J.Cent.South Univ.(2025) 32: 1099-1116
1 Introduction
The problem of traffic congestion is serious increasingly as the urban population increases [1-3]. In order to ease traffic jam and fully utilize urban underground space resources, large-span and large-section caverns are being designed and constructed [4-7].
Urban underground transportation caverns are generally buried shallowly, with the thin overlying strata and large cross-section span, the roof is prone to large-scale loosening and fracture after excavation [8-10]. If the surrounding rock support is not properly controlled, it will lead to accidents such as roof collapse and partial roof fall [11-14], so the stability of caverns will be seriously affected. Due to the strict settlement requirements of surface buildings, shallow-buried large-span caverns in urban underground traffic are faced with high requirements and difficulties in control. Many scholars have carried out a lot of research on the failure mode and stability control of shallow buried caverns.
In terms of theoretical research, ZHANG et al [15] analyzed the failure phenomena and rules during the excavation of shallow buried cavern, and revealed the characteristics of collapse failure of surrounding rock. YANG et al [16] established rigid body translational failure modes of shallow-buried cavern surrounding rock, and analyzed the rock pressure under the two kinds of failure modes. LIU et al [17] established a mechanical calculation model of load-bearing arch according to the characteristics of large-span cavern arched failure, and analyzed the influence mechanism of the thickness load-bearing arch. LI et al [18] analyzed the influence mechanism of large-span cavern under the condition of considering water pressure. LEI et al [19] established a failure mode for excavation asymmetric tunnels and derived an upper bound solution. Through the method of theoretical calculation, the above scholars have conducted further discussion on the failure characteristics and stress evolution law in shallow-buried large-span caverns under different conditions, but there are few theoretical studies on the prestressed support of caverns.
In terms of numerical simulation, JIANG et al [20] explored the influence of whether the bolt is prestressed on the reinforcement effect of tunnel surrounding rock. The results show that the failure occurs on the surface of surrounding rock without prestress. The failure occurs at the far end of the bolt after prestressing, which significantly increases the area of compressive stress zone. LI et al [21] studied the influence of prestress on the failure range for surrounding rock. With the increase of prestress, the deformation, failure zone range and plastic zone area of surrounding rock gradually decrease, and the stress state of surrounding rock is improved. YU et al [22] explored the influence of prestress on the stability for tunnel surrounding rock. The deformation vault of the tunnel roof decreases significantly as the prestress of bolt increased from 0 kN to 100 kN. The plastic zone area of surrounding rock is significantly reduced, and the stress state is greatly improved. CHEN et al [23] carried out a study on the failure characteristics of surrounding rock with or without prestress. The results show that the prestress of bolt increases from 0 to 120 kN, and the deformation of surrounding rock decreases significantly. The method of numerical simulation is used by the above scholars, and the effectiveness of prestressing on the improvement of surrounding rock stress state and surrounding rock control is clarified.
In practical applications, the higher the prestress applied to the supporting unit, the better the control effect of caverns [24, 25]. As a commonly used support method, bolt can enhance the self-bearing capacity of excavation caverns by strengthening loose rock [26-28]. During the static tensile test in the laboratory, the HRB335 bolt will experience necking and fracture when the peak load is reached after the strengthening stage. To ensure project safety, the prestress design value of the bolt can usually be applied to 30%-50% of the yield load of the rod material [29, 30], which is difficult to control the roof loose destruction of shallow-buried large-span caverns.
To solve the problem of shallow-buried large-span caverns roof control, the different failure modes of roof are analyzed. Two types of failure modes are established, namely arched failure and collapsed failure of the roof, and the reasonable design values are derived for the bolt prestress and length by using the limit analysis upper bound method. Constant resistance energy absorbing bolt (hereinafter referred to as CREA bolt) capable of applying high prestress is developed, and the corresponding support design method is proposed and applied in the field.
2 Roof collapse failure mechanism of shallow-buried large-span caverns
By analyzing the different failure forms of shallow-buried large-span caverns roof, two types of failure modes for caverns roof are established: arched failure and collapsed failure. Considering the surrounding rock stress, the dead weight of collapsed rock and the bolt prestress, the reasonable design values of the bolt prestress and support length are obtained by using Hoek-Brown strength criterion and limit analysis upper bound method.
2.1 Establishment of mechanical model
The excavation of the cavern causes stress redistribution and tangential stress increase. The roof loosens and breaks as the limit strength is exceeded. For shallow-buried large-span caverns, the thin overlying strata and large cross-section span, the roof arises fracture zone after excavation. When the boundary of the fracture zone does not reach the ground level, the rock mass between caverns roof and the ground level partially collapses, ie., arched failure [31, 32], as shown in Figure 1(a). When the boundary of the fracture zone reaches the ground level, the rock mass between the cavern roof and the ground level will overall collapse, ie., collapsed failure [33, 34], as shown in Figure 1(b).
_Xml/alternativeImage/0F51672B-6DA0-4ace-932F-1996366C991A-F001.jpg)
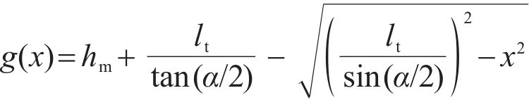
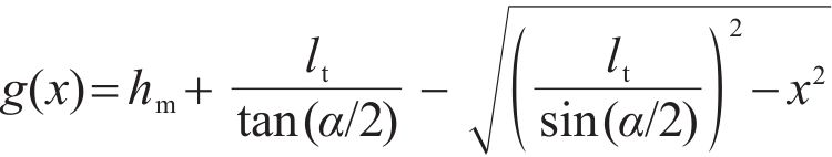
Take the circular arch shallow-buried large-span caverns commonly used on site as an example. The distance from the top of the cavern to the ground level is hd. The span of the cavern is 2lt. The height of the straight wall on both sides is hw. The expression equation of roof arch is g(x). The corresponding center angle is α, and the circle center is point O.
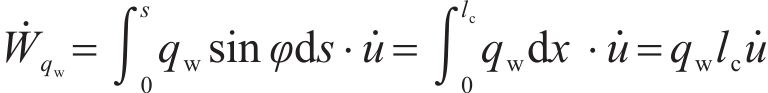
The non-caving part of the roof is modelled as an ideal rigid-plastic material, and the caving part is modelled as a rigid material, which settles downward along the y-axis with the velocity _Xml/alternativeImage/0F51672B-6DA0-4ace-932F-1996366C991A-M001.jpg)
The stress is modelled as the distributed stress qr acting on the collapsed rock and perpendicular to the collapsed rock. The corresponding principal stress at caving rock surface is σn, the angle from the x-axis is φ, and the shear stress is τn. The bolt is evenly arranged according to the angle of the cavern roof, the prestress of the bolt is P, and the angle between the adjacent bolts is θ.
