J.Cent.South Univ.(2025) 32: 1117-1140
_Xml/alternativeImage/3A840759-D217-427c-A0F4-219944402EA3-F001.jpg)
Graphic abstract:
1 Introduction
The integrity of hard rock pillars is essential for maintaining the stability of roof enclosures and ensuring the safety of underground constructions [1], including deep laboratories [2], defensive structures [3], and tunnels [4]. Particularly in quarries undergoing underground mining [5], these refuge pillars not only bear the weight of the overlying rock mass but also endure dynamic loading from mining activities and other variable loads. The failure of these pillars could lead to widespread collapses within the mine, resulting in significant casualties, economic, and property losses [6, 7]. Additionally, the proximity of pillars within chambers, coupled with the effects of excavation-induced disturbances, leads to stress concentration, exacerbating the risk of rock spalling and collapse [8]. This situation hinders the early detection of risks and the implementation of effective risk mitigation measures [9]. Given the heterogeneous nature of rock and the mechanical contexts that influence stress distribution longitudinally within the pillars, it is vital to investigate the mechanical responses of rock under the influence of unidirectional cyclic stresses. This study aims to enhance our understanding of these mechanisms, contributing to the development of more effective engineering solutions to mitigate the risks associated with underground mining operations.
The vertical stress exerted on the upper and lower ends of a rock column by the overlying rock layer, in conjunction with the presence of free surfaces, can be conceptualized as a uniaxial loading model [10]. This model is further subjected to dynamic repetitive perturbations, such as those caused by earthquakes [11], blasting [12], and other dynamic disturbances common in extractive industries. This phenomenon has led many scholars to describe the resulting damage pattern as “rock fatigue” [13, 14], noting its mechanistic parallels to the creep effect [15]. This similarity has been encapsulated in models that represent the cumulative damage over time under sustained stress. In prior research within the field of rock mechanics, various cyclic loading tests [16] and numerical simulations [17] were conducted to explore these phenomena. These studies have meticulously categorized and analyzed the results, finding that factors such as stress magnitude, waveform characteristics, loading and unloading sequences, and the rate of fatigue significantly influence the observed outcomes [18-21]. From these analyses, empirical formulas have been developed and refined to accurately predict the damage threshold of rock materials.
The impact of loading frequency on the cyclic loading behavior of rocks has been a subject of investigation in laboratory settings. However, due to variances in rock types and experimental methodologies, the findings have often been inconsistent or contradictory, underscoring the complexity of frequency effects on rock mechanics that remains inadequately understood. Research indicates that material-specific responses to frequency changes are diverse: concrete [22] and diamictite [23] exhibit an increased fatigue life with higher loading frequencies, whereas the compressive strength of sandstone [24] diminishes as loading frequency rises. Conversely, the strength of rock salt [25] appears minimally influenced by variations in loading frequency. In studies focusing on a single material type, such as common sandstone, the influence of frequency on mechanical properties has yielded conflicting results [26]. For instance, investigations into the modulus of elasticity of sandstone under uniaxial cyclic loading conditions have reported opposite effects of frequency. Further research, examining the mechanical behavior of sandstone across three distinct loading frequency regimes, revealed that increases in loading frequency could both enhance and reduce the stiffness of sandstone [27], depending on the specific frequency mode employed. These contradictory findings highlight the nuanced and complex nature of rock behavior under cyclic loading, suggesting that the relationship between loading frequency and rock mechanical characteristics cannot be generalized across different materials or even within variations of the same material under different conditions. This complexity underscores the need for a more thorough and nuanced understanding of the frequency effects on rock mechanics to develop predictive models and engineering practices that accurately reflect the behavior of rocks under varying load frequencies.
After reviewing previous research on the impact of loading frequency on the mechanical properties of rocks, it is revealed that the majority of experiments were conducted at a single frequency for each specimen, without repeating the tests on different specimens under identical conditions. This approach has led to results that are often influenced by the inherent variability within rock specimens, such as differences in porosity [28, 29], grain distribution [30, 31], and the pre-existed microcracks [32], culminating in inconsistent and sometimes contradictory conclusions. Furthermore, when comparing published research outcomes, the disparity in engineering contexts has resulted in tests being designed either with constant amplitude or with an increasing load approach, lacking a comparative analysis of potential behavioral patterns of the same material under both loading conditions.
To address these limitations, this study introduces a novel experimental design that employs both constant amplitude and increasing loading patterns within a multi-step variable frequency loading regime, aiming to mitigate the effects of rock variability on experimental outcomes. Through this methodology, the investigation assesses mechanical properties such as strain, stiffness characteristics, and energy dissipation across different frequencies. The findings of this research contribute significantly to our understanding of the fatigue characteristics of hard rocks under various cyclic frequencies. This enhanced knowledge base is crucial for the stabilization and preventive maintenance of mine pillars, offering valuable insights for the development of more effective engineering strategies during underground mining operations.
2 Materials and methods
2.1 Material characterization
The research project is contextualized within the Jinchanghe underground lead-zinc mine, located in Baoshan City, Yunnan Province, China. The test material for this study was sourced from vertical drill holes that were bored downward into the fill material of adits from the roofs of the rock-cut chambers within the quarry. This mine operates on a spaced mining layout, wherein ore extraction is primarily achieved through the use of blasting, employing large diameter deep holes aimed at facilitating lateral chipping of the ore body. This setting provides a unique opportunity to study the mechanical properties and behaviors of rocks subjected to cyclic loading in an active mining environment, thereby offering insights that are directly applicable to the challenges and conditions encountered in underground lead-zinc mining operations.
The mechanical properties of rocks are significantly influenced by natural factors [33, 34], such as mineral composition and structure, as well as experimental variables [35, 36], including enclosing pressure and loading rate. It is imperative to conduct microscopic analyses of the material prior to experimentation.
Examination with a binocular polarizing microscope revealed that skarn has a granular-columnar metamorphic crystal structure. This structure comprises primarily needle-shaped columnar actinolite, which constitutes 90%-95% of the sample with a particle size range of 0.1-0.5 mm; semi-autogenous granular garnet, accounting for 5%-10% with a particle size of 0.1-0.2 mm; and semi-autogenous needle-shaped columnar diopside, representing 1%-5% with a particle size of 0.2- 0.5 mm. Quartz grains are interspersed among the particles, closely interconnected, displaying an arrangement pattern as depicted in Figure 1(a). Further analytical results from X-ray powder diffraction (XRD), illustrated in Figure 1(b), indicate that the skarn’s primary composition includes ilvaite (16.9%), actinolite (4.6%), and calcite (40.5%). This detailed characterization of skarn’s mineralogical and structural composition is essential for understanding its behavior under various mechanical conditions, laying the groundwork for the subsequent experimental investigations.
_Xml/alternativeImage/3A840759-D217-427c-A0F4-219944402EA3-F002.jpg)
2.2 Sample preparation
Following the drilling operations, the borehole was meticulously scanned in three dimensions using drill television (TV) technology. This detailed scanning process revealed a depth of 24 m for the hole. Figures 2(a)-(f) present a segmented view of the drill hole, extending from its opening to the base, wherein the progression of rock fracturing at various depths can be distinctly observed. Specifically, Figures 2(a)-(c) highlight a region characterized by more fragmented marble, while Figure 2(d) illustrates a clear demarcation: the red dividing line delineates marl on the left from skarn on the right, showcasing a stark contrast between the two. Figures 2(e) and (f) further focus on the skarn sections. Overall, the skarn lithology exhibited greater integrity, with the rock quality designation (RQD) recorded as 0 in the marble zone and 76.38% in the skarn area. To minimize the impact of varying rock lithologies on the research, cores from areas demonstrating fewer cracks and superior structural integrity were specifically selected for testing. This selection strategy ensures a more consistent and reliable analysis of the rock’s mechanical properties under specific loading paths.
