J.Cent.South Univ.(2025) 32: 1044-1059
Graphic abstract:
1 Introduction
By the end of 2023, 563 cities in 79 countries and regions have the operating urban rail transit system, with a total length of over 43400.40 km, among which the subway accounts for 50.07% [1]. New urban subway lines will inevitably cross the main road intersections, increasing the difficulty for constructing subway stations [2-5]. The pipe-roof method has become a common technique to control the excavation induced disturbance, especially when the cover depth is shallow. However, low safety could still be resulted from subway station constructions with such approach due to the improper control of ground settlement [6-8]. This is because the adjacent steel pipes are normally only connected with interlocks, resulting in weak overall bearing capacity of the pipe-roof structure [9]. Many temporary supports must be implemented during excavation to ensure the construction safety, creating complexity in the construction procedures. Therefore, developing a safe and convenient underground excavation method for shallowly buried urban subway stations is necessary.
The steel tube slab (STS) method is a novel pipe-roof structure system that improves the lateral connection between adjacent steel tubes. The construction process involves: 1) steel tubes with flange plates are jacked into the soil using an ABS horizontal auger rig, which involves the subsequent removal of the soil inside the tubes; 2) the soil between the tubes is loosened using a micro horizontal auger, and then holes are opened in the inner wall of the steel tubes, and the remaining soil can be cleaned up; 3) the installation of transverse bolts is conducted to connect the adjacent steel tubes; 4) self-compacting super-fluid concrete is poured into the inside and between the steel tubes, to form a flat-topped pipe-roof system, as shown in Figure 1. The STS method improves the construction safety compared with other traditional underground construction methods. The station roof then changes from an arch to a flat-topped structure, increasing the tunnel clearance effectively [10]. Moreover, STS structures have a high load-bearing capacity and enable a full-section excavation without temporary supports [11]. Therefore, the STS method has significant advantages for use in the construction of shallowly buried subway stations in high-risk areas.
_Xml/alternativeImage/A7CA1E1A-D58C-45f4-962F-796834ADFE34-F002.jpg)
Researches on pipe-roof structure mechanical properties were carried out mainly through three investigation methods: 1) through laboratory test, failure modes, shear performance, transverse and longitudinal bending performance were investigated, including different types of pipe-roof structures [12-19]; 2) using numerical simulations, their main influencing parameters on flexural performance [20, 21], and stress-strain development of pipe-roof structure during loading [22] were explored; 3) utilizing theoretical analysis, calculation methods were derived to estimate the transverse [23] and longitudinal [24] bearing capacity and bending stiffness of STS structures. The research results show that the pipe-roof structure has high bearing capacity, which can meet the construction requirements. In addition, during the construction of underground projects, the pipe-roof deformation capacity is directly related to its supporting effect. Therefore, researchers focus on studying the pipe-roof deformation characteristics.
Pipe-roof deformation mainly occurs in the excavation process, and many investigations has been conducted on the pipe-roof deformation: 1) analysing the deformation characteristics of the pipe-roof structure through on-site monitoring [25] or three-dimensional (3D) finite element analyses [26]; 2) exploring the deformation laws of the pipe-roof structure as a function of various parameters (e.g., depth-to-span ratio, and pipe shed stiffness) for different pipe-roof structures (cross-shaped [27], door-shaped [28], and pipe roof beam [29]) through laboratory testing [30-32]; (3) predicting pipe-roof deformation is essential for the design of pipe-roof. The pipe-roof structure deformation was calculated through a beam simplification for the pipe roof structure surrounding by Winkler [33] or Pasternak [34] elastic foundation models based on the elastic foundation beam theory.
In summary, although abundant achievements have been made in the study of the mechanical mechanism and deformation characteristics of the pipe-roof structure, there are still the following issues to be addressed: the primary method for analysing the pipe-roof structure is to simplify it as a simply supported beam or an elastic foundation beam. Essentially, the transverse and longitudinal performances of a pipe-roof structure are isolated in the analysis for simplicity. However, the stress and deformation of a pipe-roof structure obtained by the isolated analysis method cannot represent the actual coupled responses. Consequently, the available research results are too conservative. Besides, a deformation calculation model that is suitable for describing the bidirectional force mechanism of STS structure has not been established, and the corresponding bending stiffness calculation method needs to be further resolved.
To address the knowledge gap in coupled deformation mechanism for pipe roof structures, this study performed a set of laboratory tests on STS composite slabs to investigate their flexural performance and deformation characteristics. Based on the measured mechanical responses, a mathematical model of isotropic elastic slabs for pipe-roof structures was proposed to predict the pipe-roof structure deformation.
