J.Cent.South Univ.(2025) 32: 1080-1098
1 Introduction
With the vigorous development of urban underground infrastructure construction in China, shield tunnels have become an important way to alleviate urban traffic pressure and improve comprehensive urban transportation hubs. To reduce the energy consumption of subway vehicle in operation stage, subway stations are usually located at the top of the running tunnel. Considering this engineering requirement, the shield machines have to excavate with an inclined angle in longitudinal direction to construct running tunnels with longitudinal slope. Therefore, the face stability of a shield tunnel excavated with an inclined angle in longitudinal direction has drawn the attention of many scholars.
Because theoretical methods have the advantages of rigorous logic and high computational efficiency, some scholars used various theoretical methods to study the face stability of shield tunnels. Among these methods, limit equilibrium method and limit analysis method are effective methods to estimate the face stability of longitudinally inclined tunnels. Since the traditional silo-wedge model can accurately describe the failure pattern in front of tunnel face, some scholars [1, 2] used this model to investigate the face stability of a longitudinally inclined tunnel. To describe the failure characteristic of the tunnel face in a kinematically admissible velocity field, MOLLON et al [3] proposed a new failure mechanism to investigate the stability analysis of tunnel face in purely cohesive soil. Based on the failure mechanism of tunnel face proposed by MOLLON et al [3], HUANG et al [4] constructed an improved 3D failure mechanism and studied the effect of soil anisotropy on the face stability of inclined shield tunnels. Furthermore, ZHAO et al [5] constructed a 3D multiple-slider failure mechanism which composed of several rigid cones with circular cross sections based on the upper bound theorem of limit analysis. Using this failure mechanism, they investigated the influence of the inclined angle and tunnel length on the critical pressure and failure range. Later, CHENG et al [6] further studied the influence of inclined strata on the face stability of the longitudinally inclined tunnel. Furthermore, YE et al [7] constructed a rotation-translation failure mechanism to investigate the partial failure of the inclined tunnel face. However, these failure mechanisms of the tunnel face mentioned above are composed of rigid wedges, they cannot reflect the failure characteristic of the tunnel face under complex conditions. Thus, MOLLON et al [8] proposed a spatial discretization technique to generate the failure mechanisms of the tunnel face “points by points”. Because this failure mechanism is consistent with the failure characteristic of the tunnel face observed in the experimental tests, some scholars began to use this mechanism to study the stability of tunnel face [9, 10].
On the other hand, when shield tunnels pass through strata with abundant ground water, the pore water pressure may affect the stability of the tunnel faces [11]. Thus, some scholars [12, 13] have investigated the influence of pore water pressure on the face stability of shield tunnels. To study the effect of the pore water pressure on the stability of tunnel face, PAN et al [14] used a numerical simulation technique to calculate the pore water pressure distribution of tunnel face. By introducing the pore water pressure into the equation of virtual work, they calculated the critical effective face pressure with consideration of the pore water pressure distribution. Subsequently, PAN et al [15] used a similar method to obtain the 3D steady-state seepage field in weak rock masses. By considering the seepage force as a body force, they derived an analytical expression for the support pressure based on the modified Hoek-Brown criterion. Later, many scholars also employed this method to study the stability of tunnel face under various complex situations with the consideration of pore water pressure effect [16-18].
Currently, most of the face stability studies of a shield tunnel excavated with an inclined angle in longitudinal direction are carried out with the traditional Mohr-Coulomb failure criterion. However, some scholars [19, 20] found that the strength reduction of soils in the local tensile regime has significant influence on the failure mode of the tunnel face. Thus, LI et al [21] improved the classical Mohr-Coulomb criterion by considering the effect of tensile strength cut-off. Based on the modified Mohr-Coulomb criterion, they derived the upper bound solution of support pressure of a non-circular tunnel face. Their studies indicated that the strength reduction of soils in tensile regime had a significant influence on the support pressure and the failure mode of tunnel face. Combining the tensile strength cut-off effect with a nonlinear technique, ZHONG et al [22] constructed a 3D collapse failure mechanism to investigate the face stability of deep buried tunnels. The results of their parametric analysis show that the failure range of tunnel face decreased with decreasing reduction coefficient. More recently, some scholars also investigated the roof stability of deep tunnels with the consideration of the tensile strength cut-off effect [23, 24].
Presently, numerous theoretical models of the longitudinally inclined tunnel face are constructed by rigid wedges, and the theoretical models constructed by spatial discretization technique did not consider the effects of tensile strength cut-off and pore water pressure. Therefore, a modified failure mechanism of tunnel face was constructed based on the spatial discretization technique with the consideration of tensile strength cut-off in this paper. The numerical simulation technology was used to calculate the distribution of pore water pressure in front of the tunnel face. By introducing the pore water pressure into the energy consumption calculation, the upper bound solution of the critical chamber pressure considering the effects of tensile strength cut-off and pore water pressure was obtained. Furthermore, the method of normalized analysis was used to discuss the influence of different parameters on the face stability of longitudinally inclined tunnels. Finally, the theoretical results are compared with the numerical results calculated by FLAC3D to verify the effectiveness of the proposed approach.
2 Modified failure mechanism of longitudinally inclined tunnel
2.1 Problem statement
A schematic diagram of the longitudinally inclined tunnel considering the effect of pore water pressure is shown in Figure 1. A longitudinally inclined circular tunnel with a diameter of D and inclined angle of δ is excavated under the water table. The water table elevation Hw is measured from the crown of the tunnel; C is the buried depth of the tunnel; and hs refers to the piezometric head in the work chamber at the tunnel face. If hs<(Hw+D), the groundwater will flow into the tunnel face, and cause the hydraulic gradients ahead of the tunnel face to vary rapidly. This phenomenon simultaneously produces the seepage force Fw acting on the soil in the direction of the groundwater flow, which results in surface settlement and collapse failure of the tunnel face [25, 26]. In this paper, only the problem of the collapse failure mode of longitudinally inclined tunnels is considered.
