近年来,盾构掘进技术由于其机械化程度高、对周边环境影响小等优点,得到了迅速的发展和广泛应用,以满足大型隧道工程的需要[1]。在施工和运营期间,盾构隧道衬砌在外界荷载变化、邻近工程施工[2-3]以及地面堆载等意外因素下,不可避免地产生管片开裂、渗漏水、整体变形以及沉降等多种病害。对于服役性能下降的盾构隧道衬砌,有必要进行结构加固,以提升承载能力和安全性。目前主要的加固方式包括内张钢圈加固法、复合腔体加固法、钢板-混凝土加固法以及UHPC(ultra-high performance concrete)加固法等。对于内张钢圈加固结构,毕湘利等[4]开展了系列原型结构试验,研究得到内张钢圈加固法可有效提升结构的承载力和刚度,加固结构的失效源于接头部位的塑性损伤,进而产生塑性铰导致结构进入几何失稳状态,最终丧失承载能力。因此,针对内张钢圈加固结构承载性能的研究更应关注接头的受力特性。甘海杰[5]开展内张钢圈加固接头压弯试验,得到了内张钢圈加固接头的破坏过程,并分析了钢板厚度和锚栓数量的影响。但试验研究手段在揭示内张钢圈加固接头受力机制和破坏模式方面存在局限性,如内部损伤过程难以精准捕捉、内力传递过程难以完全反映等。因此,有必要结合精细化数值模拟手段,对内张钢圈加固接头的受力特性进行进一步研究。数值模拟具有低成本、可重复性高等优点,特别是数值模拟与模型试验相结合的方法,基于试验验证后的数值模型可以进一步开展特征参数分析并探明结构的承载机理。针对加固盾构隧道结构的受力性能,已有部分学者开展了相关数值模拟研究。ZHAO等[6-7]提出一种梁-刚性板-弹簧模型,可以有效模拟加固隧道结构的宏观力学行为,且计算效率较高,但对于界面的考虑较为简单。刘学增等[8]建立三维非线性内张钢圈加固衬砌数值模型研究了整体结构的受力性能和黏结面的作用机制,但模型忽略了接缝的细部构造,不能全面反映接缝的受力特性。GUO等[9-11]在足尺破坏性试验的基础上结合三维精细化的数值模拟,深入探究接头内力分布规律和破坏机制。刘庭金等[12]基于既有内张钢圈加固管片衬砌整环试验建立精细化实体有限元模型,研究得到钢板可有效遏制纵缝接头的变形和螺栓应力发展,但其忽略了剪切作用和损伤演化。赵密等[13]通过三维精细化有限元数值模拟研究了内张钢圈加固纵缝接头在正弯矩循环荷载下的破坏模式和过程,具有重要借鉴价值,但对于静力荷载以及负弯矩下的接头受力机制仍需探讨。翟五洲等[14]针对内张钢圈加固环缝接头开展三维非线性有限元数值分析,得到界面应力的分布规律以及加固接头的破坏机理。目前对于内张钢圈加固纵缝接头的破坏机制仍有待深入研究。本文基于接头试验建立三维精细化有限元模型,在验证模型的正确性后,深入分析加固结构各部件的受力规律,总结内力破坏传递链和受力机理,开展参数分析以期为内张钢圈加固设计提供参考和指导。
1 模型建立
1.1 接头试验加载方案
接头试验[5]试件采用同一标准块管片的2个端部切割拼装而成,混凝土强度等级为C50,每个局部切割部分的圆心角为20°,由2根8.8级M30高强弯螺栓进行连接。接头试件的外径为6.2 m,内径为5.5 m,厚度为0.35 m,环宽1.5 m。在接头试件的内弧面采用厚度20 mm、宽度为1.2 m的Q355B钢板进行加固,钢板通过M16化学锚栓、环氧胶与接头进行连接。试验加载系统包括水平与垂直加载系统,通过对内张钢圈加固管片接头加载水平力和竖向力等效施加弯矩和轴力。正弯矩接头试验时,手孔朝下,在混凝土管片的外弧面进行加载竖向压力,同步施加竖向力和水平力直至内张钢圈加固接头结构极限破坏。负弯矩接头试验时,管片与正弯矩相反放置。在管片接头试件端部连接钢夹具支座,两侧支座的底部由滚轮支撑(仅提供竖向约束),左侧支座的侧面作用有水平荷载,右侧支座的侧面由滚轮支撑(仅提供水平约束)。
接头受力简图如图1所示,正弯矩和负弯矩下的弯矩计算分别如式(1)和式(2)所示。


