J.Cent.South Univ.(2025) 32: 919-933
1 Introduction
The world today is facing an accelerated evolution of major changes unseen in a century, and the global energy landscape is further profoundly changing. Given the rapid growth of the global economy, the shallow mineral resources of the earth cannot support the huge demand of the world economy for mineral resources. Therefore, the exploitation of mineral resources needs to be promoted to the deep [1-3]. However, deep rock engineering is inevitably affected by dynamic disturbances, including blast, hydraulic fracturing, earthquakes, and mechanical rock breaking, which lead to the dynamic disasters from time to time [4-7]. Moreover, the dynamic destabilization of the rock mass subjected to different degrees of dynamic disturbances has a noticeable strain rate effect [8, 9]. The impact destabilization of rock mass often presents completely different characteristics compared with the destabilization under static loading conditions [10, 11]. Therefore, it is crucial to account for the influence of impact disturbance when establishing the dynamic instability criterion for rock masses, which provides significant practical importance in predicting dynamic disasters.
Coal-rock dynamic disaster is a phenomenon with dynamic effect and disaster consequences that occurs in a very short time under the action of high external stress [12]. Its gestation, formation and occurrence are always closely related to the stress state of rock mass and the accumulation and release of energy [13, 14]. In addressing the coal-rock dynamic disaster phenomenon, numerous experts and scholars have gained consensus on rock deformation and destabilization through engineering field analyses, laboratory tests, numerical simulations, and other methods. Based on the four classical strength theories (i.e., maximum stress theory, maximum strain theory, maximum shear stress theory, and energy theory) [15-19], more than a hundred additional strength theories and models have been proposed in existing studies around rock strength instability. However, most of the criteria are applicable to static failure, and do not account for the strain rate effect in dynamic rock mass failure. The dynamic strength model is more common in empirical formulas and semi-empirical formulas, which can be divided into logarithmic equations and exponential equations. QIAN et al [20, 21] carried out a large number of indoor experiments and proposed the Mohr-Coulomb criterion considering the strain rate effect. In recent years, GONG et al [22, 23] proposed a dynamic Mohr-Coulomb criterion and Hoek-Brown criterion suitable for high strain rates, and considered that the cohesion and internal friction angle of the rock are logarithmically related to the parameter m. MA et al [24] focused on the variation of strength parameters with strain rate, and proposed a Hoek-Brown dynamic strength criterion considering strain rates of different orders of magnitude. In addition to the establishment of rock failure criteria, combined with some physical effects generated by the energy dissipation of rock mass during loading, the instability characteristics of rock mass are monitored by means of physical monitoring methods such as acoustic emission [25, 26], electromagnetic radiation [27], infrared radiation [28] and remote sensing technology [29], and some precursory monitoring criteria for rock mass instability are summarized. However, the monitoring and identification are susceptible to external interference, the signal of small cracks cannot be captured sensitively, and the accuracy of instability monitoring is not high. In addition, the dynamic failure of rock is instantaneous, and the monitoring method cannot timely feedback the instantaneous change of dynamic instability of rock mass [30]. There is a lack of precursor criteria for recognizing the dynamic instability of a rock mass, either from the establishment of damage criteria or from the monitoring of the instability state.
Energy conversion is the source of rock failure [31], and it is also the internal factor of material instability failure. The essence of dynamic instability of rock mass is the result of energy transformation inside rock mass, which runs through the whole process of rock loading failure [32]. XIE et al [33, 34] investigated the law of energy storage, transfer and release of rock in the loading process through laboratory experiments, trying to understand the failure process and failure law. Furthermore, XIE et al [19] developed rock strength and comprehensive failure criteria under various stress conditions, focusing on the energy perspective. PENG et al [31] discovered a specific energy storage threshold in rock masses. In addition, through some specially designed cyclic test methods, WANG et al [35] noted a decline in stored elastic energy and a rise in dissipated energy due to the increased number of cycles. GAO et al [36] further put forward the failure strength energy index. Aiming at dynamic load, GONG et al [37] investigated the energy dissipation and particle size distribution. It was discussed that the energy dissipation increased linearly with the growth of incident energy, and the dissipation energy and energy consumption ratio of unbroken and broken rock samples increased with the increase of strain rate [37]. So far, the existing research on energy mechanism mainly focuses on static load conditions, and little research has been done on the influence of impact load.