2.2 Upper limit method of bolting support for shallow-buried large-span caverns
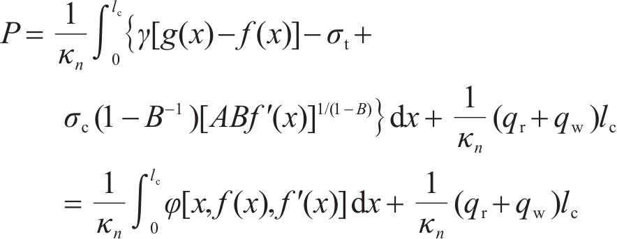
The upper limit method uses the principle of virtual work to construct the allowable field of velocity boundary condition and deformation coordination condition, so that the power of internal force and external force are equal, to determine the ultimate load required for rock mass failure.
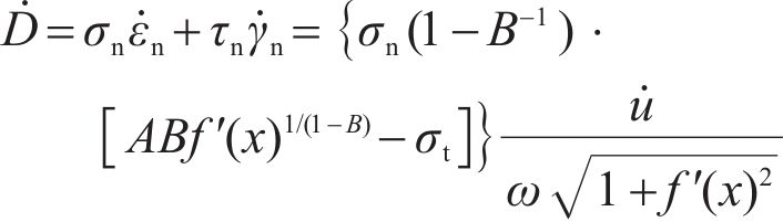
The collapsed rock is symmetrically distributed. Take the collapsed rock in the range of [0, lc] as the research object to analyze the failure mechanism of the roof. The failure surface of the roof is regarded as the layer with thickness ω. Under the condition of considering dead weight, bolt prestress, and surrounding rock stress, the principle of equal internal and external power can be expressed as:
_Xml/alternativeImage/0F51672B-6DA0-4ace-932F-1996366C991A-M002.jpg)
where _Xml/alternativeImage/0F51672B-6DA0-4ace-932F-1996366C991A-M003.jpg)
_Xml/alternativeImage/0F51672B-6DA0-4ace-932F-1996366C991A-M004.jpg)
_Xml/alternativeImage/0F51672B-6DA0-4ace-932F-1996366C991A-M005.jpg)
_Xml/alternativeImage/0F51672B-6DA0-4ace-932F-1996366C991A-M006.jpg)
_Xml/alternativeImage/0F51672B-6DA0-4ace-932F-1996366C991A-M007.jpg)
2.2.1 Failure analysis of roof based on arched failure mode
(1) The power of internal force to do work
According to the plastic potential theory [35], assume that the plastic potential surface of rock mass coincides with the yield surface. The energy dissipation rate per unit volume of caving rock surface is [36]:
_Xml/alternativeImage/0F51672B-6DA0-4ace-932F-1996366C991A-M008.jpg)
where _Xml/alternativeImage/0F51672B-6DA0-4ace-932F-1996366C991A-M009.jpg)
_Xml/alternativeImage/0F51672B-6DA0-4ace-932F-1996366C991A-M010.jpg)
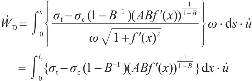
Assume that the arch curve total length of the collapsed roof fracture surface in the range of [0, lc] is s. Integrating Eq. (2) in the range of [0, s], the power of internal forces to do work generated at the thin deformation layer of the fracture surface is shown as follows:
_Xml/alternativeImage/0F51672B-6DA0-4ace-932F-1996366C991A-M011.jpg)
where _Xml/alternativeImage/0F51672B-6DA0-4ace-932F-1996366C991A-M012.jpg)
(2) The power of external force to do work
When the roof is broken, the dead weight, the surrounding rock stress and the bolt prestress will accelerate or restrain the failure and do work.
1) Work power by dead weight of collapsed rock
Assuming that the weight density of rock is γ, the power of rock dead weight accelerating roof rupture can be expressed as:
_Xml/alternativeImage/0F51672B-6DA0-4ace-932F-1996366C991A-M013.jpg)
where the curve equation of the vault is _Xml/alternativeImage/0F51672B-6DA0-4ace-932F-1996366C991A-M014.jpg)
2) Work power by surrounding rock stress
The surface force of caving rock is complicated, and the surrounding rock stress distributed along the fracture curve is calculated by definite integral. The power can be expressed as:
_Xml/alternativeImage/0F51672B-6DA0-4ace-932F-1996366C991A-M015.jpg)
3) Work power by water pressure
The water pressure distributed along the fracture curve is calculated by definite integral, and the power can be expressed as:
_Xml/alternativeImage/0F51672B-6DA0-4ace-932F-1996366C991A-M016.jpg)
4) Work power of bolt prestress
According to Figure 1(a), the number of bolts arranged in the surrounding rock collapse range
[0, lc] can be expressed as follows:
_Xml/alternativeImage/0F51672B-6DA0-4ace-932F-1996366C991A-M017.jpg)
where ψ is the central angle corresponding to the collapsed rock, and its expression is _Xml/alternativeImage/0F51672B-6DA0-4ace-932F-1996366C991A-M018.jpg)
_Xml/alternativeImage/0F51672B-6DA0-4ace-932F-1996366C991A-M019.jpg)
where κn is a coefficient related to the number of bolts.
If n is even, κn can be expressed as follows:
_Xml/alternativeImage/0F51672B-6DA0-4ace-932F-1996366C991A-M020.jpg)
If n is odd, κn can be expressed as follows:
_Xml/alternativeImage/0F51672B-6DA0-4ace-932F-1996366C991A-M021.jpg)
(3) Design of bolt support parameters
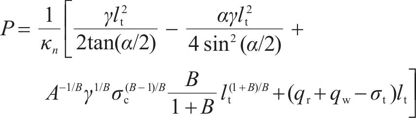
The key design parameters of the bolt include bolt length, prestress, spacing, etc. To quantify the design parameters, this section explores the main support parameters of bolts using theoretical calculation methods, and designs the prestress and length of bolt.