2 Experimental investigation
2.1 Design of experimental schemes
Six laboratory bending tests were performed to investigate the effects of length-width ratio and spacing between adjacent steel tubes on the flexural performance of STS composite slabs. Figure 2 presents the details for an STS specimen. In the specimen, all steel materials were made of Q235 steel, and the diameter and thickness of steel tube were 219 and 6 mm, respectively. Bolts with a diameter of 10 mm were arranged in the tensile and compressive zones of the specimen. The bolt spacing, bs, was 200 mm. Table 1 lists the detailed parameters for all tested specimens, where Lx represents the effective calculation length in the transverse direction; Ly represents the effective calculation length in the longitudinal direction; tf represents the thickness of the flange plate; and ds represents the centre distance between adjacent steel tubes.
_Xml/alternativeImage/A7CA1E1A-D58C-45f4-962F-796834ADFE34-F003.jpg)
| Specimen | Lx/m | Ly/m | tf/mm | ds/mm |
|---|---|---|---|---|
| DCS-1 | 1.25 | 1.5 | 6 | 250 |
| DCS-2 | 1.25 | 1.75 | 6 | 250 |
| DCS-3 | 1.25 | 2.0 | 6 | 250 |
| DCS-4 | 1.5 | 1.50 | 6 | 250 |
| DCS-5 | 1.75 | 1.50 | 6 | 250 |
| DCS-6 | 1.5 | 1.75 | 6 | 300 |
The STS composite slab bending test was performed using a large-scale hydraulic loading machine with a capacity of 10000 kN. This test adopted monotonic static graded loading, acting on a distribution beam. It was assumed to be uniformly distributed through 8 nodes, which has been validated by several experimental tests [35, 36]. During the test, the deformation and the applied load of the STS composite slab were measured, as illustrated in Figure 3. A pressure sensor with a measurement range of 10000 kN was used for load acquisition. Thirteen displacement gauges (named as P-1 to P-13, see Figure 3) were used to measure the STS composite slab deformations, of which the range is 0 to 100 mm.
_Xml/alternativeImage/A7CA1E1A-D58C-45f4-962F-796834ADFE34-F004.jpg)
The material properties of steel and concrete were measured through metal material tensile tests and ordinary concrete mechanical property tests, respectively. It obtained that the yield strengths of steel tube, flange plate and bolt are 257.7, 272.8 and 393.7 MPa, respectively; the corresponding ultimate strengths are 452.0, 404.3 and 488.7 MPa, respectively. The cubic compressive strength, axial compressive strength, and axial tensile strength of concrete are 30.8, 14.7 and 1.0 MPa, respectively. The specimen fabrication process mainly includes: specimen assembly, sensor placement, concrete pouring and curing. The detailed test procedures have been described in previous studies [37].
2.2 Test results
2.2.1 Bending stiffness and capacity
Figure 4 shows the comparative results of elastic bearing capacity, ultimate bearing capacity, and bending stiffness for all six specimens. When the longitudinal length of the specimen increases from 1.5 to 2.0 m, the elastic and ultimate bearing capacities of STS composite slabs decreases by 13.7%, and the bending stiffness decreases by 41.2%. When the transverse length of the specimen increases from 1.25 to 1.75 m, the elastic bearing capacity of STS composite slabs increases by 10.3%, the ultimate bearing capacity increases by 14.7%, and the bending stiffness decreases by 24.2%. When the centre-to-centre distance of adjacent steel tubes increases from 250 to 300 mm, the elastic bearing capacity of STS composite slabs decreases by 6.5%, the ultimate bearing capacity decreases by 2.0%, and the bending stiffness decreases by 19.6%. This investigation aims to increase the transverse length of STS composite slabs by increasing the number of concrete-filled steel tubes while keeping other parameters constant. The results demonstrate that the bearing capacity of STS composite slabs increases with the increase of transverse length and decreases slightly with the increase of tube spacing. Moreover, reduction in bending stiffness of STS composite slabs is the most significant, when the longitudinal length of the specimen increases. This indicates that the longitudinal flexural resistance is more significant in the STS composite slab design than its transverse flexural resistance.
_Xml/alternativeImage/A7CA1E1A-D58C-45f4-962F-796834ADFE34-F005.jpg)
2.2.2 Deformation characteristics
Figure 5 shows the deformation contours of STS composite slabs at different load stages. The STS composite slab demonstrates good resistance to deformation before reaching the elastic limit, with a maximum deformation not exceeding 6 mm. Before reaching the yield limit, the deformation growth rate of STS composite slab is relatively small with the increase of loading. However, the deformation growth rate increases significantly after reaching the yield limit. In addition, although the deformation rate of STS structures increases rapidly after reaching the yield limit, the deformation pattern remains unchanged. This indicates that STS composite slabs have good coordinated deformation ability among their components due to good overall and continuity properties.
_Xml/alternativeImage/A7CA1E1A-D58C-45f4-962F-796834ADFE34-F006.jpg)
Taking the DCS-1 specimen as an example, the transverse and longitudinal deformation patterns of STS composite slab are plotted in Figure 6. One can see that the deformation modes of STS composite slabs in the two directions are almost identical, being symmetric about the centreline in a half-sine wave form. In addition, although the transverse section of the STS structure can be divided into intra-tube and inter-tube parts, which are discontinuous, its deformation shows good continuity through different components. It can be concluded that the inter-tube connection (flange plates, bolts, and concrete) can effectively coordinate the deformation between steel tubes. This STS structure can then be considered as an integral unit, and its deformation is similar to that of a homogeneous slab.
