超长隧道的纵向通风系统对隧道的安全运营至关重要[1]。目前,主要采用全尺寸现场测试、理论分析、缩尺模型试验和数值模拟进行研究。仅靠缩尺模型或理论计算难以准确预测烟气蔓延规律[2-3]。全尺度实验研究在实际运营隧道或1꞉1实验隧道中布置传感器网络,能够完整捕捉沿隧道长度方向的风速梯度、温度分层及污染物迁移规律,如挪威Laerdal隧道试验[4]能捕捉关键参数,但观测全局困难且全尺度实验研究需投入大量人力、物力与财力。数值模拟是超长隧道通风的重要研究手段,主要有3种模型,包括网络模型、区域模型和场模型[5]。场模型精度较高但计算资源消耗大[6],模拟整条隧道不现实;若仅模拟火源附近区域则无法评估整体隧道通风情况。一维网络模型计算高效[7],适用于大系统评估(如地铁站[8-10]、隧道[11-14]),但忽略了隧道空间横向变化,难以反映局部火灾、排烟等复杂现象。因此,多尺度耦合模型成为特长隧道火灾研究的可行方案,即在火源或风机附近使用场模型,在流场趋于一维的远场使用网络模型,兼顾精度与效率[15]。
目前,将多尺度耦合模型应用于隧道领域的研究较少。COLLELA等[16-19]将CFD软件Fluent和自主编写的一维方程结合,提出了多尺度耦合方法[1],采用瞬态多尺度的方法来模拟隧道区域内的通风流动和火灾烟气蔓延现象。边江[20]通过不同网格的对比验证,确定适合于多尺度模拟的场模型网格精度。与Fluent相比,FDS是一个开源软件,更专注于火灾模拟,在消防工程领域应用更加广泛。HAGHIGHAT等[21]将FDS与1D软件VENT FIRE相结合,探讨了三维CFD模型和一维模型之间的边界选择。因FDS软件自带的HVAC组件为一维模块,ANG等[22]将FDS与其组件HVAC结合,将系统划分为三维模型和一维模型,研究多尺度建模方法在射流风机运行环境下的模拟性能,发现在多尺度隧道模型中,在射流风机下游80 m外的横向速度分布是准确的。VERMESI等[23]验证了多尺度模型在FDS6.0版本中实现的可行性,发现多尺度建模的模拟时间显著小于全三维建模的模拟时间。
然而,现有研究多采用1D-3D-1D方式并仅验证火源区场模型[24],未关注烟气从网络模型输出到三维模型的有效性。ANG等[22]虽采用3D-1D-3D建模,但仅验证了冷态流场。针对此局限,本文首先利用FDS软件对隧道冷流及火灾场景进行三维和多尺度建模;其次,通过水平速度(沿隧道纵向方向速度分量)均方误差对比模型,验证多尺度模型可行性;最后,通过隧道实例,验证该方法节约计算资源的效果。
1 模拟设置
1.1 模拟软件
本文采用Fire Dynamics Simulator(FDS 6.7.4)进行研究。三维场模拟采用传统的三维网格建模,而一维模拟使用FDS的HVAC组件来实现。
HVAC求解器可模拟计算通过管道网络的流动,这些管道网络被描述为管道段和节点的映射,其中节点是2个或多个管道的连接点(例如三通),或者是管道段与FDS计算域的连接点,可由管道段“DUCT”和节点“NODE”定义。通过“AREA”定义管道段的面积,“ROUGHNESS”定义管段的壁面损失。因此,可以利用HVAC求解器来实现三维与一维流动的耦合模拟。
在隧道特定位置中设置“VENT”覆盖隧道截面,并将其表面定义为“HVAC”,作为一维段与三维域交界面,在截面上设置“NODE”并用“DUCT”将两端隧道截面相连,使2个独立的三维域相连,而中间管道段则为一维的隧道段。
流体由三维域进入HVAC壁面时,首先,如式(1)~(5),将与一维节点相邻的三维空间截面的所有网格的气体质量和能量分别累加,并计算平均压力[25]。随后,利用获得的总质量、总能量以及平均压力,最终计算出该节点气体的平均温度。
2025年9期/10.11817j.issn.1672-7207.2025.09.024/alternativeImage/C0156E93-B7F6-4269-A4B4-5C4C2F573E34-M001.jpg)
2025年9期/10.11817j.issn.1672-7207.2025.09.024/alternativeImage/C0156E93-B7F6-4269-A4B4-5C4C2F573E34-M002.jpg)
2025年9期/10.11817j.issn.1672-7207.2025.09.024/alternativeImage/C0156E93-B7F6-4269-A4B4-5C4C2F573E34-M003.jpg)
2025年9期/10.11817j.issn.1672-7207.2025.09.024/alternativeImage/C0156E93-B7F6-4269-A4B4-5C4C2F573E34-M004.jpg)
2025年9期/10.11817j.issn.1672-7207.2025.09.024/alternativeImage/C0156E93-B7F6-4269-A4B4-5C4C2F573E34-M005.jpg)
式中:2025年9期/10.11817j.issn.1672-7207.2025.09.024/alternativeImage/C0156E93-B7F6-4269-A4B4-5C4C2F573E34-M006.jpg)