_Xml/alternativeImage/0FED3038-ECE6-4022-ACA4-7A3D9BFB1D1F-F001.jpg)
Figure 1 shows that the collapse failure block ABF refers to a 3D rotational block that was first proposed by MOLLON et al [8]. Because the soil strength in the tensile regime is reduced, the effect of tensile strength cut-off was introduced by LI et al [21] to modify the traditional collapse failure mechanism. The modified failure mechanism proposed by LI et al [21] involves the formation of a rounded corner at the top of the failure surface rather than a sharp corner, which is more consistent with the actual failure mode [27].
2.2 Tensile strength cut-off
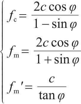
In the traditional Mohr-Coulomb failure criterion, the uniaxial compressive strength, uniaxial and triaxial tensile strengths are expressed by the following equations, respectively.
_Xml/alternativeImage/0FED3038-ECE6-4022-ACA4-7A3D9BFB1D1F-M001.jpg)
where fc, fm are the uniaxial compressive and tensile strengths, respectively.
The overall tensile strength of soil is much smaller than the one defined by the traditional Mohr-Coulomb failure criterion in practical situations, which is inconsistent with the calculation of tensile strength in Eq. (1). The classical Mohr-Coulomb failure criterion is considered to be not suitable to define the strength of soil in tensile regime. Thus, PAUL [28] introduced the tensile strength cut-off point into the principal stress space to define the local tensile strength ft of soil, which can be seen in Figure 2. The local tensile stress in the soil can be expressed as
_Xml/alternativeImage/0FED3038-ECE6-4022-ACA4-7A3D9BFB1D1F-M002.jpg)
_Xml/alternativeImage/0FED3038-ECE6-4022-ACA4-7A3D9BFB1D1F-F002.jpg)
where ξ is the reduced tensile strength coefficient, which ranges from 0 to 1. When ξ=0, the tensile strength corresponds to envelope C in Figure 2; when ξ=1, the tensile strength corresponds to envelope A; and when 0<ξ<1, the tensile strength is related to the dilatancy angle λ, which corresponds to envelope B.
It is assumed that the failure surface AF, BF in Figure 1 bears a traction vector T, and points located at AF, BF move at the velocity v in the kinematically admissible velocity field. The work rate done by internal energy for per unit length can be calculated as
_Xml/alternativeImage/0FED3038-ECE6-4022-ACA4-7A3D9BFB1D1F-M003.jpg)
Combined with Eqs. (1) and (2), the expression of wD in tensile regime can be written as
_Xml/alternativeImage/0FED3038-ECE6-4022-ACA4-7A3D9BFB1D1F-M004.jpg)
2.3 Construction of modified failure mechanism
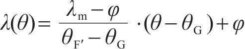
In this contribution, the effect of tensile strength cut-off was introduced to modify Mollon’s collapse failure mechanism. The collapse failure mechanism is composed of four log-spiral curves, AG, GFʹ, BH and HFʹ, as the two log-spiral curves, GFʹ and HFʹ, intersect at the top point Fʹ, which forms the tensile region, as shown in Figure 3(a). However, the buried depth of the tunnel decreases as the longitudinally inclined tunnel advances gradually, which leads to the collapse failure block extending to the ground surface. The two log-spiral curves intersect with the ground surface at points M and N, as shown in Figure 3(b). The collapse failure block rotates around the rotation centre O at angular velocity ω. The log-spiral curves of the 3D collapse failure mechanism in Figure 3 can be expressed in the form of polar coordinates:
_Xml/alternativeImage/0FED3038-ECE6-4022-ACA4-7A3D9BFB1D1F-M005.jpg)
_Xml/alternativeImage/0FED3038-ECE6-4022-ACA4-7A3D9BFB1D1F-F003.jpg)
where rA, rB, rG, and rH are the lengths of OA, OB, OG and OH, respectively; θA, θB and θG denote the inclinations of OA, OB and OG (OH), respectively; and φ is the friction angle, which is the angle between the velocity direction at any point on the log-spiral curves and its tangent direction. The dilatancy angle λ is a function of the geometric parameter θ, which reaches its maximum value λm at point Fʹ [29, 30]. The value range of λ is from φ to 90°. The expression of the dilatancy angle λ can be expressed as
_Xml/alternativeImage/0FED3038-ECE6-4022-ACA4-7A3D9BFB1D1F-M006.jpg)
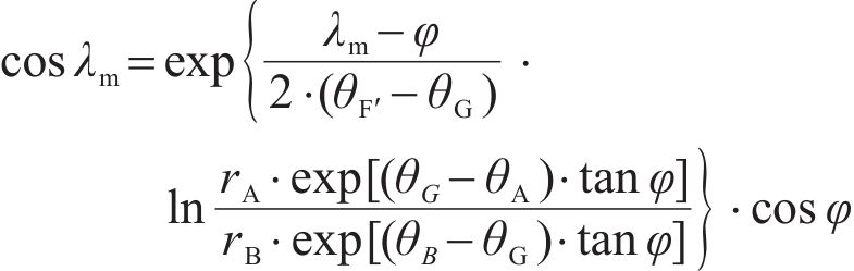
When the equation of r3(θF′)=r4(θF′) is satisfied, the dilatancy angle λ and the geometric parameter θ reach their maximum values. The computational formula of λm can be written as
_Xml/alternativeImage/0FED3038-ECE6-4022-ACA4-7A3D9BFB1D1F-M007.jpg)
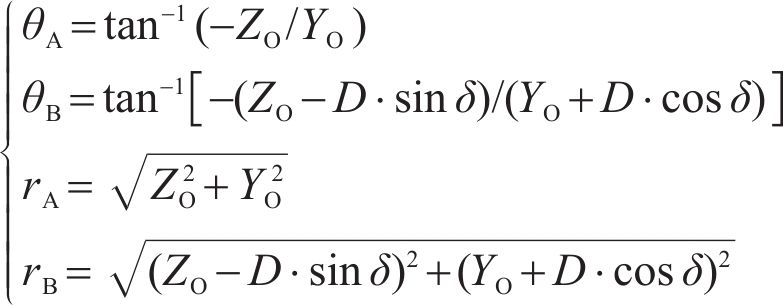
In the space rectangular coordinate system shown in Figure 3, the coordinates of the rotation centre O, point A at the vault of the tunnel and point B at the invert of the tunnel are (0, YO, ZO), (0, 0, 0) and (0, -Dcosδ, Dsinδ), respectively. According to the law of tangents, the geometric parameters θA, θB, rA and rB can be expressed as
_Xml/alternativeImage/0FED3038-ECE6-4022-ACA4-7A3D9BFB1D1F-M008.jpg)
where δ is the inclined angle of the longitudinally inclined tunnel. When the value of δ is positive, the tunnel is inclined upwards; when the value of δ is negative, the tunnel is inclined downwards.