In summary, there is still a lack of systematic instability precursor criteria for coal-rock dynamic disasters caused by impact disturbances. Therefore, this paper analyzes the energy evolution law of coal under impact load through SHPB test. The dynamic response mechanism of energy conversion under impact disturbance is studied. Then, according to the method of axial plastic strain (APS), the characteristic stress during dynamic loading is calculated, and the evolution characteristics of energy release rate and energy dissipation rate before dynamic failure are analyzed. Furthermore, the variation of the DRD with axial strain is studied, and a unified instability precursor energy criterion is proposed. Finally, a viscoelastic damage constitutive considering the strain rate effect is established, and the rationality of DRD as a dynamic instability criterion is discussed from the perspective of internal damage evolution.
2 Materials and methods
2.1 Sample preparation and test equipment
In order to consider the establishment of a unified instability criterion for coal, two kinds of coal were selected as the test objects in this paper to avoid the singleness of selection, as shown in Figure 1. The first type of coal comes from Ulanqab, Inner Mongolia, China, and the second type of coal comes from Yulin City, Shaanxi Province, China. The test material was machined to a standard dynamic impact specimen of radius of 25 mm and height of 25 mm [38]. To ensure the reliability of the experiment, specimens were then smooth buffed to make sure that the surface non-parallelism and impertinence was <0.02 mm. In order to choose rock specimens having the same physical properties for this experiment, the processed specimens were subjected to pre-test density and wave velocity measurements. In this experiment, the first type of coal has an average density of 1.548 g/cm³ and an average longitudinal wave velocity of 1.915 km/s. Similarly, the second type of coal has an average density of 1.324 g/cm³ and an average longitudinal wave velocity of 1.736 km/s.
_Xml/alternativeImage/89AA66F0-A5D8-4a29-A984-7AEB20C92555-F001.jpg)
The SHPB test system model LWKJ-HPKS-Y100-3 was adopted to conduct the dynamic loading testing and acquire the dynamical mechanical parameters. The diameter of all bars in the impact loading system is 50 mm, and the test was performed by controlling the velocity of the bullet by adjusting the nitrogen pressure to realize different impact rates. Four impact speeds were set for this experiment. During the impact compression test, two measures are taken to assure the rigor of the test and the integrity of the rock. The first measure is to use a rubber sheet as an auxiliary tool for stress waveform forming to achieve uniform deformation and strain balance during dynamic loading. The second measure is to reduce the friction effect during the impact loading process by applying vaseline uniformly on the longitudinal surface of the specimen. In the experiment, five different impact pressure values (0.1, 0.2, 0.3, 0.4 and 0.5 MPa) were selected to achieve the impact effect of different impact strength. In order to avoid the discreteness of the test as much as possible, three tests are repeated under each impact pressure, and the optimal test results are selected.
2.2 Experimental parameter calculation method
2.2.1 Mechanical parameter calculation method
The mechanical parameters are computed by the three-wave method calculation [39]:
_Xml/alternativeImage/89AA66F0-A5D8-4a29-A984-7AEB20C92555-M001.jpg)
where _Xml/alternativeImage/89AA66F0-A5D8-4a29-A984-7AEB20C92555-M002.jpg)
_Xml/alternativeImage/89AA66F0-A5D8-4a29-A984-7AEB20C92555-M003.jpg)
_Xml/alternativeImage/89AA66F0-A5D8-4a29-A984-7AEB20C92555-M004.jpg)
_Xml/alternativeImage/89AA66F0-A5D8-4a29-A984-7AEB20C92555-M005.jpg)
_Xml/alternativeImage/89AA66F0-A5D8-4a29-A984-7AEB20C92555-M006.jpg)
_Xml/alternativeImage/89AA66F0-A5D8-4a29-A984-7AEB20C92555-M007.jpg)
_Xml/alternativeImage/89AA66F0-A5D8-4a29-A984-7AEB20C92555-M008.jpg)
_Xml/alternativeImage/89AA66F0-A5D8-4a29-A984-7AEB20C92555-M009.jpg)
_Xml/alternativeImage/89AA66F0-A5D8-4a29-A984-7AEB20C92555-M010.jpg)
_Xml/alternativeImage/89AA66F0-A5D8-4a29-A984-7AEB20C92555-M011.jpg)
2.2.2 Characteristic stress calculation method
A new model for estimating the characteristic stress threshold based on axial plastic strain was proposed and verified [40]. The specific calculation method is shown in Figure 2. The plastic strain is determined by the difference between the actual strain and elastic strain. The thresholds for crack initiation stress and crack damage stress can be obtained based on the evolution characteristics of APS.