1) Design of bolt prestress
Substitute the calculation results of the power of internal forces to do work _Xml/alternativeImage/0F51672B-6DA0-4ace-932F-1996366C991A-M022.jpg)
_Xml/alternativeImage/0F51672B-6DA0-4ace-932F-1996366C991A-M023.jpg)
_Xml/alternativeImage/0F51672B-6DA0-4ace-932F-1996366C991A-M024.jpg)
_Xml/alternativeImage/0F51672B-6DA0-4ace-932F-1996366C991A-M025.jpg)
_Xml/alternativeImage/0F51672B-6DA0-4ace-932F-1996366C991A-M026.jpg)
_Xml/alternativeImage/0F51672B-6DA0-4ace-932F-1996366C991A-M027.jpg)
The prestress P of single bolt can be expressed as follows:
_Xml/alternativeImage/0F51672B-6DA0-4ace-932F-1996366C991A-M028.jpg)
where,
_Xml/alternativeImage/0F51672B-6DA0-4ace-932F-1996366C991A-M029.jpg)
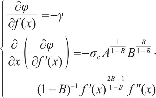
The prestress required for a single bolt is expressed by Eq. (12), which is a universal function of f (x). When Eq. (12) takes the maximum value, the solution of this equation can be obtained. So, Euler’s equation can solve it:
_Xml/alternativeImage/0F51672B-6DA0-4ace-932F-1996366C991A-M030.jpg)
Bring the relevant parameters into the equation:
_Xml/alternativeImage/0F51672B-6DA0-4ace-932F-1996366C991A-M031.jpg)
The following equation can be obtained after sorting out,
_Xml/alternativeImage/0F51672B-6DA0-4ace-932F-1996366C991A-M032.jpg)
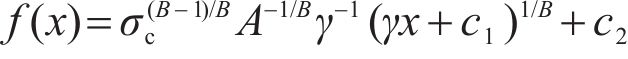
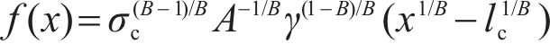
By integrating Eq. (16), the fracture curve equation can be obtained:
_Xml/alternativeImage/0F51672B-6DA0-4ace-932F-1996366C991A-M033.jpg)
where c1 and c2 are undetermined constants. The failure curve f(x) is symmetrically distributed along the y-axis because of the symmetry of the collapsed rock. Therefore, c1=0 should be satisfied. And the relationship is as follows:
_Xml/alternativeImage/0F51672B-6DA0-4ace-932F-1996366C991A-M034.jpg)
Equrations (17) and (18) can be solved simultaneously:
_Xml/alternativeImage/0F51672B-6DA0-4ace-932F-1996366C991A-M035.jpg)
The fracture curve equation can be obtained:
_Xml/alternativeImage/0F51672B-6DA0-4ace-932F-1996366C991A-M036.jpg)
Combining Eq. (20) with Eq. (12), the prestress required for a single bolt can be expressed as follows:
_Xml/alternativeImage/0F51672B-6DA0-4ace-932F-1996366C991A-M037.jpg)
2) Design of bolt support length
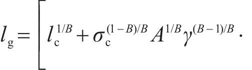
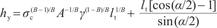
To ensure that the shallow-buried large-span caverns roof rock bolt has a good control effect, the bolts are anchored outside the damage range. The height hy from the vault to the top of the collapsed rock under arched failure mode can be calculated by Eq. (20):
_Xml/alternativeImage/0F51672B-6DA0-4ace-932F-1996366C991A-M038.jpg)
The bolt support length lb should be designed as:
_Xml/alternativeImage/0F51672B-6DA0-4ace-932F-1996366C991A-M039.jpg)
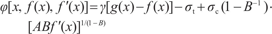
2.2.2 Failure analysis of roof based on collapse failure mode
(1) The power of internal force to do work
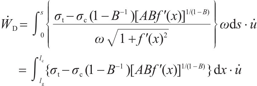
According to the above derivation results, in the range of [0, lc], the internal force work power at the fracture surface can be expressed as:
_Xml/alternativeImage/0F51672B-6DA0-4ace-932F-1996366C991A-M040.jpg)
(2) The power of external force to do work
1) Work power by dead weight of collapsed rock
The power of the dead weight can be obtained:
_Xml/alternativeImage/0F51672B-6DA0-4ace-932F-1996366C991A-M041.jpg)
According to geometric relationship of collapse failure model, the curve equation of the roof can be obtained as _Xml/alternativeImage/0F51672B-6DA0-4ace-932F-1996366C991A-M042.jpg)
2) Work power of surrounding rock stress
The caving surface stress distributed in the [lg, lc] range is integrated, and the work power of surrounding rock stress can be expressed as:
_Xml/alternativeImage/0F51672B-6DA0-4ace-932F-1996366C991A-M043.jpg)
3) Work power of water pressure
The water pressure distributed in the [lg, lc] range is integrated, and the work power of water pressure can be expressed as:
_Xml/alternativeImage/0F51672B-6DA0-4ace-932F-1996366C991A-M044.jpg)
4) Work power of bolt prestress
Because the boundary curve of the caving body is in contact with the ground plane, the bolt cannot be anchored in the stable rock stratum in this area. Therefore, this section does not consider the support force of the bolt in this area, and the number of bolts n required to be arranged in the roof [lg, lc] range is:
_Xml/alternativeImage/0F51672B-6DA0-4ace-932F-1996366C991A-M045.jpg)
When n is a decimal number calculated, n takes the integer part and the decimal part is deleted. The power of bolt prestress can be obtained:
_Xml/alternativeImage/0F51672B-6DA0-4ace-932F-1996366C991A-M046.jpg)
κn can be expressed as follows:
_Xml/alternativeImage/0F51672B-6DA0-4ace-932F-1996366C991A-M047.jpg)
(3) Design of bolt support parameters
1) Design of bolt prestress
Substitute the calculation results of the power of internal forces to do work _Xml/alternativeImage/0F51672B-6DA0-4ace-932F-1996366C991A-M048.jpg)
_Xml/alternativeImage/0F51672B-6DA0-4ace-932F-1996366C991A-M049.jpg)
_Xml/alternativeImage/0F51672B-6DA0-4ace-932F-1996366C991A-M050.jpg)
_Xml/alternativeImage/0F51672B-6DA0-4ace-932F-1996366C991A-M051.jpg)
_Xml/alternativeImage/0F51672B-6DA0-4ace-932F-1996366C991A-M052.jpg)
_Xml/alternativeImage/0F51672B-6DA0-4ace-932F-1996366C991A-M053.jpg)