2025年9期/10.11817j.issn.1672-7207.2025.09.024/alternativeImage/C0156E93-B7F6-4269-A4B4-5C4C2F573E34-M007.jpg)
2025年9期/10.11817j.issn.1672-7207.2025.09.024/alternativeImage/C0156E93-B7F6-4269-A4B4-5C4C2F573E34-M008.jpg)
2025年9期/10.11817j.issn.1672-7207.2025.09.024/alternativeImage/C0156E93-B7F6-4269-A4B4-5C4C2F573E34-M009.jpg)
2025年9期/10.11817j.issn.1672-7207.2025.09.024/alternativeImage/C0156E93-B7F6-4269-A4B4-5C4C2F573E34-M010.jpg)
2025年9期/10.11817j.issn.1672-7207.2025.09.024/alternativeImage/C0156E93-B7F6-4269-A4B4-5C4C2F573E34-M011.jpg)
2025年9期/10.11817j.issn.1672-7207.2025.09.024/alternativeImage/C0156E93-B7F6-4269-A4B4-5C4C2F573E34-M012.jpg)
2025年9期/10.11817j.issn.1672-7207.2025.09.024/alternativeImage/C0156E93-B7F6-4269-A4B4-5C4C2F573E34-M013.jpg)
2025年9期/10.11817j.issn.1672-7207.2025.09.024/alternativeImage/C0156E93-B7F6-4269-A4B4-5C4C2F573E34-M014.jpg)
2025年9期/10.11817j.issn.1672-7207.2025.09.024/alternativeImage/C0156E93-B7F6-4269-A4B4-5C4C2F573E34-M015.jpg)
2025年9期/10.11817j.issn.1672-7207.2025.09.024/alternativeImage/C0156E93-B7F6-4269-A4B4-5C4C2F573E34-M016.jpg)
2025年9期/10.11817j.issn.1672-7207.2025.09.024/alternativeImage/C0156E93-B7F6-4269-A4B4-5C4C2F573E34-M017.jpg)
对于从HVAC管道流入(非泄漏流)的壁面单元,其表面温度(Tw)设置为所连接管道中的温度。壁面边界条件的计算方式如下:
2025年9期/10.11817j.issn.1672-7207.2025.09.024/alternativeImage/C0156E93-B7F6-4269-A4B4-5C4C2F573E34-M018.jpg)
2025年9期/10.11817j.issn.1672-7207.2025.09.024/alternativeImage/C0156E93-B7F6-4269-A4B4-5C4C2F573E34-M019.jpg)
式中:下标d表示管道段;2025年9期/10.11817j.issn.1672-7207.2025.09.024/alternativeImage/C0156E93-B7F6-4269-A4B4-5C4C2F573E34-M020.jpg)
2025年9期/10.11817j.issn.1672-7207.2025.09.024/alternativeImage/C0156E93-B7F6-4269-A4B4-5C4C2F573E34-M021.jpg)
2025年9期/10.11817j.issn.1672-7207.2025.09.024/alternativeImage/C0156E93-B7F6-4269-A4B4-5C4C2F573E34-M022.jpg)
2025年9期/10.11817j.issn.1672-7207.2025.09.024/alternativeImage/C0156E93-B7F6-4269-A4B4-5C4C2F573E34-M023.jpg)
2025年9期/10.11817j.issn.1672-7207.2025.09.024/alternativeImage/C0156E93-B7F6-4269-A4B4-5C4C2F573E34-M024.jpg)
首先,根据当前已知的压力和温度,使用理想气体公式算出气体的密度2025年9期/10.11817j.issn.1672-7207.2025.09.024/alternativeImage/C0156E93-B7F6-4269-A4B4-5C4C2F573E34-M025.jpg)
2025年9期/10.11817j.issn.1672-7207.2025.09.024/alternativeImage/C0156E93-B7F6-4269-A4B4-5C4C2F573E34-M022.jpg)