其中,








正弯矩下每个荷载步下的设计弯矩增量在界面破坏前为10 kN∙m,界面破坏后为5 kN∙m;负弯矩试验下每一个荷载步下设计弯矩增量在界面破坏前为5 kN∙m,界面破坏后为2.5 kN∙m,持荷时间为5 min。实际加载过程中因设备控制精度以及试件非线性响应等原因,荷载增量存在微小调整。
1.2 数值模型组成与相互作用
基于ABAQUS建立了内张钢圈加固接头三维精细化数值计算模型,如图2所示,模型尺寸与结构细节与接头试验试件相同。采用八节点六面体实体单元(C3D8R)模拟混凝土管片、钢板、化学锚栓、纵缝螺栓以及加载梁,钢筋笼采用三维桁架单元(T3D2)模拟,环氧胶采用三维内聚力单元(C3OHD8)模拟。在模型中,管片和管片、螺栓和螺栓孔之间采用面-面接触,法向采用“硬”接触,切向采用罚函数,摩擦因数分别为0.6和0.3[15-16]。管片与支座、加载梁与钢板或混凝土管片采用相同的面-面接触属性。环氧胶与钢板、环氧胶与混凝土、化学锚栓螺母与钢板以及纵缝螺栓螺母与管片采用“Tie”约束。钢筋笼与化学锚栓的螺杆嵌入约束在混凝土管片中。数值模型中荷载取值与试验[5]一致,在两侧支座底部边上约束竖向位移,左侧支座侧面承受水平荷载,右侧支座侧面中部边约束水平位移。

1.3 材料本构关系
混凝土采用CDP(concrete damaged plasticity)塑性损伤本构模型,参数取值参考相关规范[17]确定。密度为2 420 kg/m3,弹性模量为34.5 GPa,泊松比为0.2,膨胀角为38°,偏心率为0.1,双轴抗压强度与单轴抗压强度比为1.16,硬化系数为0.667,黏性系数为0.000 1。在接头试验中,主要钢材构件为HRB400钢筋、8.8级高强度螺栓、合金钢化学锚栓以及Q355B钢板。数值模拟中钢材采用考虑性能强化的双折线理想弹塑性本构模型,弹性模量取为206 MPa,泊松比取为0.3,硬化弹模取弹性模量的1/100。其中,钢筋和接缝螺栓的强度取值参照相关国家规范[18-19],屈服强度分别为400 MPa和640 MPa,极限强度分别为600 MPa和800 MPa。化学锚栓和钢板的强度取值来源于接头试验[5]前的材性测试,屈服强度分别为490 MPa和355 MPa,极限强度分别为750 MPa和455 MPa。
采用双线性本构模型来模拟钢板与混凝土之间的黏结行为。采用二次名义应力准则来控制内聚力单元的损伤演化。内聚力单元的双线性本构模型的参数中,内聚力单元的法向刚度









2 模型验证
将数值计算结果与文献[5]中的接头试验结果进行了比较,选择弯矩-竖直挠度曲线描述结构的性能变化,如图4所示。正弯矩下接头试验中,由于误触数据采集传感器使得荷载显示出现虚假波动,实际千斤顶油压荷载并未卸载。为了突出试验的真实性,仍采用了波动的荷载数据,造成了试验和模拟曲线的差异。此外,由于钢板的装配差异使得胶层厚度变化、螺栓的安装误差以及设备的不对称误差等,使得正负弯矩下试验和模拟结果存在区别。但数值模拟和试验结果的曲线趋势、走向基本一致,并且极限承载力接近,说明模型所采用的材料参数和接触属性具有合理性。

