在油田生产过程中,由于地层压力降低及原油组分变化[1-2],原油中沥青质溶解的平衡状态被打破,部分沥青质从原油中析出,吸附于多孔介质孔喉壁面上,造成多孔介质孔隙伤害,堵塞原油流动通道,给油田生产带来极大挑战[3-5]。因此,研究储层多孔介质中沥青质颗粒沉积及其对储层伤害的特征至关重要。
SHIRDEL等[6]假设沥青质颗粒为不同直径的球形颗粒,发现增加原油流速能显著降低沥青质沉积速率。GHADIMI等[7]将多孔介质中沥青质沉积量等效于孔隙度降低,多孔介质孔隙中沥青质沉积分为表面沉积和喉道堵塞,孔喉狭窄的岩石损伤更严重。KORD等[8]基于目标油藏原油和岩心,通过动态和静态沥青质沉积实验,发现沥青质在多孔介质表面沉积,导致孔喉堵塞,岩心渗透率随时间增加而呈线性下降。STRUCHKOV等[9]通过计算机断层扫描,构建原始岩心及沥青质沉积后岩心三维模型,发现与沥青质颗粒直径相当的小孔比大孔更容易堵塞。KORDESTANY等[10]通过庚烷驱替原油饱和岩心实验,发现沥青质在多孔介质中沉积不均匀,主要沉积在入口端,沥青质颗粒沉积后无法继续运移。MAHDAVIFAR等[11]使用菱形孔、方形孔和圆形孔组成的孔隙结构模型进行微流体试验,研究孔隙尺度中沥青质沉积情况,然而,该模型非真实储层孔隙结构,不能有效表征实际孔隙形状。高达等[12]基于油田储层物性参数,建立油藏数值模型,发现生产井近井地带沥青质沉积显著,原油黏度升高明显,但没有明晰原油黏度对沥青质沉积的影响。
综上所述,以往研究多采用岩心驱替实验对沥青质沉积进行探讨,而在数值模拟方面,由于所采用的孔隙结构与实际岩心存在较大差异,难以反映实际地层条件下沥青质颗粒的运移行为与地层伤害过程。此外,较少考虑地层中原油黏度变化以及沥青质颗粒沉积后对岩心孔隙度的影响。由于沥青质颗粒在地层原油中析出机理复杂,本文假设多孔介质中沥青质颗粒已经产生,研究沥青质颗粒在多孔介质中的运移情况。首先,基于Lagrangian理论建立储层多孔介质中沥青质颗粒沉积数学模型,采用离散相颗粒追踪方法研究沥青质颗粒在多孔介质中运移吸附过程。其次,利用层流模型表征多孔介质中颗粒流动行为。最后,系统分析沥青质颗粒直径、原油流速及原油黏度等因素对沥青质颗粒沉积速率、地层渗透率和孔隙度的影响。
1 数值方法
1.1 多孔介质中沥青质沉积数学模型
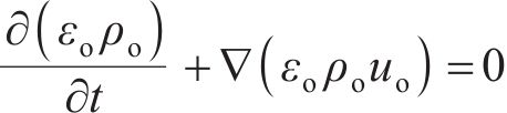
多孔介质中沥青质颗粒运移过程中原油为连续相,沥青质颗粒为离散相。假设颗粒不可压缩;密度恒定;不考虑颗粒间相互作用。基于Lagrangian理论[13]建立油相连续性方程和动量方程。
2025年9期/10.11817j.issn.1672-7207.2025.09.021/alternativeImage/D2807129-33AE-44ab-8A8B-5461675DA148-M001.jpg)
2025年9期/10.11817j.issn.1672-7207.2025.09.021/alternativeImage/D2807129-33AE-44ab-8A8B-5461675DA148-M002.jpg)
2025年9期/10.11817j.issn.1672-7207.2025.09.021/alternativeImage/D2807129-33AE-44ab-8A8B-5461675DA148-M003.jpg)
式中:2025年9期/10.11817j.issn.1672-7207.2025.09.021/alternativeImage/D2807129-33AE-44ab-8A8B-5461675DA148-M004.jpg)
2025年9期/10.11817j.issn.1672-7207.2025.09.021/alternativeImage/D2807129-33AE-44ab-8A8B-5461675DA148-M005.jpg)
2025年9期/10.11817j.issn.1672-7207.2025.09.021/alternativeImage/D2807129-33AE-44ab-8A8B-5461675DA148-M006.jpg)
2025年9期/10.11817j.issn.1672-7207.2025.09.021/alternativeImage/D2807129-33AE-44ab-8A8B-5461675DA148-M007.jpg)
2025年9期/10.11817j.issn.1672-7207.2025.09.021/alternativeImage/D2807129-33AE-44ab-8A8B-5461675DA148-M008.jpg)
基于固液相间阻力计算动量交换源项2025年9期/10.11817j.issn.1672-7207.2025.09.021/alternativeImage/D2807129-33AE-44ab-8A8B-5461675DA148-M009.jpg)