2025年9期/10.11817j.issn.1672-7207.2025.09.024/alternativeImage/C0156E93-B7F6-4269-A4B4-5C4C2F573E34-M027.jpg)
2025年9期/10.11817j.issn.1672-7207.2025.09.024/alternativeImage/C0156E93-B7F6-4269-A4B4-5C4C2F573E34-M028.jpg)
2025年9期/10.11817j.issn.1672-7207.2025.09.024/alternativeImage/C0156E93-B7F6-4269-A4B4-5C4C2F573E34-M029.jpg)
2025年9期/10.11817j.issn.1672-7207.2025.09.024/alternativeImage/C0156E93-B7F6-4269-A4B4-5C4C2F573E34-M030.jpg)
2025年9期/10.11817j.issn.1672-7207.2025.09.024/alternativeImage/C0156E93-B7F6-4269-A4B4-5C4C2F573E34-M031.jpg)
2025年9期/10.11817j.issn.1672-7207.2025.09.024/alternativeImage/C0156E93-B7F6-4269-A4B4-5C4C2F573E34-M032.jpg)
式中:下标w表示HVAC壁面;2025年9期/10.11817j.issn.1672-7207.2025.09.024/alternativeImage/C0156E93-B7F6-4269-A4B4-5C4C2F573E34-M033.jpg)
2025年9期/10.11817j.issn.1672-7207.2025.09.024/alternativeImage/C0156E93-B7F6-4269-A4B4-5C4C2F573E34-M034.jpg)
2025年9期/10.11817j.issn.1672-7207.2025.09.024/alternativeImage/C0156E93-B7F6-4269-A4B4-5C4C2F573E34-M028.jpg)
2025年9期/10.11817j.issn.1672-7207.2025.09.024/alternativeImage/C0156E93-B7F6-4269-A4B4-5C4C2F573E34-M036.jpg)
由于管道内为稳定流动,因此,可以将其视为一维流动,且不需要在FDS的计算域中为管道系统设置精细的网格,这避免了在复杂管道系统中划分高分辨率网格的繁琐过程,显著减少了计算量。
1.2 模拟设置方案
采用矩形隧道进行模拟实验,其中隧道宽为12 m,高为8 m,模拟隧道长度包括1 000、1 200、1 500及5 050 m。本文定义隧道宽度方向为X坐标,纵向长度方向为Y坐标,高度方向为Z坐标。因此,下文所述水平速度为风速合速度在隧道纵向长度方向的分量,即Vy。值得注意的是,一维段速度Vx,Vz速度分量为0。除特殊说明外,其余风速均指的是隧道内风速的合速度。此外,本文平均结果均为模拟最后100 s瞬时数据的时间平均值。隧道墙壁、地板和顶部等定义为绝热混凝土表面,隧道出入口延长设置1个长×宽×高为10 m×10 m×5 m的空间并设置其表面为“OPEN”,允许空气自由流动,三维场和一维场连接处定义为HVAC表面,以保证场网之间的相互作用。由于模型较大,自由发展火灾工况下模拟时间设置为1 500 s,其余模型设置为1 000 s,以确保烟气能到达隧道出口,且隧道流体处于稳定阶段。在射流风机工况下,用HVAC组件“FAN”功能设置风机;在火灾工况下,燃料为正庚烷,升温时间为默认值,即模拟运行1 s时火源达到指定火源功率,分别设置为10 MW和50 MW这2种情况。测点布置如图1所示。从隧道入口处开始,每50 m设置1个温度及速度Slice,在隧道中间线上从底部开始每隔0.25 m布置1个温度及速度测点。
2025年9期/10.11817j.issn.1672-7207.2025.09.024/alternativeImage/C0156E93-B7F6-4269-A4B4-5C4C2F573E34-F001.jpg)
为了使多尺度模拟得到准确的结果,必须将三维和一维模型之间的边界放置在流体完全发展、温度或速度梯度不显著的位置[26-30]。当距离火灾的距离至少是水力直径的13倍时,可以得到准确的结果[18]。因此,一维边界最少应大于124.8 m,本文设置一维边界至少距离火源位置150 m。
由于射流风机作用下隧道风速较大,需要较长距离使隧道达到一维流态,因此,延长模拟隧道长度至1 200 m;火灾工况为突出烟气纵向蔓延变化,因此,将隧道加长至1 500 m。共设置了21组模拟工况,如表1和图2所示。
| 工况 | 模拟 | 总长度/m | 一维长度/m | 火源功率/MW | 备注 |
|---|---|---|---|---|---|
| 1 | 纵向通风三维模型 | 1 000 | — | — | 隧道中一维流态的模拟 |
| 2 | 纵向通风多尺度模型 | 1 000 | 200 | — | |
| 3 | 纵向通风多尺度模型 | 1 000 | 400 | — | |
