煤炭是我国的主体能源,在我国能源安全保障中发挥着“压舱石”的作用[1-2]。我国中东部地区浅部煤层资源逐渐枯竭,煤炭资源深部开采已经成为常态[3]。相比于薄及中厚煤层,深部厚煤层工作面综放开采强度高,一次采出空间大,覆岩运动剧烈[4-5]。受上覆岩层运动影响,顶板破断产生的应力波将传递至工作面上方,能量较大的应力波将对沿空巷道及护巷煤柱稳定性产生较大影响[6]。因此,研究高应力条件下加锚煤体在扰动荷载作用下的渐进损伤破坏演化及动态力学响应特征对于探索动载影响下沿空巷道围岩大变形损伤破坏规律具有重要意义。
众多学者开展了大量动载扰动影响下煤岩压缩试验[7-10]。WU等[11]对高静预应力花岗岩开展了单轴压缩下的动力扰动试验,发现预应力花岗岩的岩爆破坏是由低频扰动引起。俞缙等[12]基于不同应力幅值的岩石单轴扰动试验,发现应力是大理岩破坏的主要因素,可采用动态刚度衰减率作为破坏前兆特征指标。ZHANG等[13]研究了煤样在多级频率循环加载下的能量耗散特性,根据循环加载过程中的应力-应变关系,提出了2个滞回指标,并验证了其作为预测煤样疲劳失效前兆指标的有效性。
为进一步研究动载作用下锚杆对煤岩样的影响机制,余伟健等[14]针对煤-岩-锚组合锚固体开展了单轴压缩试验,发现煤体与岩体累积环向应变随组合倾角增加而增大,而煤体提前于岩体50 s进入破坏状态。山世昌等[15]对加锚岩体开展了冲击载荷下的抗剪试验,发现在一定范围内,冲击能量越大,锚杆弯曲变形越大,预紧扭矩越大,锚杆抗冲击变形能力越强。韦四江等[16]采用巴西圆盘煤样开展了冲击载荷影响下无锚和加锚煤样力学试验,发现加锚煤样抗拉强度提高了24%~40%,且煤样更破碎。
然而,目前国内外主要研究动载扰动影响下煤岩强度、损伤规律及破坏特征,针对动载扰动下高应力加锚煤体力学响应规律及破坏演化过程尚缺乏深入研究。为了揭示动静载作用下加锚煤体破坏机制,本文首先基于动静载组合循环加载试验系统[17],获得了不同加载条件下的加锚煤样强度特征;其次,通过同步声发射试验,分析了动静载荷条件下加锚煤样声发射活动规律;最后,讨论了加锚煤体破坏发生机制。
1 试验设备和方案
1.1 试样制备
试验所用煤样采集自鲍店煤矿,煤体表面色泽均匀,呈亮黑色,层状结构,有较小的结构缺陷。根据国际岩石力学学会(ISRM)岩样制备标准,使用钻孔切割机,从同一煤块钻芯取样,制作成18个高度为100 mm、直径为50 mm的标准圆柱体,将煤体上下两端面打磨平整,使端面不平行度小于0.02 mm。从标准煤样中随机取出3个煤样进行单轴压缩试验,编号为M0-1、M0-2与M0-3。在现场动载扰动作用下,巷道围岩锚固结构可能会出现锚杆脱黏、拔出等锚固失效现象,为分析动载作用下锚固结构力学响应行为,制备加锚煤样。为消除边界效应,通常采用大尺寸试样与小尺寸钻孔[18],本文中选用的钻孔直径为3 mm,具体如下。