_Xml/alternativeImage/89AA66F0-A5D8-4a29-A984-7AEB20C92555-F002.jpg)
2.2.3 Energy parameter calculation method
Based on the principle of conservation of energy, the energy of rock following equilibrium relationship [41] is given:
_Xml/alternativeImage/89AA66F0-A5D8-4a29-A984-7AEB20C92555-M012.jpg)
where _Xml/alternativeImage/89AA66F0-A5D8-4a29-A984-7AEB20C92555-M013.jpg)
_Xml/alternativeImage/89AA66F0-A5D8-4a29-A984-7AEB20C92555-F003.jpg)
From the stress and strain data, the absorbed energy density is calculated as follows [33]:
_Xml/alternativeImage/89AA66F0-A5D8-4a29-A984-7AEB20C92555-M014.jpg)
where _Xml/alternativeImage/89AA66F0-A5D8-4a29-A984-7AEB20C92555-M015.jpg)
_Xml/alternativeImage/89AA66F0-A5D8-4a29-A984-7AEB20C92555-M016.jpg)
The Ue is expressed as [33]:
_Xml/alternativeImage/89AA66F0-A5D8-4a29-A984-7AEB20C92555-M017.jpg)
Therefore, combining Eqs. (2), (3) and (4), the dissipation energy density calculation equation is:
_Xml/alternativeImage/89AA66F0-A5D8-4a29-A984-7AEB20C92555-M018.jpg)
2.3 Test system balance verification
The SHPB test system needs to verify the dynamic strain balance. The verification equation is as follows:
_Xml/alternativeImage/89AA66F0-A5D8-4a29-A984-7AEB20C92555-M019.jpg)
The strain balance verification curve of this experiment is shown in Figure 4, which basically conforms to the test hypothesis and can be tested normally.
_Xml/alternativeImage/89AA66F0-A5D8-4a29-A984-7AEB20C92555-F005.jpg)
3 Results and analysis
3.1 Energy evolution mechanism of coal under impact load
According to the method of calculating energy parameters in the second section, the energy evolution trend prior to failure (before peak loading) is depicted in Figures 5 and 6. The energy absorption and dissipation behavior of coal occur simultaneously in the process of impact disturbance. The energy evolution curves of the two kinds of coal have similar evolution rules. The absorption energy density continues to increase as the strain increases. The elastic energy density goes faster and then slower, while the dissipation energy density increases slowly and then rapidly. Combined with the characteristic strain value corresponding to the characteristic stress in the loading process, the entire energy evolution curve appears to be characterized by phase changes. The first phase is the compaction energy storage stage. The elastic energy storage starts to rise and there is a slight growth in the dissipated energy. The rise in elastic energy density is relatively more pronounced. Phase II is the elastic energy storage stage. The elastic energy density rises essentially linearly. Dissipative energy density remains basically stable. Energy absorption by the rock mass is mainly used for energy accumulation. Phase III is defined as the unstable expansion stage of cracks. The growth rate of elastic energy density slows down, the dissipation energy density grows rapidly, and the energy absorbed by the rock mass is mainly dominated by energy dissipation.