2025年9期/10.11817j.issn.1672-7207.2025.09.021/alternativeImage/D2807129-33AE-44ab-8A8B-5461675DA148-M010.jpg)
式中:2025年9期/10.11817j.issn.1672-7207.2025.09.021/alternativeImage/D2807129-33AE-44ab-8A8B-5461675DA148-M011.jpg)
2025年9期/10.11817j.issn.1672-7207.2025.09.021/alternativeImage/D2807129-33AE-44ab-8A8B-5461675DA148-M012.jpg)
2025年9期/10.11817j.issn.1672-7207.2025.09.021/alternativeImage/D2807129-33AE-44ab-8A8B-5461675DA148-M013.jpg)
2025年9期/10.11817j.issn.1672-7207.2025.09.021/alternativeImage/D2807129-33AE-44ab-8A8B-5461675DA148-M014.jpg)
2025年9期/10.11817j.issn.1672-7207.2025.09.021/alternativeImage/D2807129-33AE-44ab-8A8B-5461675DA148-M015.jpg)
式中:2025年9期/10.11817j.issn.1672-7207.2025.09.021/alternativeImage/D2807129-33AE-44ab-8A8B-5461675DA148-M016.jpg)
2025年9期/10.11817j.issn.1672-7207.2025.09.021/alternativeImage/D2807129-33AE-44ab-8A8B-5461675DA148-M017.jpg)
2025年9期/10.11817j.issn.1672-7207.2025.09.021/alternativeImage/D2807129-33AE-44ab-8A8B-5461675DA148-M018.jpg)
2025年9期/10.11817j.issn.1672-7207.2025.09.021/alternativeImage/D2807129-33AE-44ab-8A8B-5461675DA148-M014.jpg)
2025年9期/10.11817j.issn.1672-7207.2025.09.021/alternativeImage/D2807129-33AE-44ab-8A8B-5461675DA148-M020.jpg)
2025年9期/10.11817j.issn.1672-7207.2025.09.021/alternativeImage/D2807129-33AE-44ab-8A8B-5461675DA148-M014.jpg)
颗粒在流场中的运动受多种作用力叠加,各种力促进或抑制颗粒运移。颗粒在流场受到的作用力比较复杂,主要有重力、浮力、阻力、压力梯度力、虚拟质量力、Saffman升力和Magnus力等[14-15]。在储层流体中,沥青质颗粒粒径小,浓度低,颗粒主要受重力和黏性阻力影响,其余的力很小,可以忽略。
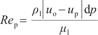
在两相流流场中,颗粒阻力受许多因素影响,包括颗粒雷诺数、相对雷诺数,流体可压缩性、温度、颗粒性质和浓度等。阻力方程2025年9期/10.11817j.issn.1672-7207.2025.09.021/alternativeImage/D2807129-33AE-44ab-8A8B-5461675DA148-M022.jpg)
2025年9期/10.11817j.issn.1672-7207.2025.09.021/alternativeImage/D2807129-33AE-44ab-8A8B-5461675DA148-M023.jpg)
式中:2025年9期/10.11817j.issn.1672-7207.2025.09.021/alternativeImage/D2807129-33AE-44ab-8A8B-5461675DA148-M024.jpg)
2025年9期/10.11817j.issn.1672-7207.2025.09.021/alternativeImage/D2807129-33AE-44ab-8A8B-5461675DA148-M025.jpg)
2025年9期/10.11817j.issn.1672-7207.2025.09.021/alternativeImage/D2807129-33AE-44ab-8A8B-5461675DA148-M026.jpg)