首先,对剩余的15个煤样进行打孔(贯通孔,平行于上下端面),孔径为3 mm,钻孔位置位于煤样正中心、1/2高度处(50 mm)、1/2宽度处(25 mm)。
然后,将环氧通用型植筋胶作为锚固剂注入孔内,注入深度为50 mm。
最后,将锚杆插入孔内,并拧紧螺帽,锚杆采用直径为2.5 mm、抗拉强度为515 MPa的304不锈钢锚杆,完成加锚煤样制备。
1.2 试验设备
试验基于山东科技大学矿山灾害预防控制省部共建国家重点实验室自主研发的动静组合循环加载试验系统[17],如图1所示。试验系统主要分为加载系统、伺服液压控制系统、液压泵站系统和数据采集处理系统。本次试验中静力荷载(0~800 kN)、扰动荷载(0~100 kN)通过试验机加载系统顶部的扰动端施加,静载位移速率(0.1~150.0 mm/min)和动载位移速率(0.05~100.00 mm/min)可通过伺服液压控制系统调节。内置的压力传感器可实时采集动静荷载;伸缩位移传感器可测量煤体的位移,其量程为0~200 mm,精度最小采集数据为0.002 mm,可保证试验的精度和测量数据的有效性。
2025年9期/10.11817j.issn.1672-7207.2025.09.025/alternativeImage/06F9C328-C02E-438e-907D-7B501DABF50C-F001.jpg)
在试验过程中,采用美国声学公司(physical acoustic corporation) PAC-II 声发射监测系统实时监测动载扰动下加锚煤体损伤破裂特征。
1.3 试验方案
考虑到现场巷道围岩破坏具有浅表局部区域破坏的特点[19-20],对单筋锚杆锚固煤样进行单轴压缩条件下的动载扰动试验。为选取合理的静载和扰动荷载参数,首先开展3组(试样编号M1-1、M1-2、M1-3)加锚煤样单轴压缩试验,加载采用位移控制,以0.12 mm/min的速度加载至煤样被破坏,获得加锚煤样单轴抗压强度σc,这为高应力加锚煤样动载扰动试验中静载σs、扰动荷载幅值σd的预设提供依据。
声发射布置监测方式见文献[21]。设置1、2这2个通道,分别布置在煤样侧面的中部和下部。AE系统门槛值为40 dB,采样频率1 MHz。为了尽可能减少AE信号的监测误差,尤其是AE探头与煤体接触面间摩擦产生的影响,将耦合剂均匀涂抹在探头与煤体接触位置,并用胶带固定,实时监测加载期间的声发射信号。试验准备期间进行AE断铅耦合检测,确保幅值信号能够达到40 dB以上。