After arranging Eq. (31), the expression of the prestress P of single bolt can be obtained:
_Xml/alternativeImage/0F51672B-6DA0-4ace-932F-1996366C991A-M054.jpg)
In the equation, φ[x, f(x), f '(x)] is the same as that of Eq. (13), so the fracture surface equation can be expressed Eq. (20). Solving Eq. (20) and Eq. (32) simultaneously, the prestress P of single bolt can be obtained:
_Xml/alternativeImage/0F51672B-6DA0-4ace-932F-1996366C991A-M055.jpg)
In the equation, _Xml/alternativeImage/0F51672B-6DA0-4ace-932F-1996366C991A-M056.jpg)
_Xml/alternativeImage/0F51672B-6DA0-4ace-932F-1996366C991A-M057.jpg)
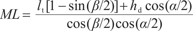
2) Design of bolt support length
Because the bolts cannot play a supporting effect in the range of [0, lg], the bolt length should be greater than the length of ML in the collapsed failure mode. The expression of the length of ML can be expressed as follows:
_Xml/alternativeImage/0F51672B-6DA0-4ace-932F-1996366C991A-M058.jpg)
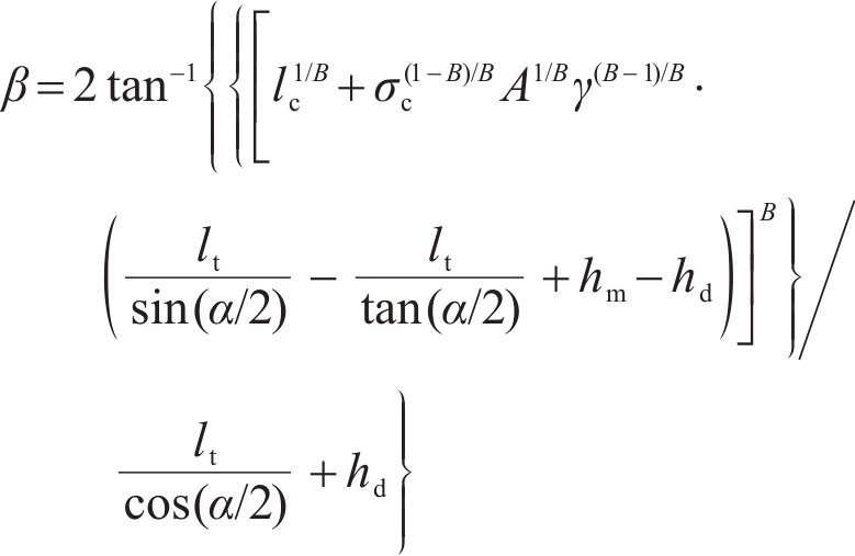
According to the collapse failure model, the expression of β can be expressed as follows:
_Xml/alternativeImage/0F51672B-6DA0-4ace-932F-1996366C991A-M059.jpg)
According to Eq. (34), the bolt support length lb is:
_Xml/alternativeImage/0F51672B-6DA0-4ace-932F-1996366C991A-M060.jpg)
2.3 Bolt support design under different failure modes
Based on the above theoretical derivation, the reasonable design value of bolt support parameters for shallow-buried large-span caverns can be carried out. The most conservative calculation takes into account the most unfavorable situation of roof failure, and the roof of the caverns collapses in the whole range, that is, lc=lt.
(1) Failure mode discrimination
By substituting lc=lt into Eq. (22), the discriminant of surrounding rock failure mode can be expressed as follows:
_Xml/alternativeImage/0F51672B-6DA0-4ace-932F-1996366C991A-M061.jpg)
When hy<hd, the boundary of the collapsed rock does not reach the ground level, which belongs to arched failure. On the contrary, the boundary of the collapsed rock reaches the ground level, which belongs to collapsed failure.
(2) Design of bolt support
By substituting lc=lt into the analytical solutions of bolt prestress and support length, the design equations of bolt support parameters can be obtained.
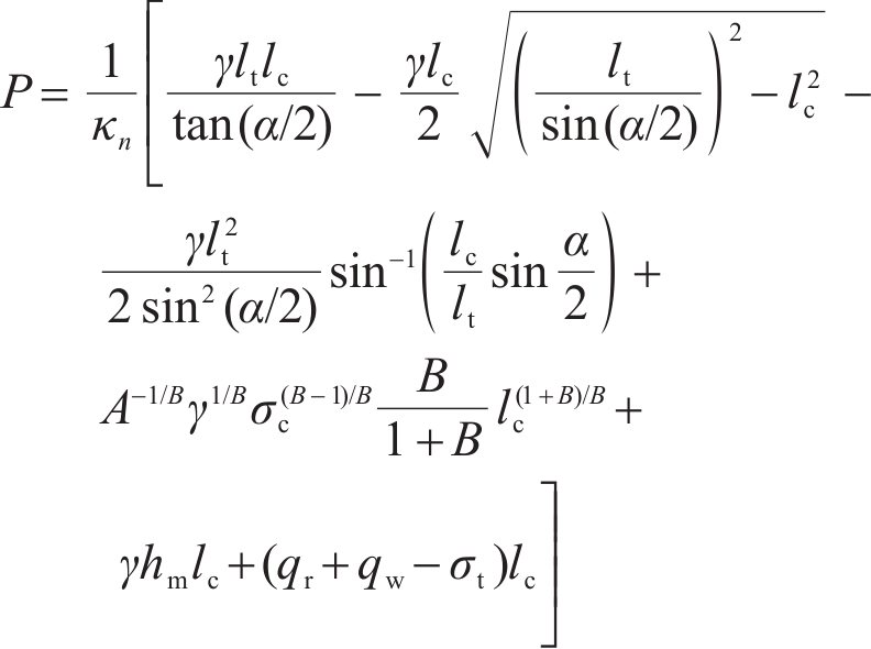
Arched failure mode: Roof collapse height does not reach the ground line after excavation. The reasonable design value of single bolt prestress in the failure model can be obtained:
_Xml/alternativeImage/0F51672B-6DA0-4ace-932F-1996366C991A-M062.jpg)
The bolt support design length lb can be expressed as follows:
_Xml/alternativeImage/0F51672B-6DA0-4ace-932F-1996366C991A-M063.jpg)
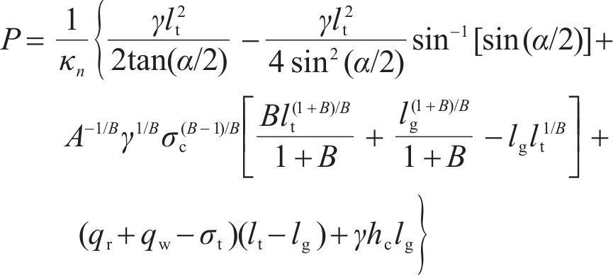
Collapsed failure mode: Roof collapse height reaches the ground line after excavation. The reasonable design value of single bolt prestress in the failure model can be obtained:
_Xml/alternativeImage/0F51672B-6DA0-4ace-932F-1996366C991A-M064.jpg)
In the equation, _Xml/alternativeImage/0F51672B-6DA0-4ace-932F-1996366C991A-M065.jpg)
_Xml/alternativeImage/0F51672B-6DA0-4ace-932F-1996366C991A-M066.jpg)
The bolt support length lb can be expressed as follows:
_Xml/alternativeImage/0F51672B-6DA0-4ace-932F-1996366C991A-M067.jpg)
The expression of β is:
_Xml/alternativeImage/0F51672B-6DA0-4ace-932F-1996366C991A-M068.jpg)
3 Influence of bolt support parameters in shallow-buried large-span caverns
In order to clarify the influence of different influencing factors on the length and prestress of bolt, the influence mechanism of bolt design parameters is analyzed based on Qingdao Metro station in China. The roof of the caverns is arched, the Section sizes are 23.4 m×18.7 m, and the buried depth is 20.3-34.5 m. It is a typical shallow-buried large-span cavern. According to on-site geological reports, the weight density of rock γ=25.9 kN/m3. The tensile strength σt=4.4 MPa. The compressive strength σc=67.8 MPa. The surrounding rock stress qr=4.5 MPa, and the empirical parameters A=0.203, B=0.686. According to Eq. (37), the height hy from the vault to the top of the collapsed rock is 3.29 m. The result is less than the cavern buried depth hd, indicating that the cavern roof belongs to arched failure mode. Taking the arched failure mode as an example, the influence mechanism of cavern roof mechanical parameters such as cavern width and surrounding rock stress on bolt prestress and support length is analyzed, including compressive strength of rock σc (50-90 MPa), weight density of rock γ (21-29 kN/m3), tensile strength of rock σt (4.2-4.4 MPa), surrounding rock stress qr (4.45-4.65 MPa) and cavern width 2lt(12-28 m). The length of bolt support and prestress are evaluated quantitatively by establishing the sensitivity coefficient ηij. The sensitivity coefficient ηij is calculated as follows:
_Xml/alternativeImage/0F51672B-6DA0-4ace-932F-1996366C991A-M069.jpg)
where I is the design parameter value of bolt support; V is the influencing factor of bolt support; i=1 or 2, which represents the support length of bolt and prestress respectively; j=1, …, 5, which represents the compressive strength σc, the tensile strength σt, the weight density of rock γ, the surrounding rock stress q and the cavern width 2lt, respectively.