2025年9期/10.11817j.issn.1672-7207.2025.09.021/alternativeImage/D2807129-33AE-44ab-8A8B-5461675DA148-M027.jpg)
2025年9期/10.11817j.issn.1672-7207.2025.09.021/alternativeImage/D2807129-33AE-44ab-8A8B-5461675DA148-M024.jpg)
2025年9期/10.11817j.issn.1672-7207.2025.09.021/alternativeImage/D2807129-33AE-44ab-8A8B-5461675DA148-M029.jpg)
2025年9期/10.11817j.issn.1672-7207.2025.09.021/alternativeImage/D2807129-33AE-44ab-8A8B-5461675DA148-M030.jpg)
式中:2025年9期/10.11817j.issn.1672-7207.2025.09.021/alternativeImage/D2807129-33AE-44ab-8A8B-5461675DA148-M031.jpg)
2025年9期/10.11817j.issn.1672-7207.2025.09.021/alternativeImage/D2807129-33AE-44ab-8A8B-5461675DA148-M032.jpg)
2025年9期/10.11817j.issn.1672-7207.2025.09.021/alternativeImage/D2807129-33AE-44ab-8A8B-5461675DA148-M033.jpg)
1.2 物理模型
储层多孔介质模型来源于实际油藏[16-17],岩心经过数字化处理形成数字岩心,模型孔隙度为20.35%,渗透率为5×10-3 μm2,具体模型如图1所示。为更真实表征多孔介质中的复杂流场和沥青质颗粒在多孔介质壁面的沉积过程,对入口端进行网格加密,节点数为84 289个,网格数为359 273个。
2025年9期/10.11817j.issn.1672-7207.2025.09.021/alternativeImage/D2807129-33AE-44ab-8A8B-5461675DA148-F001.jpg)
为了进行网格无关性验证,将网格尺寸逐渐降低,同时网格数量增加到478 948个,统计多孔介质中沥青质颗粒沉积数,将不同网格尺寸沉积数量与35.9万个网格时沥青质颗粒沉积数量进行对比,如表1所示。从表1可以看出:相较于47.8万个网格的模型,35.9万个网格模型在保证计算误差稳定的同时,显著降低了计算成本。随着网格尺寸减小、网格数量增加,模拟时间显著增加,因此,本研究最终选取35.9万个网格模型作为后续模拟的基础。
| 尺寸/mm | 网格数/个 | 节点数/个 | 沉积颗粒数/个 |
|---|---|---|---|
| 1.0 | 208 335 | 49 143 | 231 712 |
| 0.8 | 248 829 | 58 748 | 238 697 |
| 0.6 | 359 273 | 84 289 | 241 355 |
| 0.5 | 478 948 | 110 800 | 240 174 |
1.3 边界条件设置
在最大流速下,计算得到雷诺数为0.002 99,远低于层流与湍流的临界值2 000,因此,采用层流模型[18],沥青质颗粒运动轨迹通过离散相进行追踪模拟,沥青质颗粒从注入面垂直均匀注入,速度与原油流速相同[7],采用ANSYS2020b进行求解。模拟计算中主要考虑重力、阻力的影响,将模型的入口、出口设置为逃离边界,而多孔介质壁面设置为捕集型边界。入口为速度边界,出口压力设置为48.55 MPa,温度为112 ℃[17]。模型参数设置见表2[6, 16, 19-20]。
1.4 模型验证
为了验证模拟结果的可靠性,将同样沥青质颗粒注入条件下多孔介质中沥青质颗粒沉积问题的解析解与数值模拟结果进行对比,如图2所示,其中,2025年9期/10.11817j.issn.1672-7207.2025.09.021/alternativeImage/D2807129-33AE-44ab-8A8B-5461675DA148-M034.jpg)
2025年9期/10.11817j.issn.1672-7207.2025.09.021/alternativeImage/D2807129-33AE-44ab-8A8B-5461675DA148-M035.jpg)
2025年9期/10.11817j.issn.1672-7207.2025.09.021/alternativeImage/D2807129-33AE-44ab-8A8B-5461675DA148-M036.jpg)
式中:2025年9期/10.11817j.issn.1672-7207.2025.09.021/alternativeImage/D2807129-33AE-44ab-8A8B-5461675DA148-M037.jpg)
