矿产资源是我国的经济命脉,绿色开采对于保护环境与可持续发展十分重要,资源与环境协调开采是解决西部生态脆弱区开采环境问题的必由之路[1-2],矸石胶结充填开采对于提高资源利用率[3-4],解决由于矸石大量堆积引起的环境污染问题[5-7]等方面有重要意义。矸石胶结充填体通常是由煤矸石、粉煤灰、胶结剂加水搅拌形成充填料浆[8],在地下充填采场固结过程中与周围岩体相结合,形成的矸石胶结充填体-围岩组合体,目前对充填体和围岩体的研究非常广泛[9-15],但关于接触面倾角对充填体-围岩组合体的研究较少,而在实际工程应用中,充填体并非是独立个体,充填体与围岩体协同承担荷载,从而导致充填体-围岩组合体的力学特性与纯充填体有很大差异,因此,研究组合结构间相互作用的力学性能和破坏特征对于充填采场具有重要意义。
为了研究胶结充填体-围岩组合结构的力学行为,国内外学者进行了一系列研究。赵兵朝等[16]对矸石胶结充填体进行单轴压缩试验,探究了充填体的能量演化规律及裂纹扩展机制;赵永辉等[17]对不同高宽比的棱柱充填体试件进行单轴压缩试验,研究了充填体的损伤演化规律及破坏特征;周可凡等[18]对红砂岩和混凝土组合的软硬互层岩石试件进行单轴压缩试验,基于声发射数据探讨了软硬互层岩石在加载过程中的裂纹演化规律;卢宏建等[19-21]通过制作充填体—围岩组合体模型,采用物理模拟与数值模拟等方法,对组合体力学特性和破坏演化特征进行了深入研究;宋卫东等[22-23]通过制作不同类型岩柱-充填体试件,进行侧限压缩和三轴压缩试验,对组合体的受压特性及相互作用机理进行了深入探讨;程爱平等[24]在单轴压缩条件下对围岩-充填体组合体进行了声发射试验,研究了组合体在轴向荷载作用下的损伤特性;JIANG等[25]对软岩-煤组合体试样进行单轴压缩试验和动态扰动试验,借助声发射系统,分析了动态扰动作用下软岩-煤体组合体的损伤特性;王明旭[26]基于相似原理制作充填体与围岩组合体试件,通过不同条件室内试验,分析了组合体的裂纹扩展与变形演化规律;郭东明等[27]对不同倾角煤岩组合体进行单轴和三轴压缩试验,研究了不同倾角对煤岩组合体宏观破坏机制的影响;秦涛等[28]对不同煤厚的煤岩组合体进行单轴压缩声发射试验,分析了煤岩组合体破坏过程中的声发射特征参数和峰前损伤演化规律;伍永平等[29]通过单轴压缩试验和数值模拟方法,分析了倾角效应下煤岩组合体交界面处非均衡应力传递规律;LIANG等[30]对不同高度比的软岩-煤岩组合体进行单轴压缩试验,研究了低强度“软岩-煤体”组合结构的损伤特性;WANG等[31]对不同高度比的煤岩组合体进行加载试验,研究了煤岩组合体能量演化规律以及两者间的相互作用关系,并提出一种基于加卸载曲线面积的岩石能量计算方法;赵奎等[32]对不同尺寸充填体进行单轴压缩试验,研究了尺寸效应对充填体能量损伤演化的影响;FANG等[33]对充填体与岩石进行剪切试验,探讨了应力、排水条件和充填率对胶结充填体与围岩界面剪切特性的影响。
以上学者对高度比、厚度比、组合方式以及加载模式等影响组合体结构力学特性的单因素进行了探究,但对于不同接触面倾角组合体的损伤破坏规律鲜有研究,而组合体系统更加贴合现场实际情况。本文以地下充填采场为物理模型,通过不同接触面倾角组合体试件的单轴压缩试验,研究接触面倾角(0°、15°、30°、45°、60°、75°、90°)对组合体试件力学特性和能量演化规律的影响,研究结论可为地下充填采场的稳定性研究提供一定的理论基础。
1 试验方案
1.1 试件材料与制备
试验所用的煤矸石和围岩均选自陕西某矿,胶结材料为粉煤灰和普通硅酸盐水泥(P.O.42.5),水选用实验室自来水。采用X射线荧光光谱仪分析其化学组成,分析结果见表1。将采集的围岩预切割成边长为70.7 mm的正方体,沿中线切割出与水平方向成不同夹角(0°、15°、30°、45°、60°、75°、90°)的界面,根据ISRM相关规范要求,试样两端平整度控制在0.01 mm内,以满足试验要求。
| 样品 | SiO2 | TiO2 | Al2O3 | Fe2O3 | MgO | CaO | Na2O | K2O | 其他 |
|---|---|---|---|---|---|---|---|---|---|
| 煤矸石 | 59.97 | 0.77 | 18.22 | 4.16 | 1.70 | 0.56 | 1.44 | 3.23 | 9.95 |
| 粉煤灰 | 43.16 | 1.89 | 17.63 | 14.31 | 0.96 | 6.74 | 8.26 | 2.03 | 5.02 |
| 水泥 | 26.37 | 0.95 | 7.43 | 3.06 | 4.88 | 46.78 | 0.73 | 1.03 | 8.77 |
根据矿山实际充填情况进行室内试验设计,筛取经过破碎处理后粒径为0~2.5 mm的煤矸石待用。根据配比[34]称取煤矸石(质量分数为70%)、粉煤灰(质量分数为20%)、水泥(质量分数为10%),混合均匀后倒入搅拌机中,加入相对应的水充分搅拌形成质量分数为78%的均匀料浆,注入模具中,24 h后脱模,将试件放入控制温度为(20±5) ℃、相对湿度为(90±5)%的恒温恒湿养护室内28 d。制成边长为70.7 mm的充填体-围岩组合体试件,为减小试验误差,每组制作3个组合体试件,共计21个试件,选取试验效果最佳试件进行分析,制作过程见图1。

