近年来,以地铁为主导的地下轨道交通系统迅速发展,盾构法因其具有安全性、高效性及对外界环境的适应性,成为城市隧道建设的首选。然而,随着城市地下空间的快速开发,盾构隧道的服役环境日益复杂,常使隧道变形超出控制标准[1-3]。长期监测结果表明,隧道病害与结构变形密切相关,横向变形一旦超出限值,会引发接缝渗漏、管片压损和螺栓失效等问题,在极端情况下,还可能导致隧道整体垮塌[4-5]。
针对盾构隧道结构横向变形问题,国内外学者开展了一系列研究,GAO等[6]通过数值分析模型分析了大直径节段环的横向变形响应,TANG等[7]在此基础上进行实验验证,进而研究了管片衬砌扁化变形过程中横向有效刚度比的变化规律。除数值分析方法外,理论分析也被广泛应用于分析盾构隧道横向变形。陈仁朋等[8]提出了一种考虑围护结构变形影响的盾构隧道横向受力理论计算方法。张治国等[9]基于衬砌接头抗弯刚度非线性计算模型,对基坑开挖诱发隧道横向结构变形的方法进行了研究。此外,影响盾构隧道横向变形的因素众多。梁发云等[10]通过缩尺模型试验研究了局部堆载位置对软、硬地层中隧道横向变形的影响机理。王如路等[11]研究了隧道横向变形随压载的变化发展规律,建立了隧道直径变化和混凝土受力、螺栓受力以及接头张开量之间的关系。注浆是一种有效解决盾构隧道横向变形过大问题的手段。ZHANG等[12]发现注浆对隧道横向大变形有明显的修复作用。张冬梅等[13]以隧道横向收敛、接头张开和错台变化为指标,揭示了注浆对隧道横向变形的作用机理。刘德军等[14]提出了纤维编织网增强混凝土控制方法,并证实该方法可以有效控制盾构管片的横向变形。牟公羽等[15]通过研究发现注浆可改变超孔隙水压力分布,提高隧道横向变形注浆治理效果。为整治盾构隧道的横向大变形,叶振威等[16]提出了一种基于修正浆液分配系数的注浆效率计算公式。赵帅等[17]提出可根据浆液用量对隧道横向收敛的减少值进行估算。魏纲等[18]提出采用椭圆度作为评价隧道结构横向变形的安全指标。
分析盾构隧道的结构变形问题时,盾构接头及螺栓的弱化效应不容忽视。李昊等[19]通过三维数值分析发现越靠近弯矩最大处,接头转动对整体收敛变形的影响越大。李晓军等[20]发现在大直径条件下,接头不连续性对盾构的横向刚度有直接影响。刘学增等[21]考虑接头影响和隧道耐久性,提出了堆载工况下断面变形椭圆度的控制指标。严伟垚等[22]结合混凝土、螺栓、钢筋及结构整体受力状态,讨论了运营期断面收敛变形的控制值。易丹等[23]对螺栓影响隧道管片结构横向性能的过程进行了分析,发现螺栓失效会增大隧道横向变形。SHI等[24]基于非线性接触理论,分析了盾构隧道管片接头在围岩静压、列车动载作用下的受力与变形。除了数值分析方法外,试验也是研究盾构接头影响的重要手段,张力等[25]通过正负弯矩下管片接头抗弯破坏试验对接头混凝土裂纹和压溃、螺栓受力和变形及接头位移等宏观破坏特征进行了研究。张艳杰等[26]通过原型足尺试验,分析了在上方堆载作用下,拱顶双缝接头和拱腰单缝接头对盾构隧道变形发展的影响规律。周宇航等[27]通过管片环隧道覆土堆载试验,发现接头刚度折减和非连续性对管片结构收敛变形、截面弯矩极值及分布影响很大。此外,LI等[28]提出了一种盾构隧道环缝接头塑性跨断层盾构隧道变形响应理论解析方法。而BLOM等[29]则考虑了接头转动,推导了盾构管片隧道横向变形的解析解。
综合以上分析可见,对盾构隧道结构横向变形问题,目前大多采用数值分析方法和实验手段进行分析,且对于基坑、地面超载、周边管线和注浆等外界因素的研究较多,而对盾构环变形内在机理的研究较少。此外,考虑盾构接头的弱化作用,大多分析的是对盾构隧道纵向刚度和变形的影响以及对承载力的影响,而对盾构横向变形方面的研究较少,且大多忽视了椭圆变形的影响。实际上,盾构管片接头对隧道横向变形的影响机理是非常复杂的,为此,本文在BOLM转动模型基础上,考虑盾构接头转动对盾构隧道椭圆化环变形的影响。
1 土压力计算模型
将作用于管片周边的土压荷载等效成竖直荷载与水平荷载,进一步将竖直荷载与水平荷载等效成径向均匀压缩应力和椭圆化应力荷载[29],如图1所示。
2025年9期/10.11817j.issn.1672-7207.2025.09.020/alternativeImage/7A355FB6-4181-4974-BCB2-B958B01AAAFE-F001.jpg)