_Xml/alternativeImage/89AA66F0-A5D8-4a29-A984-7AEB20C92555-F004.jpg)
_Xml/alternativeImage/89AA66F0-A5D8-4a29-A984-7AEB20C92555-F006.jpg)
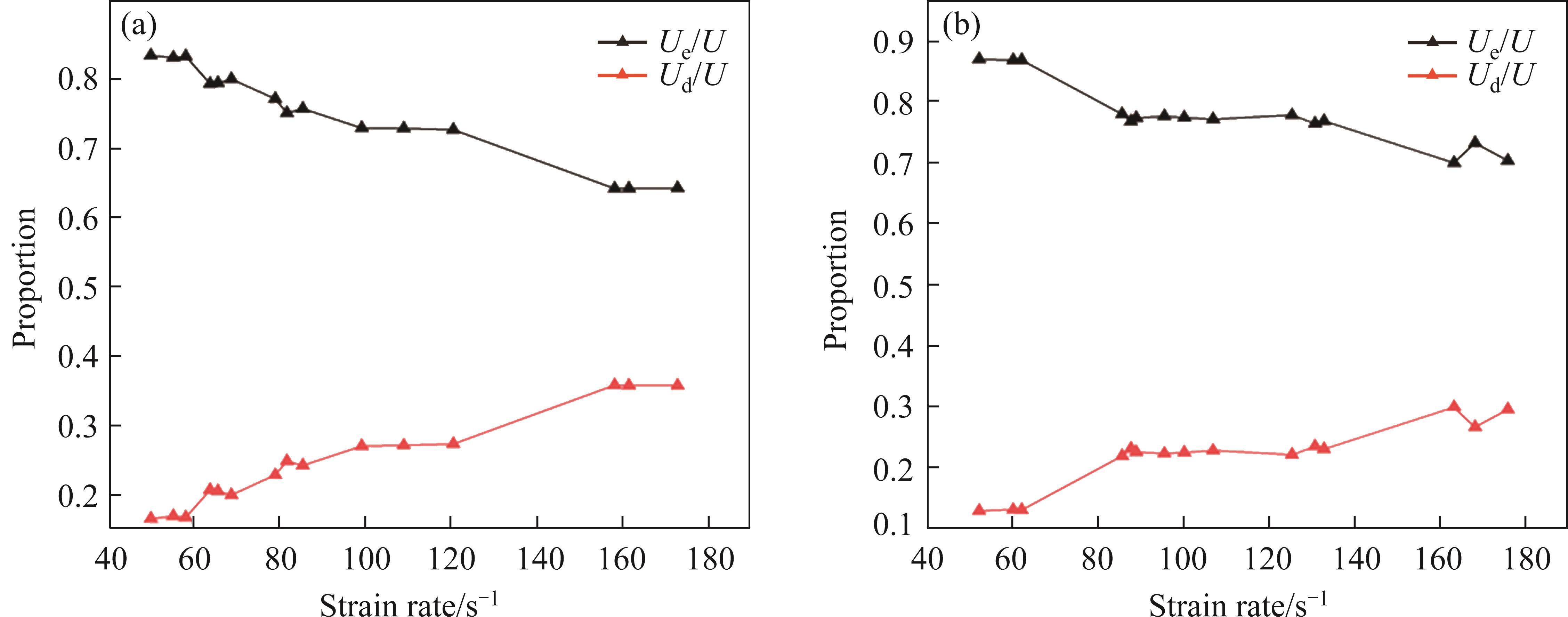
Figure 7 illustrates the changes in strain energy density at peak load across different impact velocities. Strain rate is used to characterize different impact velocities, and the average value of the relatively constant strain rate stage during the relatively constant strain rate stage during loading is defined as the strain rate of this impact test. Due to the growth of the shock intensity, the two coals also show stronger energy absorption capacity, Ue and Ud have also grown significantly. However, the proportion of Ue and Ud has the opposite change rule with the increase of impact strength, as shown in Figure 8. The percentage of Ue gradually declines, while the percentage of Ud gradually grows.