3.1 Influence mechanism of bolt support length
According to the calculation equation of bolt support length in Section 2.3, the relationship curves of the weight density of rock γ, the compressive strength σc, the cavern width 2lt on the bolt support length are drawn (see Figure 2). The sensitivity coefficient of bolt support length is compared (see Figure 3).
_Xml/alternativeImage/0F51672B-6DA0-4ace-932F-1996366C991A-F002.jpg)
_Xml/alternativeImage/0F51672B-6DA0-4ace-932F-1996366C991A-F003.jpg)
1) The length of bolt support is negatively correlated with the compressive strength, positively correlated with the weight density of rock, and exponentially varied with the width of cavern.
2) The sensitivity coefficients of the compressive strength, the weight density of rock and the cavern width are 1.68, 1.61 and 14.86 respectively. Compared with other influencing factors, the width of the cavern has a greater influence on the length of the bolt support. Under the condition the design requirements of the safety and function for the cavern, the design value of the cavern width should be reduced as far as possible.
3.2 Influence mechanism of bolt prestress
According to the calculation equation of bolt prestress in Section 2.3, the relationship curves between the bolt prestress and the compressive strength σc, the weight density of rock γ, the tensile strength σt, the surrounding rock stress q, the cavern width 2lt are drawn, as shown in Figure 4. Comparison of sensitivity coefficients of bolt prestress is shown in Figure 5.
_Xml/alternativeImage/0F51672B-6DA0-4ace-932F-1996366C991A-F004.jpg)
_Xml/alternativeImage/0F51672B-6DA0-4ace-932F-1996366C991A-F005.jpg)
1) Under the same influence factors, the prestress of single bolt is positively correlated with the angle between bolts. Increasing the bolt density can reduce the prestress of single bolt.
2) The prestress of single bolt is negatively correlated with the tensile strength, which has great influence on it. It is also negatively correlated with compressive strength and has little influence on it. The better the mechanical properties and integrity of rock, the lower the prestress of single bolt.
3) The prestress of single bolt is positively correlated with the surrounding rock stress, which has great influence on it. It is also positively correlated with the weight density of rock and has little influence on it. Complex environment and large density of rock will lead to the increase of single bolt prestress.
4) The prestress of single bolt and the cavern width show an exponential growth trend. The bolt prestress required for a cavern with a width of 28 m is 162.5% higher than that of a cavern with a width of 12 m. The results show that the large-span caverns need high prestress bolt for support.
5) Taking the bolt arrangement scheme with an angle of 6° between adjacent bolts as an example, the influence mechanism of bolt prestress is analyzed by sensitivity coefficient. The sensitivity coefficients of weight density of rock, compressive strength, cavern width, tensile strength, surrounding rock stress are 0.30, 0.51, 1.22, 52.40, and 147.62, respectively. Analysis of sensitivity coefficient shows that the surrounding rock stress and the tensile strength have significant influence on the bolt prestress.
Under the conditions of large surrounding rock stress and poor rock properties, the roof is prone to collapsed failure. Therefore, high prestress bolt should be used to support the caverns to provide high strength support force and ensure the safety and stability of caverns.
4 Key technology of surrounding rock support for shallow-buried large-span caverns
According to the analysis in Section 3, high prestress support is the key to deformation control of shallow-buried large-span caverns. During the tensile process of common bolt, there are four stages: elasticity, yielding, strengthening, and necking and fracture. There is obvious necking phenomenon in the local area after the bolt broke. To prevent the failure of the bolt when there is a small deformation, the prestress design value of the bolt should be less than or equal to 50% of the yield load.
To solve the above problems and improve the prestress design value of bolt safely, we have developed a new type of bolt (hereinafter referred to as CREA bolt). To clarify the material characteristics of CREA bolt, mechanical comparative test is carried out between CREA bolt and HRB335 bolt.
4.1 Mechanical properties of high prestress bolt
The material comparison tests between CREA bolt and HRB335 bolt are carried out by static tensile test. The size parameter of bolt is Φ18 mm×1200 mm. The test device and bolts are shown in Figure 6. The strength-elongation curves of the CREA bolt body and HRB335 bolt body are shown in Figure 7. The elongation of each section for the bolts is counted after the test, as shown in Figure 8. The statistical results of the strength and elongation of the two types for bolts are shown in Figures 9 and 10.
_Xml/alternativeImage/0F51672B-6DA0-4ace-932F-1996366C991A-F007.jpg)
_Xml/alternativeImage/0F51672B-6DA0-4ace-932F-1996366C991A-F006.jpg)
_Xml/alternativeImage/0F51672B-6DA0-4ace-932F-1996366C991A-F008.jpg)
_Xml/alternativeImage/0F51672B-6DA0-4ace-932F-1996366C991A-F009.jpg)
_Xml/alternativeImage/0F51672B-6DA0-4ace-932F-1996366C991A-F010.jpg)
1) Comparison of mechanical properties
The yield strength values of HRB335 bolt and CREA bolt are 388.0 MPa and 812.6 MPa respectively; the breaking strength values of HRB335 bolt and CREA bolt are 576.0 MPa and 907.8 MPa, respectively. Compared with the former, the yield strength and breaking strength of the latter material are increased by 109.4% and 57.6%, respectively. At the same time, CREA bolt experienced two stages of elasticity and constant resistance during the tensile process. The tensile curve of static test shows that CREA bolt has high strength bearing capacity and ideal elastic-plastic properties. In the support control of shallow-buried large-span caverns, CREA bolt can be used to achieve high prestress active supporting for surrounding rock.