2025年9期/10.11817j.issn.1672-7207.2025.09.021/alternativeImage/D2807129-33AE-44ab-8A8B-5461675DA148-M038.jpg)
2025年9期/10.11817j.issn.1672-7207.2025.09.021/alternativeImage/D2807129-33AE-44ab-8A8B-5461675DA148-M039.jpg)
2025年9期/10.11817j.issn.1672-7207.2025.09.021/alternativeImage/D2807129-33AE-44ab-8A8B-5461675DA148-M040.jpg)
2025年9期/10.11817j.issn.1672-7207.2025.09.021/alternativeImage/D2807129-33AE-44ab-8A8B-5461675DA148-M041.jpg)
2025年9期/10.11817j.issn.1672-7207.2025.09.021/alternativeImage/D2807129-33AE-44ab-8A8B-5461675DA148-M042.jpg)
2025年9期/10.11817j.issn.1672-7207.2025.09.021/alternativeImage/D2807129-33AE-44ab-8A8B-5461675DA148-M043.jpg)
2025年9期/10.11817j.issn.1672-7207.2025.09.021/alternativeImage/D2807129-33AE-44ab-8A8B-5461675DA148-M042.jpg)
2025年9期/10.11817j.issn.1672-7207.2025.09.021/alternativeImage/D2807129-33AE-44ab-8A8B-5461675DA148-M043.jpg)
2025年9期/10.11817j.issn.1672-7207.2025.09.021/alternativeImage/D2807129-33AE-44ab-8A8B-5461675DA148-F002.jpg)
从图2可以看出,多孔介质中沥青质沉积的2025年9期/10.11817j.issn.1672-7207.2025.09.021/alternativeImage/D2807129-33AE-44ab-8A8B-5461675DA148-M034.jpg)
2 模拟结果表征
为定量分析多孔介质中沥青质颗粒沉积对孔隙度和渗透率的伤害情况,采用沥青质颗粒沉积速率、孔隙度伤害率和渗透率伤害率进行表征。
2.1 沥青质颗粒沉积速率
多孔介质表面颗粒沉积特性采用沉积速率2025年9期/10.11817j.issn.1672-7207.2025.09.021/alternativeImage/D2807129-33AE-44ab-8A8B-5461675DA148-M047.jpg)
2025年9期/10.11817j.issn.1672-7207.2025.09.021/alternativeImage/D2807129-33AE-44ab-8A8B-5461675DA148-M048.jpg)
其中:2025年9期/10.11817j.issn.1672-7207.2025.09.021/alternativeImage/D2807129-33AE-44ab-8A8B-5461675DA148-M049.jpg)
2025年9期/10.11817j.issn.1672-7207.2025.09.021/alternativeImage/D2807129-33AE-44ab-8A8B-5461675DA148-M050.jpg)
2025年9期/10.11817j.issn.1672-7207.2025.09.021/alternativeImage/D2807129-33AE-44ab-8A8B-5461675DA148-M051.jpg)
2025年9期/10.11817j.issn.1672-7207.2025.09.021/alternativeImage/D2807129-33AE-44ab-8A8B-5461675DA148-M052.jpg)
2025年9期/10.11817j.issn.1672-7207.2025.09.021/alternativeImage/D2807129-33AE-44ab-8A8B-5461675DA148-M053.jpg)
2025年9期/10.11817j.issn.1672-7207.2025.09.021/alternativeImage/D2807129-33AE-44ab-8A8B-5461675DA148-M054.jpg)