_Xml/alternativeImage/A7CA1E1A-D58C-45f4-962F-796834ADFE34-F007.jpg)
Figure 7 compares the deformation values at the centre point of the STS composite slab at different loading stages. When the longitudinal length of the specimen increases from 1.5 to 2.0 m, the measured deformations at the centre point for elastic, yield, and ultimate loads increase by 35.3%, 55.9% and 57.2%, respectively. When the transverse length of the specimen increases from 1.25 to 1.75 m, the deformations of STS composite slab at its centre point upon the application of elastic, yield, and ultimate loads increase by 35.0%, 48.9% and 64.7%, respectively. When the centre-to-centre distance between adjacent steel tubes increases from 250 to 300 mm, the corresponding deflection at the centre point for elastic, yield, and ultimate loads increase by 86.1%, 80.5% and 116.5%, respectively. Thus, the STS composite slab deformation increases with the increase of transverse and longitudinal lengths. Moreover, the specimen deformation increases more significantly with the increase of transverse length under the ultimate load. This is because the transverse stiffness of the STS composite slab is less than its longitudinal stiffness. Before the specimen is yielded, the magnitude of deformation increases when the transverse length is smaller than the longitudinal length. This is because increasing the transverse length can increase the number of concrete-filled steel tubes simultaneously. However, the specimen deformation increases sharply after the transverse length is increased by enlarging the spacing between adjacent tubes. Therefore, an STS composite slab primarily bears the load in the longitudinal direction.
_Xml/alternativeImage/A7CA1E1A-D58C-45f4-962F-796834ADFE34-F008.jpg)
3 Simplified calculation method for pipe-roof deformation
3.1 Deformation calculation
3.1.1 Assumptions
The test results show that the deformation of the STS composite slab has good continuity and uniformity, which is similar to the deformation characteristics of a homogeneous plate. Hence, the bidirectional deformation behaviour of STS composite slabs is estimated analytically based on the theory of elastic plates and the basic assumptions of elastic mechanics, including continuity, homogeneity, elasticity, isotropy and small deformations. Besides, the following assumptions should be supplemented to calculate the pipe-roof deformation:
1) The positive strain perpendicular to the mid-plane is zero, and the displacement component at any point in the plate is simply a function of x and y, and the same normal has the same displacement at the mid-plane;
2) The normal of the mid-plane does not stretch with the deformation of the pipe-roof and is always straight, and the shear strain caused by the horizontal shear stress can be disregarded;
3) No strain occurs in the mid-plane of the pipe-roof, i.e., there is no displacement parallel to the midplane at any point in the midplane.
3.1.2 Calculation model
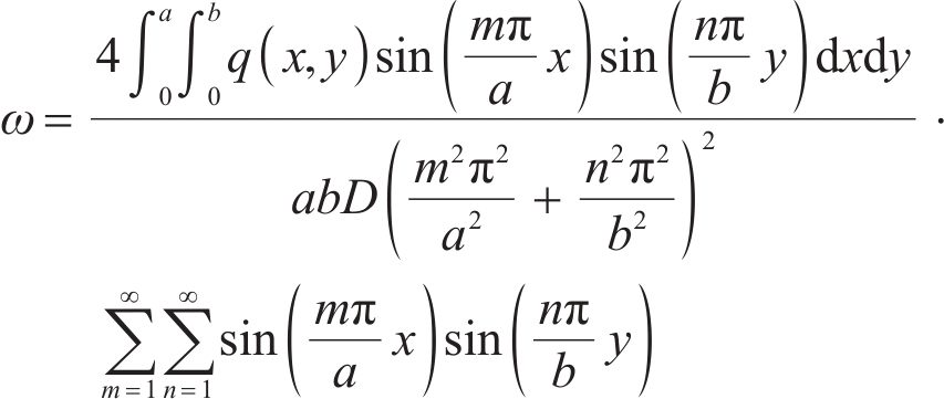
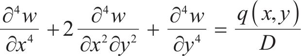
The coordinate system is established according to the assumption of small deflection bending for elastic plates, as shown in Figure 8. The x- and y-directions represent the transverse and longitudinal lengths of STS composite slab, respectively. Furthermore, the basic equation can be obtained as follows:
_Xml/alternativeImage/A7CA1E1A-D58C-45f4-962F-796834ADFE34-M001.jpg)
_Xml/alternativeImage/A7CA1E1A-D58C-45f4-962F-796834ADFE34-F009.jpg)
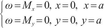
The STS composite slab is considered as a four-edge simply supported system, and the boundary conditions should satisfy the following form:
_Xml/alternativeImage/A7CA1E1A-D58C-45f4-962F-796834ADFE34-M002.jpg)
The following double-series solution is used:
_Xml/alternativeImage/A7CA1E1A-D58C-45f4-962F-796834ADFE34-M003.jpg)
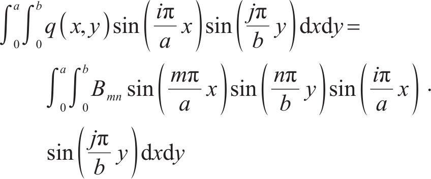
Equation (3) satisfies the boundary conditions of Eq. (2). The coefficient Amn is determined based on a given load q(x, y). Expanding q(x, y) into the eigenfunction set, it yields:
_Xml/alternativeImage/A7CA1E1A-D58C-45f4-962F-796834ADFE34-M004.jpg)
Multiplying both sides of Eq. (4) by sin(iπx/a)sin(jπy/b) and integrating over the rectangular region, it yields:
_Xml/alternativeImage/A7CA1E1A-D58C-45f4-962F-796834ADFE34-M005.jpg)
Exchanging the order of summation and integration, it yields:
_Xml/alternativeImage/A7CA1E1A-D58C-45f4-962F-796834ADFE34-M006.jpg)
The following forms are then obtained from Eq. (3):
_Xml/alternativeImage/A7CA1E1A-D58C-45f4-962F-796834ADFE34-M007.jpg)
_Xml/alternativeImage/A7CA1E1A-D58C-45f4-962F-796834ADFE34-M008.jpg)
_Xml/alternativeImage/A7CA1E1A-D58C-45f4-962F-796834ADFE34-M009.jpg)
Substituting Eqs. (4), (7), (8) and (9) into Eq. (1), it yields:
_Xml/alternativeImage/A7CA1E1A-D58C-45f4-962F-796834ADFE34-M010.jpg)
Substituting Eq. (6) into Eq. (10), and considering that the coefficients on both sides of the equation are equal, it yields:
_Xml/alternativeImage/A7CA1E1A-D58C-45f4-962F-796834ADFE34-M011.jpg)
Substituting Eq. (11) into Eq. (3), the deflection calculation formula for STS structure subjected to a uniformly distributed load under the four-edge simply supported condition can be obtained.
_Xml/alternativeImage/A7CA1E1A-D58C-45f4-962F-796834ADFE34-M012.jpg)
where m and n = 1, 2, 3, ….
3.2 Bending stiffness calculation
3.2.1 Assumptions
This study considers the transverse and longitudinal stress characteristics of the STS structure, and simulates the STS structure as a bidirectional slab during the deformation calculation. The bending stiffness D is a core parameter that determines the deformation capacity of pipe-roof structure. The experimental results indicate that the bending resistance of STS composite slab differs in the transverse and longitudinal directions. Moreover, the bending resistance along the longitudinal direction is higher than that in the transverse direction. Furthermore, the calculation method for bidirectional plate stiffness can be determined by multiplying the unidirectional plate stiffness with an enlargement coefficient [38]. Thus, this study calculates the bending stiffness of STS composite slab based on the bending stiffness along its longitudinal direction, which fully considers the concrete-filled steel tubular part and the connecting part between tubes of the pipe-roof structure. The cross-sectional area of STS composite slab is defined following the idea of equivalent section conversion for steel-concrete composite structures. Moreover, the equivalent cross-sectional moment of inertia is calculated according to the assumption of homogenous isotropic material to evaluate the bending stiffness of STS composite slab.
3.2.2 Equivalent section conversion
First, steel material is equivalently converted into concrete material.
_Xml/alternativeImage/A7CA1E1A-D58C-45f4-962F-796834ADFE34-M013.jpg)
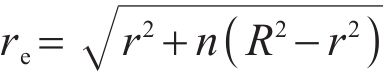
Based on the equivalence, the radius of steel tube is expressed as:
_Xml/alternativeImage/A7CA1E1A-D58C-45f4-962F-796834ADFE34-M014.jpg)
Similarly, the flange plate length is expressed as:
_Xml/alternativeImage/A7CA1E1A-D58C-45f4-962F-796834ADFE34-M015.jpg)
3.2.3 Cross-sectional moment of inertia of concrete during the uncracked stage
The concrete and steel tube can work as a system during the uncracked concrete stage. In addition to compressive forces, concrete can bear tensile forces to a certain extent. Figure 9 shows a simplified calculation schematic of the section moment of inertia for an STS composite slab.