_Xml/alternativeImage/3A840759-D217-427c-A0F4-219944402EA3-F003.jpg)
The drilled cores were meticulously processed into 60 standard specimens at a dedicated facility, adhering to the specifications set by the International Society for Rock Mechanics (ISRM). This preparatory phase involved cutting and profiling each specimen to ensure uniformity and compliance with standard dimensions. To mitigate the potential impact of inherent flaws on the experimental outcomes, specimens exhibiting macroscopic laminations and visible cracks were excluded from the selection. Each chosen specimen was fashioned to a height of 100 mm and a diameter of 50 mm, maintaining a height-to-diameter ratio of 2, a critical measure to facilitate accurate testing.
To prevent stress concentration at the specimen ends during loading—a factor that could skew test results, the non-parallelism between the top and bottom surfaces of each specimen was meticulously controlled to be less than 0.02 mm. Prior to the mechanical testing, the basic physical parameters of each rock specimen were rigorously assessed, with detailed attributes cataloged in Table 1. Figure 2(g) illustrates the observed relationship between axial and radial longitudinal wave velocities in correlation with the sample density. Notably, the axial longitudinal wave velocity surpassed that of the radial velocity. This discrepancy is primarily attributed to the challenges in achieving full coupling between the acoustic equipment probe and the curved surface of the rock specimens during radial wave velocity measurement. Despite this measurement anomaly, the trend effectively underscores the relationship between rock density and longitudinal wave velocity, providing valuable insights into the specimens’ structural characteristics ahead of the mechanical testing phase.
| No. | Mass/g | Height/m | Diameter/ mm | Density/ (kg·m-3) | Axial wave velocity/(m·s-3) | Radial wave velocity/(m·s-3) | Loading programme |
|---|---|---|---|---|---|---|---|
| X10 | 675.1 | 100.29 | 49.82 | 0.45 | 4811 | 3906 | Monotony |
| X15 | 675.6 | 99.63 | 50.09 | 0.44 | 4630 | 3676 | Monotony |
| X49 | 676.0 | 100.15 | 50.19 | 0.41 | 4690 | 3788 | Monotony |
| X43 | 718.9 | 100.30 | 50.23 | 0.62 | 4314 | 3472 | Constant amplitude cycle |
| X48 | 635.9 | 100.15 | 50.19 | 0.41 | 4690 | 3788 | Constant amplitude cycle |
| X53 | 645.6 | 99.78 | 50.03 | 0.29 | 4606 | 3472 | Constant amplitude cycle |
| X54 | 658.8 | 100.57 | 49.58 | 0.39 | 4438 | 3205 | Increase cyclic |
2.3 Experimental set-up
In this work, a servo-controlled rock mechanics apparatus YAW-2000 with its host stiffness exceeding 10 GN/m is used to conducted the cyclic loading tests. This feature renders it suitable for conducting uniaxial and fatigue testing on high-strength materials such as granite and skarn. The machine’s capability to produce accurate and smooth stress-strain curves is further enhanced by its maximum load capacity of 2000 kN. The control interface is designed and operated by the German DOLI electronic system, which facilitates running the test path. This sophisticated device offers versatility in control modes, including load, strain, or displacement, alongside the ability to switch dynamically between multiple manual control modes. The data acquisition frequency can reach up to 1000 Hz, ensuring high-resolution capture of test results.
Axial and radial deformations during tests are measured using the YYSJ50 model extensometer. To mitigate the risk of rock burst under high-stress conditions, which could potentially eject the rock damage extensometer, the specimens are encased in a heat-shrinkable film. While this film slightly enhances the strength of the rock, it does not adversely affect the comparability of test results. The consistent application of variables across tests ensures that this enhancement does not skew the analytical conclusions derived from the experimental data. This methodological rigor supports the laboratory’s objective of providing reliable, accurate insights into the mechanical properties of rock materials under stress.
2.4 Testing scheme
2.4.1 Uniaxial compressive strength test
Before initiating cyclic loading experiments, the uniaxial compressive strength of the rock specimens was determined to establish a baseline for the mechanical properties of the current batch. Three specimens with uniform density, labelled with X10, X45, and X49, were selected for this preliminary testing, as depicted in Figure 3(a). These specimens were deemed representative of the batch’s overall mechanical behavior, and their compressive strength outcomes were integral to the design of subsequent cyclic loading stage (CLS).
_Xml/alternativeImage/3A840759-D217-427c-A0F4-219944402EA3-F004.jpg)
The uniaxial compressive strength tests were conducted at a stress-controlled loading rate of 0.2 kN/s. The peak compressive strengths for the specimens were 180.86 MPa for X10, 155.95 MPa for X45, and 167.06 MPa for X49, respectively. The average peak strength for these specimens was calculated as 168 MPa. These measurements provided crucial data, allowing for the precise design of test parameters for the subsequent cyclic loading to suit the material’s characteristics, ensuring the relevance and accuracy of the experimental results derived from the cyclic loading trials.
To assess the impact of loading frequency on the mechanical properties of skarn rock, an experimental series was devised, applying cyclic loading to four specimens across varying amplitude intervals. The design of the stepping frequency pattern is depicted in Figure 3(b). The testing protocol commenced with the 1st cycle subjected to 5 low-speed cycles at a loading rate of 2 kN/s, equivalent to a frequency of 0.006 Hz. This was followed by the 2nd cycle, which underwent 5 medium-speed cycles at a loading rate of 4 kN/s (f=0.012 Hz), and the 3rd cycle, which was exposed to 5 high-speed cycles at a rate of 6 kN/s (f=0.018 Hz). These cycles were grouped in sets of three, totalling 15 cycles per set.
2.4.2 Cyclic loading test
Prior to testing, the rock samples were secured in place, and displacement control was utilized to establish initial contact between the press indenter and the rock samples, setting a contact force of 2 kN. The initial loading phase proceeded at a rate of 0.2 kN/s, reaching the lower limit of the predetermined amplitude range. Subsequently, loading continued in a step frequency mode within the designed amplitude intervals, adhering to either constant amplitude or increasing amplitude cycle patterns. Comprehensive details regarding the four loading test scenarios, including cyclic intervals, peak stress levels, and cycle counts, are systematically presented in Figure 4.
_Xml/alternativeImage/3A840759-D217-427c-A0F4-219944402EA3-F005.jpg)
Based on the uniaxial compressive strength results, a constant amplitude interval was designed with the expectation that the specimens would incur damage within a few cycle groups during this phase of testing. Contrary to expectations, the rocks did not exhibit damage during the cyclic loading test, prompting a consideration for test efficiency and the design of seven cycle groups. With the specimens remaining intact and stable beyond the anticipated cycle groups, a third stage of testing was implemented. This stage involved monotonous loading at a rate of 0.2 kN/s until the failure of the rock specimens.
The methodology applied reflects a cautious approach to determining the endurance limit of the rock specimens under cyclic loading conditions. The decision to extend the testing to seven cycle groups and subsequently apply a monotonous loading regime underscores the adaptability of the testing protocol to observed specimen behavior. This approach ensures a comprehensive evaluation of the specimen’s mechanical properties, capturing its response to prolonged stress application.