图1中,σr, top为顶部径向应力,σr, side为侧面径向应力;σ0为均匀压缩应力,σ1为椭圆化应力。总应力2025年9期/10.11817j.issn.1672-7207.2025.09.020/alternativeImage/7A355FB6-4181-4974-BCB2-B958B01AAAFE-M001.jpg)
2025年9期/10.11817j.issn.1672-7207.2025.09.020/alternativeImage/7A355FB6-4181-4974-BCB2-B958B01AAAFE-M002.jpg)
由于接头的存在,管片环变形的解析计算很复杂。为了简化求解过程,进行以下基本假定:
1) 管片环在均匀径向压缩应力σ0作用下,产生了一个均匀的径向位移u0;
2) 管片环变形系统可分解成多个子系统,然后进行线性叠加;
3) 忽略水浮力作用的影响。
2 不考虑接头的管片环变形计算方法
根据前述假定,在不考虑接头作用的情况下,管片环变形u可分为2部分,即在均匀径向压缩应力σ0作用下产生径向位移u0和在椭圆化荷载2025年9期/10.11817j.issn.1672-7207.2025.09.020/alternativeImage/7A355FB6-4181-4974-BCB2-B958B01AAAFE-M003.jpg)
2025年9期/10.11817j.issn.1672-7207.2025.09.020/alternativeImage/7A355FB6-4181-4974-BCB2-B958B01AAAFE-M004.jpg)
2025年9期/10.11817j.issn.1672-7207.2025.09.020/alternativeImage/7A355FB6-4181-4974-BCB2-B958B01AAAFE-F002.jpg)
2.1 管片环径向压缩变形行为
管片环在均匀径向压缩应力σ0作用下,产生的径向位移u0如图2(a)所示[29]。
2025年9期/10.11817j.issn.1672-7207.2025.09.020/alternativeImage/7A355FB6-4181-4974-BCB2-B958B01AAAFE-M005.jpg)
式中:r为管片环外半径;Ec为管片混凝土的弹性模量;ξ为厚径比,2025年9期/10.11817j.issn.1672-7207.2025.09.020/alternativeImage/7A355FB6-4181-4974-BCB2-B958B01AAAFE-M006.jpg)
2025年9期/10.11817j.issn.1672-7207.2025.09.020/alternativeImage/7A355FB6-4181-4974-BCB2-B958B01AAAFE-M007.jpg)
变形修正系数如下式所示:
2025年9期/10.11817j.issn.1672-7207.2025.09.020/alternativeImage/7A355FB6-4181-4974-BCB2-B958B01AAAFE-M008.jpg)
式中:2025年9期/10.11817j.issn.1672-7207.2025.09.020/alternativeImage/7A355FB6-4181-4974-BCB2-B958B01AAAFE-M009.jpg)
2025年9期/10.11817j.issn.1672-7207.2025.09.020/alternativeImage/7A355FB6-4181-4974-BCB2-B958B01AAAFE-M010.jpg)
2.2 管片环椭圆化变形行为
管片环中除了上述径向均匀压缩变形模式外,还有一个显著的变形模式是椭圆化变形,如图2(b)所示。椭圆化荷载2025年9期/10.11817j.issn.1672-7207.2025.09.020/alternativeImage/7A355FB6-4181-4974-BCB2-B958B01AAAFE-M011.jpg)
2025年9期/10.11817j.issn.1672-7207.2025.09.020/alternativeImage/7A355FB6-4181-4974-BCB2-B958B01AAAFE-M012.jpg)
式中:2025年9期/10.11817j.issn.1672-7207.2025.09.020/alternativeImage/7A355FB6-4181-4974-BCB2-B958B01AAAFE-M013.jpg)