| 4 | 单侧射流风机三维模型 | 1 200 | — | — | 射流风机作用下隧道流场的模拟 |
| 5 | 单侧射流风机多尺度模型 | 1 200 | 200 | — | |
| 6 | 单侧射流风机多尺度模型 | 1 200 | 400 | — | |
| 7 | 双侧射流风机三维模型 | 1 200 | — | — | |
| 8 | 双侧射流风机多尺度模型 | 1 200 | 200 | — | |
| 9 | 双侧射流风机多尺度模型 | 1 200 | 400 | — | |
| 10 | 纵向通风(热)三维模型 | 1 000 | — | — | 隧道内热空气流场模拟 |
| 11 | 纵向通风(热)多尺度模型 | 1 000 | 200 | — | |
| 12 | 纵向通风(热)双向多尺度模型 | 1 000 | 200 | — | |
| 13 | 纵向通风(热)多尺度模型 | 1 000 | 400 | — | |
| 14 | 纵向通风(热)双向多尺度模型 | 1 000 | 400 | — | |
| 15 | 火灾工况三维模型 | 1 500 | — | 10 | 复杂的烟气运动特性 的模拟 |
| 16 | 火灾工况多尺度模型 | 1 500 | 200 | 10 | |
| 17 | 火灾工况双向多尺度模型 | 1 500 | 200 | 10 | |
| 18 | 火灾工况多尺度模型 | 1 500 | 400 | 10 | |
| 19 | 火灾工况双向多尺度模型 | 1 500 | 400 | 10 | |
| 20 | 特长隧道三维模型 | 5 050 | — | 50 | 验证多尺度耦合模型在超长隧道火灾中的模拟效果 |
| 21 | 特长隧道双向多尺度模型 | 5 050 | — | 50 |
2025年9期/10.11817j.issn.1672-7207.2025.09.024/alternativeImage/C0156E93-B7F6-4269-A4B4-5C4C2F573E34-F002.jpg)
FDS给出的结果高度依赖于网格的尺寸。大幅减小网格尺寸并不意味着精度更高,但它会大幅度增加模拟的运行时间。因此,在追求期望的精度与维持合理的模拟时间之间找到可接受的平衡点至关重要。
根据文献[31],建议使用D*/dx的量纲一表达式来确定网格尺寸,适当的取值应为4~16,如 式(11)所示。
2025年9期/10.11817j.issn.1672-7207.2025.09.024/alternativeImage/C0156E93-B7F6-4269-A4B4-5C4C2F573E34-M037.jpg)
式中:2025年9期/10.11817j.issn.1672-7207.2025.09.024/alternativeImage/C0156E93-B7F6-4269-A4B4-5C4C2F573E34-M038.jpg)
2025年9期/10.11817j.issn.1672-7207.2025.09.024/alternativeImage/C0156E93-B7F6-4269-A4B4-5C4C2F573E34-M039.jpg)
2025年9期/10.11817j.issn.1672-7207.2025.09.024/alternativeImage/C0156E93-B7F6-4269-A4B4-5C4C2F573E34-M040.jpg)
2025年9期/10.11817j.issn.1672-7207.2025.09.024/alternativeImage/C0156E93-B7F6-4269-A4B4-5C4C2F573E34-M041.jpg)
2025年9期/10.11817j.issn.1672-7207.2025.09.024/alternativeImage/C0156E93-B7F6-4269-A4B4-5C4C2F573E34-M042.jpg)
本文研究案例中火源功率最小为10 MW, D*=2.4 m,因此,单元网格尺寸范围为0.15~0.60时,既能够捕捉流场精细结构又同时保证计算速度。对0.166 7、0.25、0.333 3、0.500 0 m的网格尺寸进行了网格敏感性分析。
图3所示为所使用的每个网格尺寸的顶棚烟气最高温度纵向分布。网格尺寸的敏感性分析结果表明:当网格尺寸为0.333 m和0.50 m时,火源位置的计算温度显著低于其他网格的结果,说明其精度不足。相比之下,0.166 7 m与0.25 m网格所得到的温度曲线高度相似,这意味着计算结果已趋于收敛。鉴于两者精度相当,为节约计算资源,本研究最终选择0.25 m作为最优网格尺寸。
2025年9期/10.11817j.issn.1672-7207.2025.09.024/alternativeImage/C0156E93-B7F6-4269-A4B4-5C4C2F573E34-F003.jpg)
尽管如此,为了检验当前模拟的可靠性,将隧道纵向温度分布与HUANG等[32-33]提出的隧道纵向温度衰减的经验公式所得结果进行比较。结果表明,数值模拟结果与前人研究结果较为吻合,进一步证实了数值模拟结果的可靠性。
2 结果讨论
2.1 冷流模拟
2.1.1 一维流态工况
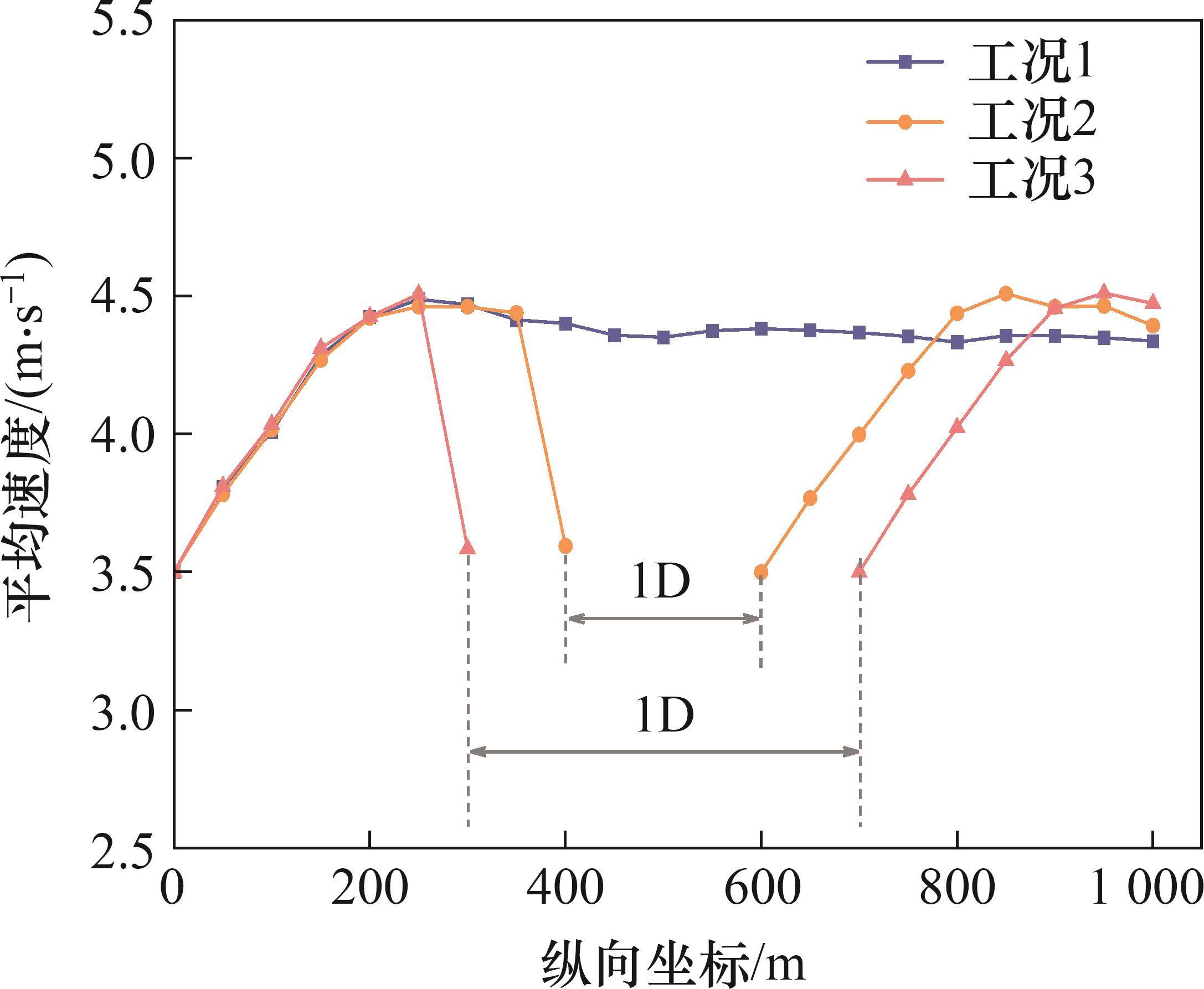