2025年9期/10.11817j.issn.1672-7207.2025.09.021/alternativeImage/D2807129-33AE-44ab-8A8B-5461675DA148-M055.jpg)
2025年9期/10.11817j.issn.1672-7207.2025.09.021/alternativeImage/D2807129-33AE-44ab-8A8B-5461675DA148-M056.jpg)
量纲一颗粒沉积速度2025年9期/10.11817j.issn.1672-7207.2025.09.021/alternativeImage/D2807129-33AE-44ab-8A8B-5461675DA148-M057.jpg)
2025年9期/10.11817j.issn.1672-7207.2025.09.021/alternativeImage/D2807129-33AE-44ab-8A8B-5461675DA148-M058.jpg)
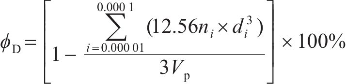
2.2 孔隙度伤害率
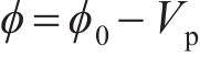
孔隙度伤害率定义为沥青质颗粒沉积前后储层孔隙度的相对变化率。
2025年9期/10.11817j.issn.1672-7207.2025.09.021/alternativeImage/D2807129-33AE-44ab-8A8B-5461675DA148-M059.jpg)
2025年9期/10.11817j.issn.1672-7207.2025.09.021/alternativeImage/D2807129-33AE-44ab-8A8B-5461675DA148-M060.jpg)
式中:2025年9期/10.11817j.issn.1672-7207.2025.09.021/alternativeImage/D2807129-33AE-44ab-8A8B-5461675DA148-M061.jpg)
2025年9期/10.11817j.issn.1672-7207.2025.09.021/alternativeImage/D2807129-33AE-44ab-8A8B-5461675DA148-M062.jpg)
2025年9期/10.11817j.issn.1672-7207.2025.09.021/alternativeImage/D2807129-33AE-44ab-8A8B-5461675DA148-M063.jpg)
2025年9期/10.11817j.issn.1672-7207.2025.09.021/alternativeImage/D2807129-33AE-44ab-8A8B-5461675DA148-M064.jpg)
2025年9期/10.11817j.issn.1672-7207.2025.09.021/alternativeImage/D2807129-33AE-44ab-8A8B-5461675DA148-M065.jpg)
2025年9期/10.11817j.issn.1672-7207.2025.09.021/alternativeImage/D2807129-33AE-44ab-8A8B-5461675DA148-M066.jpg)
2025年9期/10.11817j.issn.1672-7207.2025.09.021/alternativeImage/D2807129-33AE-44ab-8A8B-5461675DA148-M065.jpg)
2.3 渗透率伤害率
沥青质颗粒在孔隙空间中沉积,占据了部分孔隙体积,导致孔隙度减少,进而降低多孔介质渗透率,通过幂律关系将渗透率与孔隙度相关联[23-24],采用渗透率伤害率评价沥青质颗粒沉积对多孔介质渗透率的伤害情况,其定义如下:
2025年9期/10.11817j.issn.1672-7207.2025.09.021/alternativeImage/D2807129-33AE-44ab-8A8B-5461675DA148-M068.jpg)
2025年9期/10.11817j.issn.1672-7207.2025.09.021/alternativeImage/D2807129-33AE-44ab-8A8B-5461675DA148-M069.jpg)
2025年9期/10.11817j.issn.1672-7207.2025.09.021/alternativeImage/D2807129-33AE-44ab-8A8B-5461675DA148-M070.jpg)
式中:2025年9期/10.11817j.issn.1672-7207.2025.09.021/alternativeImage/D2807129-33AE-44ab-8A8B-5461675DA148-M071.jpg)
2025年9期/10.11817j.issn.1672-7207.2025.09.021/alternativeImage/D2807129-33AE-44ab-8A8B-5461675DA148-M072.jpg)