3 破坏机制分析
3.1 受力过程
3.1.1 接缝受力
如图5所示,正弯矩下在弯矩较小时,核心区混凝土紧密贴合,接缝呈现全截面受压的状态,接触应力自内至外弧面增大。此阶段榫承受压应力,为接头承担弯矩贡献一定作用。榫的构造使局部“自锁”,在榫面上产生剪应力,并在接触面无榫部位产生方向相反的剪应力平衡,提升了接头的抗滑性能和整体稳定。由于接缝剪力合力为0以及榫面积较大,在压剪荷载作用下榫受力处于安全状态。随着弯矩增大,环氧胶界面发生破坏,接缝的受压区高度快速降低,榫及核心区混凝土逐步退出受力,外缘混凝土搭接。由于外缘混凝土面积小,接触应力迅速超过混凝土抗压强度,混凝土单元发生受压损伤失去承载力。负弯矩下管片接头由于钢板加固于内弧面,使得接头的转动中心较高,接头在弯矩较小时管片核心区混凝土和榫就退出受力,仅有接缝内弧面进行接触,如图6所示。由于接缝受压区接触面积小,使得负弯矩下接头的刚度显著小于正弯矩下接头的刚度,接头的转动变形更加明显。极限破坏时,在试验中可观察到内弧面混凝土压碎,数值模拟中内弧面混凝土单元最大损伤超过0.8。


3.1.2 螺栓受力
对比分析试验[5]与数值计算结果中的螺栓应力,如图7所示。在试验中,接缝螺栓在界面脱开之前受力较小,几乎不承担荷载。在界面产生剥离后,接头整体刚度明显下降,螺栓的应力快速增加直至屈服。在数值模拟中,螺栓的受力趋势与试验一致。正弯矩数值模拟中,在弯矩较小时应力主要集于中螺母,螺杆的变形较小。弯矩增加,螺栓与螺栓孔发生接触,使应力阶梯提高,螺杆跨中应力集中并屈服,逐步丧失承载能力。在负弯矩模拟中,螺栓的应力主要集中在螺杆内弧面的两侧以及螺母,极限破坏状态下由于螺母屈服使得螺杆内力重分布,螺杆中部的应力和变形急剧增加。由于试验的安装误差使得螺栓与螺栓孔初始接触,造成了模拟和试验在前期的差异,但在螺栓屈服点模拟和试验较为接近,仍可证明模拟的正确性。

3.1.3 界面受力
图8展示了正、负弯矩下界面的损伤情况,二次名义应力达1时代表界面进入损伤,刚度下降率达1时代表界面完全损伤。正弯矩与负弯矩下环氧胶界面均首先在环向上靠近接缝、纵向上靠近界面端部的部位产生损伤。正弯矩下靠近接缝的界面承受拉剪应力,远离接缝的界面承受压剪应力,说明接缝附近界面的初始损伤由拉剪作用引起。随着弯矩增大,损伤区域在环向上由接缝向支座进行延伸,管片内弧面由于压弯作用,混凝土单元受拉损伤,使得压剪区界面承受了附加剪应力,界面局部压剪破坏。负弯矩下界面主要承担压剪应力,全界面在法向上承受压应力,说明负弯矩下界面的破坏由压剪作用决定,随弯矩增大,界面损伤由接缝扩展至整个界面。