基于加锚煤样单轴抗压强度选取动载幅值和静载[22-24],确定静载水平为80%σc。如图2所示,动载扰动下高应力状态加锚煤样破坏试验可以分为单轴静载加载和动载扰动2个阶段。具体试验流程如下:先以0.12 mm/min的速率施加静载至80%σc(σc为单轴抗压强度),保持静载恒定的同时施加不同幅值的扰动荷载,扰动荷载幅值分别设定为7.5%σc(试样编号为M2-1、M2-2、M2-3)、12.5%σc(试样编号为M3-1、M3-2、M3-3)、17.5%σc(试样编号为M4-1、M4-2、M4-3)和22.5%σc(试样编号为M5-1、M5-2、M5-3),扰动载荷频率5 Hz。若扰动荷载循环300个周期后煤样仍未发生破坏,则停止扰动,继续以0.12 mm/min的速率加载至煤样破坏,得到扰动损伤煤样的强度。
2025年9期/10.11817j.issn.1672-7207.2025.09.025/alternativeImage/06F9C328-C02E-438e-907D-7B501DABF50C-F002.jpg)
2 试验结果
2.1 应力-应变关系曲线
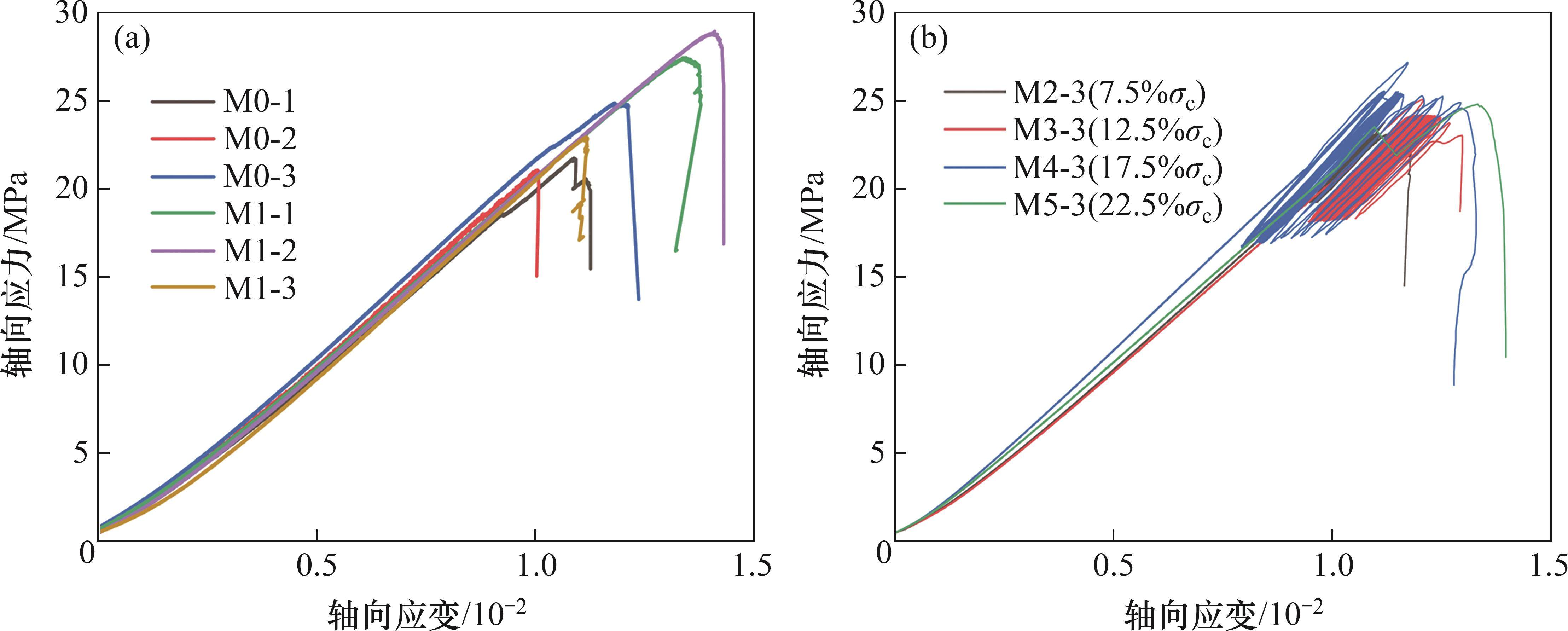
图3(a)所示为静载条件下完整煤样(M0)与加锚煤样(M1)应力-应变关系曲线。从图3(a)可以看出:两类煤样6组应力-应变关系曲线均呈现类似的变化趋势,可分为压密阶段、弹性阶段和峰后破坏阶段;对于完整煤样(M0)与加锚煤样(M1),弹性模量为2.10 GPa左右,均质性较好。
2025年9期/10.11817j.issn.1672-7207.2025.09.025/alternativeImage/06F9C328-C02E-438e-907D-7B501DABF50C-F003.jpg)
图3(b)所示为4组动载(7.5%σc、12.5%σc、17.5%σc和22.5%σc)扰动下的加锚煤样应力-应变关系曲线。从图3(b)可以看出:在加载至80%σc前,4组加锚煤样曲线变化趋势基本一致,加锚煤样未发生破坏;在施加动载扰动后,不同动载扰动条件下加锚煤样表现出不同的力学行为。低动载(7.5%σc)扰动条件下,动载循环加载300个周期后,煤样仍未发生破坏,继续施加轴向静载后,加锚煤样发生破坏;当扰动载荷分别增加至12.5%σc、17.5%σc、22.5%σc时,平均动载循环加载158个周期、41个周期以及未完成1个周期后,加锚煤样便发生破坏。
2.2 煤样强度