_Xml/alternativeImage/89AA66F0-A5D8-4a29-A984-7AEB20C92555-F007.jpg)
_Xml/alternativeImage/89AA66F0-A5D8-4a29-A984-7AEB20C92555-F008.jpg)
3.2 Dynamic response characteristics of strain energy rate under impact load
3.2.1 Definition of strain energy rate
The deformation and failure process of coal can be regarded as an energy conversion process [42]. According to the energy damage theory and energy conservation, the constitutive equation of the material at any strain rate is as follows:
_Xml/alternativeImage/89AA66F0-A5D8-4a29-A984-7AEB20C92555-M020.jpg)
where _Xml/alternativeImage/89AA66F0-A5D8-4a29-A984-7AEB20C92555-M021.jpg)
_Xml/alternativeImage/89AA66F0-A5D8-4a29-A984-7AEB20C92555-M022.jpg)
_Xml/alternativeImage/89AA66F0-A5D8-4a29-A984-7AEB20C92555-M023.jpg)
According to the constitutive relation, the energy release rate (_Xml/alternativeImage/89AA66F0-A5D8-4a29-A984-7AEB20C92555-M024.jpg)
_Xml/alternativeImage/89AA66F0-A5D8-4a29-A984-7AEB20C92555-M025.jpg)
_Xml/alternativeImage/89AA66F0-A5D8-4a29-A984-7AEB20C92555-M026.jpg)
3.2.2 Trend characteristics of Ge and Gd
The trend characteristics of Ge and Gd of two kinds of coal under shock loads are depicted in Figures 9 and 10. Overall, the Ge value grows and then falls as the deformation increases. In the early stages of loading, the Gd rises slowly. Subsequently, the Gd gradually decreases to 0. Finally, it grows sharply. In the compaction energy storage phase, Ge and Gd grow at the same time, and Ge increases faster than Gd. When the deformation enters the linear energy storage phase, the rising speed of Ge begins to accelerate obviously, and the Gd gradually decreases to 0 and remains basically stable. At phase III, the Ge reaches a peak and begins to accelerate. The Gd begins to rise rapidly and sharply, especially after the Ge reaches the extreme value.
_Xml/alternativeImage/89AA66F0-A5D8-4a29-A984-7AEB20C92555-F009.jpg)
_Xml/alternativeImage/89AA66F0-A5D8-4a29-A984-7AEB20C92555-F010.jpg)
3.3 Energy criterion of coal dynamic instability
Under different impact strength, the evolution trend of Ge and Gd of the two kinds of coal has the same evolution characteristics, which provides the possibility to judge the instability of coal under different strength dynamic loads from the perspective of energy. Hence, to delve deeper into the response mechanism of strain energy rate under varying impact strengths, the difference between energy dissipation rate and energy release rate (DRD) at different phases is calculated, and the evolution trends of DRD are shown in Figure 11 and Figure 12. Overall, DRD exhibited an initial rise followed by a decrease. In the compaction energy storage phase, the increase rate of DRD gradually accelerates, and the overall curve rises in a concave curve. In the linear energy storage phase, the growth rate of DRD is significantly faster than that in the compaction energy storage phase, and the overall increase is in a straight line. In these two phases, the elastic energy storage mechanism controls the entire deformation process. When loading reaches the third phase, the DRD reaches the peak, the growth trend has an inflection point, and the DRD begins to fall at an accelerated rate. The elastic energy phase mechanism gradually lost its dominant position. The energy dissipation began to control the entire deformation process.
_Xml/alternativeImage/89AA66F0-A5D8-4a29-A984-7AEB20C92555-F011.jpg)
_Xml/alternativeImage/89AA66F0-A5D8-4a29-A984-7AEB20C92555-F012.jpg)
The Ge and Gd can truly reflect the essential characteristics of the whole deformation process of coal. Moreover, the evolution of DRD can accurately represent the deformation evolution control mechanism. In accordance with the behavioral pattern of DRD evolution, under different impact strengths, the DRD values of the two types of coal begin to decrease sharply at the peak point of Ge. Moreover, with the increase of impact strength, the sudden fall of DRD becomes more obvious. This unified phenomenon cleverly avoids the inconsistency of strain rate effect of mechanical parameters. Therefore, a unified precursor before the instability and failure of coal under impact disturbance is found from the perspective of energy. As shown in Figure 13, in the process of impact disturbance, the obvious sudden decrease of DRD value indicates that the instability and failure of coal is about to occur.