3 Testing results
3.1 Deformation characteristics
In the context of cyclic loading, the strain corresponding to the extreme stress values (either maximum or minimum within a single cycle) is pivotal for defining the damage index of rock materials [37, 38]. Furthermore, the evolution of axial residual strain offers a predictive insight into the degree of damage sustained by rock materials [39, 40]. This research delves into the analysis of the axial peak strain’s variation, meticulously documenting the relationship between peak strain and the cycle count across all cycles. The findings from this analysis are visually represented through red dots in Figure 5, elucidating the strain changes over successive cycles.
_Xml/alternativeImage/3A840759-D217-427c-A0F4-219944402EA3-F006.jpg)
The study introduces the concept of the strain growth rate at the same rate (GRSS), calculated as η=(εn-ε1)/n, where εn represents the strain at the nth cycle and ε1 is the initial strain, both measured during the CLS at a consistent rate. This formula aids in understanding how strain evolves throughout the cyclic loading process. In order to reveal the strain evolution in relation to the maximum (upper amplitude) and the minimum (lower amplitude) stress levels, GRSS is bifurcated into two distinct metrics: the growth rate of peak strain (GRPSS) and the growth rate of residual strain (GRRSS). These metrics are statistically derived from test data, with GRPSS focusing on the strain alterations corresponding to the maximum stress value for a given loading rate gradient across defined cycle groups (e.g., stages 1-5, 6-10, 11-15, etc.), as illustrated by blue boxes and arrows in Figure 5(c). Conversely, GRRSS assesses the total strain change related to the minimum stress value within the same loading rate gradient. The distinct representation of these growth rates, marked by a black bar in the figure, allows for a comprehensive understanding of strain dynamics under cyclic loading conditions, providing invaluable insights into the mechanical behavior and damage assessment of rock materials.
Figures 5(a)-(c) showcase the relationship between axial peak strain and the number of cycles, highlighting the strain growth rate for cycles at a constant rate, represented as black bar graphs. Across all four graphs, there is a discernible trend of axial peak strain increment with the continuation of the CLS. Specifically, in Figure 5(a), red arrows denote the trend of the GRPSS across three different rates within a cycle group (e.g., cycles 0-15), generally showing a sequential decrease with the escalation of loading rates (from 2 kN/s to 4 kN/s and then to 6 kN/s). This trend persists across subsequent cycle groups (e.g., cycles 16-30, 31-45, etc.), indicative of rock stiffness hardening.
Nonetheless, deviations from this pattern are observed in various instances, such as in cycle groups 61-75 in Figure 5(a), 31-45 in Figure 5(b), and 16-30 and 46-60 in Figure 5(c), as well as in the initial 1-15 cycles in Figure 5(d). The initial 5 cycles exhibit the most rapid increase in axial peak strain, with a light green curve in these figures showing a general downtrend in GRPSS at a 2 kN/s loading rate across different cycle groups.
This strain behavior, exemplified by specimen X54, is corroborated by the constant amplitude loading tests of specimens X48 and X53. The pattern of GRPSS across cycle groups in Figure 5(d) aligns with that of the other three specimens, predominantly displaying a stepwise decline, except for an initial decrease followed by an increase in the 1-15 cycle group. Conversely, the GRPSS at a 2 kN/s loading rate in each cycle group exhibits an upward trend with an increasing number of cycles, contrasting with the aforementioned specimens. This divergence is attributed to the incremental upper limit stress at each loading level inducing larger strains, particularly evident in the transition from the 5th level cyclic group, where the strain growth rate significantly jumps from 0.49 to 1.50. Remarkably, the specimens endured the 15 cycles of the group without incurring damage, which occurred as the stress level approached the next level (without reaching the upper limit amplitude of the next level), highlighting the complex interplay between loading conditions and rock material response.
The previous research focused on constant amplitude loading tests conducted at uniform rates, and the observed trend was a decreasing strain growth rate with an increasing number of cycles, marking a clear pattern of strain behavior under consistent loading conditions [41, 42]. However, the present study introduces a nuanced perspective by exploring the GRPSS across various loading rates and their relation to the number of cycles. The findings reveal that changes in loading rate significantly influence strain growth, a phenomenon not limited to GRPSS alone but also evident in the relationship between the GRRSS and cycle count, as detailed in Figure 6.
_Xml/alternativeImage/3A840759-D217-427c-A0F4-219944402EA3-F007.jpg)
This study’s insights suggest that the loading rate’s impact on strain growth rates, both GRPSS and GRRSS does not follow a uniform pattern across different cycle groups. Consequently, establishing a quantitative relationship between the loading rate and strain growth rates proves challenging based on the current data set. The study highlights the necessity for further research involving differential loading rates to uncover the intrinsic link between these variables more definitively.
Nevertheless, an interesting pattern emerges from the constant amplitude loading tests illustrated in Figures 5 and 6. Specifically, when the loading rate is reduced from a high speed of 6 kN/s to a low speed of 2 kN/s, the slower loading rate is associated with a higher strain growth rate. This suggests that lower loading rates induce more significant strain in the rock specimens, a relationship underscored by the blue arrow in Figure 5(b). Such findings underscore the complex dynamics of rock deformation under cyclic loading, emphasizing the critical role of loading rate in modulating the mechanical response of rock materials.
3.2 Energy characteristics
The process of material deformation and destruction fundamentally hinges on the dynamics of energy work. In the realm of geotechnical engineering, particularly during rock drilling, there is a conversion of mechanical or chemical energy into forces sufficient to fracture rock [43], encompassing phases of energy input, accumulation, and dissipation. This process mirrors the rock mechanics tests conducted in laboratories, where the work performed by the testing machine (input energy) parallels the energy released through specimen deformation and fracture (dissipation of energy).
Given the complexity and diversity of energy conversions occurring during these processes ranging from heat release [44, 45] and kinetic energy from stone ejection [46] to acoustic emission energy [47], a simplified approach is often necessary for quantitative analysis. This simplification is crucial for constructing a workable energy equation, under the assumption that there is no energy exchange between the mechanical work being done and the external environment. This premise posits that the force applied by the testing machine upon the rock specimen operates within a closed-loop system.
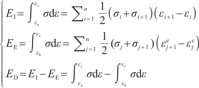
Within this research framework, the strain energy density under cyclic loading is categorized into three distinct segments: input energy, elastic energy, and dissipation energy. Figure 7 delineates the interrelationship and the principles underpinning the calculation of these energy forms. As depicted in Figure 7(b), input energy is represented by the total area under the stress-strain curve from the onset of loading in a single cycle to the peak stress and strain of that cycle. This quantification of energy is essentially the integral of the stress-strain curve over the cycle, calculated by aggregating the areas of trapezoids formed under the curve, using the formula (σi+1+σi)(εi+1-εi)/2, where σi and εi represent consecutive stress and strain points on the curve, respectively.
_Xml/alternativeImage/3A840759-D217-427c-A0F4-219944402EA3-F008.jpg)
Elastic energy (EE), on the other hand, is the energy recovered by the rock specimen during the unloading phase of the cyclic loading process, as illustrated in Figure 7(c). The discrepancy in energy between the loading and unloading phases gives rise to dissipation energy (ED), which is considered the energy lost due to internal damage, heat generation, and other irrecoverable processes within the rock specimen. The calculation of dissipation energy involves determining the difference between the input energy and the elastic energy, effectively capturing the energy that is not recuperated during the unloading stage.