在环境温度为20 ℃的条件下,于隧道入口截面施加了均匀分布的3.5 m/s风速,并在此基础上建立2个多尺度耦合模型,分别将隧道400~600 m和300~700 m设置为一维段。
图4所示为隧道横截面正中心沿隧道纵向的时间平均风速分布图。平均风速取最后100 s的瞬时平均风速。观察隧道水平速度纵向分布发现,在经过一维段200 m左右,多尺度建模的隧道速度分布与三维建模的结果重合。因此,经一维段出口流出的流体在隧道中经过200 m能够发展为三维流态。图5所示为工况1~3中一维出口之后的隧道每隔50 m横截面处的水平速度分布。图6所示为对照组模拟与多尺度模拟水平速度的均方误差(MSE)随隧道纵向分布趋势图。均方误差是衡量模型预测值与真实值之间偏差平方的均值,用于评估预测的整体精度。如图6(a)所示,在一维段出口处水平速度均方误差较大,但随着距离增加,水平速度均方误差逐渐减少,并在200 m处趋于收敛,这意味着多尺度耦合模型与三维模型的结果在200 m之后也趋于收敛,这与图4结论相符。
2025年9期/10.11817j.issn.1672-7207.2025.09.024/alternativeImage/C0156E93-B7F6-4269-A4B4-5C4C2F573E34-F004.jpg)
2025年9期/10.11817j.issn.1672-7207.2025.09.024/alternativeImage/C0156E93-B7F6-4269-A4B4-5C4C2F573E34-F005.jpg)
2025年9期/10.11817j.issn.1672-7207.2025.09.024/alternativeImage/C0156E93-B7F6-4269-A4B4-5C4C2F573E34-F006.jpg)
隧道横截面水平速度分布结果表明随着隧道距离增加,多尺度耦合模型与三维模型的速度场逐渐稳定并趋于一致,这与水平速度均方误差的收敛趋势相符。这表明多尺度耦合模型在冷流模拟中具有较好的效果。
2.1.2 射流风机工况
纵向排烟是目前应用最广泛的机械排烟方式。为探究射流风机场景下的多尺度耦合模型模拟效果,设置模拟情况如下:隧道长度为1 200 m,在隧道一侧设置3台射流风机,从距离隧道入口100 m处开始,每隔100 m设置1台风机,风机风速为28 m/s。
如图7(a)所示,在射流风机的作用下,隧道500 m之后的风速分布稳定,可认定为一维流动。在图7(b)和(c)中,一维段入口对隧道流态影响较小,但在一维段出口处需经过大约100 m才可保持与三维模型一样的流态,说明一维模型对隧道上游影响较小,对隧道下游影响较大。对于双侧风机隧道(图7(d)和(f)),隧道内风速较大,其一维流态区域较短。
2025年9期/10.11817j.issn.1672-7207.2025.09.024/alternativeImage/C0156E93-B7F6-4269-A4B4-5C4C2F573E34-F007.jpg)
图6(b)所示为工况4~9的隧道水平速度均方误差分布图。工况4与5的水平速度均方误差以及工况4与6的水平速度均方误差在一维段出口后经过200 m收敛,工况7与8的水平速度均方误差以及工况7与9的水平速度均方误差曲线在距离一维出口200 m处收敛,但由于靠近下游风机,其均方误差又呈现增长趋势,且工况7与9的水平速度均方误差大于工况7与8的水平速度均方误差,这是因为工况9一维段出口较下游风机距离太近,流态未完全发展成三维流态时就进入风机分段。从图8发现,多尺度耦合模型隧道风速纵向相对均方根误差均小于0.2,相对均方根误差(RRMSE)消除了数据尺度的影响,便于不同尺度数据集间的性能比较。因此,可认为误差并不明显[34],多尺度耦合模型在冷流射流风机作用下的隧道场景中为一个良好模型。
2025年9期/10.11817j.issn.1672-7207.2025.09.024/alternativeImage/C0156E93-B7F6-4269-A4B4-5C4C2F573E34-F008.jpg)
2.2 热流模拟
2.2.1 热空气流
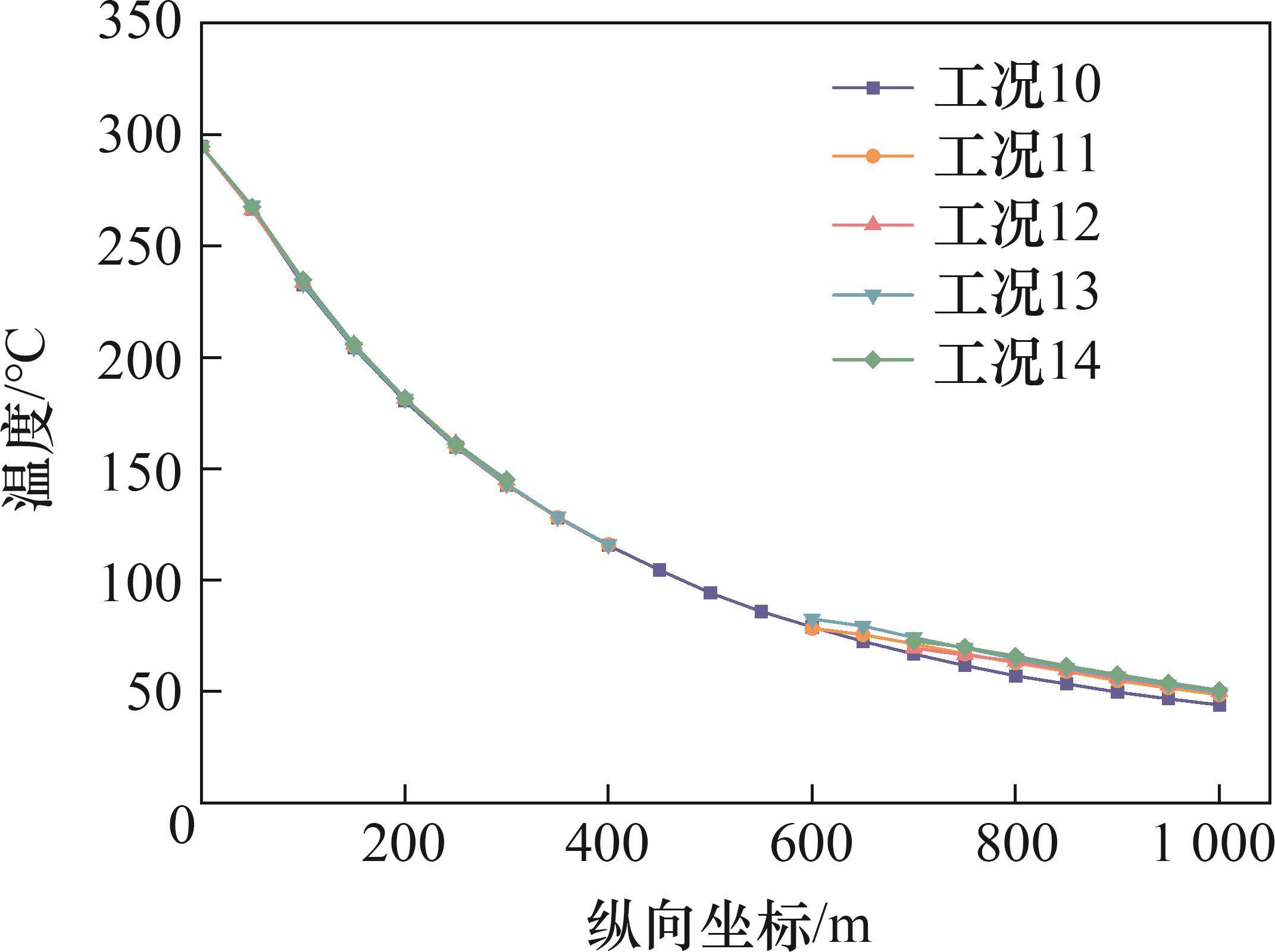
当现实火灾发生时,隧道内烟气运动往往伴随温度变化。因此,探讨在考虑温度场时的多尺度建模效果。工况10~14仅在工况1的基础上将提供的均匀风速改为吹风口为半个隧道横截面且吹出气体温度为300 ℃,目的是模拟烟气纵向运动会和空气出现分层现象。通过对比工况10~14,探讨多尺度模拟对隧道速度场和温度场结合的影响。
在热流工况下,流体会出现分层流动,而一维模型只能模拟单向流动,导致模拟精度偏低。为了解决传统一维模型在热流工况下的局限性,提出双向多尺度模型。双向多尺度模型将分层流体划分为2个独立的单维段,从而更精确地捕捉流体在隧道中的分层现象[35]。分层依据为隧道中线上水平速度的变化。如图9所示为工况10隧道400、600、300、700 m这4个节点隧道横断面水平速度随隧道高度变化。分层线位于一维段节点横截面水平速度为0 m/s时隧道高度处。
2025年9期/10.11817j.issn.1672-7207.2025.09.024/alternativeImage/C0156E93-B7F6-4269-A4B4-5C4C2F573E34-F009.jpg)