管片环等效弯曲刚度2025年9期/10.11817j.issn.1672-7207.2025.09.020/alternativeImage/7A355FB6-4181-4974-BCB2-B958B01AAAFE-M014.jpg)
2025年9期/10.11817j.issn.1672-7207.2025.09.020/alternativeImage/7A355FB6-4181-4974-BCB2-B958B01AAAFE-M015.jpg)
在弹性范围内,可以建立椭圆化荷载2025年9期/10.11817j.issn.1672-7207.2025.09.020/alternativeImage/7A355FB6-4181-4974-BCB2-B958B01AAAFE-M016.jpg)
2025年9期/10.11817j.issn.1672-7207.2025.09.020/alternativeImage/7A355FB6-4181-4974-BCB2-B958B01AAAFE-M017.jpg)
式中:2025年9期/10.11817j.issn.1672-7207.2025.09.020/alternativeImage/7A355FB6-4181-4974-BCB2-B958B01AAAFE-M018.jpg)
2025年9期/10.11817j.issn.1672-7207.2025.09.020/alternativeImage/7A355FB6-4181-4974-BCB2-B958B01AAAFE-M011.jpg)
将式(4)与式(5)代入式(6)可得不考虑接头时椭圆化荷载下的径向变形2025年9期/10.11817j.issn.1672-7207.2025.09.020/alternativeImage/7A355FB6-4181-4974-BCB2-B958B01AAAFE-M004.jpg)
2025年9期/10.11817j.issn.1672-7207.2025.09.020/alternativeImage/7A355FB6-4181-4974-BCB2-B958B01AAAFE-M021.jpg)
考虑管-土相互作用,管片环的椭圆化变形会引起椭圆化荷载的卸载,以φ=0°处为例,释放的土压力2025年9期/10.11817j.issn.1672-7207.2025.09.020/alternativeImage/7A355FB6-4181-4974-BCB2-B958B01AAAFE-M022.jpg)
2025年9期/10.11817j.issn.1672-7207.2025.09.020/alternativeImage/7A355FB6-4181-4974-BCB2-B958B01AAAFE-M023.jpg)
故实际作用于管片环的荷载2025年9期/10.11817j.issn.1672-7207.2025.09.020/alternativeImage/7A355FB6-4181-4974-BCB2-B958B01AAAFE-M024.jpg)
2025年9期/10.11817j.issn.1672-7207.2025.09.020/alternativeImage/7A355FB6-4181-4974-BCB2-B958B01AAAFE-M025.jpg)
2025年9期/10.11817j.issn.1672-7207.2025.09.020/alternativeImage/7A355FB6-4181-4974-BCB2-B958B01AAAFE-M026.jpg)
2025年9期/10.11817j.issn.1672-7207.2025.09.020/alternativeImage/7A355FB6-4181-4974-BCB2-B958B01AAAFE-M027.jpg)
引入土压力释放系数α1,有
2025年9期/10.11817j.issn.1672-7207.2025.09.020/alternativeImage/7A355FB6-4181-4974-BCB2-B958B01AAAFE-M028.jpg)
2025年9期/10.11817j.issn.1672-7207.2025.09.020/alternativeImage/7A355FB6-4181-4974-BCB2-B958B01AAAFE-M029.jpg)
上面的推导过程适用于管片环为任意角度的情况,因此,在椭圆化荷载作用下,实际的管片环径向变形为