_Xml/alternativeImage/3A840759-D217-427c-A0F4-219944402EA3-M001.jpg)
_Xml/alternativeImage/3A840759-D217-427c-A0F4-219944402EA3-M002.jpg)
where εa, εb, εc represent the strain at points a, b , c in Figure 7(c), respectively.
In the exploration of rock mechanical properties, energy metrics serve as crucial indicators for assessing rock damage [48]. Specifically, the density of dissipated energy tends to escalate with the increment of cyclic stress, underscoring the significance of energy considerations in understanding rock fatigue and mechanical behaviours [49]. A detailed examination of the impact of loading frequency on the energy properties of rocks is essential for a comprehensive understanding of their fatigue characteristics.
Figure 8 graphically represents the interplay between input energy, elastic energy, and dissipated energy across four specimens over successive cycles. The distribution of energies is illustrated with yellowish bars for input energy, light blue bars for elastic energy, and red spherical dots representing dissipated energy. An observation from Figure 8(a) reveals that the input energy for the initial cycle surpasses that of subsequent cycles. This pattern, consistent across specimens subjected to constant amplitude loading, suggests that rock pores and cracks are not fully compacted at loading frequencies below 50% of peak stress (σp), resulting in greater deformation in initial cycles compared to later ones, before the rock structure has been compacted through pre-expansion cycles leading up to damage.
_Xml/alternativeImage/3A840759-D217-427c-A0F4-219944402EA3-F009.jpg)
A notable trend is the stepwise decrease in input energy, particularly evident in the first set of energies at a 2 kN/s rate, with subsequent sets showing a diminishing rate of decrease across different loading rates, as highlighted by light blue stepped markings in Figure 8(a). This stepwise reduction in energy is mirrored by a similar trend in dissipated energy, indicating that increased unloading rates facilitate a quicker recovery of elastic deformation, thereby incrementally elevating the elastic energy. Figure 8(d) reinforces the observation that the first input energy of each cycle group is invariably the highest, aligning with the phenomena and rationale identified in the earlier specimens. However, a synchronous increase across the three energy types within each cycle group is observed, attributable to the expansion of the work stress and strain intervals in successive cycle groups.
The influence of loading rate on energy dynamics within rock specimens is distinctly observable, as demonstrated in Figure 8. Within the same cyclic group, an increase in loading rate results in a reduction of input energy, a corresponding rise in elastic energy, and a decrease in dissipated energy upon final evaluation. Across different cyclic groups subjected to constant amplitude and increasing loading conditions, the input energy at a consistent rate exhibits a stepwise increase, while the elastic energy for specimen X48 shows fluctuations across cycles. Conversely, the elastic energies for the remaining three tests demonstrate an upward trend with the progression of cycle numbers. A comparative analysis of the input energy versus cycle number relationship for the four specimens indicates that specimen X43 experienced damage upon transitioning to the subsequent cycle set after completing five full cycle sets, reaching a pre-damage peak input energy of 15.6 MJ/m3. In contrast, the peak input energies for the remaining specimens, within the constant-amplitude cyclic loading phase (excluding the initial cycle), were recorded as 1.81 MJ/m3 for X54, 11.02 MJ/m3 for X48, and 1.65 MJ/m3 for X53, none of which approached the peak input energy observed in specimen X43 prior to damage.
This analysis underscores that, in the absence of loading rate effects, the three forms of energy (input, elastic, and dissipated) would exhibit a consistent trend of variation in relation to the number of cycles. However, the incorporation of three distinct loading rates introduces a nuanced stepwise variation in energy metrics. Notably, lower loading rates are associated with higher dissipation energy compared to higher rates, aligning with the observed phenomena of rockbursts. Rockbursts, characterized by the sudden release of energy leading to violent failures within rock masses, are more likely when the main frequency of microseismic events is lower, correlating with the release of higher energies. This relationship between loading rates and energy dynamics provides insightful correlations to real-world geomechanical phenomena, offering valuable perspectives on the mechanical behavior of rocks under different loading conditions.
Dissipated energy serves as a pivotal metric for evaluating rock damage, maintaining a specific relationship with input energy. This connection is crucial for understanding the energy dynamics within rock specimens subjected to cyclic loading and unloading processes. To offer a more nuanced perspective on energy distribution during these phases, the dissipation energy ratio (DER) emerges as a valuable index. DER quantifies the proportion of energy lost due to damage and other non-recoverable processes, expressed as the ratio of dissipated energy to input energy for each cycle.
To elucidate the impact of loading rate on DER, an average DER value for each cyclic group at consistent rates was calculated. This approach allows for a direct comparison of how varying loading rates influence the energy efficiency of rock specimens under cyclic stress. The aggregated DER values across different loading rates provide insights into the energy absorption and dissipation patterns that underpin rock damage mechanisms. The visualization of this relationship in Figure 9 facilitates a deeper understanding how loading rates affect the distribution of dissipated versus input energy. By examining the average DER across different cyclic groups and loading rates, researchers can discern trends and patterns that shed light on the resilience and fatigue characteristics of rock materials.
_Xml/alternativeImage/3A840759-D217-427c-A0F4-219944402EA3-F010.jpg)
The DER of the four specimens depicted in Figure 9 exhibits a wave-like variation as the cycle number increases, highlighted by trends such as the green curve. Initially, for each specimen, the DER at a 2 kN/s loading rate in the first cyclic group shows a pattern of first decreasing and then increasing. Notably, a transition in loading rate from low to high leads to a decrease in DER, suggesting that lower rates are associated with higher energy dissipation relative to the energy input.
In the context of constant amplitude loading, the initial DER at 2 kN/s and the DERs in the first group of cycles at all three tested rates demonstrate notable differences from subsequent cycles. Therefore, in this study, only data from later cycles were used for curve fitting to establish a relationship between DER and cycle number, excluding the initial anomalous values. The fitting equations, represented in various colors in Figure 9, illustrate the correlation between DER and cycle number across different rates, with a high degree of fit (R2) indicating a robust correlation.
The fitting results reveal divergent trends: while the DER of the X54 specimen shows a linear decrease with increasing cycle number at the same rate, the other three specimens exhibit a linear increase in DER. This suggests an increasing trend of energy dissipation relative to input energy with more cycles, aligning with the observations made from analyzing the relationship between dissipated energy and cycle number in isolation. Such findings underscore the nuanced behavior of rock specimens under cyclic loading, where energy dissipation mechanisms become more pronounced with prolonged stress application. This energy dissipation behavior, captured through DER analysis, provides insightful reflections on the fatigue damage accumulation in rocks, enriching our understanding of rock mechanics and the critical role of loading rate in influencing rock durability and failure processes.
3.3 Phase shift characteristics
In the field of physics, particularly when studying analogue circuit frequencies, it has been observed that waveforms at different frequencies exhibit unique characteristics. When two waveforms of differing frequencies interact within a circuit, temporal and signal misalignments occur. In academic circles, the difference in phase between the input and output sinusoidal waveforms is referred to as a phase shift [50]. This phenomenon, illustrated in Figure 10(a), highlights the complexity and precision required in analyzing waveform behaviors across varying frequencies.