通过FDS中HVAC组件的Aircoil功能,实现多尺度耦合模型中温度的变化。为模拟烟气在隧道纵向蔓延的规律,可以计算一维段两端节点的温度差,并利用Aircoil模拟这部分温度损失。具体计算公式如下:
2025年9期/10.11817j.issn.1672-7207.2025.09.024/alternativeImage/C0156E93-B7F6-4269-A4B4-5C4C2F573E34-M043.jpg)
式中:2025年9期/10.11817j.issn.1672-7207.2025.09.024/alternativeImage/C0156E93-B7F6-4269-A4B4-5C4C2F573E34-M044.jpg)
2025年9期/10.11817j.issn.1672-7207.2025.09.024/alternativeImage/C0156E93-B7F6-4269-A4B4-5C4C2F573E34-M045.jpg)
2025年9期/10.11817j.issn.1672-7207.2025.09.024/alternativeImage/C0156E93-B7F6-4269-A4B4-5C4C2F573E34-M046.jpg)
2025年9期/10.11817j.issn.1672-7207.2025.09.024/alternativeImage/C0156E93-B7F6-4269-A4B4-5C4C2F573E34-M047.jpg)
2025年9期/10.11817j.issn.1672-7207.2025.09.024/alternativeImage/C0156E93-B7F6-4269-A4B4-5C4C2F573E34-M048.jpg)
2025年9期/10.11817j.issn.1672-7207.2025.09.024/alternativeImage/C0156E93-B7F6-4269-A4B4-5C4C2F573E34-M049.jpg)
工作流体的比热容与质量流量可自行设置,在FDS示例文件HVAC_aircoil.fds中设置2025年9期/10.11817j.issn.1672-7207.2025.09.024/alternativeImage/C0156E93-B7F6-4269-A4B4-5C4C2F573E34-M050.jpg)
2025年9期/10.11817j.issn.1672-7207.2025.09.024/alternativeImage/C0156E93-B7F6-4269-A4B4-5C4C2F573E34-M051.jpg)
2025年9期/10.11817j.issn.1672-7207.2025.09.024/alternativeImage/C0156E93-B7F6-4269-A4B4-5C4C2F573E34-M052.jpg)
2025年9期/10.11817j.issn.1672-7207.2025.09.024/alternativeImage/C0156E93-B7F6-4269-A4B4-5C4C2F573E34-M053.jpg)
式中:2025年9期/10.11817j.issn.1672-7207.2025.09.024/alternativeImage/C0156E93-B7F6-4269-A4B4-5C4C2F573E34-M054.jpg)
2025年9期/10.11817j.issn.1672-7207.2025.09.024/alternativeImage/C0156E93-B7F6-4269-A4B4-5C4C2F573E34-M055.jpg)
隧道内烟气密度可由理想气体状态方程[36]变式得到:
2025年9期/10.11817j.issn.1672-7207.2025.09.024/alternativeImage/C0156E93-B7F6-4269-A4B4-5C4C2F573E34-M056.jpg)
式中:2025年9期/10.11817j.issn.1672-7207.2025.09.024/alternativeImage/C0156E93-B7F6-4269-A4B4-5C4C2F573E34-M057.jpg)
2025年9期/10.11817j.issn.1672-7207.2025.09.024/alternativeImage/C0156E93-B7F6-4269-A4B4-5C4C2F573E34-M058.jpg)
2025年9期/10.11817j.issn.1672-7207.2025.09.024/alternativeImage/C0156E93-B7F6-4269-A4B4-5C4C2F573E34-M059.jpg)
隧道最高温度的纵向分布特征如图10所示。多尺度模型的纵向最高温度分布规律与三维模型的温度分布规律近似。但在一维分段之前,所有模型的纵向温度均相同,在一维分段之后,多尺度模型的温度比三维模型的温度高5~10 ℃,这是因为部分温度损失为非隧道纵向损失,一维模型只能模拟单向损失。尽管一维输出无法完全还原三维数据,但其误差较小,仍具有参考价值。
2025年9期/10.11817j.issn.1672-7207.2025.09.024/alternativeImage/C0156E93-B7F6-4269-A4B4-5C4C2F573E34-F010.jpg)