_Xml/alternativeImage/A7CA1E1A-D58C-45f4-962F-796834ADFE34-F010.jpg)
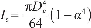
The cross-sectional moment of inertia of steel tube is expressed as:
_Xml/alternativeImage/A7CA1E1A-D58C-45f4-962F-796834ADFE34-M016.jpg)
The cross-sectional moment of inertia of concrete in steel tube is expressed as:
_Xml/alternativeImage/A7CA1E1A-D58C-45f4-962F-796834ADFE34-M017.jpg)
The cross-sectional moment of inertia of flange plate is expressed as:
_Xml/alternativeImage/A7CA1E1A-D58C-45f4-962F-796834ADFE34-M018.jpg)
The cross-sectional moment of inertia of concrete between steel tubes is expressed as:
_Xml/alternativeImage/A7CA1E1A-D58C-45f4-962F-796834ADFE34-M019.jpg)
where
_Xml/alternativeImage/A7CA1E1A-D58C-45f4-962F-796834ADFE34-M020.jpg)
Therefore, during the concrete uncracked stage, the cross-sectional moment of inertia of STS structure can be expressed as:
_Xml/alternativeImage/A7CA1E1A-D58C-45f4-962F-796834ADFE34-M021.jpg)
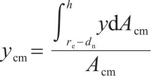
3.2.4 Cross-sectional moment of inertia of concrete during the cracked stage
As the load gradually increases, concrete in the bottom of STS structure initiates cracks under tensile stresses. The bottom concrete gradually losses its mechanical capacity with the crack development. At this point, the section bending stiffness can be significantly decreased compared with that under the uncracked state. Figure 9 shows the calculation schematic of the section moment of inertia for an STS composite slab.
The distance from the centroid to the neutral axis of the uncracked concrete region inside the steel tube and the associated cross-sectional area are expressed as:
_Xml/alternativeImage/A7CA1E1A-D58C-45f4-962F-796834ADFE34-M022.jpg)
_Xml/alternativeImage/A7CA1E1A-D58C-45f4-962F-796834ADFE34-M023.jpg)
The distance from the centroid to the neutral axis of the uncracked concrete region between steel tubes and the associated cross-sectional area are expressed as:
_Xml/alternativeImage/A7CA1E1A-D58C-45f4-962F-796834ADFE34-M024.jpg)
_Xml/alternativeImage/A7CA1E1A-D58C-45f4-962F-796834ADFE34-M025.jpg)
The distance from the centroid to the neutral axis of the steel tube in the uncracked region and the associated cross-sectional area are expressed as:
_Xml/alternativeImage/A7CA1E1A-D58C-45f4-962F-796834ADFE34-M026.jpg)
_Xml/alternativeImage/A7CA1E1A-D58C-45f4-962F-796834ADFE34-M027.jpg)
_Xml/alternativeImage/A7CA1E1A-D58C-45f4-962F-796834ADFE34-M028.jpg)
_Xml/alternativeImage/A7CA1E1A-D58C-45f4-962F-796834ADFE34-M029.jpg)
_Xml/alternativeImage/A7CA1E1A-D58C-45f4-962F-796834ADFE34-M028.jpg)
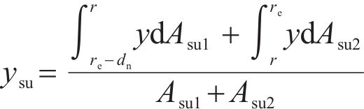
The distance from the centroid to the neutral axis of the steel tube in the cracked region and the associated cross-sectional area are expressed as:
_Xml/alternativeImage/A7CA1E1A-D58C-45f4-962F-796834ADFE34-M031.jpg)
_Xml/alternativeImage/A7CA1E1A-D58C-45f4-962F-796834ADFE34-M032.jpg)
_Xml/alternativeImage/A7CA1E1A-D58C-45f4-962F-796834ADFE34-M028.jpg)
_Xml/alternativeImage/A7CA1E1A-D58C-45f4-962F-796834ADFE34-M034.jpg)
_Xml/alternativeImage/A7CA1E1A-D58C-45f4-962F-796834ADFE34-M035.jpg)
_Xml/alternativeImage/A7CA1E1A-D58C-45f4-962F-796834ADFE34-M036.jpg)
The height of the uncracked concrete zone and the cross-sectional moment of inertia of different member (including the uncracked concrete inside and between steel tubes, steel tube in the uncracked region, steel tube in the cracked region, and flange plate) can be obtained using Eqs. (32) and (33).
_Xml/alternativeImage/A7CA1E1A-D58C-45f4-962F-796834ADFE34-M037.jpg)
_Xml/alternativeImage/A7CA1E1A-D58C-45f4-962F-796834ADFE34-M038.jpg)
During the concrete cracked stage, the cross-sectional moment of inertia of STS structure can be obtained based on Eqs. (32) and (33) under the translation axis theorem.
_Xml/alternativeImage/A7CA1E1A-D58C-45f4-962F-796834ADFE34-M039.jpg)
3.2.5 Bending stiffness of STS composite slab
Based on the design provisions specified in the American Society of Civil Engineers (ASCE) [39], the arithmetic mean of the moments of inertia of the uncracked (Iu) and cracked (Ic) sections is taken as the effective cross-sectional moment of inertia of STS composite slab.
_Xml/alternativeImage/A7CA1E1A-D58C-45f4-962F-796834ADFE34-M040.jpg)
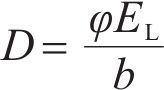
Therefore, the longitudinal bending stiffness of STS composite slab is computed as follows:
_Xml/alternativeImage/A7CA1E1A-D58C-45f4-962F-796834ADFE34-M041.jpg)
According to the theory of two-way slabs, the bending stiffness for STS composite slab can be obtained by multiplying the longitudinal stiffness with an enlargement coefficient φ.