1.2 试验设备
使用DNS电子万能试验机对试件进行单轴压缩试验,参考文献[35]设置加载过程参数,采用位移控制加载,加载速率为1 mm/min;声发射采 集系统采用DS5系列声发射系统,设定门槛值 100 mV,采样频率为3 MHz,声发射探头定位点如图2所示,试验装置如图3所示。


2 试验结果与分析
2.1 组合体力学特性
图4所示为接触面倾角对组合体试件峰值应力、弹性模量和峰值应变的影响,表2所示为充填体试样和岩石试样的基本力学参数。由图4、表2可知:组合体试样的强度介于充填体、岩石两者的强度之间。由图4可知:组合体试件的峰值应力随着接触面倾角的增加整体呈增大趋势,而峰值应变呈现先增加后缩减趋势。这是由于随着倾角的增大,组合式试件的受压面由充填体部分过渡为岩石部分,而岩石作为高强度高致密材料,具有较强的抗压能力和较小的峰值应变。组合体试件的弹性模量随着倾角的增加而增大,表明组合体试件的刚度也不断增大。

| 试样 | 单轴抗压 强度/MPa | 弹性模量/GPa | 峰值应变/% |
|---|---|---|---|
| 充填体 | 2.39 | 2.68 | 0.05 |
| 岩石 | 50.23 | 47.53 | 1.14 |
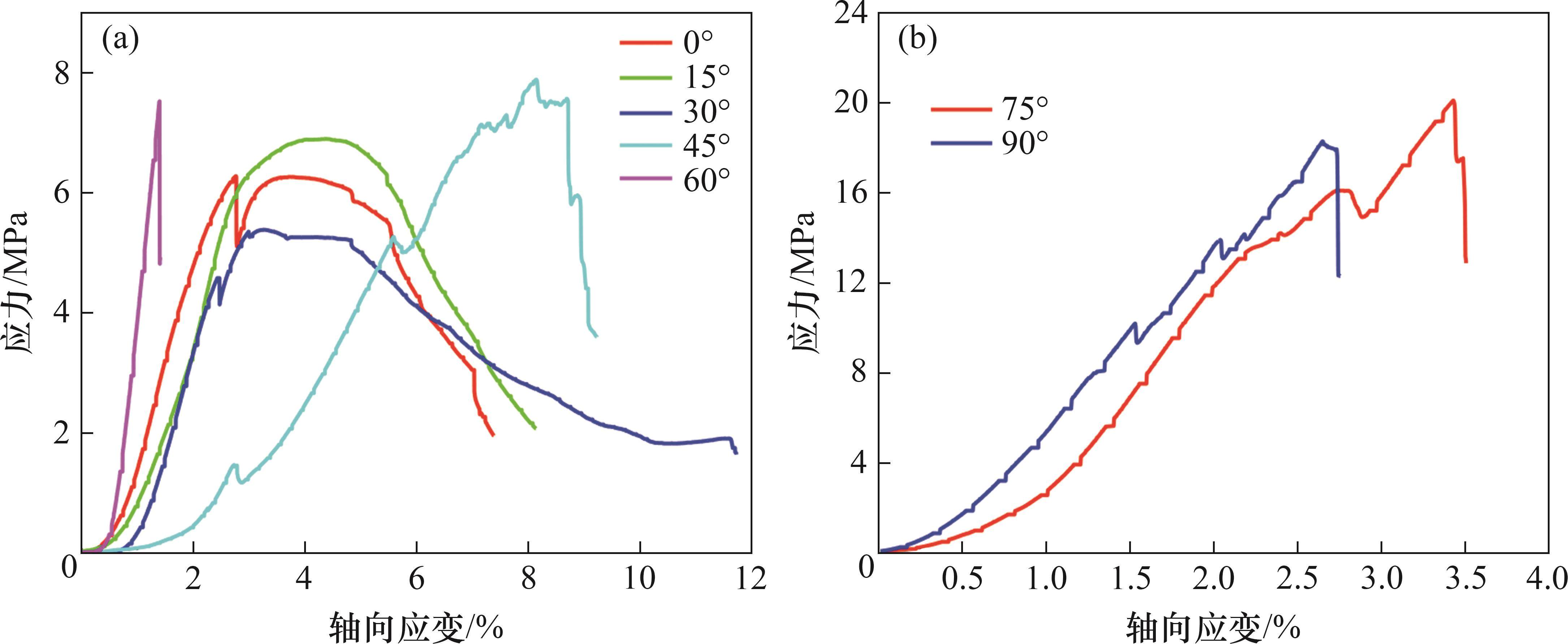
图5所示为不同接触面倾角组合体试件应力-应变曲线。由图5可知,接触面倾角为0°、15°、30°的组合体的破坏类型为延性破坏,变形破坏过程可分为初始压密、弹性、塑性屈服、峰后破坏4个阶段。