2025年9期/10.11817j.issn.1672-7207.2025.09.020/alternativeImage/7A355FB6-4181-4974-BCB2-B958B01AAAFE-M030.jpg)
考虑盾构工程的实际情况,混凝土弹性模量Ec一般比土体弹性模量Es大3个数量级,所以,参数η(η=Ec/Es)很大,而参数ξ(ξ=d/r)为0.1左右。因此,由式(3)可知,修正系数α0是一个很小的值,若简化计算,可以令α0=0。由于ξ 3较小(一般为 1/1 000左右),大大弱化了η的作用,此时,α1甚至可能大于0.5。
上述分析结果表明:管-土相互作用效应对地层均布径向荷载影响很小,主要影响地层椭圆化荷载以及相应的管片环椭圆化变形。
3 考虑管片接头转动的管片环变形计算方法
接头作为管片结构的重要联结部分,其转动力学特性直接影响整个管片结构的稳定性和承载能力。管片接头在受力时会发生一定变形,具体表现为接头面间的接触压力分布和摩擦力发生变化。随着转动角度变化,接头所受的剪切力和弯矩也会随之变化。合理分析管片接头的变形行为,有利于减少接头过度磨损或损伤。
3.1 接头转动条件下管片环变形计算
在实际工程中,管片接头的转动特征通常用位移-应力关系曲线来表征。接头的张开是接头转动所致,若接头呈刚性,则接头张开量与转角的关系为[29]
2025年9期/10.11817j.issn.1672-7207.2025.09.020/alternativeImage/7A355FB6-4181-4974-BCB2-B958B01AAAFE-M031.jpg)
式中:δz,i为接头编号i处的张开量;θi为接头编号i处的转角;2025年9期/10.11817j.issn.1672-7207.2025.09.020/alternativeImage/7A355FB6-4181-4974-BCB2-B958B01AAAFE-M032.jpg)
当管片环中存在某个接头i(对应于φ=βi)时,若固定管片环的顶部位置不发生转动与偏移,则接头i转动θi时,管片环会产生如图3所示的变形。
2025年9期/10.11817j.issn.1672-7207.2025.09.020/alternativeImage/7A355FB6-4181-4974-BCB2-B958B01AAAFE-F003.jpg)
图3中,管片环顶部对应于φ=0°,径向位移用Uz, rtop表示,底部对应于φ=180°径向位移用Uz, rbottom表示(这里,引入z符号表示位移的变化是接头张开引起);i位置接头对应的圆柱坐标系的圆心角为βi,接头转动前后接头i位置的切线夹角即为转角θi;环上任意的A点由于接头i转动而移动到A′点,两点间的水平距离为Uz
根据Blom模型,i位置接头的转动引起的管片环底部的垂直径向变形Uz, rbottom等于接头转角θi乘以接头到垂直轴距离[29],即
2025年9期/10.11817j.issn.1672-7207.2025.09.020/alternativeImage/7A355FB6-4181-4974-BCB2-B958B01AAAFE-M033.jpg)
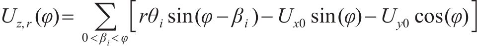
而i位置接头的转动引起的管片环任意位置的垂直径向变形Uz, r(φ)为
2025年9期/10.11817j.issn.1672-7207.2025.09.020/alternativeImage/7A355FB6-4181-4974-BCB2-B958B01AAAFE-M034.jpg)
当存在多个接头时,多个接头分别转动引起的管片环底部的径向变形如图3所示。
多个接头转动的累积效应引起的管片环底部(或顶部)的平均径向位移为
2025年9期/10.11817j.issn.1672-7207.2025.09.020/alternativeImage/7A355FB6-4181-4974-BCB2-B958B01AAAFE-M035.jpg)
2025年9期/10.11817j.issn.1672-7207.2025.09.020/alternativeImage/7A355FB6-4181-4974-BCB2-B958B01AAAFE-M036.jpg)
由于上述模型在建立过程中假定管片环顶部固定,为了消除这个影响,式(17)应修正为
2025年9期/10.11817j.issn.1672-7207.2025.09.020/alternativeImage/7A355FB6-4181-4974-BCB2-B958B01AAAFE-M037.jpg)