_Xml/alternativeImage/3A840759-D217-427c-A0F4-219944402EA3-F011.jpg)
Extending this concept to the study of rock fatigue, particularly in the context of stress and strain over time, a similar phenomenon is observed. It is noted that the timing of peak or minimum stress does not always coincide with the corresponding extremities in strain values. Instead, there are three distinct scenarios that can be identified: 1) phase advance, where strain reaches its extremity before stress; 2) stress-strain synchronisation, where stress and strain extremities are simultaneous; and 3) phase lag, where strain reaches its extremity after the peak or minimum stress has been encountered. The relationships among these scenarios, depicted in Figure 10(b), offer a nuanced understanding of the stress-strain dynamics within rock materials under cyclic loading conditions.
The categorization into phase advance, synchronisation, and phase lag provides a framework for analyzing the temporal relationship between stress and strain, aiding in the interpretation of rock behavior under fatigue. This analogy between waveforms in physics and stress-strain cycles in rock mechanics underscores the interdisciplinary nature of phase shift analysis, offering insights into material deformation and failure mechanisms from a new perspective.
To effectively analyze phase shift changes between stress and strain from mechanical testing machine data, a structured categorization approach is essential due to the indirect nature of such statistics. This study narrows its focus to axial stress-strain relationships, defining three key types of phase shift timings: phase advance (where strain peaks precede stress) marked as positive, phase lag (where stress peaks precede strain) marked as negative, and synchronization (where strain and stress peaks coincide) marked as zero.
With a data acquisition frequency of 10 Hz, changes in phase shift timing are quantified in increments of 0.1 s. This resolution allows for a detailed temporal analysis of the stress-strain relationship during cyclic loading. For this investigation, data from four specimens were statistically examined, establishing 0.8 s as the maximum value for both advance and lag times. The study involves counting instances of phase lag at intervals of -0.8 s to -0.1 s and phase advance at intervals of 0.1 s to 0.8 s, in addition to instances of synchronization (0 s).
The ultimate goal is to calculate the ratio of occurrences for each of the 17 specified time intervals against the total number of cycles across all loops. This ratio provides a comprehensive perspective on the distribution of phase shifts within the tested specimens, capturing the prevalence of phase advances, lags, and synchronizations. Such detailed statistical analysis is crucial for deciphering the mechanical behavior and deformation characteristics of rock materials under cyclic loading, contributing valuable insights into the dynamics of stress and strain in geological engineering applications.
The investigation of phase shift phenomena in rock fatigue loading tests is a well-established practice, offering insights into the temporal dynamics between stress and strain under varying conditions. Notably, studies involving coal and sandstone [51] subjected to increased cyclic loading have demonstrated that the lag time within a single cycle tends to extend as the stress amplitude escalates, typically reaching its peak just before the onset of material damage.
To delve deeper into the influence of loading rate on phase shift amplitude, an analysis was conducted focusing on the probability distribution of phase shifts for each specimen at different loading rates. The results, illustrated in Figure 11, reveal distinct probability distributions across the tested loading rates. The grey shaded area represents the probability distribution at a loading rate of 2 kN/s, standing out from the distributions observed at the 4 and 6 kN/s rates across all four specimens. Notably, the peak distribution probability at the 2 kN/s rate is consistently lower compared to those at higher rates.
_Xml/alternativeImage/3A840759-D217-427c-A0F4-219944402EA3-F012.jpg)
The probability distributions for the 4 and 6 kN/s loading rates exhibit less variation between them, suggesting a more consistent phase shift behaviour at these higher rates. Specifically, Figures 11(a) and (d) show identical distribution probabilities for these rates, with the highest phase shift values recorded at 0.3 (73.33%) and 0.1 (44%), respectively. Similarly, the distributions in Figures 11(b) and (c) show a high degree of consistency, indicating a robust pattern across different specimens and loading rates.
Notably, under lower-speed cyclic loading conditions, Figures 11(c) and (d) highlight a significant occurrence of synchronization probabilities, suggesting that lower loading rates may facilitate a closer temporal alignment between stress and strain peaks. This observation points to the complex interplay between loading rate and phase shift dynamics, emphasizing the role of loading velocity in modulating the mechanical response of rock materials under cyclic stress conditions.
To gain a comprehensive understanding of the distribution probabilities across the cycling phase, an analysis involving the aggregation of data from individual specimens was conducted. This analysis aimed to delineate both the distribution probabilities and cumulative distribution probabilities of phase shifts for the four specimens, with findings illustrated in Figure 12. Specifically, Figure 12(a) presents the integration of areas under the probability distribution curves for each specimen, yielding values of 0.1508 for X54, 0.1734 for X48, 0.2370 for X53, and 0.2401 for X43. These values correlate with cyclic amplitude intervals set at varying percentages of peak stress (σp), namely 50%σp to 100%σp, 60%σp to 110%σp, 70%σp to 120%σp, and 10%σp to 85%σp, respectively.
_Xml/alternativeImage/3A840759-D217-427c-A0F4-219944402EA3-F013.jpg)
This comparative analysis unveils a noteworthy trend: an increase in the amplitude interval within the constant amplitude cycle is associated with a reduction in the integral area of the probability density distribution. This observation implies that lower amplitude intervals yield larger phase shift values corresponding to the peak probability distribution density. Additionally, in the context of cumulative distribution probability, it was observed that lower amplitude intervals lead to a more rapid accumulation of probability distribution, reaching a total of 1 earlier in the analysis.
The overarching conclusion from this analysis is that both the loading rate and the amplitude of the cyclic interval exert a significant influence on the phase shift distribution. This finding underscores the intricate interplay between loading parameters and the temporal dynamics of stress and strain, shedding light on the underlying mechanisms of rock material response under cyclic loading conditions.
3.4 Fracture mechanism influenced by loading rate
Griffith’s experimental studies on glass marked a foundational moment in the development of fracture mechanics, revealing that the presence of defects, such as cracks, within a material significantly reduces its actual strength compared to its theoretical strength. This insight laid the groundwork for understanding the behavior of brittle materials under stress, introducing the critical concept of fracture mechanics that has since been applied across various materials, including rocks.
Rocks, inherently brittle and comprised of one or more mineral assemblies, contain numerous microscale cracks and defects due to their geological formation processes. These imperfections play a pivotal role in defining the rock’s damage modes, which are influenced by a combination of mechanical loading conditions, the composition of microstructure particles, and the size of inherent cracks. It has been observed that rocks subjected to monotonic (single, continuous) loading conditions exhibit simpler damage modes compared to those experienced under cyclic loading and unloading conditions. Cyclic loading, characterized by repeated application and removal of stress, tends to induce more complex fracture patterns, leading to increased fragmentation and pulverization of rock grains around crack extensions [52, 53]. This phenomenon highlights the significant impact of loading conditions on the integrity and structural behavior of rock materials, underscoring the importance of considering cyclic stress effects in the design and analysis of structures involving rock materials, such as tunnels, foundations, and slopes in rock engineering projects.
Figure 13 illustrates the damage patterns observed in skarn specimens following testing, with Figures 13(a)-(c) showcasing the varied responses to uniaxial monotonic loading. The primary mode of damage under such conditions is characterized by the presence of vertical, through tensile cracks that span the entire height of the specimen. This pattern of damage is particularly pronounced in the specimen labeled X10, which displays five completely penetrating vertical cracks, alongside additional non-penetrating cracks. In specimen X15, a distinct through main crack is observed, accompanied by a shear crack that intersects with this main crack. Additionally, a significant concentration of smaller cracks is evident on the left side of this specimen, indicating localized areas of stress concentration and material failure. Specimen X21 also exhibits a through main crack, alongside a conical crack that forms at a shear angle of 45° from the upper left corner of the specimen.