在初始压密阶段,试件接触面与内部原生孔隙、裂缝被缓慢压密,应力-应变曲线呈下凹状;随着接触面倾角的增大,组合体试件之间发生的剪切滑移现象逐渐加剧,曲线下凹程度更 加明显。在弹性阶段,内部孔隙进一步压密,应力-应变曲线近似于一条直线,此阶段试件整体变形可恢复,抗变形能力强。塑性阶段,组合体试件达到屈服点,应力-应变曲线呈上凸状,出现不可恢复的塑性变形,组合体试件失稳。在峰后破坏阶段,组合体试件裂纹贯通,形成宏观断裂面,应力-应变曲线缓慢下降。

接触面倾角为45°、60°、75°、90°的组合体的破坏类型为脆性破坏,破坏过程可分为初始压密、弹性、塑性屈服3个阶段,此破坏类型的应力-应变曲线特征与延性破坏前3个阶段的应力-应变曲线特征相似。产生不同破坏类型的原因是,随着接触面倾角的增大,首先承受荷载的部分由充填体过渡到岩石,而岩石属于强度较大的脆性材料,在荷载的持续增加下,充填体部分与岩石部分交替承受主要荷载,当达到岩石的峰值应力后,组合体试件也随之破坏,因此,应力-应变曲线出现较多“褶曲”,且随着接触面倾角的增加,组合体试件的整体抗压强度也逐渐增大。
2.2 组合体声发射特征
2.2.1 组合体声发射振铃计数特征
图6所示为不同接触面倾角组合体试件声发射振铃计数。从图6可见:在加载初期,充填体与岩石充分摩擦、挤压,造成损伤,发出声发射信号;当接触面倾角为0°、15°、30°和45°时,随着接触面倾角的增大,组合体试件发生剪切滑移现象愈加明显,促进了组合体内部孔隙闭合,产生较多声发射信号;当接触面倾角为60°、75°和90°时,岩石部分为主要承担荷载部分,由于岩石是一种致密材料,内部孔隙较小,因此,在此阶段产生的声发射信号较少。