根据完整及加锚煤样应力-应变关系曲线可知,M0、M1、M2、M3、M4和M5煤样的平均单轴抗压强度分别为22.6、26.0、25.1、25.0、24.4和24.3 MPa。在单一静载作用下,相比于完整煤样,加锚后的煤样单轴抗压强度增加了15.0%,强度增幅明显。
在静载加载的基础上,施加动载扰动,相比于未受动载扰动加锚煤样(M1),在低动载扰动下,加锚煤样(M2)在承受动载循环加载300个周期后,虽未直接破坏,但单轴抗压强度降低了约3.5%。虽然低动载作用下加锚煤样不会瞬间发生破坏,但受动静载叠加作用影响,频繁的动载扰动仍会造成煤样内部损伤,导致其最终强度较单独承受静载的加锚煤样要低。而在较高及高动载扰动下,加锚煤样(M3、M4与M5)均未循环完300个动载加载周期便已破坏,3组加锚煤样单轴抗压强度较未受动载扰动加锚煤样(M1)分别降低了3.8%、6.2%和6.5%。在较高动载(12.5%σc与17.5%σc)扰动作用下,加锚煤样更容易发生损伤,在动载作用下即发生破坏,且动载幅值越高,加锚煤样越容易发生损伤,强度也就越低。而在高动载(22.5%σc)作用下,加锚煤样瞬间便发生破坏。
2.3 加锚煤样声发射特征
2.3.1 动载作用下加锚煤样声发射特征
声发射(AE)计数直接反映了岩石材料的损伤状态[25-29]。不同动载扰动载荷下加锚煤样AE计数、累计AE计数和应力随时间变化趋势见图4。从图4可以看出,在静载作用阶段(阶段I),随轴向应力缓慢增加,4组加锚煤样AE活动较平静,累计AE计数近似呈二次函数型缓增;在静载作用阶段后期,累计AE计数开始逐渐增加。
2025年9期/10.11817j.issn.1672-7207.2025.09.025/alternativeImage/06F9C328-C02E-438e-907D-7B501DABF50C-F004.jpg)
在动载扰动阶段(阶段II),在动载施加的瞬间,加锚煤体内部微裂纹稳定扩展状态被打破,4组加锚煤样AE计数均瞬间增加,累计AE计数曲线均出现突变式增长。
1) 当扰动强度较低时(7.5%σc,图4(a)),在阶段II,AE计数相对平稳增长,这是由于静载+低强度动载扰动叠加后仍未超过加锚煤样的屈服强度σy。进入阶段III以后,煤体内部已产生一定的损伤破坏,在轴向应力加载至动载扰动过程中的应力上限前(静载+扰动强度),煤样内部微裂纹萌生和扩展较少,而在阶段III后期,AE计数及累计计数陡增,微裂纹快速发育并扩展,最终导致加锚煤样发生破坏。