其中,修正位移参数Ux0与Uy0需要一系列复杂的处理与计算才能确定,见文献[29]。以上模型建立的基础是式(14)被确定。精确解的推导过程如下。
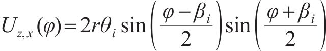
接头i转动后,管片环的特征点A变化到A′(见图3),通过几何计算,可以推导A点与A′点间的水平位移Uz, x和垂直位移Uz, y的精确解。接头的转角θi是一个很小的量,Uz, x和Uz, y分别为:
2025年9期/10.11817j.issn.1672-7207.2025.09.020/alternativeImage/7A355FB6-4181-4974-BCB2-B958B01AAAFE-M038.jpg)
2025年9期/10.11817j.issn.1672-7207.2025.09.020/alternativeImage/7A355FB6-4181-4974-BCB2-B958B01AAAFE-M039.jpg)
将φ=180°代入式(22)即可得到管片环底部的径向变形。
由上述精确求解过程不难发现,BLOM[29]提出的接头转动引起的管片环变形模式是建立在2个隐含的重要假定上:1) 管片是刚性的,接头转动过程不会引起管片的弯曲变形;2) 接头某一侧管片环的转动是自由的,不受另一侧管片的制约。
这2个隐含的假定在很大程度上简化了推导过程,但与实际情况有较大差别。第2节探讨的管片椭圆化变形也是实际盾构工程中最常见的管片环变形模式,说明管片环并不是刚性的,变形过程存在一定的弯曲,因此,假定1)并不合理;特别是假定2),由于管片环自身的制约,接头两侧的管片显然不能自由转动,这一假定将会使局部的管片环变形产生较大的误差。为了使计算结果与实测结果相匹配,需进行大量推导与修正[28]。
3.2 管片椭圆化环变形修正计算模型
同时考虑管片环的弯曲变形与制约,某个接头固定且在弯矩下发生转动,机制上类似于在圆周上与接头i对称位置施加了1个径向力(负弯矩对应于向环外的径向力,正弯矩对应于向环内的径向力),实际的管片环变形应类似于图4(b)所示变形(固定接头i位置不变)。
2025年9期/10.11817j.issn.1672-7207.2025.09.020/alternativeImage/7A355FB6-4181-4974-BCB2-B958B01AAAFE-F004.jpg)
对比图4(a)与图4(b)可以看出:修正模型与BLOM[29]模型相比,最大的不同在于在管片环上接头对称位置向外挤出,管片环在接头转动与结构自身约束下发生了一定的弯曲协调变形,整体形状类似于椭圆。
假设管片环变形后近似椭圆形,长半轴为a,短半轴为b,根据椭圆的几何性质,可以用式(21)计算椭圆的周长C,同时考虑到管片环变形前后周长不变,有
2025年9期/10.11817j.issn.1672-7207.2025.09.020/alternativeImage/7A355FB6-4181-4974-BCB2-B958B01AAAFE-M040.jpg)
通过代数运算,式(21)可以变换为如下形式:
2025年9期/10.11817j.issn.1672-7207.2025.09.020/alternativeImage/7A355FB6-4181-4974-BCB2-B958B01AAAFE-M041.jpg)
式(22)左边的分子项(a-r)和分母项(r-b)分别表示管片环变形前后长半轴与短半轴方向的位移变化量,右边为1个常数项。这意味着管片环由圆形向椭圆形转变的过程中,长轴方向增大的位移与短轴方向减小的位移呈正比例关系。
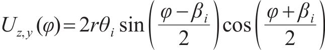
从图4可见:短轴方向角度对应于φ=βi±π/2,长轴方向角度对应于φ=βi与φ=βi+π;修正模型与BLOM模型的主要区别在于周期与相位发生了变化。BLOM模型中接头转动引起的管片环任意一点的径向位移为rθisin(φ-βi),短轴方向(φ=βi+π/2)的位移变化量为rθi。由于假定接头i是固定的,因此,在模型修正时,原公式中sin(φ-βi)应予以保留,才能保证φ=βi时,接头处径向位移始终为0。这一限制条件表明应同时修正径向位移函数的周期与初始相位。引入修正系数η,修正模型中接头i转动引起的管片环任意一点的位移可以写为
2025年9期/10.11817j.issn.1672-7207.2025.09.020/alternativeImage/7A355FB6-4181-4974-BCB2-B958B01AAAFE-M042.jpg)