在弹性阶段,声发射振铃计数表现为“多点突增”,由于组合体组成材料不同,强度之间存在差异,因此,低强度的充填体率先产生裂纹,并不断发育、扩展,高强度的岩石无明显损伤破坏,此阶段的声发射信号也主要来源于充填体部分。
随着荷载的增加,组合体进入塑性阶段,内部微裂隙不断挤压并相互贯通,同时,组合体接触面处产生应力集中现象,裂纹向高强度的岩石部分扩展,组合体试件表面出现宏观裂纹,临近峰值应力处,声发射信号出现“激增”趋势。
在峰后阶段,应力下降,组合体试件发生失稳破坏,接触面倾角为0°、15°和30°的组合体试件内部裂纹不再衍生、扩展,声发射信号逐渐降低;接触面倾角为45°、60°、75°和90°的组合体试件的破坏类型为脆性破坏,在此阶段,不再产生声发射信号。
2.2.2 RA-AF特征及破坏模式
组合体试件的破坏是剪切和拉伸破坏协同作用的结果,借助声发射参数上升角度(RA)和平均频率(AF)可判别组合体结构破裂类型,其中,RA值为上升参数与幅值的比值,AF值为振铃计数与持续时间的比值,拉伸裂纹呈现高AF值、低RA值,剪切裂纹呈现低AF值、高RA值[36]。对于拉伸裂纹和剪切裂纹的分割线的定义没有公认的标准,COMMITTEE[37]认为对角线左上方裂纹为拉伸裂纹,对角线右下方裂纹为剪切裂纹。
图7所示为不同接触面倾角组合体试件在破坏过程中RA-AF的分布占比。由图7可知:接触面倾角分别为0°、15°、30°、45°、60°、75°、90°的试件的拉伸破坏占比依次为89.29%、88.26%、91.65%、99.37%、89.89%、71.43%、48.53%,呈先增加后减小趋势。结合宏观破裂形式,当接触面倾角小于45°时,上部充填体部分出现明显的脱落现象,组合体试件呈现拉伸破坏;当接触面倾角45°时,组合体试件发生明显的滑移现象,剪切裂纹占比几乎为零,拉伸破坏效果最为显著;当接触面倾角大于45°时,岩石部分承担荷载面积逐渐增大,拉伸裂纹占比减小,剪切裂纹占比增大;当接触面倾角达到90°时,剪切裂纹占比超越拉伸裂纹占比,组合体试件表现出剪切破坏。

2.3 组合体能量耗散演化规律
2.3.1 能量计算原理
根据热力学第一定律,在外荷载作用下,煤矸石胶结充填体-围岩组合体试件与外界无热量交换,有[38]

式中:U为外荷载对组合体试件做功的总应变能密度,MJ/m3;

弹性应变能密度与耗散能密度关系曲线如图8所示,其中,σ1和ε1分别为组合体试件的应力和应变。

此次试验采用单轴压缩加载路径,组合体试件仅受轴向荷载,组合体试件各部分能量可表示为[39]:



式中:Ei为卸载弹性模量,用初始弹性模量E0代替Ei[40]。
根据能量守恒原理,组合体试件在轴向荷载作用下发生能量的储存与耗散,利用弹性能耗比K[41]反映组合体试件在压缩过程中弹性应变能与耗散能之间的转化关系,K的表达式为

2.3.2 能量耗散规律
根据以上能量计算原理,得到不同接触面倾角组合体试件总应变能U、弹性应变能


1) 在初始压密阶段(OA段),不同倾角组合体能量演化规律一致,在轴向荷载作用下,组合体内部的原生孔隙和微裂隙被缓慢压密,此过程能量有所消耗,耗散能在总应变能中占据主导地位,总应变能与弹性应变能均呈非线性增大,而耗散能基本呈线性增长趋势。随着荷载的持续增加,组合体内部孔隙被完全压实,弹性应变能与耗散能曲线出现交点,耗散能曲线增长趋势减缓,而弹性应变能持续快速增长。
2) 在弹性阶段(AB段),不同倾角组合体总应变能曲线与弹性应变能曲线基本重合,且以相同速率增长,能量损耗几乎为零,总输入的应变能几乎全部转化为弹性应变能储存在组合体内部,此时,组合体近似为弹性体。
3) 在塑性屈服阶段(BC段),当接触面倾角为0°、15°和30°时,组合体试件的破坏类型为延性破坏,弹性应变能曲线由上升转为平缓趋势,并在峰值应力处达到最大值,耗散能曲线逐渐呈上升趋势,耗散能在总输入应变能中比例逐渐增加,但弹性应变能仍占据主导地位。当接触面倾角为45°、60°、75°和90°时,组合体试件的破坏类型为脆性破坏,在达到峰值应力前能量演化规律与接触面倾角为0°、15°和30°的组合体演化规律大致相同;达到峰值应力后,弹性应变能曲线陡降,而耗散能曲线骤增,此时,耗散能曲线与弹性应变能曲线再次出现交点。
4) 在峰后破坏阶段(CD段),接触面倾角为0°、15°和30°的组合体试件在荷载作用下裂纹迅速扩展,直至失稳破坏,弹性应变能曲线由平缓转为下降趋势,而耗散能曲线迅速上升,此时,组合体试件内部储存的弹性应变能转化为耗散能被迅速释放,耗散能在总应变能中占据主导位置。
2.3.3 基于弹性能耗比的组合体破坏前兆特征
根据式(5)计算得不同接触面倾角组合体试件弹性能耗比。图10所示为不同接触面倾角组合体弹性能耗比K变化曲线。由图10可知:弹性能耗比曲线演化规律与组合体破坏类型有关。接触面倾角0°、15°和30°的组合体试件破坏类型为延性破坏,初始压密阶段组合体内部的孔隙被压密,弹性能耗比曲线呈陡降趋势;在弹性阶段至塑性屈服阶段,组合体内部孔隙被持续压缩,弹性能耗比曲线呈现缓慢下降趋势并逐渐趋于零,此时,组合体内部储存的能量达到最大值;峰值应力处弹性能耗比曲线由持续下降逐步转变为上升趋势;峰后破坏阶段弹性能耗比迅速上升;随着荷载的增加,组合体试件逐渐失稳并被破坏。接触面倾角为45°、60°、75°和90°的组合体试件破坏类型为脆性破坏,在初始压密阶段和弹性阶段,弹性能耗比曲线演化规律与延性破坏的规律基本相同;达到峰值应力后,组合体试件瞬间被破坏,弹性能耗比曲线持续下降并趋于零,此时,组合体输入的总能量逐步转化为弹性能储存在组合体内部。