2) 当动载幅值为12.5%σc(图4(b))和17.5%σc(图4(c))时,在循环动载扰动期间(阶段II),AE计数持续快速增长,这是由于静载+较高强度动载叠加后超过了加锚煤样的屈服强度,促进了裂隙快速扩展,当损伤积累到一定程度时,加锚煤体试样在动静载叠加作用下发生动态破坏。此外,在阶段II中,扰动载荷越大,煤样内部微裂纹萌生及扩展的速度越快,表现为累计AE计数曲线增长幅度越大。
3) 当动载幅值为22.5%σc时(图4(d)),在动载施加的瞬间(阶段II),AE计数及累计数突增,尚未完成1个动载扰动周期就发生了瞬间破坏,具有明显的动态冲击现象。这是由于静载+高强度动载扰动叠加后超过了加锚煤样的峰值强度,在动载施加瞬间,煤样内部裂纹快速扩展贯通,造成动态冲击破坏。
2.3.2 基于RA/FA的裂纹分类特征
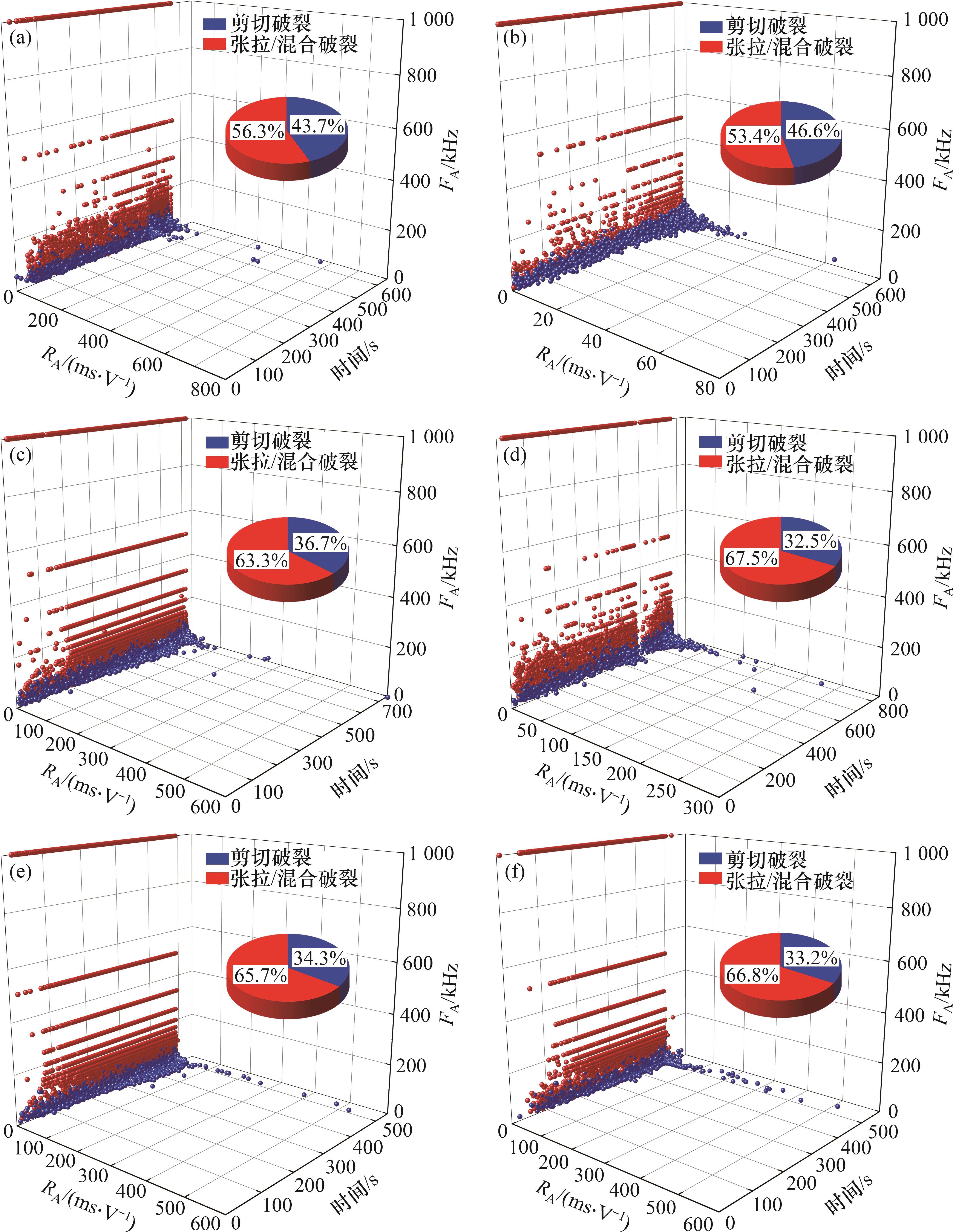
日本混凝土协会将AE特征参数RA(上升时间与幅值之比)与FA(平均频率)联系起来,以评价混凝土材料的裂纹破坏机制[30]。根据文献[27],当RA/FA>90时,认为破坏裂隙为张拉或混合破坏裂隙,反之为剪切破坏裂隙。图5所示为基于RA/FA的不同动载作用下加锚煤样裂纹类别示意图。
2025年9期/10.11817j.issn.1672-7207.2025.09.025/alternativeImage/06F9C328-C02E-438e-907D-7B501DABF50C-F005.jpg)
在静荷载作用下,完整煤样剪切破坏裂纹占比为43.7%,以张拉破坏为主。对于加锚煤样,其剪切破坏裂纹占比增加到46.6%,这是由于锚杆抑制了张拉裂纹的产生。
进一步,在动载扰动作用下,加锚煤样张拉破坏/混合破裂占比显著增加,剪切破裂占比明显降低。当扰动幅值为7.5%σc时(图5(c)),煤体内部以发育微裂纹和扩展损伤为主,剪切破坏裂纹占比为36.7%。随着动载强度增加,扰动幅值为12.5%σc、17.5%σc和22.5%σc的煤体剪切破裂裂纹占比接近,分别为32.5%、34.3%和33.2%,剪切破裂占比总体呈下降趋势。这是由于动载促进煤体内部张拉裂纹的萌生和扩展,动载作用下加锚煤体整体趋向于张拉破坏。
2.3.3 不同加载阶段裂纹演化
3组加锚煤样(M2-3、M3-3和M4-3)各阶段的裂纹演化特征见表1。需要指出的是,由于M5-3加锚煤样动载循环不到1个周期便发生了破坏,故此处不分析其裂纹演化特征。
| 样品 | 剪切破裂 | 张拉/混合破裂 | ||||
|---|---|---|---|---|---|---|
| 阶段I | 阶段II | 阶段III | 阶段I | 阶段II | 阶段III | |
| M2-3 | 30.2 | 30.7 | 45.8 | 69.8 | 69.3 | 54.2 |