3.1.4 钢板及锚栓受力
如图9所示,正弯矩下在弯矩较小时,化学锚栓几乎不承受荷载。界面脱开后,化学锚栓的应力快速增加至屈服。化学锚栓的受力与界面的损伤密切相关,界面发生拉剪破坏时,靠近接缝的化学锚栓应力集中,界面发生压剪破坏后,靠近支座的化学锚栓受力增加,说明化学锚栓及时承担了环氧胶界面转移的荷载。在接头极限破坏时,化学锚栓发生了严重的剪切变形。在正弯矩试验[5]中监测了钢板环向不同位置的应力变化情况,如图10所示。数值模拟结果与试验结果较为匹配。环氧胶界面未产生损伤前,钢板与管片黏结良好,两者协同受力。钢板的应力主要集中在跨中区域,越靠近钢板环向端部受力越小。在环氧胶界面产生损伤后,钢板的内力发生重分布,应力集中在与化学锚栓连接的钢板与跨中局部。此阶段钢板承受的整体荷载不再增长,承载逐步下降至保持一定的残余荷载。负弯矩下化学锚栓和钢板的受力过程与正弯矩基本一致。在环氧胶界面损伤后,化学锚栓受力增加,而钢板承受的荷载逐步减小。


3.2 破坏机制总结
内张钢圈加固盾构衬砌接头结构受力可分为3阶段:协调变形、内力重分布破坏以及极限破坏。
1) 协调变形阶段。在弯矩较小时,钢板与混凝土管片表现出良好的协同受力特性。在这一阶段环氧胶承担了主要的界面力,使得全部的钢板参与受力。由图11可以看出,此阶段内,接头受压区高度不变,钢板贡献了主要的弯矩荷载。在正弯矩下,接头全截面受压,呈现较高的抗弯刚度,拉力由钢板承担,螺栓不受力。在负弯矩下,初始受压区高度较低使得刚度较小,钢板分担了内缘混凝土的应力,螺栓受力较小。

2) 内力重分布破坏阶段。随弯矩增大,界面应力局部达到极限强度,开始产生损伤,接头的内力重新分布。界面荷载由环氧胶向化学锚栓转移,环氧胶和化学锚栓共同承担界面力。由于环氧胶逐渐退出工作,参与受力的钢板的面积减少,加固接头的抗弯刚度减小。钢板对于弯矩的贡献下降,使得管片接头承担的弯矩上升。由图11可以看出,在环氧胶开始损伤进入内力重分布阶段后,正弯矩下和负弯矩下的螺栓均开始受力,且接头的受压区高度开始降低,这代表荷载由钢板向管片接头转移。当环氧胶界面全部达到极限强度时,环氧胶无法承担更多界面力并开始快速损伤退化。界面力的减少使得钢板的受力也迅速下降,接头的抗弯刚度骤降,加固接头进入极限破坏阶段。
3) 极限破坏阶段。环氧胶界面完全退出工作,界面力由化学锚栓承担,仅有化学锚栓连接的局部钢板参与受力。弯矩荷载由钢板快速向管片接头转移,管片接头承担了主要的弯矩。但由于此时的外荷载已远超未加固接头的极限承载力,致使结构脆性失效。在极限破坏状态钢板仍会保持一定的残余内力,这是由于化学锚栓没有全部破坏导致的。钢板的残余应力大小与化学锚栓与钢板的参数设计有密切联系。在正弯矩下,当钢板的残余应力较高时,接头混凝土的破坏会先于螺栓的屈服,使得接头破坏更加脆性且材料利用率较低。而在负弯矩下,由于钢板分担了内缘混凝土的应力,接头的延性和材料利用率相对较高。
4 结构受力性能参数分析
以隧道加固现状为基础,基于上述分析得到的结构破坏机制和加固构件受力特性,针对环氧胶界面拉伸强度、环氧胶界面剪切强度、化学锚栓数量、钢板厚度及宽度分别开展正、负弯矩下的参数分析,如表1所示。由于负弯矩下界面以受压为主,故忽略了界面拉伸强度的分析。选取极限承载力、结构变形延性以及弹性阶段刚度等接头宏观力学指标进行重点分析。极限承载力为结构失效时的弯矩,结构变形延性为极限破坏时的挠度与弹性极限时的挠度的比值,弹性阶段刚度为弹性极限弯矩与挠度的比值。
| 计算参数 | 参数取值 | 工况 |
|---|---|---|
| 环氧胶界面拉伸强度/MPa | 1.5、2.5、3.5、4.5、5.5 | 正弯矩 |
| 环氧胶界面剪切强度/MPa | 1、2、3、4 | 正弯矩、负弯矩 |
| 化学锚栓数量/根 | 0、24、32、40 | 正弯矩、负弯矩 |
| 钢板厚度/mm | 10、20、30、40 | 正弯矩、负弯矩 |
| 钢板宽度/mm | 600、900、1 200、 1 500 | 正弯矩、负弯矩 |
4.1 环氧胶界面拉伸强度
如图12所示,正弯矩下界面拉伸强度小于2.5 MPa时,由于拉伸强度过低,使得拉伸应力的贡献在二次名义应力中较大,界面的破坏时机较早。提升环氧胶拉伸强度可提高极限承载力,对刚度和延性基本无影响。环氧胶界面拉伸强度大于2.5 MPa时,剪切应力为界面破坏的主导因素,进一步提升界面拉伸强度对结构的各项宏观力学性能指标影响较小。