弹性能耗比可反映组合体试件加载过程中损伤与能量之间的关系。延性破坏时,弹性能耗比曲线由下降转为上升趋势可表征组合体失稳破坏的前兆信息;脆性破坏时,弹性能耗比曲线逐渐趋于零可作为组合体临界破坏的前兆特征。
3 结论
1) 组合体试件峰值应力与弹性模量随着接触面倾角的增加呈增大趋势,峰值应变呈先增大后减小趋势。接触面倾角为0°、15°和30°的组合体破坏类型为延性破坏,破坏发生在上部充填体部分;接触面倾角为45°、60°、75°和90°的组合体破坏类型为脆性破坏;当倾角为45°时,充填体与岩石均发生破坏,且在交界面处发生剪切滑移;当倾角为60°、75°和90°时,组合体破坏主要发生在岩石部分,出现垂直于水平方向的张拉裂纹。
2) 接触面倾角为0°、15°和30°的组合体在压密阶段产生大量声发射信号,在峰值应力处出现“激增”,之后逐渐趋于平稳;接触面倾角为45°、60°、75°和90°的组合体在加载初期信号较少,之后表现为“多点突增—持续增加—激增”,在峰值应力处有一定涨幅。
3) 组合体试件拉伸破坏占比随着接触面倾角的增大呈先增加后减小趋势,当接触面倾角小于45°时,组合体试件呈现拉伸破坏;当接触面倾角45°时,组合体试件剪切裂纹占比几乎为零,拉伸破坏效果最为显著;当接触面倾角大于45°时,拉伸裂纹占比逐渐减小;当接触面倾角达到90°时,剪切裂纹占比超过拉伸裂纹占比,组合体试件表现出剪切破坏。
4) 在单轴压缩条件下,不同接触面倾角组合体试件在峰值应力前能量演化规律一致,弹性应变能占据主导地位,荷载的持续增加伴随能量释放与耗散,弹性应变能与耗散能交替增大。峰值应力后,能量曲线演化规律与组合体破坏形式有关:发生延性破坏时,耗散能曲线呈上升趋势,弹性应变能曲线呈下降趋势,两曲线相交,之后,耗散能大于弹性应变能;发生脆性破坏时,耗散能曲线陡增,弹性应变能曲线陡降。
5) 组合体试件弹性能耗比K变化幅度随接触面倾角的增加而增大。发生延性破坏时,弹性能耗比曲线在峰值应力前呈下降趋势,持续到一个较低值,临近峰值应力处转为上升趋势;发生脆性破坏时,弹性能耗比曲线整体上呈下降趋势,在峰值应力处达到最小值。此特征可作为组合体临界破坏前兆特征。
邱华富, 李宇航, 刘浪, 等. 单轴压缩下充填体-围岩组合体力学特性与能量演化规律[J]. 中南大学学报(自然科学版), 2025, 56(2): 688-701.
QIU Huafu, LI Yuhang, LIU Lang, et al. Mechanical properties and energy evolution law of filling body-enclosed rock combination under uniaxial compression[J]. Journal of Central South University(Science and Technology), 2025, 56(2): 688-701.