将φ=βi+π/2与φ=βi+π代入可以求得短轴与长轴方向的径向位移变化分别为:
2025年9期/10.11817j.issn.1672-7207.2025.09.020/alternativeImage/7A355FB6-4181-4974-BCB2-B958B01AAAFE-M043.jpg)
2025年9期/10.11817j.issn.1672-7207.2025.09.020/alternativeImage/7A355FB6-4181-4974-BCB2-B958B01AAAFE-M044.jpg)
根据椭圆的几何性质,有
2025年9期/10.11817j.issn.1672-7207.2025.09.020/alternativeImage/7A355FB6-4181-4974-BCB2-B958B01AAAFE-M045.jpg)
2025年9期/10.11817j.issn.1672-7207.2025.09.020/alternativeImage/7A355FB6-4181-4974-BCB2-B958B01AAAFE-M046.jpg)
将式(26)与式(27)代入式(23)可得到修正系数 η=1.386 73。因此,新建立的单个接头转动模型最终可表示成
2025年9期/10.11817j.issn.1672-7207.2025.09.020/alternativeImage/7A355FB6-4181-4974-BCB2-B958B01AAAFE-M047.jpg)
对应的短轴方向(φ=βi+π/2)的径向位移变化量为0.821 09rθi,比BLOM模型的径向位移变化量(rθi)要小;而长轴方向(φ=βi+π)的径向位移变化量为-0.937 35rθi,与BLOM模型(径向位移变化量为0)完全不同。
采用式(28)即可计算单个接头转动引起的管片环任意一点的径向位移。当多个接头转动时,通过叠加原理,可得多个接头转动下的管片环的平均径向位移为
2025年9期/10.11817j.issn.1672-7207.2025.09.020/alternativeImage/7A355FB6-4181-4974-BCB2-B958B01AAAFE-M048.jpg)
由于接头与接头之间的作用是相互的,任何一个接头都不是固定不动的,因此,平均径向位移应取累积位移的1/2。显然,若已知管片环中各个接头的位置(即βi)以及各个接头在弯矩作用下的转角θi,则不需要再进行修正即可准确地计算接头转动(或张开)下的管片环变形。
4 接头转动模型的计算及与试验结果的对比分析
为了验证解析计算结果的可靠性,BLOM[28]设计了对应的非破坏性原型试验。试验管片为3环,每环有7个均匀分布的接头,其中,环1与环2的接头分布分别如图5(a)与图5(b)所示。采用径向加载模式,荷载及其分解见图1。这里取椭圆化荷载 (σ1=0.018 5 MPa)加载工况。试验管片的参数以及相关的计算参数见表1[29]。
2025年9期/10.11817j.issn.1672-7207.2025.09.020/alternativeImage/7A355FB6-4181-4974-BCB2-B958B01AAAFE-F005.jpg)
| 管片几何尺寸 | 接头 | 管片混凝土弹性模量Ec/GPa | 围岩弹性模量/GPa | ||||
|---|---|---|---|---|---|---|---|
| 环内直径Di/m | 厚度d/m | 环内半径r/m | 宽度2b/m | 转动刚度cr/ (kN·m·rad-1) | 错台刚度cv/ (kN·m-1) | ||
| 8.65 | 0.4 | 4.525 | 1.5 | 7.225×104 | 1.0×105 | 40 | 38 |
计算接头的转角需要首先确定接头部位的弯矩,表达式为[30]
2025年9期/10.11817j.issn.1672-7207.2025.09.020/alternativeImage/7A355FB6-4181-4974-BCB2-B958B01AAAFE-M049.jpg)
弹性范围内接头转角可以采用下式计算:
2025年9期/10.11817j.issn.1672-7207.2025.09.020/alternativeImage/7A355FB6-4181-4974-BCB2-B958B01AAAFE-M050.jpg)