图11所示为工况10~14中一维出口之后的隧道每隔50 m横截面处的水平速度分布,图6(c)所示为工况10~14计算出的均方误差随隧道纵向分布趋势图。相比于单向多尺度耦合模型,双向多尺度耦合模型在一维出口前100 m内工况10与12的水平速度均方误差及工况10与14的水平速度均方误差低于工况10与11的水平速度均方误差及工况10与13的水平速度均方误差,这说明在近一维模拟区域,双向多尺度模拟更准确地捕捉了流动行为。尽管在一维出口100 m之外,工况10与12的水平速度均方误差及工况10与14的水平速度均方误差仍小于工况10与11的水平速度均方误差及工况10与13的水平速度均方误差,但差值较小。从流速分布图可以明显看出:在一维段出口100 m后的双向多尺度耦合模型效果并未表现出与单向多尺度耦合模型接近三维模型的流态效果,主要原因为:
2025年9期/10.11817j.issn.1672-7207.2025.09.024/alternativeImage/C0156E93-B7F6-4269-A4B4-5C4C2F573E34-F011.jpg)
1) 该模型中采用热空气,仍然与烟气存在一定差异;
2) 在隧道中的双向流动并不明显,如图9所示,分层线高度小于2 m,纵向正负流域面积比小于1/4。
从一维段长度来看,工况10与11的水平速度均方误差及工况10与12的水平速度均方误差均分别大于况10与13的水平速度均方误差及工况10与14的水平速度均方误差,表明一维段越长,模拟误差越大。一维模型可简化复杂的三维流动,实现快速计算,但这种简化在长度较短时,误差较小,然而,随着一维段长度增加,这种简化对复杂流动场的表达能力不足,特别是在处理较长的流动段时,流体的横向和垂向复杂性被过度简化,导致误差累积。经计算发现,各工况一维出口100 m之后的水平速度相对均方根误差均小于0.2,可认为误差并不明显,在模拟长大隧道系统时可忽略不计。
2.2.2 燃烧热流
讨论多尺度耦合模型对火灾烟气分层的模拟效果。火源位置设置在水平隧道中间位置,取火源功率为10 MW,在多尺度耦合模型工况下,对隧道两端烟气一维水平蔓延段使用一维建模。其中,用于该工况结果处理的数据均处于火灾稳定阶段,为模拟最后100 s的平均值。
图12所示为隧道水平速度随高度变化(工况15)。由图12可知:在该模拟场景下,隧道900、 1 000 m处烟气分层点位于隧道高度4.5 m处,而靠近隧道出口的2个一维节点1 200、1 300 m的烟气分层线位于隧道高度3.5 m处。
2025年9期/10.11817j.issn.1672-7207.2025.09.024/alternativeImage/C0156E93-B7F6-4269-A4B4-5C4C2F573E34-F012.jpg)
在火灾工况下,多尺度耦合模型能较好模拟出火灾烟气纵向运动规律,且双向多尺度耦合模型效果最佳。隧道横截面水平速度分布如图13所示。双向多尺度耦合模型在距一维段出口100 m的隧道截面处的水平速度分布更接近三维模拟。相比于单向模型,双向多尺度模型在火灾工况下更能准确捕捉隧道内烟气的分层和逆流现象,显著降低了模拟误差。在火灾场景中,工况15与17的水平速度均方误差和工况15与19的水平速度均方误差低于工况15与16的水平速度均方误差和工况15与18的水平速度均方误差。单向多尺度模型所得的水平速度均方误差明显高于双向多尺度耦合模型,主要原因为单向模拟未能捕捉到火灾场景中逆流等复杂的流动现象,且在模拟温度衰减过程中,单向多尺度一维节点面积过大(等于隧道截面),导致温度衰减远比三维模型的大,使从一维节点流出的气体温度低于环境温度。
2025年9期/10.11817j.issn.1672-7207.2025.09.024/alternativeImage/C0156E93-B7F6-4269-A4B4-5C4C2F573E34-F013.jpg)
3 多尺度耦合模型在超长隧道中的应用
以国内某隧道为原型,长为5 050 m,共设置18个射流风机。将火源设置在隧道2 500 m处,火源功率为50 MW,其中火源及下游3个风机不开启。因为在射流风机作用下,隧道内流态并未出现纵向分层,所以无需使用双向多尺度耦合模型。
图14所示为超长隧道水平风速纵向分布特征。由于隧道较长,隧道纵向场景难以1个图呈现,为此,将纵向分布图分为3段对比。远离射流风机分段及火源位置的隧道呈现一维流动,且火源上游的风速小于火源下游的风速。
2025年9期/10.11817j.issn.1672-7207.2025.09.024/alternativeImage/C0156E93-B7F6-4269-A4B4-5C4C2F573E34-F014.jpg)
多尺度耦合模型能够较好模拟隧道内的流态,但因为火灾烟气的影响,多尺度耦合模型输出的隧道风速比三维模型的高。从图15可得,在隧道中心火源位置,三维模型与多尺度耦合模型的模拟结果差异较大,隧道左右两侧呈现波状分布,其中波峰为射流风机布置点,可见多尺度耦合模型对于火源的影响远比射流风机的大。
2025年9期/10.11817j.issn.1672-7207.2025.09.024/alternativeImage/C0156E93-B7F6-4269-A4B4-5C4C2F573E34-F016.jpg)