The generation of the collapse failure mechanism is determined by the location of the rotation centre O. To facilitate the optimal calculation, the geometric parameters θE and rE/D of the tunnel centre E are introduced to calculate the coordinates of the rotation centre O. The coordinates of the rotation centre O can be expressed as
_Xml/alternativeImage/0FED3038-ECE6-4022-ACA4-7A3D9BFB1D1F-M009.jpg)
For the collapse failure mechanism at greater burial depths, the curves GFʹ and HFʹ intersect at point Fʹ. The generation of the collapse failure mechanism ends at point Fʹ. According to Eqs. (5) and (3), the computational formula of rFʹ and θFʹ can be written as
_Xml/alternativeImage/0FED3038-ECE6-4022-ACA4-7A3D9BFB1D1F-M010.jpg)
If a shield tunnel excavates with an inclined angle in a shallow stratum, the failure mechanism of the tunnel face may approach to the ground surface gradually. When the shield machine excavates a specific position, the failure mechanism of the tunnel face will inevitably extend to the ground surface. The failure mechanism of the tunnel face in this case can be demonstrated in Figure 3(b). Based on the generation principle of the failure mechanism, the failure mechanism shown in Figure 3(b) is controlled by the termination points M and N. Therefore, to determine whether the failure mechanism has extended to the ground surface, an additional condition is imposed in the calculation program to distinguish whether the generated points are located on the ground surface or above the ground surface. The failure mechanism generation program can be written as the following idea: if the generated points are located below the ground surface, the generation of the failure mechanism continues; if the generated points happen to be located on the ground surface, the generation of the failure mechanism is completed; if the generated points are located above the ground surface, these points will be replaced by the points located on the ground surface which are calculated by using of interpolation.
2.4 The calculation of pore water pressure
To evaluate the influence of the pore water pressure on the face stability of longitudinally inclined shield tunnels, it is necessary to analyze the seepage field in front of the tunnel face during tunnel construction. VIRATJANDR et al [31] stated that the work produced by pore water pressure consists of two parts: the work produced by pore water pressure on the soil body and the work produced on the boundary of the velocity field. Due to the lack of an effective theoretical method for calculating the actual pore water pressure on a collapsed failure block, a numerical simulation is applied here to calculate the distribution of the pore water pressure.
In this work, it is assumed that the longitudinally inclined tunnel is located in a steady-state hydraulic field so that the soil permeability and porosity are equal anywhere in the numerical model. The numerical model is constructed by the standardized modelling method so that the pore water pressure on the nodes of the numerical model can correspond to that on the 3D collapse failure mechanism. A numerical model with approximately 389241 nodes and a total of 387000 zones for the case of D=10 m, C/D=2.0 and δ=10° is shown in Figure 4. Because the 3D numerical model is axisymmetric, only half of the longitudinally inclined tunnel is constructed to improve the operational speed. To ensure the elimination of the boundary effect, a numerical model is constructed with sizes of 35.00, 50.98 and 60.00 m in the transverse, longitudinal and vertical directions, respectively. The liner element is activated behind the tunnel face to simulate the shield lining segments, which are set to be impermeable so that the groundwater can only seep into the interior of the tunnel from the tunnel face. During the process of seepage simulation, a rapid change in the hydraulic head gradient appears near the tunnel face. Therefore, the mesh in the vicinity of the tunnel face is densified to increase the precision of the interpolation of the pore water pressure. In addition, it is assumed that there is continuous and sufficient groundwater recharge so that the water table elevation remains constant during the process of groundwater seepage.
_Xml/alternativeImage/0FED3038-ECE6-4022-ACA4-7A3D9BFB1D1F-F004.jpg)
Based on the constructed numerical model shown in Figure 4, the pore water pressure distribution contours of the tunnel face for D=10 m, C/D=2.0, δ=10° and Hw/C=1 are obtained, as shown in Figure 5. The tunnel face is assumed to be an impermeable interface so that the pore water pressure at the tunnel face is prescribed to be zero. It should be noted that the hydraulic elevation is measured from the crown of the tunnel face. The rapid variation in the hydraulic gradient at the tunnel face will result in large seepage forces acting on the collapse failure mechanism.