4.2 环氧胶界面剪切强度
如图13所示,正弯矩下环氧胶界面剪切强度小于1 MPa时,环氧胶界面以拉剪破坏为主。由于界面破坏时机较早,接头承载力较低,延性较差。环氧胶剪切强度在1~3 MPa时,界面环氧胶先发生拉剪破坏,随后由于混凝土开裂,界面局部产生压剪破坏。环氧胶剪切强度大于3 MPa时,接缝附近界面拉剪破坏和远离接缝一定区域的压剪破坏趋于同时发生。负弯矩下环氧胶界面剪切强度变化不会影响界面的破坏模式,均始于接缝附近界面的压剪破坏。提升环氧胶剪切强度可以提升接头的承载力和变形延性,对于弹性阶段刚度无影响。

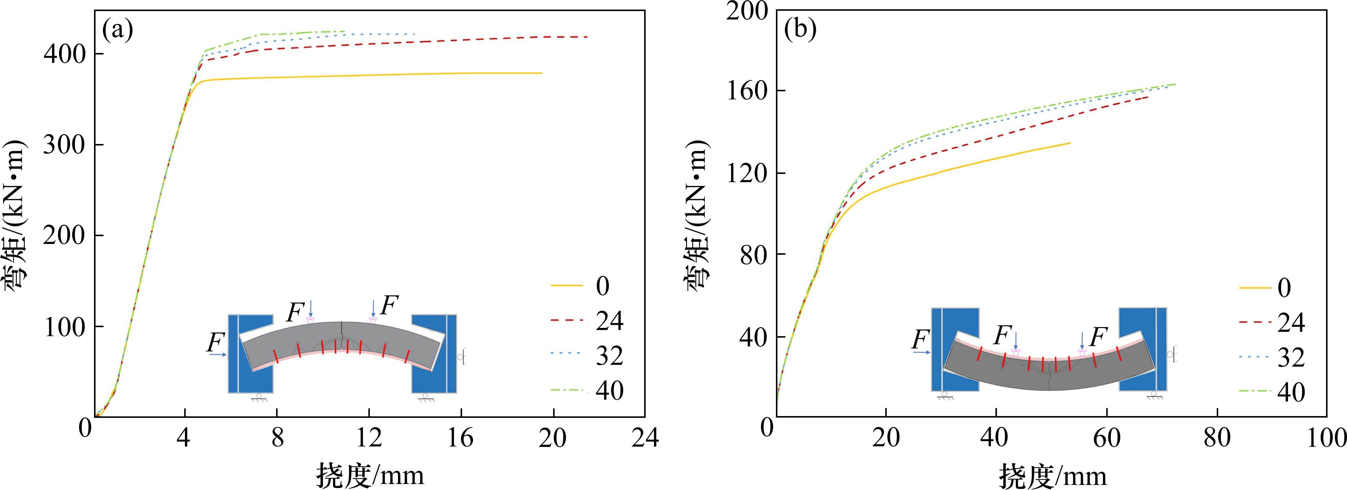
4.3 化学锚栓数量
如图14所示,正弯矩下化学锚栓数量在0~24时,螺栓屈服先于混凝土破坏,提高化学锚栓数量可增加承载力和延性;化学锚栓数量超过24后,混凝土破坏而螺栓不屈服,继续增加锚栓数量,接头延性降低,承载力变化小。负弯矩下螺栓屈服先于混凝土破坏,化学锚栓数量在0~32时,锚栓数量影响了承载力和延性;锚栓数量大于32后只影响延性。