_Xml/alternativeImage/3A840759-D217-427c-A0F4-219944402EA3-F014.jpg)
These observations highlight the critical influence of internal microstructural characteristics and loading conditions on the fracture behavior of rock specimens. The through tensile cracks suggest a predominance of tensile failure mechanisms under monotonic loading, while the presence of shear cracks and conical fractures indicates the complex interplay between tensile and shear stresses within the material. The variability in damage patterns across different specimens underscores the heterogeneous nature of rock materials and the role of pre-existing flaws and microstructural features in guiding crack propagation and failure modes.
Figures 13(d)-(g) depict the damage patterns observed in skarn specimens subjected to cyclic loading, contrasting distinctly with the patterns from monotonic loading. The primary cracks under cyclic loading exhibit a diagonal shear orientation, with the shear surface forming an angle of approximately 63° with the horizontal direction. As the amplitude of the cyclic intervals increases, a notable trend is observed: the width of the primary cracks in the specimens becomes progressively narrower, and the occurrence of secondary cracks diminishes. For instance, specimen X53 is characterized by a solitary shear primary crack, highlighting the influence of cyclic loading amplitude on crack development.
Compared to monotonic loading conditions, cyclic loading results in a greater number of pulverized particles on the fracture surfaces. This suggests that cyclic loading promotes the localization of tensile stresses around grain boundaries or pre-existing defects within the rock. Such stress concentrations facilitate the propagation of tensile cracks that extend parallel to the axis of loading, indicating a complex interaction between tensile and shear stresses under cyclic conditions.
The test material, skarn, consists predominantly of minerals such as staurolite, actinolite, and calcite, with stiffness relations of staurolite > actinolite > calcite. Staurolite and actinolite, being the harder minerals, constitute 60% of the primary mineral content and play a significant role in inhibiting the growth of microcracks. Under monotonic loading, intergranular tension leads to the expansion of vertical cracks, while cyclic loading induces grain misalignment and displacement across minerals of varying stiffness. This misalignment results in stress concentrations at the edges of mineral grains, particularly along the rock’s diagonal, where repeated friction causes cracks to coalesce into macroscopic shear seams, culminating in rock damage.
This analysis elucidates the intricate mechanisms of rock fracture under different loading regimes, revealing how mineral composition and loading dynamics interact to influence crack propagation and rock failure. Understanding these mechanisms is crucial for predicting rock behavior under various stress conditions and has implications for designing and assessing the stability of structures built on or within rock masses.
4 Discussion
In this study, the impact of loading rate on the deformation and energy characteristics of skarn specimens under cyclic fatigue conditions was meticulously examined. However, due to the absence of specimen destruction in constant amplitude tests, the direct assessment of their fatigue life was not feasible. This limitation underscores the necessity of devising a reliable method for predicting the fatigue cycle life of rock materials, a task that holds significant practical value in the field of rock mechanics and engineering.
One approach to addressing this challenge involves utilizing axial strains as indicators of rock instability. Axial strain measurements can offer insights into the evolving condition of rock specimens under cyclic loading, providing a basis for anticipating failure. To explore this, the study compiled peak strain data for each cycle at consistent loading rates across the specimens. Subsequently, a linear relationship between the peak strains and the number of cycles was established, demonstrating a high degree of correlation.
This linear fit between peak strains and cycle numbers suggests a methodical way to predict the fatigue life of rocks under specific loading conditions. By extrapolating from the established relationship, it becomes possible to estimate the cycle number at which rock instability or failure might occur, thereby offering a predictive tool for assessing rock durability and resilience under cyclic loading. Such predictive capabilities are invaluable for the planning and management of engineering projects involving rock structures, ensuring that safety and stability considerations are adequately addressed.
In the constant amplitude loading tests, the observed peak strengths at the point of damage for the three specimens were recorded at 206.8, 258.8 and 260.3 MPa, respectively. This data illustrate that an increase in loading amplitude correlates with an increase in peak strength. However, this pattern does not extend to the corresponding peak strains, indicating a more complex relationship between strain responses and loading amplitude in rock specimens under fatigue or creep conditions. Typically, the strain in such tests escalates with each cycle, culminating in a maximum strain value at the moment of specimen failure.
Utilizing the peak strain as a metric, the fatigue life of the specimens at each loading rate was calculated. Table 2 presents predictions of fatigue life based on axial peak strain at consistent rates. The findings reveal an intriguing pattern: within the same specimen, an increase in the loading rate results in a higher number of fatigue cycles. This outcome aligns with the earlier analysis indicating faster strain growth at lower rates, suggesting that the specimens endure more cycles before reaching peak strain under higher loading rates.
| No. | Speed/(kN·s-1) | Simultaneous equations | R2 | Peak strain | Fatigue cycle |
|---|---|---|---|---|---|
| X54 | 2 | y=6×10-4x+0.2590 | 0.8431 | 0.3685 | 183 |
| 4 | y=5×10-4x+0.2608 | 0.8344 | 215 | ||
| 6 | y=4×10-4x+0.2631 | 0.9115 | 263 | ||
| X48 | 2 | y=5×10-4x+0.2482 | 0.9854 | 0.3158 | 135 |
| 4 | y=4×10-4x+0.2498 | 0.9779 | 165 | ||
| 6 | y=3×10-4x+0.2505 | 0.9723 | 218 | ||
| X53 | 2 | y=4×10-4x+0.2469 | 0.9138 | 0.3293 | 206 |
| 4 | y=3×10-4x+0.2487 | 0.9757 | 269 | ||
| 6 | y=3×10-4x+0.2414 | 0.9761 | 293 |
When comparing across different specimens, it is noted that the number of fatigue cycles does not decrease in tandem with increasing cycle amplitude. This observation can be attributed to the fact that peak strain does not diminish in a linear or consistent manner with the escalation of cycle amplitude. This nuanced behavior underscores the complexity of predicting rock specimen fatigue life based solely on strain or loading amplitude parameters.
This study has elucidated that the loading rate significantly impacts the fatigue cycle of rock materials, suggesting a pivotal relationship between the rate of loading and the endurance of rock under cyclic stress conditions. However, the findings also underscore the necessity for further research to deepen our understanding of this relationship. Specifically, there’s a need to explore the effects of different stress levels, especially those below the fatigue stress threshold, to comprehensively establish the influence of loading rate on rock fatigue life.
The implications of these findings are particularly relevant in the context of ensuring the stability of structures embedded in or composed of rock, such as mine pillars. The research suggests that by strategically controlling the frequency of construction-related loads, including those from activities like drilling and blasting, it may be possible to mitigate the adverse effects of high-frequency loading. Such control can potentially reduce damage and deformation in the rock, thereby enhancing the stability and longevity of rock-based structures.
Applying the laws and patterns identified through this study, engineering practices can be adapted to incorporate a more nuanced approach to load management, factoring in the critical role of loading frequency and rate. This could lead to the development of more effective strategies for the maintenance and preservation of rock stability in various engineering and construction scenarios, ultimately contributing to safer and more sustainable outcomes in geotechnical and mining engineering projects.