式中:θi为接头i(对应圆心角βi)处弯矩Mi作用下的转角;cr为转动刚度(考虑环间接头的作用)。
根据式(11),可计算修正参数α1=0.647 1,再结合式(12)即可计算得到椭圆化荷载下管片环的各个位置变形u1(φ)=-1.426×cos(2φ)(单位为mm)。因此,实际作用于管片环上的椭圆化荷载由σ1=0.018 5 MPa修正为σ1=0.006 5 MPa,根据式(26)可得弯矩M(φ)=33.419×cos(2φ),代入对应接头的圆心角,可得接头处的弯矩;进一步结合式(34),即可计算相应的接头转角。计算结果见表2。
| 环1 | 环2 | ||||||
|---|---|---|---|---|---|---|---|
| 接头βi | 圆心角/(°) | 弯矩Mi/(kN·m) | 转角θi/(°) | 接头βi | 圆心角/(°) | 弯矩Mi/(kN·m) | 转角θi/(°) |
| β1 | 25.71 | 20.84 | 0.016 5 | β1 | 0 | 33.42 | 0.026 5 |
| β2 | 77.14 | -30.11 | -0.024 0 | β2 | 51.43 | -7.44 | -0.060 0 |
| β3 | 128.57 | -7.44 | -0.060 0 | β3 | 102.86 | -30.11 | -0.024 0 |
| β4 | 180.00 | 33.42 | 0.026 5 | β4 | 154.29 | 20.84 | 0.016 5 |
| β5 | 231.43 | -7.44 | -0.060 0 | β5 | 205.71 | 20.84 | 0.016 5 |
| β6 | 282.86 | -30.11 | -0.024 0 | β6 | 257.14 | -30.11 | -0.024 0 |
| β7 | 334.29 | 20.84 | 0.016 5 | β7 | 308.57 | -7.44 | -0.060 0 |
将表2中环1和环2各个接头的转角计算值分别代入式(31)可计算环1与环2各个接头转动引起的管片环变形(正号表示向外扩张,负号表示向内收敛),如图6和图7所示。分析图6和图7的曲线特征可知:
2025年9期/10.11817j.issn.1672-7207.2025.09.020/alternativeImage/7A355FB6-4181-4974-BCB2-B958B01AAAFE-F006.jpg)
2025年9期/10.11817j.issn.1672-7207.2025.09.020/alternativeImage/7A355FB6-4181-4974-BCB2-B958B01AAAFE-F007.jpg)
1) 对于环1,拱顶处的管片变形受接头2、4和6的影响较大,均产生了2 mm左右的张开变形;拱腰处的管片变形受接头1、4和6的影响较大;拱底处的管片变形受接头2、6和7的影响较大;接头3和5对管片环变形影响不大,产生的最大环变形值不超过0.5 mm。
2) 对于环2,拱顶处的管片变形受接头3、4、5和6的影响较大,均产生了收敛变形;拱腰处的管片变形受接头1、4和6的影响较大;拱底处的管片变形受接头1、3和6的影响较大,接头2和7对管片环变形影响不大,产生的最大环变形值不超过0.5 mm。
3) 无论是环1还是环2,接头在盾构隧道中轴线处时,其附近两侧的接头对管片环变形的影响较小,而靠近拱腰处的接头对管片环变形的影响较大。
4) 将图6和图7中各接头转动引起的变形用式(32)进行累加可分别得到环1和环2所有接头转动下的累积管片环变形(Uz, r(φ))。试验中,椭圆化荷载σ1(φ)作用下的管片环变形主要由椭圆化变形u1(φ)与接头转动引起的管片环变形Uz, r(φ)两部分组成(不包括均匀径向压缩荷载引起的径向变形),即
2025年9期/10.11817j.issn.1672-7207.2025.09.020/alternativeImage/7A355FB6-4181-4974-BCB2-B958B01AAAFE-M051.jpg)
应用式(35)可得试验工况下模型最终的管片环变形计算结果。为方便对比,将本文模型计算变形、BLOM模型计算变形以及实测变形绘制于图8中。
2025年9期/10.11817j.issn.1672-7207.2025.09.020/alternativeImage/7A355FB6-4181-4974-BCB2-B958B01AAAFE-F008.jpg)