_Xml/alternativeImage/A7CA1E1A-D58C-45f4-962F-796834ADFE34-M042.jpg)
This study determines the stiffness enlargement coefficient φ using numerical simulations. Finite element (FE) models are established using the software ABAQUS (version 6.12), and more information (including cell simulation, material simulation, boundary constraints, and so on) of the FE models could be referred in Ref. [37], which has also defined the relevant parameters used for this study, and presents that the average errors of load capacity and mid-span displacement between the FE models and test results in the elastic stage are 4.1% and 9.1%, respectively. Based on the calibrated FE models, five analyses (named STS-1 to STS-5) are carried out by keeping the transverse length of STS structure constant while changing its longitudinal length. The load-displacement curves for STS composite slabs under uniaxial and biaxial loading are calculated, as shown in Figure 10. The stiffness enlargement coefficient is then determined through fitting analysis.
_Xml/alternativeImage/A7CA1E1A-D58C-45f4-962F-796834ADFE34-F011.jpg)
Based on Figure 10, the bending stiffnesses of STS structures under different boundary conditions are obtained, and the results are summarized in Table 2. The stiffness enlargement coefficient varied between 1.4 and 1.7 with changes in the length-to-width ratio of the composite slab.
| Specimen | Bending stiffness/(kN·mm-1) | φ | |
|---|---|---|---|
| Uniaxial loading | Biaxial loading | ||
| STS-1 | 540.5 | 740.4 | 1.4 |
| STS-2 | 452.6 | 649.8 | 1.4 |
| STS-3 | 383.4 | 580.6 | 1.5 |
| STS-4 | 327.7 | 525.9 | 1.6 |
| STS-5 | 282.7 | 480.0 | 1.7 |
3.3 Comparison and analysis of calculation results
Figures 11 and 12 compare the measured pipe-roof deformations with the theoretical results, the measuring location is shown in Figure 3 (points P-1 to P-13), the measuring stage corresponds to the STS structure’s elastic capacity. The calculation parameters are consistent with the test parameters, and the calculating load is obtained by converting the elastic bearing capacity into uniform load. Figure 12 shows that the overall trends of theoretical calculations are similar to the contours of experimental measurements. One can see that the theoretical calculations are slightly larger than the test results, indicating that the theoretical model is conservative. Figure 12 presents the scatter plot of theoretical results against the experimental results of the pipe-roof deformation, where the largest difference between the two is less than 15%, the average relative errors for specimens DCS-1 to DCS-6 is 10.56%, 4.80%, 13.12%, 11.76%, 7.65% and 8.99%, respectively, the coefficient of determination is R2 = 0.96, and the root mean squared error (RMSE) is 0.25 mm. Therefore, it can be concluded that the proposed theoretical model can effectively predict the deformation values of STS composite slabs.
_Xml/alternativeImage/A7CA1E1A-D58C-45f4-962F-796834ADFE34-F012.jpg)
_Xml/alternativeImage/A7CA1E1A-D58C-45f4-962F-796834ADFE34-F013.jpg)
3.4 Implementation in practice
The implementation of the proposed pipe-roof deformation calculation model in industrial practice involves the following steps:
1) Complete the preparatory work, conduct the survey of the construction site, and determine the surrounding environment, engineering geology, hydrogeology, etc.
2) Complete the design of the pipe-roof structure based on the specific conditions of the surrounding environment, tunnel size and buried depth of soil.
3) Calculate the cross-sectional moment of the pipe-roof structure during the concrete cracked stage and uncracked stage based on Eqs. (21) and (34), and then calculate the bending stiffness of the pipe-roof structure using Eq. (37).
4) Substitute the tunnel length, span, pipe-roof stiffness, and external load into Eq. (12), which will yield the predicted value of the pipe-roof deformation under the given conditions.
4 Conclusions
This study investigated the flexural performance and deformation mechanism of STS composite slabs through experimental and theoretical analyses. A deformation calculation model for STS composite slab was subsequently established. The following conclusions can be drawn:
1) The test results demonstrate that the STS specimens experience bending failure and exhibit good ductility. The specimens have greater flexural strength in the longitudinal direction than in the transverse direction. Their transverse deformation ability primarily governs their ductility.
2) The STS composite slab deformations in the transverse and longitudinal directions follow a sinusoidal half-wave curve, indicating the structure has good continuity, being similar to that of a homogeneous slab.
3) The tube spacing most significantly influences the STS structure deformation. When the tube spacing increases from 250 mm to 300 mm, the deformations at the centre point of STS composite slab under the application of elastic, yield, and ultimate loads increase by 86.1%, 80.5% and 116.5%, respectively.