_Xml/alternativeImage/0FED3038-ECE6-4022-ACA4-7A3D9BFB1D1F-F005.jpg)
Based on the pore water pressure distribution obtained by numerical simulation, a FISH routine is used to extract the pore water pressure of each node around the tunnel. Then, the pore water pressure is introduced into the 3D rotational failure mechanism to establish the virtual work equation. However, the extracted pore water pressure of nodes in the numerical model cannot fully correspond to the points on the failure mechanism. Thus, based on the correspondence of the nodes between the numerical and theoretical models, the pore water pressure obtained from numerical simulation was interpolated at each discretization point of the constructed failure mechanism by using of linear interpolation method. The failure mechanism of the longitudinally inclined tunnel face with the consideration of the pore water effect was obtained. Using this failure mechanism, the work rate of the pore water pressure around the tunnel face can be calculated in the framework of upper bound theorem of limit analysis.
2.5 Upper bound limit analysis
To maintain the stability of the soil in front of a longitudinally inclined shield tunnel, it is necessary to calculate the critical chamber pressure. Based on the constructed failure mechanism of the longitudinally inclined tunnel face, the work rates of the external forces and internal energy dissipation can be calculated to obtain the objective function of the critical chamber pressure. Subsequently, the expressions of the external work rate and energy dissipation rate are derived separately in this paper.
On the basis of space discretization technology, a 3D rotational failure mechanism composed of several discretized points and triangular facets is constructed, as shown in Figure 6. By using these discretized points and triangular facets, the external work rate can be calculated, which includes the work generated by gravity, pore water pressure and chamber pressure.
_Xml/alternativeImage/0FED3038-ECE6-4022-ACA4-7A3D9BFB1D1F-F006.jpg)
According to MOLLON et al [8], there is no volumetric strain within the rotational failure block (assumption of rigid block), and the external work rate produced by gravity can be calculated as follows
_Xml/alternativeImage/0FED3038-ECE6-4022-ACA4-7A3D9BFB1D1F-M011.jpg)
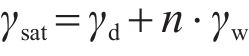
where ω is the angular velocity of the whole failure mechanism and Vi,j (V′i,j) is the volume of the discretized element, which corresponds to the rotation radius Ri,j (R′i,j) and inclination angle θi,j(θ′i,j). It is assumed that the soil under the water table is completely saturated in this work. Therefore, the saturated unit weight γsat of the soil is used to calculate the work rate of gravity when the soil is under the water table; when the soil is above the water table, the saturated unit weight γsat in Eq. (11) is replaced by the dry unit weight γd. The conversion formula between the saturated unit weight and dry unit weight of soil is expressed as
_Xml/alternativeImage/0FED3038-ECE6-4022-ACA4-7A3D9BFB1D1F-M012.jpg)
where n is the porosity of the soil and γw is the water unit weight.
The calculation of the work rate of the pore water pressure should consider the influence of the seepage forces and buoyancy forces, which can be written as
_Xml/alternativeImage/0FED3038-ECE6-4022-ACA4-7A3D9BFB1D1F-M013.jpg)
where u refers to the pore water pressure; ni denotes the outwards unit vector normal to the surface boundary S of the failure mechanism; and vi is the velocity vector in the kinematically admissible velocity field. ɛi is the volumetric strain increment of the soil skeleton, which corresponds to the volume V of the failure mechanism.
According to the assumption of rigid blocks mentioned above, the parameter ɛi is equal to zero in Eq. (13). Therefore, Eq. (13) can be simplified to
_Xml/alternativeImage/0FED3038-ECE6-4022-ACA4-7A3D9BFB1D1F-M014.jpg)
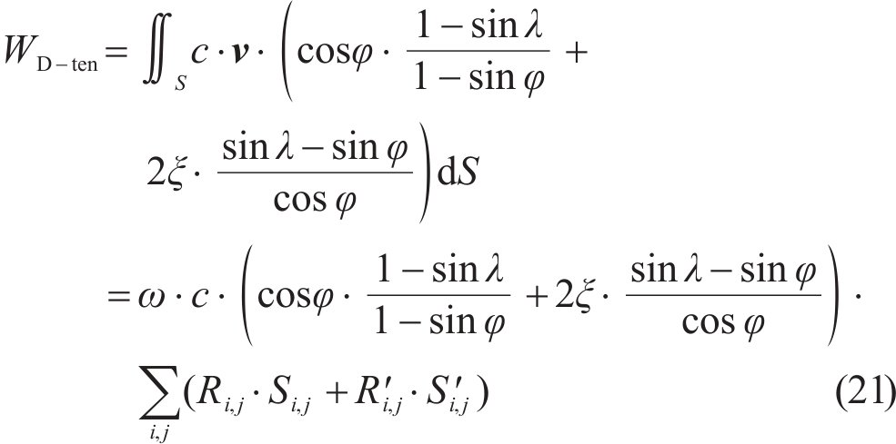
Based on the discretized failure mechanism sketched in Figure 3, the work rate of the pore water pressure can be calculated as
_Xml/alternativeImage/0FED3038-ECE6-4022-ACA4-7A3D9BFB1D1F-M015.jpg)
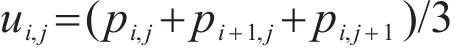
where ui,j and u′i,j are the average pore water pressures of the triangular facets Fi,j and F′i,j, respectively; Si,j and S′i,j represent the areas of the triangular facets Fi,j and F′i,j, respectively; and Ri,j and R′i,j are the distances between the rotation centre O and the centre of gravity of the triangular facets Fi,j and F′i,j, respectively. ui1, Si1 and θi1 are the parameters used to calculate the work rate of the pore water pressure at the intersection surface between the failure mechanism and the groundwater surface. The average pore water pressure is calculated by the pore water pressure at the corresponding discretized points, which can be expressed as
_Xml/alternativeImage/0FED3038-ECE6-4022-ACA4-7A3D9BFB1D1F-M016.jpg)
_Xml/alternativeImage/0FED3038-ECE6-4022-ACA4-7A3D9BFB1D1F-M017.jpg)
where pi,j, pi+1,j, pi,j+1 (pi+1,j, pi,j+1, pi+1,j+1) represent the pore water pressures on the three vertices of the triangular facet Fi,j (F′i,j), respectively.