从图8可以看出:在椭圆化荷载作用下,本文模型与BLOM模型的计算结果均与试验结果基本吻合,这说明在该试验工况中,本文模型与BLOM均是合理的。但BLOM模型在求解过程中需要保证接头均匀分布、左右对称,且仅适用于试验中的分布情况。当接头分布左右不对称时将不再适用(最显著的是在管片环的顶部会出现不连续差异变形,在仅考虑接头转动的情况下,这种计算结果显然是错误的)。而本文模型由于考虑了接头约束作用,不仅计算结果更准确,在接头分布不对称甚至非均布非对称时也适用。
采用图9(a)、图10(a)与图11(a)的接头分布工况,采用与试验相同的计算参数,同样可以计算出管片环变形,分别见图9(b)、图10(b)与图11(b)。
2025年9期/10.11817j.issn.1672-7207.2025.09.020/alternativeImage/7A355FB6-4181-4974-BCB2-B958B01AAAFE-F009.jpg)
2025年9期/10.11817j.issn.1672-7207.2025.09.020/alternativeImage/7A355FB6-4181-4974-BCB2-B958B01AAAFE-F010.jpg)
2025年9期/10.11817j.issn.1672-7207.2025.09.020/alternativeImage/7A355FB6-4181-4974-BCB2-B958B01AAAFE-F011.jpg)
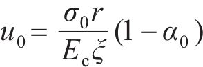
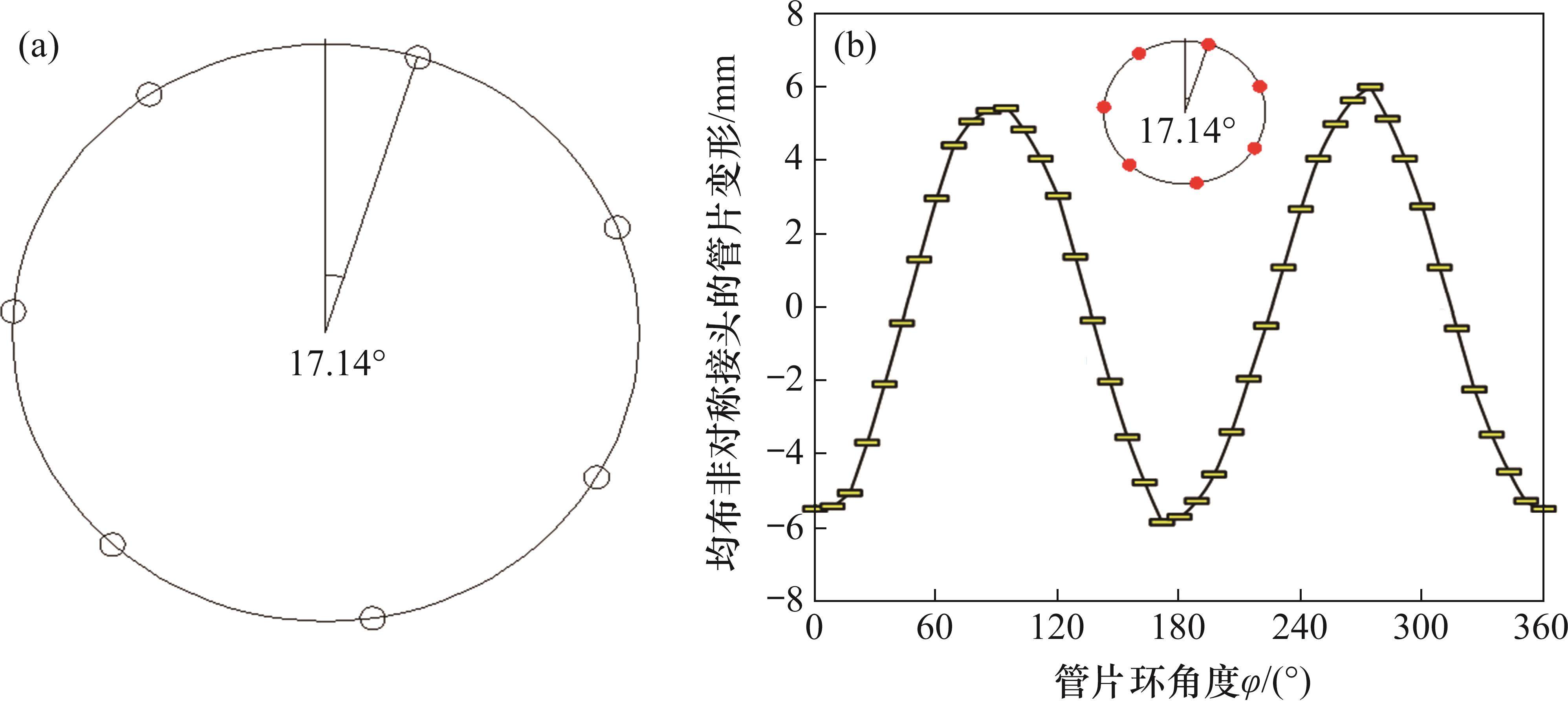
1) 接头数量与分布形式也将影响管片环的变形行为,相比于管片接头均布对称条件,接头均布非对称、对称非均布以及非均布非对称时的最大环变形量分别减少了6%、21%和33%,且最大减少量均出现在拱顶。
2) 左右不对称的接头分布会导致管片环产生不对称变形,且最大差异出现在拱腰处:在工况1中,左右拱腰的变形差异为6.36%;在工况3中,该差异增大至17.67%。
3) 封顶块位置不同同样影响管片环的变形行为。与封顶块位于正上方的情况相比,在斜上方位置(工况3)时,拱顶、拱腰和拱底的最大环变形量分别减少了15.04%、37.33%和23.57%。
当封顶块处于正上方时(工况2),两边拱腰处存在较大的收敛变形,相比于其他2种工况,最大环变形量分别增大了13.23%和35.60%。错缝拼装的模式可以减少盾构的收敛变形,这与工程实际结果具有一致性。
5 结论
1) 提出了一种考虑接头转动的管片环椭圆变形计算模型。地层椭圆化荷载及其引起的椭圆变形对盾构隧道管片的变形影响显著。在最不利条件下,椭圆化荷载导致的管片环变形为均布径向荷载所产生变形的2倍。
2) 接头的分布形式对管片环的变形行为产生重要影响。与管片接头均布对称条件相比,接头均布非对称、对称非均布及非均布非对称情况下的最大环变形量均出现在拱顶,分别减少了6%、21%和33%。
3) 封顶块位置的变化也会影响管片环的变形。当封顶块位于斜上方(工况3)时,拱顶、拱腰和拱底的最大环变形量均显著减少,最大减少率达到37.33%(拱腰处)。
4) 提出的改进模型考虑了接头分布不对称的情况,适用性更强,计算更简单。
考虑衬砌接头非线性作用的基坑开挖诱发邻近地铁隧道横向变形分析
[J/OL]. 中国公路学报, 2022: 1-19. [注浆整治盾构隧道横向大变形下地层响应现场试验研究
[J/OL]. 岩土工程学报, 2024: 1-9. [盾构隧道管片结构螺栓失效对横向地震响应的影响分析
[J/OL]. 现代隧道技术, 2024: 1-7. [邹洋, 叶艺超, 唐钱龙, 等. 考虑接头转动的盾构隧道椭圆化环变形行为研究[J]. 中南大学学报(自然科学版), 2025, 56(9): 3797-3809.
ZOU Yang, YE Yichao, TANG Qianlong, et al. Deformation behavior of elliptic ring in shield tunnel considering joint rotation[J]. Journal of Central South University(Science and Technology), 2025, 56(9): 3797-3809.
http://dx.doi.org/10.11817/j.issn.1672-7207.2025.09.020