5 Conclusions
This paper delved into the intricate interplay between frequency series and the deformation characteristics of skarn, a non-homogeneous and complex geological material, across different amplitude intervals. By conducting a thorough investigation that encompassed axial deformation, energy characteristics, stress-strain phase shift probability distribution, and rock damage morphology, several pivotal conclusions have been drawn, encapsulating the nuanced response of skarn to varied loading conditions. The study’s findings underscore the significant impact of internal structural composition and external stress loading paths on the mechanical properties and damage mechanisms of rocks. The key conclusions from the experimental analyses are summarized as follows.
1) Skarn deformation is significantly influenced by the loading rate. As the loading rate increases, the axial strain growth rate for specimens in the same group tends to decline. Specifically, specimens subjected to constant amplitude loading exhibit a general trend of decreasing strain growth rate, while those under progressively increasing loading rates show a stepwise increase in strain growth rate.
2) The loading rate markedly impacts energy pattern. Within the same cycle group, a lower loading rate results in higher energy input. The stepwise variation in energy across three different loading rates within the same cycle group indicates that lower speeds lead to more significant energy dissipation. The dissipated energy ratio (DER) fitting relationship suggests that specimens will consume more energy with an increasing number of cycles.
3) During constant amplitude cycling, the integral area of the probability density distribution diminishes as amplitude intervals increase, with lower amplitudes corresponding to larger phase shifts at the peak of the probability distribution density. Both loading rate and cycle interval amplitude significantly influence phase shift distribution.
4) The failure morphology in specimens subjected to monotonic loading predominantly features vertical through tensile cracks, centrally located within the specimen. Conversely, cyclic loading tends to produce diagonal shear cracks, with the shear surface forming a 63° angle with the horizontal. Increasing the amplitude of cyclic intervals results in a gradual narrowing of primary crack width across four specimens and a decrease in the number of secondary cracks.
Pseudo-discontinuum model to simulate hard-rock mine pillars
[J]. Underground Space, 2023, 11: 81-95. DOI: 10.1016/j.undsp.2022.12.002.Acoustic emissions and seismic tomography of sandstone under uniaxial compression: Implications for the progressive failure in pillars
[J]. Rock Mechanics and Rock Engineering, 2023, 56(3): 1927-1943. DOI: 10.1007/s00603-022-03155-5.Countermeasures against large deformation of deep-buried soft rock tunnels in areas with high geostress: A case study
[J]. Tunnelling and Underground Space Technology, 2022, 119: 104238. DOI: 10.1016/j.tust.2021.104238.Moving least squares method for reliability assessment of rock tunnel excavation considering ground-support interaction
[J]. Computers and Geotechnics, 2017, 84: 88-100. DOI: 10. 1016/j.compgeo.2016.11.019.An in situ monitoring campaign of a hard rock pillar at great depth within a Canadian mine
[J]. Journal of Rock Mechanics and Geotechnical Engineering, 2020, 12(3): 427-448. DOI: 10.1016/j.jrmge.2019.07.018.Innovative design of slender rock pillar formed within large span road tunnels and cavern Y-junction in Hawkesbury sandstone
[J]. Tunnelling and Underground Space Technology, 2023, 141: 105376. DOI: 10.1016/j.tust.2023.105376.Some evidence and new insights for feedback loops of human-nature interactions from a holistic Earth perspective
[J]. Journal of Cleaner Production, 2023, 432: 139667. DOI: 10.1016/j.jclepro. 2023.139667.Numerical modeling of time-dependent spalling of rock pillars
[J]. International Journal of Rock Mechanics and Mining Sciences, 2021, 141: 104725. DOI: 10.1016/j.ijrmms.2021.104725.Modeling the progressive failure of hard rock pillars
[J]. Tunnelling and Underground Space Technology, 2018, 74: 71-81. DOI: 10.1016/j.tust.2018.01.006.Cyclic shearing and liquefaction of soil under irregular loading: An incremental model for the dynamic earthquake-induced deformation
[J]. Soil Dynamics and Earthquake Engineering, 2003, 23(7): 535-548. DOI: 10. 1016/S0267-7261(03)00072-1.Mechanical properties of single-plate shear connections under monotonic, cyclic, and blast loads
[J]. Engineering Structures, 2012, 37: 24-35. DOI: 10.1016/j.engstruct.2011.12.041.Physical and numerical study of strain burst of mine pillars
[J]. Computers and Geotechnics, 2016, 74: 36-44. DOI: 10.1016/j.compgeo. 2015.12.018.Damage evolution of rock salt under multilevel amplitude creep-fatigue loading with acoustic emission monitoring
[J]. International Journal of Rock Mechanics and Mining Sciences, 2023, 164: 105346. DOI: 10.1016/j.ijrmms.2023. 105346.Creep-fatigue characteristics of rock salt under different loading paths
[J]. Journal of Petroleum Science and Engineering, 2022, 218: 111036. DOI: 10.1016/j.petrol.2022.111036.Creep-fatigue mechanical characteristics of salt rocks under triaxial loading: An experimental study
[J]. Engineering Geology, 2023, 322: 107175. DOI: 10.1016/j.enggeo.2023.107175.A review of experimental and theoretical research on the deformation and failure behavior of rocks subjected to cyclic loading
[J]. Journal of Rock Mechanics and Geotechnical Engineering, 2021, 13(5): 1203-1230. DOI: 10.1016/j.jrmge.2021.03.012.Cyclic and fatigue behaviour of rock materials: Review, interpretation and research perspectives
[J]. Rock Mechanics and Rock Engineering, 2018, 51(2): 391-414. DOI: 10.1007/s00603-017-1337-5.Microseismic monitoring to assess rock mass damaging through a novel damping ratio-based approach
[J]. International Journal of Rock Mechanics and Mining Sciences, 2021, 146: 104883. DOI: 10.1016/j.ijrmms.2021.104883.Damage process in heterogeneous materials analyzed by a lattice model simulation
[J]. Engineering Failure Analysis, 2016, 70: 157-176. DOI: 10.1016/j.engfailanal.2016.08.004.Fatigue behaviour of high-strength concrete with respect to strain and stiffness
[J]. International Journal of Fatigue, 2016, 87: 38-49. DOI: 10.1016/j.ijfatigue.2016.01.008.Mechanical and microseismic characteristics of sandstones subject to moderate low-frequency differential cyclic loading (DCL) followed by monotonic loading up to failure
[J]. Acta Geotechnica, 2023, 18(1): 187-215. DOI: 10.1007/s11440-022-01570-0.Effect of the loading frequency on the compressive fatigue behavior of plain and fiber reinforced concrete
[J]. International Journal of Fatigue, 2015, 70: 342-350. DOI: 10.1016/j.ijfatigue. 2014.08.005.Effects of cyclic loading on the mechanical properties of a granite
[J]. International Journal of Rock Mechanics and Mining Sciences, 2015, 77: 89-96. DOI: 10.1016/j.ijrmms. 2015.03.029.The effect of machine behaviour and mechanical properties of intact sandstone under static and dynamic uniaxial cyclic loading