| M3-3 | 27.3 | 42.5 | — | 72.7 | 57.5 | — |
| M4-3 | 32.4 | 50.9 | — | 67.6 | 49.1 | — |
从表1可见:对于M2-3加锚煤样(7.5%σc),静载作用阶段(阶段I)与动载作用阶段(阶段II)加锚煤样均表现为张拉破坏模式;动载结束后,继续施加静载(阶段III),剪切破裂比例增加至45.8%。在阶段II,尽管在加锚煤样上方施加了动载,但由于动载幅值较低,煤样内部仍以微裂纹扩展为主,此时,锚杆尚未对宏观裂纹起到抑制作用,因此,仍以张拉破坏为主;而在阶段III,加锚煤样开始出现宏观裂隙,同时锚杆也对宏观裂隙的产生起到了抑制作用,在一定程度上增加了剪切破裂的比例。
当动载幅值增加至12.5%σc(M3-3)时,加锚煤样M3-3与M2-3在阶段II呈现不同的破裂特征。在阶段II,加锚煤样M3-3虽仍以张拉破坏为主,但剪切破坏比例较阶段I增加,且与M2-3相比增加明显。经分析认为,由于动载幅值较高,在动载加载初期,加锚煤样仍以张拉破坏为主;而在动载加载后期,锚杆对此时宏观裂隙的产生起到了抑制作用,导致剪切裂纹占比增加。
当动载幅值增加至17.5%σc(M4-3)时,在阶段II,剪切破裂比例占比超过了50%。考虑到该阶段持续时间较短,加锚煤样便已发生破坏,在高动载作用下锚杆很快便发挥作用。
3 加锚煤体破坏机制
动静载叠加效应是造成深部巷道加锚围岩冲击失稳的主要原因之一。在稳定的静载作用下,加锚煤样破坏与否取决于动载强度以及扰动周期数,动载强度越大,扰动越频繁,越容易发生瞬间冲击破坏。为了指导现场冲击地压防治工作,从动载、静载以及煤体屈服强度(σy)的角度,分析了加锚煤体破坏机制,并提出了防控原则。
3.1 静载与动载之和小于煤体屈服强度(σs+σd<σy)
加锚煤体承受较高的静载压力,而动载扰动幅值较小;或者其承受较低的静载压力,即使在较高动载叠加作用下,仍未超过加锚煤体的屈服强度。在该种工况下,静载、动载对巷道围岩及其支护结构扰动破坏较小,巷道整体能够保持稳定。
3.2 静载与动载之和大于煤体屈服强度但小于其峰值强度(σy≤σs+σd≤σc)
当加锚煤体承受的静载与动载之和超过其屈服强度但仍小于其峰值强度时,加锚煤体虽然不会立即发生破坏,但频繁的动载扰动可能会逐渐破坏围岩及其支护结构。当动载扰动达到一定次数或支护结构损伤累积到一定程度时,围岩可能会出现大变形破坏,导致加锚煤体强度降低;而当加锚煤体再次承受相同或类似强度的动载时,则可能会出现冲击破坏。在该种工况下,需要采取钻孔卸压等措施降低煤层所受静载应力,并采取加强支护等措施。