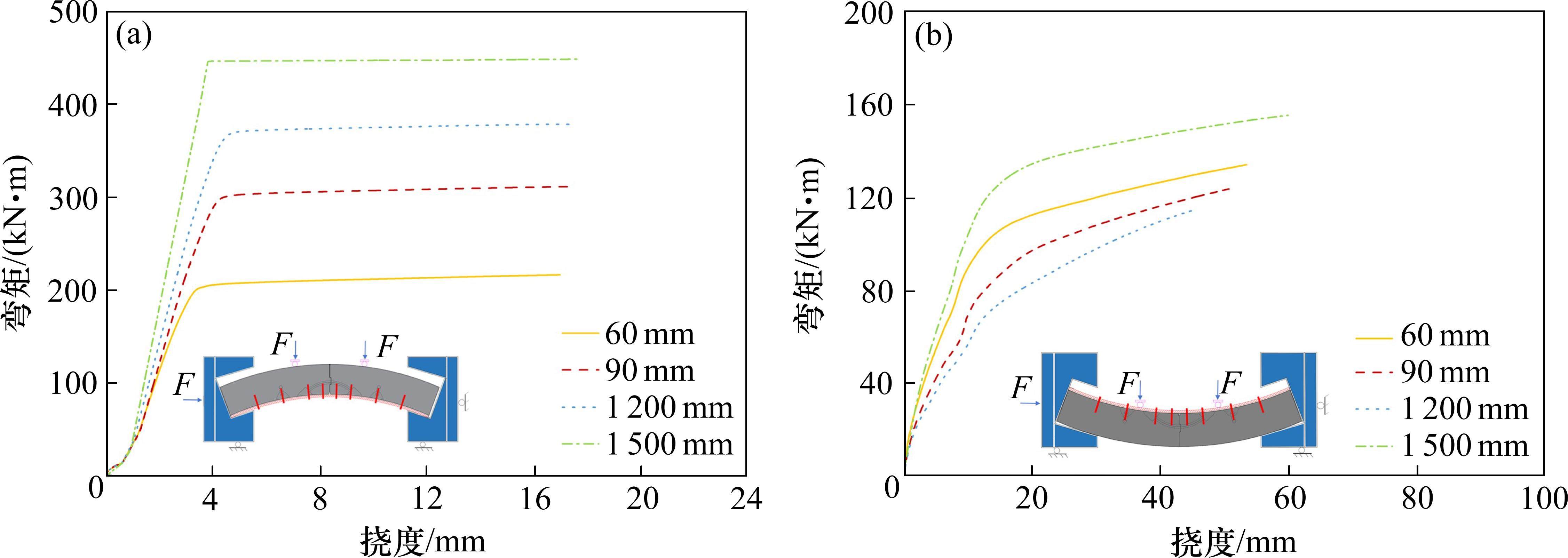
4.4 钢板厚度
如图15所示,正弯矩下钢板厚度小于20 mm时,钢板和螺栓先屈服,混凝土后破坏,各项力学指标均较低;钢板厚度在20~30 mm时,钢板不屈服,螺栓屈服先于混凝土破坏,提升钢板厚度可以提升各项性能指标;钢板厚度大于30 mm时,混凝土过早破坏,继续增大厚度可提升刚度,略微提升承载力,延性降低。负弯矩下提升钢板厚度不改变破坏顺序,可提升加固接头的各项宏观力学指标。尽管提升钢板厚度会提升界面整体的应力水平,但由于刚度增加,使得界面不协调变形减小,接缝附近界面的应力集中减轻,提升了承载力和延性。