Suppose that the chamber pressure σc is a uniform pressure that acts on the tunnel face vertically. Thus, the work rate of the chamber pressure can be calculated as
_Xml/alternativeImage/0FED3038-ECE6-4022-ACA4-7A3D9BFB1D1F-M018.jpg)
where SΣj represents the area of the discretized element on the tunnel face; Rj and βj represent the rotation radius and inclination angle of the corresponding discretized element, respectively.
The internal energy dissipation rate occurs along the surfaces of the failure mechanism, which can be calculated as
_Xml/alternativeImage/0FED3038-ECE6-4022-ACA4-7A3D9BFB1D1F-M019.jpg)
where c and φ are the cohesion and friction angle of the soil, respectively.
Because the tensile strength cut-off was introduced in the construction of the collapse failure mechanism, the angle between the velocities and the tangential direction of the discretized points on the collapse surface in the tensile region is equal to dilatancy angle λ. According to Eq. (4) obtained in Section 2.2, the internal energy dissipation rate per unit area is defined by the reduced tensile strength, which can be expressed as
_Xml/alternativeImage/0FED3038-ECE6-4022-ACA4-7A3D9BFB1D1F-M020.jpg)
where ξ is the reduced tensile strength coefficient.
Thus, the internal energy dissipation rate in the tensile region is different from that in Eq. (19), and can be written as
_Xml/alternativeImage/0FED3038-ECE6-4022-ACA4-7A3D9BFB1D1F-M021.jpg)
In the framework of upper bound theorem of limit analysis, the objective function of the critical chamber pressure can be derived by equating the external work rates to the internal energy dissipation rate. Therefore, a strict upper bound solution of the chamber pressure can be expressed as
_Xml/alternativeImage/0FED3038-ECE6-4022-ACA4-7A3D9BFB1D1F-M022.jpg)
However, the derived objective function is the general solution of the critical chamber pressure. The MATLAB software is used here to optimize the position parameters θE and rE/D of the rotation centre O, the geometric parameters θG of the tensile region and λm of the dilatancy angle. Finally, the optimal upper bound solution of the critical chamber pressure considering the effect of the pore water pressure is obtained. The optimal calculation of the objective functions of the critical chamber pressure should follows the relevant constraints:
_Xml/alternativeImage/0FED3038-ECE6-4022-ACA4-7A3D9BFB1D1F-M023.jpg)
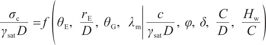
To better understand the influence of the inclined angle and the pore water pressure on the face stability of a longitudinally inclined shield tunnel, the analytical solution of the critical chamber pressure is normalized. The general relation for the normalized critical chamber pressure can be written as
_Xml/alternativeImage/0FED3038-ECE6-4022-ACA4-7A3D9BFB1D1F-M024.jpg)
The whole process of the face stability analysis of a longitudinally inclined shield tunnel considering the effect of pore water pressure and tensile strength cut-off is shown in Figure 7.
_Xml/alternativeImage/0FED3038-ECE6-4022-ACA4-7A3D9BFB1D1F-F007.jpg)
3 Results and analysis
3.1 Normalized parametric analysis
Based on the constructed collapse failure mechanism and the derived objective function, the normalized critical chamber pressures are obtained by optimal computation using MATLAB software. To study the influence of the inclined angle and pore water pressure on the tunnel face stability, the normalized critical chamber pressures are plotted in Figures 8, 9 and 10 for the case of D=10 m, γd/γsat=0.85, γd=17 kN/m3, and ξ=0. The normalized critical chamber pressure σc/(γsatD) decreases with increasing friction angle φ, cohesion c and reduced coefficient ξ, while increasing with increasing inclined angle δ. As shown in Figure 8, when the inclined angle δ changes from negative to positive, that is, when the inclined tunnel changes from downwards to upwards, the change in the value of σc/(γsatD) markedly increases. Consequently, the inclined angle of the longitudinally inclined tunnel has a significant influence on the tunnel face stability, especially when the shield tunnel drills with an upwards inclined angle. The value of σc/(γsatD) increases with increasing normalized groundwater elevation Hw/C, as shown in Figure 9. The differences in the critical chamber pressure range from 52.99% to 59.91% for Hw/C=0.5 and from 56.96% to 72.49% for Hw/C=1.0, which are comparable to the results for Hw/C=0.0, as shown in Figure 11. This shows that the change in groundwater elevation significantly influences the chamber pressure. However, when the inclined angle δ changes from -10° to 10°, the difference between Hw/C=0.5 (Hw/C=1.0) and Hw/C=0.0 slightly decreases. Figure 10 shows that the value of σc/(γsatD) increases with increasing normalized cover depth C/D. The differences in the results between the cases of C/D=2.0 and C/D=1.0 range from 42.31% to 49.04%, and the differences in the results between the cases of C/D=3.0 and C/D=1.0 range from 59.28% to 64.46%, as shown in Figure 12. It is indicated that the influence of the cover depth on the face stability of longitudinally inclined tunnels cannot be ignored. The difference between C/D=2.0 (C/D=3.0) and C/D=1.0 slightly decreases as the inclined angle increases.