2) Comparison of deformation ability
The yield elongation and breaking elongation of HRB335 bolt are 1.5% and 15.1% respectively, and those of CREA bolt are 2.5% and 26.9% respectively. Compared with the former, the yield elongation and breaking elongation of the latter are increased by 66.7% and 78.1%, respectively. The average deformation of each section of HRB335 bolt is 13.0 mm, and the variance is 12.9 mm2, while those of CREA bolt are 20.5 mm and 5.4 mm2. Compared with the former, the average deformation of the latter increased by 57.7% and the variance decreased by 58.1%. The experimental data show that CREA bolt has significant advantages in the total deformation and uniform deformation of the bolt body, and the diameter of the bolt fracture has little change.
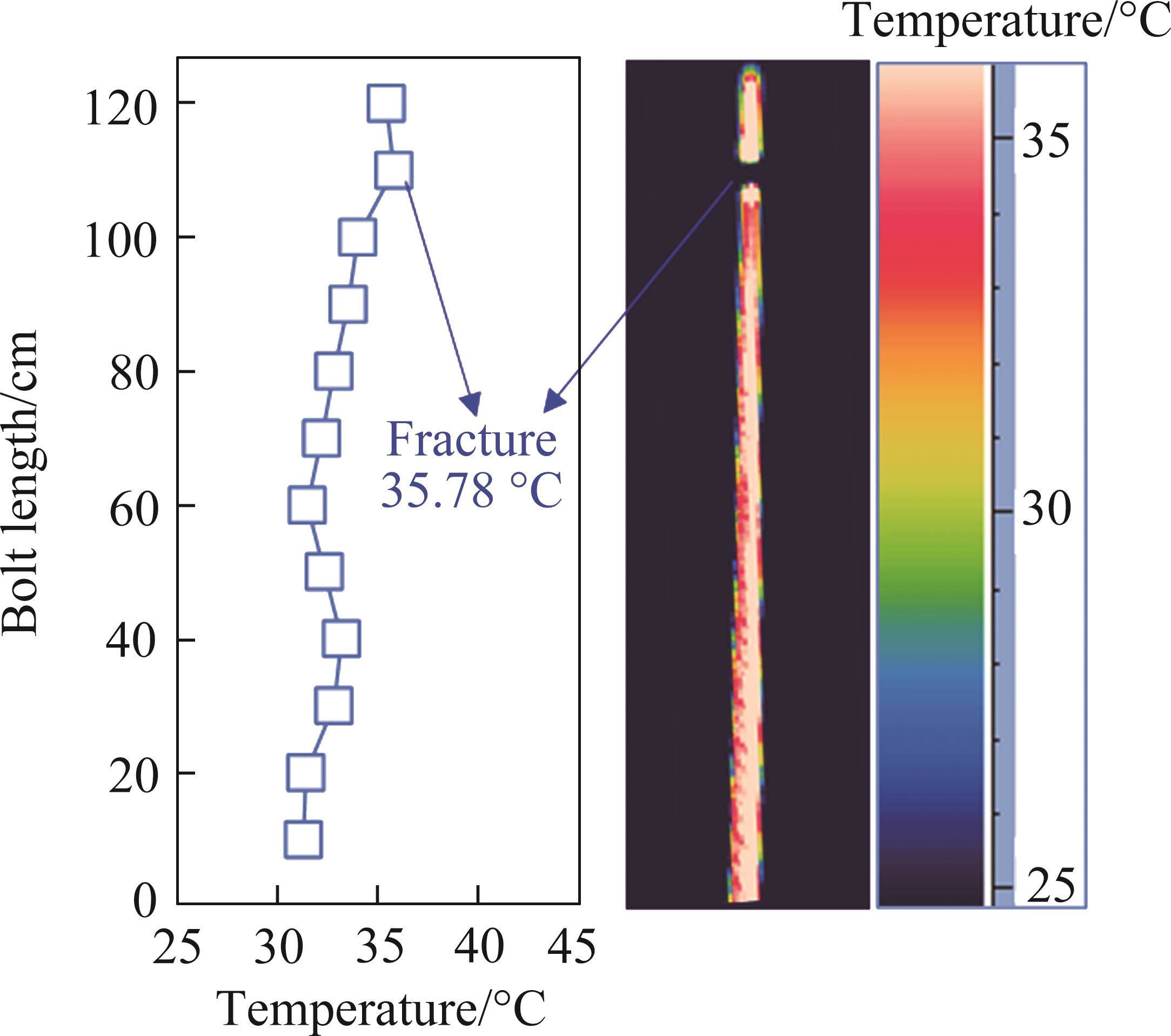
3) Temperature comparison of each section
A thermal infrared imaging system is used to record the temperature variation of bolt during tension. The temperature distribution of each section for the two types bolts are shown in Figures 11 and 12.
_Xml/alternativeImage/0F51672B-6DA0-4ace-932F-1996366C991A-F011.jpg)
_Xml/alternativeImage/0F51672B-6DA0-4ace-932F-1996366C991A-F012.jpg)
The fracture temperature, average temperature, and variance of HRB335 bolt are 42.33 ℃, 31.58 ℃ and 10.88 ℃2, respectively, and those of CREA bolt are 35.78 ℃, 33.37 ℃ and 1.68 ℃2, respectively. Compared with the former, the fracture temperature of the latter is 6.55 ℃ lower and the average temperature is 1.79 ℃ higher. The temperature variance of each section for HRB335 bolt is 6.48 times that of CREA bolt. Thermal infrared system data show that CREA bolt has the mechanical characteristics of uniform stress and uniform deformation.
4.2 High prestress bolt calculation model
While the carven is excavated, the high prestress can restore the normal stress on the free surface to the maximum extent in the shortest time. The stress environment of the near surface surrounding rock degraded by excavation is improved to resist the deformation of surrounding rock. At the same time, it plays an important role in improving the self-bearing capacity of surrounding rock [37-39]. Therefore, the higher the prestress of the bolt, the better the control effect of surrounding rock.
The calculation model of CREA bolt is obtained according to its mechanical properties, as shown in Figure 13. CREA bolt experiences two stages of elasticity and constant resistance during the tensile process, and its mechanical properties behave as quasi-ideal elastoplastic. Compared with HRB335 bolt, CREA bolt has a higher safety margin even if the prestress increases to 60%-70% of the yield load.