4.5 钢板宽度
如图16所示,正、负弯矩下提升钢板宽度会提升各项力学性能指标。提升钢板宽度不仅可减轻接缝附近界面的应力集中,也降低了界面整体的应力水平,从而提升承载力和延性。

4.6 加固结构设计建议
加固结构的合理参数设计必须首先满足结构刚度和承载力的设计要求,在此基础上可进一步结合结构延性、工程经济性以及隧道限界等多种因素综合判别。在充分调研且与业界合作的基础上,结合本研究的参数分析结果,针对外径6 m级的盾构隧道,建议的加固体参数如下。
1) 环氧胶:钢对干态混凝土正拉黏结强度大于1.5 MPa,钢对干态混凝土黏结抗剪强度大于2 MPa。
2) 正弯矩下接头附近20°范围内的化学锚栓数量不超过12,负弯矩下接头附近20°范围内的化学锚栓数量不超过16,布置应尽可能靠近接缝。
3) 钢板的厚度在20~40 mm为宜,钢板的宽度宜大于1 200 mm(针对环宽为1 500 mm的衬砌)。
5 结论
1) 内张钢圈加固盾构衬砌纵缝接头在正、负弯矩荷载下的破坏可分为协调变形、内力重分布破坏和极限破坏3个阶段。协调变形阶段钢板贡献了主要的弯矩,环氧胶界面承担主要的界面荷载。界面损伤后内力开始重分布,界面内力由环氧胶与化学锚栓共同承担,钢板的内力增量减小,螺栓开始受力,接头受压区高度降低。在环氧胶全界面达到极限强度时进入极限破坏阶段,环氧胶损伤演化使其快速退出工作,化学锚栓承担了所有的界面力。弯矩由钢板迅速转移至接头并超过未加固接头的承载力,受压区高度进一步降低使得内缘或外缘混凝土受压破坏。
2) 在正弯矩荷载作用下,钢板相当于增强了纵缝螺栓,延后了纵缝螺栓的受力时机;在负弯荷载作用下,钢板分担了内缘混凝土的压力使其不会过早受压破坏,提高了纵缝螺栓的材料利用率。钢板的厚度宜在20~40 mm,在工程经济和施工操作允许的情况下,宽度宜接近衬砌环宽。
3) 正弯矩荷载下,纵缝环氧胶界面承受拉应力与剪应力复合作用,负弯矩荷载下承受压应力与剪应力复合作用,受力薄弱点在环向上靠近接缝,纵向上由于截面的不连续性,靠近钢板端部的位置易发生破坏。界面抗拉强度宜大于1.5 MPa,抗剪强度宜大于2 MPa。
4) 化学锚栓在环氧胶界面损伤前作用较小,在环氧胶界面脱开后逐步承担了全部的界面荷载,靠近接缝的化学锚栓易先发生破坏。承受正弯矩的接头,附近20°范围内的化学锚栓数量不超过12,承受负弯矩的接头,附近20°范围内的化学锚栓数量不宜超过16。
洪剑宇,甘海杰,柳献.内张钢圈加固盾构隧道管片接头破坏机制的精细模拟研究[J].铁道科学与工程学报,2025,22(10):4610-4622.
HONG Jianyu,GAN Haijie,LIU Xian.Refined numerical simulation study on the failure mechanisms of segmental joints in shield tunnels reinforced by epoxy-bonded steel plates[J].Journal of Railway Science and Engineering,2025,22(10):4610-4622.