_Xml/alternativeImage/0FED3038-ECE6-4022-ACA4-7A3D9BFB1D1F-F008.jpg)
_Xml/alternativeImage/0FED3038-ECE6-4022-ACA4-7A3D9BFB1D1F-F009.jpg)
_Xml/alternativeImage/0FED3038-ECE6-4022-ACA4-7A3D9BFB1D1F-F010.jpg)
_Xml/alternativeImage/0FED3038-ECE6-4022-ACA4-7A3D9BFB1D1F-F011.jpg)
_Xml/alternativeImage/0FED3038-ECE6-4022-ACA4-7A3D9BFB1D1F-F012.jpg)
To visually study the influence of pore water pressure on the stability of longitudinally inclined tunnel faces, the critical chamber pressures considering the effect of pore water pressure are compared with those without considering the effect of pore water pressure. The critical chamber pressures of these two conditions are calculated under the same parameters to ensure the validity of the comparison. The critical chamber pressure considering the effect of the pore water pressure is much greater than that without considering the effect of the pore water pressure, which can be seen in Figure 13. Thus, the influence of pore water pressure on the face stability of longitudinally inclined shield tunnels cannot be ignored in actual engineering. Moreover, the critical chamber pressure considering the effect of the pore water pressure significantly increased with increasing buried depth C, while the change in the critical chamber pressure without considering the effect of the pore water pressure was minor or even unchanged, as shown in Figure 13(b). This rule indicates that the effect of pore water pressure will make the tunnel face collapse more easily with increasing buried depth C, as the groundwater level Hw/C remains constant.
_Xml/alternativeImage/0FED3038-ECE6-4022-ACA4-7A3D9BFB1D1F-F013.jpg)
3.2 Comparative analysis of collapse failure mode
Based on the upper bound solutions obtained from the theoretical analysis, the images of the 3D collapse failure block for the soil in front of the longitudinally inclined shield tunnel are plotted. Figures 14(a)-(c) show the critical collapse mechanisms after optimal computation for the cases of δ=-10°, δ=0° and δ=10° with D=10 m, C/D=2.0, Hw/C=1.0, φ=20° and c/(γsatD)=0.05. Figure 14(d) presents the critical collapse mechanism for the case of Hw/C=0.5 with δ=10° and φ=20°. Figures 14(e) and (f) plot the critical collapse mechanisms for the cases of C/D=2.0 and C/D=0.5 with δ=10°, Hw/C=1.0, and φ=10°, respectively. The range of the collapse mechanism increases with increasing inclined angle δ and groundwater elevation Hw but decreases with increasing friction angle φ. It is indicated that the upwards inclined tunnel has a higher risk of collapse, which is consistent with the studies of CHENG et al [2]. As mentioned above, the effect of the pore water pressure strongly affects the stability of the tunnel face. Correspondingly, a comparison between Figures 14(c) and (d) indicates that the groundwater elevation also has a significant influence on the range of the critical collapse mechanism. A comparison between Figures 14(e) and (f) shows that the range of the collapse mechanism decreases with decreasing buried depth C as the longitudinally inclined tunnel drills upwards. Meanwhile, the collapse mechanism will extend to the ground surface when C/D is less than 0.5. Consequently, it is necessary to adjust the chamber pressure of the shield machine in real time during the construction of the longitudinally inclined shield tunnel under the groundwater table.
_Xml/alternativeImage/0FED3038-ECE6-4022-ACA4-7A3D9BFB1D1F-F014.jpg)
4 Numerical simulation verification
To validate the results obtained by theoretical calculation, the 3D numerical model constructed in Section 2.4 is used to simulate the excavation of a longitudinally inclined shield tunnel. A uniform pressure was applied to the tunnel face to simulate the chamber pressure provided by the shield machine. The shell element was activated behind the tunnel face to simulate the liner segment. The Mohr-Coulomb failure criterion is invoked in this numerical model. The boundary conditions of this model are to fix the displacements in the transverse, longitudinal and vertical directions around the model, and to fix the vertical displacement at the bottom of the model, respectively. It can be seen in Figure 4 that the mesh of the numerical model around the tunnel face has been densified to improve the computational accuracy.
To obtain the numerical solution of the critical chamber pressure, a calculation program is written by using a bisection method proposed by MOLLON et al [32]. The principle of the bisection calculation program is as follows. First, the uniform pressure is assumed to be the initial lower bound of the critical chamber pressure. Applying this lower bound value of the chamber pressure to the tunnel face, if the calculation of the numerical model cannot reach the convergence state (the mechanical ratio is set to be 1×10-5 in this model), which means that the tunnel face has collapsed, the calculation state of the program is set to ‘stability=0’. Then, the uniform pressure is assumed to be the initial upper bound of the critical chamber pressure. Applying this upper bound value of the chamber pressure to the tunnel face, if the calculation of the numerical model reaches the convergence state, which means that the tunnel face is stable, the calculation state of the program is set to ‘stability=1’. After determining the upper and lower bound values of the critical chamber pressure, the intermediate value between the upper and lower bound values is taken for calculation. If the calculation state of the program is ‘stability=0’, the lower bound value is replaced by an intermediate value. Otherwise, the upper bound value is replaced by an intermediate value. The above process is repeated until the difference between the upper and lower bound values is less than the predetermined value (0.1 kPa). Finally, the calculated upper bound value is output, which is the numerical solution of the critical chamber pressure.
The calculation parameters of the numerical model are assumed to be D=10 m, C/D=2.0, γsat= 20 kN/m3, c/(γsatD)=0.05, φ=15°, ξ=0 and Hw/C=1.0. By simulating the drilling construction process, the numerical solutions of the critical chamber pressure are obtained. Figure 15 shows a comparison between the numerical results and the theoretical solutions of the critical chamber pressure. The maximum absolute difference between the numerical results and the theoretical solutions is 5.08%, and the minimum is 0.85%. Nevertheless, the results of the comparison show that the theoretical solutions are close to the numerical solutions, indicating that the theoretical results are effective.