本文模拟均使用“元”超级计算机完成,模型计算时间具有可比性。图16所示为模型计算时间与一维长度占比关系。从图16(a)可见:随着一维长度占隧道总长度比例增大,模拟的计算时间减少。在一维模型中,双向多尺度耦合模型的计算时间比单向模型的长,但总计算时间变化不大。在热流工况较冷流工况下,本文模型计算时间减少更显著。值得注意的是,当一维占比较小时,本文模型节约的模拟计算时间也相对较少,而在射流风机工况中计算时间并未减少,反而增加;由于一维和三维模型之间需要进行数据交换,射流风机工况下的流场复杂度较高,计算时间会增加,当一维段较短、多尺度耦合模型节约的计算成本小于一维和三维模型之间进行数据交换的计算成本时,便会出现计算时间不减反增的情况。因此,将计算时间量纲一化,得到图16(b),将所有多尺度耦合模型结果拟合,得到在模型其余条件相同情况下一维长度与计算时间之间关系的拟合公式:
2025年9期/10.11817j.issn.1672-7207.2025.09.024/alternativeImage/C0156E93-B7F6-4269-A4B4-5C4C2F573E34-F015.jpg)
2025年9期/10.11817j.issn.1672-7207.2025.09.024/alternativeImage/C0156E93-B7F6-4269-A4B4-5C4C2F573E34-M060.jpg)
拟合的R2=0.915,说明2个变量之间关系较强。当一维长度占比大于17%时,方可有效减少计算时间。在火灾工况下,为准确模拟隧道内的烟气与热流传播行为,需满足以下建模要求:交界面应设置于距离火源150 m以外的区域。为确保一维模型与三维模型的数据传递具备良好的一致性,隧道出入口处的三维域长度应大于100 m,且一维段长度占隧道总长度的比例不宜低于17%。因此,对于长度超过600 m的长隧道,采用多尺度耦合模型方法能够显著提升计算效率。
综上所述,多尺度耦合模型在超长隧道纵向通风的数值模拟中具有一定的适用性和明显的优势,但同时也存在一些局限性。
该模型优势在于能高效模拟大尺度系统,特别适合超长隧道等大规模地下交通系统的通风设计和火灾应急分析。它能兼顾火灾和冷流工况,在火灾情境下采用双向多尺度模型能够更准确地捕捉烟气分层与逆流,为火灾扩散和通风控制提供精确数据。在局部流场复杂区域(如火源附近、射流风机区),通过细化网格和双向信息交互实现局部精细模拟,而在流场较均匀的区域则采用一维模型,从而实现局部细致与整体高效的平衡。
不过,该模型存在局限性:一维与三维模型之间的数据交换和界面设置要求较高,若处理不当可能引入误差,特别是在火灾初期或流场剧烈变化时;当隧道流场因设备布局或火灾干预而高度不均时,模型的简化可能不足以反映复杂流动,需要进一步采用更精细的三维模拟或模型修正。
4 结论
1) 在冷流条件下,多尺度耦合模型能够在较短的过渡距离内准确捕捉三维流态,且模拟结果与全三维模型的模拟结果差异较小,证明了该模型在隧道通风设计中的有效性。
2) 针对火灾情景中一维模型的温度衰减问题,本文提出利用FDS的HVAC_Aircoil模块计算温度损失,考虑到烟气纵向传播的温度梯度,该方法在隧道环境中效果良好。
3) 在火灾工况下,双向多尺度耦合模型能够更精确地模拟烟气的纵向传播和分层现象,特别是在烟气扩散和逆流场景中具有更高的精度。这表明该模型在模拟复杂火灾场景时具有显著的优势。
4) 相较于传统的全三维模型,多尺度耦合模型能够减少计算时间,同时保持良好的模拟精度。多尺度耦合模型的一维段长度应大于总长度的17%,才能够使计算成本降低效果更加显著。
5) 多尺度耦合模型为超长隧道通风系统的设计和优化提供了一种高效且可靠的工具,尤其在应对火灾等极端工况时,能够为隧道系统安全运行和应急响应提供精确的数据支持。这种方法适用于地铁站、隧道等大规模地下交通系统。
Experimental investigation on ceiling temperature characteristics induced by weak and strong fire plumes in tunnel fires equipped with two-point extraction ventilation using smoke extraction channel
[J]. Tunnelling and Underground Space Technology, 2022, 124: 104487.张文龙, 王凌翔, 黄萍, 等. 基于多尺度耦合模型的超长隧道纵向通风数值模拟[J]. 中南大学学报(自然科学版), 2025, 56(9): 3847-3860.
ZHANG Wenlong, WANG Lingxiang, HUANG Ping, et al. Numerical simulation of longitudinal ventilation in ultra-long tunnels based on multi-scale coupling model[J]. Journal of Central South University(Science and Technology), 2025, 56(9): 3847-3860.
http://dx.doi.org/10.11817/j.issn.1672-7207.2025.09.024