2025年9期/10.11817j.issn.1672-7207.2025.09.021/alternativeImage/D2807129-33AE-44ab-8A8B-5461675DA148-M073.jpg)
2025年9期/10.11817j.issn.1672-7207.2025.09.021/alternativeImage/D2807129-33AE-44ab-8A8B-5461675DA148-M074.jpg)
2025年9期/10.11817j.issn.1672-7207.2025.09.021/alternativeImage/D2807129-33AE-44ab-8A8B-5461675DA148-M075.jpg)
2025年9期/10.11817j.issn.1672-7207.2025.09.021/alternativeImage/D2807129-33AE-44ab-8A8B-5461675DA148-M076.jpg)
3 流场及颗粒沉积模拟结果
3.1 速度场分布
多孔介质中流场分布对沥青质颗粒在多孔介质壁面沉积有很大影响,因此,通过数值模拟分析了流速为0.004、0.010和0.015 m/s,沥青质颗粒直径范围为10~100 µm的工况下,1.2 s时多孔介质中速度场分布,如图3所示。由于实际岩心孔喉结构的复杂性,岩心流道在三维中连通,而二维切片呈现局部不连通。
2025年9期/10.11817j.issn.1672-7207.2025.09.021/alternativeImage/D2807129-33AE-44ab-8A8B-5461675DA148-F003.jpg)
从图3可以看出:多孔介质中油流流动过程中呈现出主流道上速度大、非主流道上流速较低的现象;主流道中心速度最大,主流道壁面速度最小,且随入口速度增加,多孔介质中最大速度向出口端延伸,主流道壁面与流道中心呈现较大速度梯度。这是因为随着速度增加,颗粒在多孔介质壁面受到的阻力增大,导致速度梯度增加。
3.2 流线分布
0.004、0.010、0.015 m/s的流速分别代表了油藏开采中的低速区、中速区和高速区,其中1.2 s时流线分布如图4所示。
2025年9期/10.11817j.issn.1672-7207.2025.09.021/alternativeImage/D2807129-33AE-44ab-8A8B-5461675DA148-F004.jpg)
从图4可以看出:在低速区中,沥青质流动稳定、黏滞力占优势,主要在较大孔隙通道中流动,沥青质主要沉积在近井地带或狭窄孔喉处,层流导致沥青质沉积分布较均匀;在中速区,多孔介质中流动路径扩大,颗粒在部分微小孔隙中流动,沥青质沉积范围增加,在大孔隙中、入口处或喉道处堵塞;在高速区中,流体流速进一步增加,流体剪切力显著增大,流动路径更加复杂,流体主要在优势渗流通道中流动,高剪切力显著抑制沥青质沉积,此时,容易在优势渗流通道边缘处形成沉积。在低速区中,沥青质沉积伤害机制主要是孔隙喉道减小,渗透率下降。在中速区发生局部孔喉堵塞,渗透率各向异性加剧;在高速区中,发生剪切剥离,孔喉中发生迁移性堵塞,远端孔喉堵塞风险加剧。
3.3 沥青质颗粒沉积分布特征
图5所示为流速为0.004、0.006、0.008、0.010和0.015 m/s,沥青质颗粒直径为10~100 µm,模拟时间为1.2 s时,沥青质颗粒在多孔介质中沉积分布,其中,浅蓝色部分为多孔介质骨架,彩色部分为沥青质沉积。从图5可以看出:沥青质颗粒在多孔介质入口端和下壁面大量聚集,颗粒在向多孔介质深层运移过程中不连续沉积;随着流速增加,沥青质颗粒逐渐运移至出口端,但当速度增加至0.010 m/s时,沥青质颗粒在入口端聚集。对比图5(d)和5(e)可以发现:速度越大,沥青质颗粒更倾向于在入口端底部沉积,这也解释了注气等提高原油采收率工艺中注入井附近沥青质大量沉积的原因。小粒径沥青质颗粒可以随着原油流动而流出多孔介质,但沥青质吸附于多孔介质壁面后,有助于后续颗粒沉积,促进颗粒增长,堵塞孔喉[25],随着速度增加,小直径沥青质颗粒从出口段流出,入口端流场复杂,颗粒碰撞加剧,更易于沉积,在沥青质颗粒运移过程中,重力影响显著。
2025年9期/10.11817j.issn.1672-7207.2025.09.021/alternativeImage/D2807129-33AE-44ab-8A8B-5461675DA148-F005.jpg)
为了进一步验证重力对沥青质颗粒沉积的影响,在多孔介质入口端注入沥青质颗粒直径设置为10~100 µm,分析多孔介质壁面沉积沥青质颗粒直径分布,进而确定较多沉积颗粒直径。图6所示为多孔介质壁面沉积沥青质颗粒直径分布饼状图。从图6可以看出:多孔介质壁面沉积沥青质颗粒直径主要为40~100 µm,10~30 µm直径颗粒沉积较少,即大部分的小直径颗粒流出多孔介质。该结论与高晓东等[19]的结论一致,即沥青质颗粒直径增大会导致沉积程度显著增加。