_Xml/alternativeImage/0FED3038-ECE6-4022-ACA4-7A3D9BFB1D1F-F015.jpg)
Moreover, to intuitively compare the failure surface from the theoretical analysis and that of the numerical simulation, the failure surface obtained from the optimal calculation is superimposed on the contour of the maximum displacement of the soil in front of the tunnel face. However, the collapse failure mechanism obtained from theoretical calculations is three-dimensional, and the 3D failure block must project onto the medial surface to obtain the boundary of the failure surface, as shown in Figure 16. Figure 16 presents comparisons of the failure surface between the theoretical calculation and numerical simulation for three cases of δ=-10°, 0° and 10°. By comparing the boundary of the failure surface and the contour of the maximum displacement for the tunnel face, it is found that the failure surfaces calculated by the theoretical method are basically consistent with those provided by the numerical simulation. Therefore, both the comparison results of the critical chamber pressure and failure surface for the tunnel face between the theoretical calculation and the numerical simulation show that the proposed method in this paper is valid.
_Xml/alternativeImage/0FED3038-ECE6-4022-ACA4-7A3D9BFB1D1F-F016.jpg)
5 Conclusions
Based on the upper bound theorem of limit analysis, the face stability of a longitudinally inclined shield tunnel was studied considering the effect of the tensile strength cut-off and pore water pressure. By using normalization analysis, the influence of the inclined angle and pore water pressure on the stability of the tunnel face was obtained. Finally, the infinite difference software FLAC3D was applied to obtain the numerical solution of the critical chamber pressure and the contour of displacement for the failure surface. By comparing the theoretical solution with the numerical results, the analytical method presented in this paper has been validated. The following conclusions can be drawn.
1) The inclined angle of the longitudinally inclined shield tunnel has a significant influence on the stability of the tunnel face. The critical chamber pressure increases with increasing inclined angle δ. When the drilling direction of the longitudinally inclined tunnel changes from downwards to upwards, the range of the collapse failure surface markedly increases. It is indicated that there is a greater collapse risk of tunnel face when the drilling direction of the longitudinally inclined tunnel changes from downwards to upwards. In addition, the critical chamber pressure decreases with increasing friction angle φ, cohesion c and reduced tensile strength coefficient ξ, while it increases with increasing buried depth C of tunnel.
2) The effect of pore water pressure can increase the collapse risk of longitudinally inclined shield tunnels. The critical chamber pressure with consideration of the pore water pressure is much greater than that without consideration of the pore water pressure, and the critical chamber pressure increases with increasing groundwater elevation Hw. It should be noted that the critical chamber pressure with consideration of the pore water pressure significantly increased with increasing buried depth C, which is different from that without consideration of the pore water pressure. Because the buried depth of the tunnel is constantly changing when a shield machine excavates in a longitudinally inclined direction, it is necessary to adjust the chamber pressure in time to prevent the collapse of the tunnel face.
3) Based on the principles of bisection calculation, numerical simulation technology is applied to calculate the numerical solution of the critical chamber pressure and the contour of displacement for the failure surface. The agreement between the theoretical calculations and numerical simulations of the chamber pressure and failure block for the tunnel face shows that the proposed method is valid. Therefore, the proposed theoretical method can provide reference for chamber pressure calculation when a shield machine excavates with an inclined angle in a water-rich stratum.
4) Although the theoretical method proposed in this paper is applied to the face stability analysis of a longitudinally inclined tunnel, it can be extended to the stability analysis of other geotechnical structures, such as slurry trench wall or tunnel roof collapse. Finally, it is assumed that the soil is homogeneous and isotropic in this paper and the seepage field is a steady-state hydraulic field. The influence of spatial varying soils by considering the shear strength parameters, permeability and porosity as random distribution on the face stability of longitudinally inclined tunnel needs further research.
Analysis of working face stability of longitudinally inclined shield driven tunnels in frictional soils
[J]. Tunnelling and Underground Space Technology, 2024, 144: 105579. DOI: 10.1016/j.tust.2023. 105579.Upper bound analysis of longitudinally inclined EPB shield tunnel face stability in dense sand strata
[J]. Transportation Geotechnics, 2023, 41: 101031. DOI: 10.1016/j.trgeo.2023. 101031.Continuous velocity fields for collapse and blowout of a pressurized tunnel face in purely cohesive soil
[J]. International Journal for Numerical and Analytical Methods in Geomechanics, 2013, 37(13): 2061-2083. DOI: 10.1002/nag.2121.Face stability analysis for a longitudinally inclined tunnel in anisotropic cohesive soils
[J]. Journal of Central South University, 2019, 26(7): 1780-1793. DOI: 10.1007/s11771-019-4133-4.Three-dimensional stability analysis of a longitudinally inclined shallow tunnel face
