间距不超过17.73。

4 结论
1) 中隔墙开孔有效减缓了带有隔墙的双线隧道内有车通过一侧的压力波动。开孔中隔墙有效平衡了隔墙两侧隧道内的压力。开孔中隔墙对隧道和列车表面压力波整体波形影响较小,但开孔中隔墙使列车表面压力产生准等间隔振荡,压力振荡幅度随开孔面积和开孔间距的增大而增大,但无量纲开孔面积超过0.1时,振荡幅度不再继续增大。
2) 随着开孔面积的增大,列车和隧道表面的压力波峰值呈减小趋势。与隔墙无开孔的情况相比,当隔墙开孔的无量纲面积为0.30时,列车和隧道表面的最大压力峰峰值分别降低了44.68%和53.12%;当无量纲开孔面积超过0.05时,进一步增大开孔面积对列车表面压力的减缓效果不再显著。
3) 随着开孔间距的增大,列车和隧道表面的压力波峰值总体呈增大趋势。与隧道内无隔墙相比,当隔墙开孔的无量纲间距为1.77时,列车和隧道表面的最大压力峰峰值分别比隧道内无隔墙的大13.90%和4.10%;当无量纲开孔间距增大至35.46时,列车表面压力波形与无隔墙的差异较大,且列车与隧道表面的压力波峰值急剧增大。
杨永刚,李睿,贾永兴等.中隔墙开孔参数对高速铁路隧道压力波影响研究[J].铁道科学与工程学报,2025,22(10):4320-4334.
YANG Yonggang,LI Rui,JIA Yongxing,et al.Study on the effect of middle partition wall perforation parameters on pressure waves in high-speed railway tunnels[J].Journal of Railway Science and Engineering,2025,22(10):4320-4334.