2025年9期/10.11817j.issn.1672-7207.2025.09.021/alternativeImage/D2807129-33AE-44ab-8A8B-5461675DA148-F006.jpg)
4 沥青质颗粒沉积速率及孔渗伤害率影响因素分析
为研究流速、原油黏度及沥青质颗粒直径对沥青质沉积速率及孔渗伤害的影响,开展了多组数值模拟。首先,在沥青质颗粒粒径为10~100 μm条件下,设置流速为0.004、0.006、0.008、0.010和0.015 m/s,模拟其在多孔介质中的沉积行为与孔渗演化规律,结果见图7(a)、8(a)。其次,在相同粒径范围下,设置原油黏度为0.001 2、0.012 0、0.060 0、0.120 0和1.200 0 Pa·s,探讨原油黏度对沉积特征的影响,结果见图7(b)和8(b)。最后,在流速为0.010 m/s和原油黏度为0.001 2 Pa·s条件下,设置沥青质颗粒粒径为20、40、60、80和100 μm,模拟其在多孔介质中的运移沉积及孔渗伤害情况,结果如图7(c)、8(c)所示。
2025年9期/10.11817j.issn.1672-7207.2025.09.021/alternativeImage/D2807129-33AE-44ab-8A8B-5461675DA148-F007.jpg)
2025年9期/10.11817j.issn.1672-7207.2025.09.021/alternativeImage/D2807129-33AE-44ab-8A8B-5461675DA148-F008.jpg)
从图7(a)和8(a)可以看出:当流速从0.004 m/s增加至0.015 m/s时,沥青质沉积速率减小43.52%,孔隙度和渗透率伤害率分别减少32.71%和29.43%。这是因为随着原油流速增加,多孔介质壁面对流体的阻力增加,壁面剪切力增加,导致沥青质颗粒在孔隙壁面沉积减少,同时剥离孔隙壁面已沉积的部分沥青质颗粒[26]。在生产过程中,应注意控制生产速度,避免沥青质颗粒沉积。
从图7(b)和图8(b)可以看出:当原油黏度从0.001 2 Pa·s升高至1.200 0 Pa·s时,沥青质颗粒沉积速率由187.3×10-10 kg·s-1·m-2显著下降至2.817×10-10 kg·s-1·m-2。原油黏度对孔渗伤害存在明显的临界值,为0.120 0 Pa·s,当黏度低于该值时,孔隙度和渗透率伤害率随原油黏度增加显著降低;在黏度为0.120 0~1.200 0 Pa·s时,孔渗伤害率变化相对较小。这是因为原油黏度与原油中沥青质含量呈指数递减关系[27],原油黏度越低,原油携带的沥青质颗粒越少,沉积于多孔介质壁面的沥青质颗粒越多,导致更严重的孔渗伤害。
从图7(c)可以看出:当沥青质颗粒直径从 20 µm增加至100 µm时,沉积速率增加明显;当粒径为20~40 µm时,沉积速率增长平缓,当粒径超过40 µm后,沉积速率增长迅速。这是因为颗粒直径越大,颗粒受重力作用越显著,而重力是沥青质颗粒多孔介质中沉积的主导力。从图8(c)可以看出,40 µm为孔渗伤害的临界粒径,粒径小于40 µm的沥青质颗粒随着原油流出多孔介质,对孔喉堵塞影响较小;而当粒径在40~100 µm范围内时,大颗粒易在孔喉处堵塞并聚集,显著加剧孔隙度和渗透率损伤。
5 结论
1) 沥青质颗粒在多孔介质入口端和下壁面区域大量聚集,颗粒在向多孔介质深层运移过程中不连续沉积,多孔介质中部的颗粒沉积量低于壁面附近的颗粒沉积量。
2) 在流速一定的条件下,沥青质颗粒沉积速率及多孔介质孔隙度与渗透率伤害率随颗粒直径增大而升高,且存在粒径为40 µm的临界点。沥青质颗粒沉积主要集中在40~100 µm之间,粒径小于40 µm的颗粒沉积量较少,表明颗粒粒径越大,沉积越明显,储层伤害越严重。
3) 在原油黏度方面,孔渗伤害的临界点为0.12 Pa·s,当原油黏度小于该值时,孔隙度与渗透率伤害程度较大。随着流速增加,沥青质颗粒沉积速率及多孔介质孔渗伤害率显著下降。在实际生产中,应控制生产速度,以降低沥青质沉积引起的储层伤害。
陈舜, 董平川, 高晓东. 多孔介质沥青质颗粒沉积规律及其对储层伤害模拟[J]. 中南大学学报(自然科学版), 2025, 56(9): 3810-3819.
CHEN Shun, DONG Pingchuan, GAO Xiaodong. Asphaltene particle deposition law in porous media and simulation of reservoir damage[J]. Journal of Central South University(Science and Technology), 2025, 56(9): 3810-3819.
http://dx.doi.org/10.11817/j.issn.1672-7207.2025.09.021