_Xml/alternativeImage/0F51672B-6DA0-4ace-932F-1996366C991A-F013.jpg)
5 High prestress bolt support design method and application
5.1 High prestress bolt support design method
The design method of high prestress bolt for shallow-buried large-span caverns is shown in Figure 14. Failure mode discrimination, design of bolt support length and bolt prestress are as follows:
_Xml/alternativeImage/0F51672B-6DA0-4ace-932F-1996366C991A-F014.jpg)
1) Failure mode discrimination: The distance hy from the roof to the top of collapsed rock is derived by bringing the relevant calculation parameters into Eq. (37), and the damage type of the roof is obtained by comparing the values of hy and hd from the roof to the ground line.
2) Design of bolt support length: Combined with different failure modes and Eq. (39) or
Eq. (41), the bolt length lb is designed, ensureing that the length of the bolt exceeds the fracture line to play the anchoring role.
3) Design of bolt prestress: The bolt spacing is designed according to the requirements of the specifications for bolt-shotcrete support [40].
Eq. (38) or Eq. (40) is used to calculate the prestress P required for a single bolt corresponding to different design schemes, and to ensure that the prestress P of the bolt is less than 70% of its yield load fy.
5.2 Field support design and application
According to the site parameters of Qingdao metro station in China, combined with the above design basis, the roof support of shallow-buried large-span cavern is designed with high prestress bolt.
1) Failure mode discrimination: According to Eq. (37), the height hy from the roof to the top of the collapsed rock is 2.3 m, and the falling body fails to meet the ground line. The roof at this site belongs to the arched failure mode.
2) Design of bolt support length: To prevent the bolt from anchoring in the loose rock formation, and ensure that it plays the anchoring role, the length of the bolt should exceed the fracture curve. According to Eq. (39), the minimum bolt support length can be calculated to be 2.3 m; therefore, the bolt support length is designed to be 4.0 m.
3) Design of bolt prestress: The high prestress bolt spacing is designed according to the requirements of the specifications for bolt-shotcrete support. Combined with the bolt prestress design Eq. (38), the prestress of single bolt under different bolt spacing can be calculated. In Table 1, the prestress value of a single bolt corresponding to different bolt spacing is calculated.
| Different design scheme | Angle between adjacent bolts/(°) | Bolt prestress/kN |
|---|---|---|
| Scheme Ⅰ | 4 | 73.8 |
| Scheme Ⅱ | 6 | 112.2 |
| Scheme Ⅲ | 8 | 148.6 |
| Scheme Ⅳ | 10 | 184 |
| Scheme Ⅴ | 12 | 219.5 |
According to the mechanical properties of CREA bolt in Section 4.1, the yield load of CREA bolt is 206.8 kN. The prestress that can be applied is 70% of the yield load; therefore, the prestress of CREA bolt is 144.76 kN. The prestress values of single bolt in scheme I and scheme II are lower than the maximum prestress that can be applied to high prestress bolt, which meets the requirements of support design. At the same time, considering that the larger the spacing between bolts, the less the number of bolts required, and the higher the economy of the support scheme. Scheme II is selected as the optimal support scheme for field application, and the bolt prestress is designed to be 120 kN.
Bolt installation steps: 1) The construction of bolt boreholes is carried out on the surrounding rock. 2) According to the design requirements, the design length of the resin anchoring agent is filled. 3) The whole length of the bolt is inserted into the borehole and the anchoring agent is stirred to play the anchoring role. 4) The bolt is tensioned and locked with lock while the prestress design value is reached. 5) The bolt installation is completed. The surrounding rock support scheme and its effect are shown in Figure 15.
_Xml/alternativeImage/0F51672B-6DA0-4ace-932F-1996366C991A-F015.jpg)
The displacement of roof and axial force of bolt are systematically monitored regularly, and the control effect is analyzed, as shown in Figure 16.
_Xml/alternativeImage/0F51672B-6DA0-4ace-932F-1996366C991A-F016.jpg)
1) According to the different falling speed, the roof settlement can be roughly divided into three processes: fast, slow, and stable. In the initial stage AB of support, due to the excavation of the cavern, the roof deformation is faster, the stress of the
bolt changes greatly, and the settlement rate is 0.44 mm/d. In the middle stage BC of support, the settling velocity is slow down, and the average settling velocity is 0.16 mm/d. In the later stage CD of support, there is little change in roof displacement, and the final settlement of the roof is 6.8 mm. The above field monitoring data show that the high prestress support design method can effectively control the settlement of shallow-buried large-span cavern.
2) When the roof settlement is stable, the maximum force of high prestress bolt is 136.8 kN. Compared with the high prestress bolt yield load of 206.8 kN, its maximum axial force is 66.2% of the yield load. The high prestress bolt still has a safety margin load of 70.0 kN. The results of cavern roof control effect and bolt axial force monitoring verify the correctness of the design method of high prestressed support with high prestress bolt.
6 Conclusions
1) According to the different failure modes of shallow-buried large-span caverns, two failure modes of roof surrounding rock, arch failure and collapse failure, are established. Based on the Hoek-Brown nonlinear rock strength failure criterion and considering the influence of different external environmental forces, the bolt design values of key parameters for cavern roof can be effectively obtained by using the upper limit analysis theory.
2) The influence law on the support length and prestress of bolt is obtained by analyzing the sensitivity index of different rock parameters and design parameters. It can be known that through the sensitivity analysis of compressive strength, tensile strength, weight density, surrounding rock stress and carven width, the influence of carven width to bolt support length and surrounding rock stress to bolt prestress is the largest.
3) A new CREA bolt with high strength and high elongation is developed according to the requirement of high prestressed support. Compared with HRB335 bolt, the yield strength and elongation at break of CREA bolt are 2.1 times and 1.8 times, respectively. At the same time, CREA bolt has the property of quasi-ideal plasticity. After applying high prestress, there is still enough safety reserve. Therefore, the prestress design value for CREA bolt can be 60%-70% of the yield load.
4) Combined with theoretical analysis and laboratory test results, the design method of high prestressed support bolt for shallow-buried large-span caverns is proposed and successfully applied to the engineering site. The effectiveness of new support materials and corresponding support design methods are verified by the analysis of roof settlement and bolt axial force. The support technology and design method above can provide a new idea for the control of shallow-buried large-span caverns.