4) A simplified calculation model for predicting the STS composite slab deformation is established. The theoretical calculation results are consistent with the test results with a maximum error of less than 15%, a coefficient of determination of R2=0.96, and a RMSE of 0.25 mm. This proposed model has good applicability and accuracy for the design of STS structure.
Nomenclatures
| q | Uniformly distributed load |
| D | Bending stiffness of STS composite slab |
| ω | Deflection of STS composite slab |
| a | Transverse length of STS composite slab |
| b | Longitudinal length of STS composite slab |
| n | Stiffness equivalence ratio |
| Es | Elastic modulus of steel |
| Ec | Elastic modulus of concrete |
| r | Radius of concrete inside the tube |
| De | Equivalent diameter of steel tube |
| R | Outer radius of steel tube |
| re | Equivalent radius of steel tube |
| bf | Length of flange plate |
| be | Equivalent length of flange plate |
| d | Diameter of concrete inside the tube |
| t | Thickness of flange plate |
| h | Half of the height of concrete between steel tubes |
| ns | Number of steel tubes |
| φ | Stiffness enlargement coefficient |
| During the uncracked concrete stage | |
| Is | Cross-sectional moment of inertia of steel tube |
| If | Cross-sectional moment of inertia of flange plate |
| Acb | Cross-sectional area of concrete between steel tubes |
| Ics | Cross-sectional moment of inertia of concrete in steel tube |
| Icb | Cross-sectional moment of inertia of concrete between steel tubes |
| Iu | Cross-sectional moment of inertia of sts structure |
| During the cracked concrete stage | |
| ycc | Distance from the centroid to the neutral axis of the uncracked concrete region inside the steel tube |
| ycm | Distance from the centroid to the neutral axis of the uncracked concrete region between steel tubes |
| ysu | Distance from the centroid to the neutral axis of steel tube in the uncracked region |
| ysd | Distance from the centroid to the neutral axis of steel tube in the cracked region |
| dn | Height of the uncracked zone of concrete |
| Icc | Cross-sectional moment of inertia of uncracked concrete inside the steel tube |
| Isu | Cross-sectional moment of inertia of steel tube in the uncracked region |
| Ife | Cross-sectional moment of inertia of flange plate |
| Ieq | Effective cross-sectional moment of inertia of STS composite slab |
| Acc | Area of the uncracked concrete region inside the steel tube |
| Acm | Area of the uncracked concrete region between steel tubes |
| Asu | Area of steel tube in the uncracked region |
| Asd | Area of steel tube in the cracked region |
| Ic | Cross-sectional moment of inertia of sts structure |
| Icm | Cross-sectional moment of inertia of uncracked concrete between steel tubes |
| Isd | Cross-sectional moment of inertia of steel tube in the cracked region |
| Afe | Area of flange plate |
| EL | Longitudinal bending stiffness of the composite slab |
Seismic reliability analysis of shield tunnel faces under multiple failure modes by pseudo-dynamic method and response surface method
[J]. Journal of Central South University, 2022, 29(5): 1553-1564. DOI: 10.1007/s11771-022-5067-9.A case study of excessive vibrations inside buildings due to an underground railway: Experimental tests and theoretical analysis
[J]. Journal of Central South University, 2022, 29(1): 313-330. DOI: 10.1007/s11771-022-4920-1.Construction control technology of a four-hole shield tunnel passing through pile foundations of an existing bridge: A case study
[J]. Journal of Central South University, 2023, 30(7): 2360-2373. DOI: 10.1007/s11771-023-5368-7.Deformation analysis of shield undercrossing and vertical paralleling excavation with existing tunnel in composite stratum
[J]. Journal of Central South University, 2023, 30(9): 3127-3144. DOI: 10.1007/s11771-023-5431-4.Effects of pipe roof supports and the excavation method on the displacements above a tunnel face
[J]. Tunnelling and Underground Space Technology, 2008, 23(2): 120-127. DOI: 10.1016/j.tust.2007.02.002.Modeling the pipe umbrella roof support system in a Western US underground coal mine
[J]. International Journal of Rock Mechanics and Mining Sciences, 2013, 60: 114-124. DOI: 10.1016/j.ijrmms.2012. 12.037.Failure envelope of an underground rectangular pipe gallery in clay under pipe–soil interactions
[J]. International Journal of Geomechanics, 2023, 23(1):Analysis of ultimate bearing capacity and parameters of steel support cutting pipe roofing structure
[J]. Transportation Research Record: Journal of the Transportation Research Board, 2022, 2676(4): 348-366. DOI: 10.1177/03611981211059771.A case study on the application of the steel tube slab structure in construction of a subway station