3.3 静载与动载之和大于煤体峰值强度(σs+σd>σc)
当加锚煤体承受较低的静载压力而动载扰动幅值过大,或其承受较高的静载压力时,即使动载扰动幅值较小,但仍超过了其峰值强度时,加锚煤体可能会发生瞬间冲击破坏。在该种工况下,除应采取钻孔卸压等措施降低煤层所受静载应力外,还需采取顶板预裂等方式控制动载源,降低动载应力对巷道围岩的影响。
4 结论
1) 相比于完整煤样,加锚后的煤样单轴抗压强度增幅明显。在一定静载作用下,在低动载循环扰动时,加锚煤样并未直接发生破坏,且其最终破坏后的峰值强度与只承受静载加锚煤样相比降低;而在较高动载循环扰动下,加锚煤样直接发生破坏,且动载幅值越高,加锚煤样越容易发生损伤,峰值强度也就越低。
2) 加锚煤样在静载阶段声发射活动处于平静期,进入动载作用阶段,声发射活动进入显著增长期,且动载扰动幅值越大,累计AE计数曲线增长幅度越大,AE计数及累计AE计数最终在临近破坏时达到峰值。
3) 在静载作用阶段,所有加锚煤样整体均以张拉破坏为主;在低动载作用下(煤样未破坏),加锚煤样整体仍以张拉破坏为主,继续施加静载,由于锚杆的抑制作用,剪切裂纹占比增加;在高动载作用下(动载作用下便发生破坏),在动载加载初期,加锚煤样以张拉破坏为主,而在动载作用后期,锚杆对此时宏观裂隙的产生起到了抑制作用,导致剪切裂纹占比增加。
4) 在稳定的静载作用下,加锚煤样破坏与否取决于动载强度以及扰动次数。从动载、静载以及煤体屈服强度的角度,将加锚煤体破坏发生机制分为了3类:静载与动载之和小于煤体屈服强度、静载与动载之和大于煤体屈服强度但小于峰值强度以及静载与动载之和大于煤体峰值强度。在频繁动载扰动或高动载扰动下,应采取煤层卸压、顶板预裂等措施改善巷道围岩所处应力环境,控制巷道围岩稳定性。
蒋邦友, 高杰, 李文帅, 等. 动载扰动下高应力加锚煤体力学响应特征[J]. 中南大学学报(自然科学版), 2025, 56(9): 3861-3870.
JIANG Bangyou, GAO Jie, LI Wenshuai, et al. Mechanical response characteristics of high-stress anchor-supported coal specimens with dynamic load disturbance[J]. Journal of Central South University(Science and Technology), 2025, 56(9): 3861-3870.
http://dx.doi.org/10.11817/j.issn.1672-7207.2025.09.025