Analytical and numerical study of the stability of shallow underground circular openings in cohesive ground
[J]. Engineering Geology, 2017, 226: 70-92. DOI: 10.1016/j.enggeo.2017. 05.013.A new multi-graph approach for selecting the sequential excavation method of civil tunnels
[J]. Tunnelling and Underground Space Technology, 2019, 91: 102999. DOI: 10.1016/j.tust.2019.102999.A special support design for a large-span tunnel crossing an active fault (T9 Tunnel, Ankara–Sivas High-Speed Railway Project, Turkey)
[J]. Environmental Earth Sciences, 2021, 80(1): 37. DOI: 10.1007/s12665-020-09328-1.A numerical simulation using FLAC3D to analyze the impact of concealed karstic caves on the behavior of adjacent tunnels
[J]. Natural Hazards, 2023, 117(1): 555-577. DOI: 10.1007/s11069-023-05872-8.An upper bound solution for tunnel face stability analysis considering the free span
[J]. Tunnelling and Underground Space Technology, 2020, 103: 103515. DOI: 10.1016/j.tust.2020.103515.Kinematical analysis of highway tunnel collapse using nonlinear failure criterion
[J]. Journal of Central South University, 2014, 21(1): 381-386. DOI: 10.1007/s11771-014-1951-2.Evaluation of the relationship between the collapsed mechanism and excavation method in tunnels excavated in schists
[J]. Scientific Reports, 2022, 12: 21274. DOI: 10.1038/s41598-022-25767-1.A new classification of failure mechanisms at tunnels in stratified rock masses through physical and numerical modeling
[J]. Tunnelling and Underground Space Technology, 2019, 91: 103017. DOI: 10.1016/j.tust.2019. 103017.Drilling-based measuring method for the c-φ parameter of rock and its field application
[J]. International Journal of Mining Science and Technology, 2024, 34(1): 65-76. DOI: 10.1016/j.ijmst.2023. 06.005.Study on the effect of a new construction method for a large span metro underground station in Tabriz-Iran
[J]. Tunnelling and Underground Space Technology, 2010, 25(1): 63-69. DOI: 10.1016/j.tust.2009.08.004.Three-dimensional roof collapse analysis in circular tunnels in rock
[J]. International Journal of Rock Mechanics and Mining Sciences, 2020, 128: 104275. DOI: 10.1016/j.ijrmms.2020.104275.Development of physical model test system for fault-slip induced rockburst in underground coal mining
[J]. Journal of Rock Mechanics and Geotechnical Engineering, 2024. DOI: 10.1016/j.jrmge.20 24.04.003. (in Press)Failure modes and face instability of shallow tunnels under soft grounds
[J]. International Journal of Damage Mechanics, 2019, 28(4): 566-589. DOI: 10.1177/1056789518773135.Design method of super large span chamber based on self-bearing theory of surrounding rock
[J]. Journal of Railway Engineering Society, 2021, 38(2): 1-7, 46. DOI: 10.3969/j.issn.1006-2106.2021.02.001. (in Chinese)Collapse mechanism of deep tunnels with three-centered arch cross Section
[J]. Journal of Central South University, 2016, 23(12): 3293-3301. DOI: 10.1007/s11771-016-3395-3.Study on the reinforcement mechanism of grouted bolts with or without prestress via the hybrid DEM-FDM method
[J]. Transportation Geotechnics, 2023, 40: 100967. DOI: 10. 1016/j.trgeo.2023.100967.Design principles of prestressed anchors for tunnels considering bearing arch effect
[J]. Computers and Geotechnics, 2023, 156: 105307. DOI: 10.1016/j.compgeo.2023.105307.Effect of prestressed anchorage system on mechanical behavior of squeezed soft rock in large-deformation tunnel
[J]. Tunnelling and Underground Space Technology, 2023, 131: 104782. DOI: 10.1016/j.tust.2022.104782.Stability analysis and failure mechanism of multiple parallel soft-rock tunnels considering the random distribution of rockmass joints
[J]. Engineering Failure Analysis, 2024, 159: 108150. DOI: 10.1016/j.engfailanal.2024.108150.Development and application of numerical limit analysis for geological materials
[J]. Chinese Journal of Rock Mechanics and Engineering, 2012, 31(7): 1297-1316. DOI: 10.3969/j.issn.1000-6915.2012.07.001. (in Chinese)Main aspects of deformation and rock support in Norwegian road tunnels
[J]. Tunnelling and Underground Space Technology, 2019, 86: 262-278. DOI: 10.1016/j.tust.2019.01.026.Mechanical properties of rocks anchored by constant resistance energy-absorbing material
[J]. Journal of Central South University, 2023, 30(10): 3361-3373. DOI: 10.1007/s11771-023-5456-8.Numerical and analytical simulation of the structural behaviour of fully grouted cable bolts under impulsive loading
[J]. International Journal of Mining Science and Technology, 2018, 28(5): 807-811. DOI: 10.1016/j.ijmst. 2018.08.012.Seventy years development and prospects of strata control technologies for coal mine roadways in China
[J]. Chinese Journal of Rock Mechanics and Engineering, 2021, 40(1): 1-30. DOI: 10.13722/j.cnki.jrme.2020.0072. (in Chinese)Research and application of a tunnel active-passive cooperative control mechanism
[J]. Tunnelling and Underground Space Technology, 2024, 149: 105801. DOI: 10.1016/j.tust.2024. 105801.Evolution characteristics of composite pressure-arch in thin bedrock of overlying strata during shallow coal mining
[J]. International Journal of Applied Mechanics, 2019, 11(3): 1950030. DOI: 10.1142/s1758825119500303.Study on pressure arch effect of xigeda strata tunnel based on experiment and discrete element simulation
[J]. Bulletin of Engineering Geology and the Environment, 2022, 81(5): 199. DOI: 10.1007/s10064-022-02700-4.Stability of a circular tunnel in cohesive-frictional soil subjected to surcharge loading
[J]. Computers and Geotechnics, 2011, 38(4): 504-514. DOI: 10.1016/j.compgeo.2011.02.014.Analytical solutions for collapse mechanisms in tunnels with arbitrary cross Sections
[J]. International Journal of Solids and Structures, 2010, 47(2): 216-223. DOI: 10.1016/j.ijsolstr.2009.09.028.Excavation compensation method and key technology for surrounding rock control
[J]. Engineering Geology, 2022, 307: 106784. DOI: 10.1016/j.enggeo.2022.106784.Development of multi-functional anchorage support dynamic-static coupling performance test system and its application
[J]. International Journal of Mining Science and Technology, 2024, 34(3): 339-349. DOI: 10.1016/j.ijmst.2024.02.005.A solution method for tunnel supporting structure system incorporating the active control of surrounding rock deformation
[J]. International Journal of Geomechanics, 2024, 24(1): 04023 243. DOI: 10.1061/ijgnai.gmeng-8652.JIANG Bei, WEI Hua-yong, WANG Qi, WANG Ming-zi, YIN Chen and ZHANG Yan-bo declare that they have no conflict of interest.
JIANG Bei, WEI Hua-yong, WANG Qi, WANG Ming-zi, YIN Chen, ZHANG Yan-bo. Design method of high prestressed support for shallow-buried large-span caverns [J]. Journal of Central South University, 2025, 32(3): 1099-1116. DOI: https://doi.org/10.1007/s11771-025-5909-3.
江贝,魏华勇,王琦等.浅埋大跨度硐室高预应力支护设计方法研究[J].中南大学学报(英文版),2025,32(3):1099-1116.