[J]. Applied Sciences, 2018, 8(9): 1437. DOI: 10.3390/app8091437.Experimental and numerical investigation of flexural behaviour of secant pipe roofing structure
[J]. Structures, 2022, 41: 818-835. DOI: 10.1016/j.istruc.2022.05.029.Mechanical property of channel steel tube slab composite beams for underground space
[J]. Journal of Central South University (Science and Technology), 2020, 51(2): 464-477. DOI: 10.11817/j.issn.1672-7207.2020.02.020. (in Chinese)Full-scale experimental study on shear performance of joints of bundled integrate structure
[J]. Journal of Railway Science and Engineering, 2023, 20(1): 245-254. DOI: 10.19713/j.cnki.43-1423/u.t20220291. (in Chinese)Experimental investigation and design of thin-walled concrete-filled steel tubes subject to bending
[J]. Thin-Walled Structures, 2013, 63: 44-50. DOI: 10.1016/j.tws.2012.10.008.Bending behaviour of lightweight aggregate concrete-filled steel tube spatial truss beam
[J]. Journal of Central South University, 2016, 23(8): 2110-2117. DOI: 10.1007/s11771-016-3267-x.Structural optimization and engineering application of concrete-filled steel tubular composite supports
[J]. Engineering Failure Analysis, 2024, 159: 108082. DOI: 10.1016/j.engfailanal.2024.108082.Experimental study on the flexural behavior of steel tube slab composite beams and key parameters optimization
[J]. Advances in Structural Engineering, 2019, 22(11): 2476-2489. DOI: 10.1177/1369433219844335.Flexural performance of steel tube roof slab and parameter optimization
[J]. Case Studies in Construction Materials, 2023, 18:Longitudinal mechanical force mechanism and structural design of steel tube slab structures
[J]. Tunnelling and Underground Space Technology, 2023, 132: 104883. DOI: 10.1016/j.tust.2022. 104883.Design and optimization of secant pipe roofing structure applied in subway stations
[J]. Tunnelling and Underground Space Technology, 2023, 135: 105026. DOI: 10.1016/j.tust.2023. 105026.Calculation model of flexural stiffness of STS structure and parameters optimization
[J]. Journal of Northeastern University (Natural Science), 2021, 42(8): 1159-1165. DOI: 10.12068/j.issn.1005-3026.2021.08.014. (in Chinese)Construction of subway station using the small pipe roof-beam method: A case study of Shifu Road station in Shenyang
[J]. Tunnelling and Underground Space Technology, 2023, 135: 105000. DOI: 10.1016/j.tust.2023.105000.Novel pipe-roof method for a super shallow buried and large-span metro underground station
[J]. Underground Space, 2022, 7(1): 134-150. DOI: 10.1016/j.undsp.2021.06.003.Test and numerical simulation of excavation of subway stations using the small pipe-roof-beam method
[J]. International Journal of Geomechanics, 2023, 23(4):Experimental study of the behavior of rectangular excavations supported by a pipe roof
[J]. Applied Sciences, 2019, 9(10): 2082. DOI: 10.3390/app9102082.Ground and tunnel deformation induced by excavation in pipe-roof pre-construction tunnel: A case study
[J]. Tunnelling and Underground Space Technology, 2023, 131: 104832. DOI: 10.1016/j.tust.2022.104832.Laboratory testing of settlement propagation induced by pipe-roof pre-support deformation in sandy soils
[J]. Tunnelling and Underground Space Technology, 2024, 146: 105645. DOI: 10.1016/j.tust. 2024.105645.Analysis of pipe-roof in tunnel exiting portal by the foundation elastic model
[J]. Mathematical Problems in Engineering, 2017, 2017(1): 9387628. DOI: 10.1155/2017/9387628.Shear transfer behavior in composite slabs under 4-point standard and uniform-load tests
[J]. Journal of Constructional Steel Research, 2020, 164: 105774. DOI: 10.1016/j.jcsr. 2019.105774.Progressive collapse mode induced by slab-column joint failure in RC flat plate substructures: A new perspective
[J]. Engineering Structures, 2023, 292: 116506. DOI: 10.1016/j.engstruct. 2023.116506.Transverse-longitudinal flexural performance of steel tube slab composite slabs: A novel pipe roofing system for metro station
[J]. Tunnelling and Underground Space Technology, 2023, 140: 105276. DOI: 10.1016/j.tust.2023.105276.Study on flexural behavior of steel plate-concrete composite slabs with steel piercing profiles
[J]. Journal of Building Structures, 2017, 38(S1): 1-8. DOI: 10.14006/j.jzjgxb.2017.S1.001. (in Chinese)LU Bo, JIA Peng-jiao, ZHAO Wen, NI Peng-peng, BAI Qian, and CHENG Cheng declare that they have no conflict of interest.
LU Bo, JIA Peng-jiao, ZHAO Wen, NI Peng-peng, BAI Qian, CHENG Cheng. Deformation mechanism of a novel pipe-roof composite slab: An experimental and theoretical investigation [J]. Journal of Central South University, 2025, 32(3): 1044-1059. DOI: https://doi.org/10.1007/s11771-025-5908-4.
路博,贾鹏蛟,赵文等.一种新型管幕组合板的变形机制:试验及理论研究[J].中南大学学报(英文版),2025,32(3):1044-1059.