[J]. Computers and Geotechnics, 2017, 87: 32-48. DOI: 10.1016/j.compgeo.2017.01.015.Stability analysis of a 3D shallow tunnel face considering the inclined excavation and inclined ground surface
[J]. Computers and Geotechnics, 2024, 165: 105915. DOI: 10.1016/j.compgeo. 2023.105915.Upper bound solution of passive instability on the face of longitudinal inclined shallow buried shield tunnel based on rotation–translation mechanism
[J]. Computers and Geotechnics, 2023, 159: 105473. DOI: 10.1016/j.compgeo.2023.105473.Rotational failure mechanisms for the face stability analysis of tunnels driven by a pressurized shield
[J]. International Journal for Numerical and Analytical Methods in Geomechanics, 2011, 35(12): 1363-1388. DOI: 10.1002/nag.962.Effect of inclined layered soils on face stability in shield tunneling based on limit analysis
[J]. Tunnelling and Underground Space Technology, 2023, 131: 104773. DOI: 10.1016/j.tust.2022.104773.Three-dimensional stochastic geological modeling for probabilistic stability analysis of a circular tunnel face
[J]. Tunnelling and Underground Space Technology, 2021, 118: 104190. DOI: 10.1016/j.tust.2021.104190.Effect of seepage flow on face stability for a tunnel in water-rich silty clay overlying sandy cobble strata
[J]. Tunnelling and Underground Space Technology, 2025, 161: 106539. DOI: 10.1016/j.tust.2025.106539.Energy analysis of face stability of deep rock tunnels using nonlinear Hoek-Brown failure criterion
[J]. Journal of Central South University, 2015, 22(8): 3079-3086. DOI: 10.1007/s11771-015-2844-8.Upper limit analysis of stability of the water-resistant rock mass of a karst tunnel face considering the seepage force
[J]. Bulletin of Engineering Geology and the Environment, 2021, 80(7): 5813-5830. DOI: 10.1007/s10064-021-02283-6.The effect of pore water pressure on tunnel face stability
[J]. International Journal for Numerical and Analytical Methods in Geomechanics, 2016, 40(15): 2123-2136. DOI: 10.1002/nag.2528.Three dimensional face stability of a tunnel in weak rock masses subjected to seepage forces
[J]. Tunnelling and Underground Space Technology, 2018, 71: 555-566. DOI: 10.1016/j.tust.2017.11.003.Three-dimensional tunnel face stability considering slurry pressure transfer mechanisms
[J]. Tunnelling and Underground Space Technology, 2022, 125: 104524. DOI: 10.1016/j.tust.2022. 104524.Seismic stability analysis of 3D tunnel faces in unsaturated soils
[J]. Computers and Geotechnics, 2023, 161: 105536. DOI: 10.1016/j.compgeo.2023.105536.Stability assessment of a non-circular tunnel face with tensile strength cut-off subject to seepage flows: A comparison analysis
[J]. Computers and Geotechnics, 2023, 163: 105764. DOI: 10.1016/j.compgeo.2023.105764.Three-dimensional face stability of shallow-buried tunnels with tensile strength cut-off
[J]. Computers and Geotechnics, 2019, 110: 82-93. DOI: 10. 1016/j.compgeo.2019.02.014.Stability of plane strain tunnel headings in soils with tensile strength cut-off
[J]. Tunnelling and Underground Space Technology, 2020, 95: 103138. DOI: 10.1016/j.tust.2019.103138.Stability analysis of a non-circular tunnel face in soils characterized by modified Mohr-Coulomb yield criterion
[J]. Tunnelling and Underground Space Technology, 2021, 109: 103785. DOI: 10.1016/j.tust.2020.103785.Face stability analysis of shield-driven tunnels using multi-tangent technique
[J]. Chinese Journal of Geotechnical Engineering, 2025, 47(1): 76-84. DOI: 10.11779/CJGE20231160.(in Chinese)Roof stability analysis of cylindrical tunnels in hard soil/soft rock with reduced tension strength
[J]. Computers and Geotechnics, 2023, 164: 105838. DOI: 10. 1016/j.compgeo.2023.105838.Influence of the Hoek–Brown failure criterion with tensile strength cut-off on the roof stability in deep rock tunnels
[J]. Tunnelling and Underground Space Technology, 2023, 136: 105016. DOI: 10.1016/j.tust.2023.105016.The influence of tunnel excavation on the hydraulic head
[J]. International Journal for Numerical and Analytical Methods in Geomechanics, 1995, 19(10): 725-746. DOI: 10.1002/nag.1610191005.Effect of seepage forces on tunnel face stability
[J]. Canadian Geotechnical Journal, 2003, 40(2): 342-350. DOI: 10.1139/t02-120.Continuous field based upper bound analysis for three-dimensional tunnel face stability in undrained clay
[J]. Computers and Geotechnics, 2018, 94: 207-213. DOI: 10.1016/j.compgeo.2017.09.014.A modification of the coulomb-Mohr theory of fracture
[J]. Journal of Applied Mechanics, 1961, 28(2): 259-268. DOI: 10.1115/1.3641665.Stability of intact slopes with tensile strength cut-off
[J]. Géotechnique, 2017, 67(8): 720-727. DOI: 10.1680/jgeot.16.p.037.Failure potential of infinite slopes in bonded soils with tensile strength cut-off
[J]. Canadian Geotechnical Journal, 2018, 55(4): 477-485. DOI: 10.1139/cgj-2017-0041.Limit analysis of submerged slopes subjected to water drawdown
[J]. Canadian Geotechnical Journal, 2006, 43(8): 802-814. DOI: 10.1139/t06-042.Validation of a new 2D failure mechanism for the stability analysis of a pressurized tunnel face in a spatially varying sand
[J]. Journal of Engineering Mechanics, 2011, 137(1): 8-21. DOI: 10.1061/(asce)em.1943-7889.0000196.HUANG Fu, WANG Yong-tao, ZHANG Min and YANG Zi-han declare that they have no conflict of interest.
HUANG Fu, WANG Yong-tao, ZHANG Min, YANG Zi-han. Face stability analysis of longitudinally inclined shield tunnel considering the effect of tensile strength cut-off and pore water pressure [J]. Journal of Central South University, 2025, 32(3): 1080-1098. DOI: https://doi.org/10.1007/s11771-025-5883-9.
黄阜,王勇涛,张敏等.考虑抗拉强度截断和孔隙水影响下纵向倾斜盾构隧道的开挖面稳定性分析[J].中南大学学报(英文版),2025,32(3):1080-1098.