[J]. Rock Mechanics and Rock Engineering, 2005, 38(1): 59-67. DOI: 10.1007/s00603-004-0038-z.Effects of cyclic loading on mechanical properties of Maha Sarakham salt
[J]. Engineering Geology, 2010, 112(1-4): 43-52. DOI: 10.1016/j.enggeo.2010.01.002.Fatigue properties of intact sandstone samples subjected to dynamic uniaxial cyclical loading
[J]. International Journal of Rock Mechanics and Mining Sciences, 2005, 42(2): 237-250. DOI: 10.1016/j.ijrmms.2004.08.008.Effect of cyclic loading and strain rate on the mechanical behaviour of sandstone
[J]. International Journal of Rock Mechanics and Mining Sciences, 1999, 36(4): 543-549. DOI: 10.1016/S0148-9062(99)00016-9.Nondestructive rock porosity estimation by InfraRed Thermography applied to natural stones
[J]. Construction and Building Materials, 2022, 342: 127950. DOI: 10.1016/j.conbuildmat.2022.127950.Mechanical and hydraulic properties of carbonate rock: The critical role of porosity
[J]. Journal of Rock Mechanics and Geotechnical Engineering, 2023, 15(4): 814-825. DOI: 10.1016/j.jrmge.2022.07.017.Effects of grain size distributions on the macro-mechanical behavior of rock salt using micro-based multiscale methods
[J]. International Journal of Rock Mechanics and Mining Sciences, 2021, 138: 104592. DOI: 10.1016/j.ijrmms.2020.104592.Bonded particle modeling of grain size effect on tensile and compressive strengths of rock under static and dynamic loading
[J]. Advanced Powder Technology, 2023, 34(5): 104013. DOI: 10.1016/j.apt.2023. 104013.3D DEM simulations of the variability of rock mechanical behaviour based on random rock microcracks
[J]. International Journal of Rock Mechanics and Mining Sciences, 2023, 167: 105395. DOI: 10.1016/j.ijrmms.2023.105395.A review on experimental techniques and their applications in the effects of mineral content on geomechanical properties of reservoir shale rock
[J]. Rock Mechanics Bulletin, 2024, 3(2): 100110. DOI: 10.1016/j.rockmb.2024.100110.Effect of rock composition microstructure and pore characteristics on its rock mechanics properties
[J]. International Journal of Mining Science and Technology, 2018, 28(2): 303-308. DOI: 10.1016/j.ijmst.2017.12.008.Effects of initial unloading level on the mechanical, micro failure and energy evolution characteristics of stratified rock mass under triaxial unloading confining pressure
[J]. Theoretical and Applied Fracture Mechanics, 2023, 128: 104161. DOI: 10.1016/j.tafmec.2023.104161.Evaluation of stress path and load rate effects on rock strength using compression testing data for Stanstead Granite
[J]. International Journal of Rock Mechanics and Mining Sciences, 2023, 169: 105455. DOI: 10.1016/j.ijrmms.2023.105455.Inhomogeneous mechanical behaviour of concrete subjected to monotonic and cyclic loading
[J]. International Journal of Fatigue, 2020, 132: 105383. DOI: 10.1016/j.ijfatigue.2019. 105383.Fatigue properties of rock salt subjected to interval cyclic pressure
[J]. International Journal of Fatigue, 2016, 90: 109-115. DOI: 10.1016/j.ijfatigue.2016.04.021.Dynamic and damage properties of artificial jointed rock samples subjected to cyclic triaxial loading at various frequencies
[J]. International Journal of Rock Mechanics and Mining Sciences, 2020, 128: 104243. DOI: 10.1016/j.ijrmms.2020. 104243.Energy evolution and damage constitutive model of anchored jointed rock masses under static and fatigue loads
[J]. International Journal of Fatigue, 2023, 167: 107313. DOI: 10.1016/j.ijfatigue.2022. 107313.Mechanical behaviour of medium-grained sandstones exposed to differential cyclic loading with distinct loading and unloading rates
[J]. Journal of Rock Mechanics and Geotechnical Engineering, 2022, 14(6): 1849-1871. DOI: 10.1016/j.jrmge.2021.12.027.Mechanical response and microscopic damage mechanism of pre-flawed sandstone subjected to monotonic and multilevel cyclic loading: A laboratory-scale investigation
[J]. International Journal of Mining Science and Technology, 2023, 33(12): 1487-1510. DOI: 10.1016/j.ijmst.2023.11.002.Efficiency evaluation of a percussive drill rig using rate-energy ratio based on rock drilling tests
[J]. Journal of Petroleum Science and Engineering, 2022, 217: 110873. DOI: 10.1016/j.petrol.2022.110873.Dynamic response and energy evolution of sandstone under coupled static–dynamic compression: Insights from experimental study into deep rock engineering applications
[J]. Rock Mechanics and Rock Engineering, 2020, 53(3): 1305-1331. DOI: 10.1007/s00603-019-01980-9.Research on infrared radiation response and energy dissipation characteristics of sandstone crushing under impact load
[J]. Engineering Geology, 2023, 322: 107171. DOI: 10.1016/j.enggeo.2023.107171.Characteristics and precursor of static and dynamic triggered rockburst: Insight from multifractal
[J]. Rock Mechanics and Rock Engineering, 2023, 56(3): 1945-1967. DOI: 10.1007/s00603-022-03173-3.Understanding the evolution mechanism and classification criteria of tensile-shear cracks in rock failure process from acoustic emission (AE) characteristics
[J]. Engineering Fracture Mechanics, 2024, 296: 109864. DOI: 10.1016/j.engfracmech.2024.10 9864.Energy-driven fracture and instability of deeply buried rock under triaxial alternative fatigue loads and multistage unloading conditions: Prior fatigue damage effect
[J]. International Journal of Fatigue, 2023, 168: 107410. DOI: 10.1016/j.ijfatigue.2022.107410.On the fracture and energy characteristics of granite containing circular cavity under variable frequency-amplitude fatigue loads
[J]. Theoretical and Applied Fracture Mechanics, 2023, 125: 103872. DOI: 10.1016/j.tafmec.2023.103872.Characterizing rockbursts and analysis on frequency-spectrum evolutionary law of rockburst precursor based on microseismic monitoring
[J]. Tunnelling and Underground Space Technology, 2020, 105: 103564. DOI: 10.1016/j.tust.2020.103564.Cyclic fatigue characteristics of strong burst-prone coal: Experimental insights from energy dissipation, hysteresis and micro-seismicity
[J]. International Journal of Fatigue, 2020, 133: 105429. DOI: 10.1016/j.ijfatigue.2019.105429.Numerical investigation of the dynamic properties of intermittent jointed rock models subjected to cyclic uniaxial compression
[J]. Rock Mechanics and Rock Engineering, 2017, 50(1): 89-112. DOI: 10.1007/s00603-016-1085-y.Macro-meso fracture and instability of rock-backfill composite structure (RBCS) specimens subjected to fatigue-creep interaction loading: Cement-tailing ratio effect
[J]. Construction and Building Materials, 2024, 420: 135615. DOI: 10.1016/j.conbuildmat.2024.135615.WU Yun-feng, WANG Yu, LI Chang-hong, ZHOU Bao-kun, LI Peng, CAI Mei-feng, SUN Chang-kun, and TIAN Zi-cheng declare that they have no conflict of interest.
WU Yun-feng, WANG Yu, LI Chang-hong, ZHOU Bao-kun, LI Peng, CAI Mei-feng, SUN Chang-kun, TIAN Zi-cheng. Effect of loading rate on the mechanical response and energy evolution of skarn rock subjected to constant-amplitude cyclic loading [J]. Journal of Central South University, 2025, 32(3): 1117-1140. DOI: https://doi.org/10.1007/s11771-025-5904-8.
吴云峰,王宇,李长洪等.加载速率对恒幅疲劳荷载作用下的矽卡岩力学响应和能量演化的影响[J].中南大学学报(英文版),2025,32(3):1117-1140.