_Xml/alternativeImage/89AA66F0-A5D8-4a29-A984-7AEB20C92555-F013.jpg)
4 Discussion
Energy conversion is the source of rock failure [25]. The evolution characteristics of Ge and Gd in this paper can effectively reflect the loading deformation process of rock. In addition, the DRD variation trend of the two kinds of coal under different impact strength is consistent. Therefore, the sudden decrease of the energy index DRD value is a unified early warning criterion of impact disturbance instability established from the essence of physical reaction. In order to analyze the authenticity and rationality of DRD as the early warning criterion of coal dynamic instability, a viscoelastic damage constitutive is established and discussed from the perspective of damage evolution. As shown in Figure 14, it is assumed that the micro-element body is composed of a damaged body and a viscous body in parallel, and the strength of the micro-element body obeys the Weibull distribution law during the loading process [43]. The Weibull probability density function is expressed as:
_Xml/alternativeImage/89AA66F0-A5D8-4a29-A984-7AEB20C92555-F014.jpg)
_Xml/alternativeImage/89AA66F0-A5D8-4a29-A984-7AEB20C92555-M027.jpg)
where _Xml/alternativeImage/89AA66F0-A5D8-4a29-A984-7AEB20C92555-M028.jpg)
_Xml/alternativeImage/89AA66F0-A5D8-4a29-A984-7AEB20C92555-M029.jpg)
_Xml/alternativeImage/89AA66F0-A5D8-4a29-A984-7AEB20C92555-M030.jpg)
_Xml/alternativeImage/89AA66F0-A5D8-4a29-A984-7AEB20C92555-M031.jpg)
Assuming that the number of destroyed micro-elements is Nf, the damage D is defined as:
_Xml/alternativeImage/89AA66F0-A5D8-4a29-A984-7AEB20C92555-M032.jpg)
where _Xml/alternativeImage/89AA66F0-A5D8-4a29-A984-7AEB20C92555-M033.jpg)
The Drucker-Prager failure criterion suitable for rock materials is selected as the strength of the micro-element [32], that is:
_Xml/alternativeImage/89AA66F0-A5D8-4a29-A984-7AEB20C92555-M034.jpg)
where _Xml/alternativeImage/89AA66F0-A5D8-4a29-A984-7AEB20C92555-M035.jpg)
_Xml/alternativeImage/89AA66F0-A5D8-4a29-A984-7AEB20C92555-M036.jpg)
_Xml/alternativeImage/89AA66F0-A5D8-4a29-A984-7AEB20C92555-M037.jpg)
During the impact process, there is no dynamic stress in the radial direction of the sample under the action of confining pressure, and the strength of the micro-element is:
_Xml/alternativeImage/89AA66F0-A5D8-4a29-A984-7AEB20C92555-M038.jpg)
where _Xml/alternativeImage/89AA66F0-A5D8-4a29-A984-7AEB20C92555-M039.jpg)
Combined with the equivalent strain hypothesis, the relationship between the components of damage is as follows:
_Xml/alternativeImage/89AA66F0-A5D8-4a29-A984-7AEB20C92555-M040.jpg)
where _Xml/alternativeImage/89AA66F0-A5D8-4a29-A984-7AEB20C92555-M041.jpg)
The following conditions are satisfied when the impact load is loaded to the peak point:
_Xml/alternativeImage/89AA66F0-A5D8-4a29-A984-7AEB20C92555-M042.jpg)
Therefore, the damage constitutive relation can be simplified as:
_Xml/alternativeImage/89AA66F0-A5D8-4a29-A984-7AEB20C92555-M043.jpg)
The damage can be simplified to:
_Xml/alternativeImage/89AA66F0-A5D8-4a29-A984-7AEB20C92555-M044.jpg)
The increase of loading rate leads to the decrease of Poisson ratio [44], which leads to the inconsistency between shear modulus damage and bulk modulus damage of rock. Therefore, the damage constitutive and damage evolution equations can be expressed as:
_Xml/alternativeImage/89AA66F0-A5D8-4a29-A984-7AEB20C92555-M045.jpg)
According to the conditions satisfied at the peak load in the test, the fitting effect of the constitutive equation is shown in Figure 15. The dynamic damage constitutive equation has a good fitting effect with the actual test curve. The fitting curve is basically consistent with the actual curve, which has good applicability.
_Xml/alternativeImage/89AA66F0-A5D8-4a29-A984-7AEB20C92555-F015.jpg)
According to the constitutive equation of damage evolution, the damage value of the specimen at maximum strength under different impact loads is depicted in Figure 16. It is noticed that the growth of the shock strength leads to an increase in the damage of the specimen near failure. The damage evolution curve of the sample was added to the diagram of the instability criterion, as shown in Figure 17. It can be found that after the DRD reaches the peak point, the damage growth rate of the sample begins to accelerate significantly. When the DRD decreased sharply, the damage of the sample increased rapidly. In other words, the increase of DRD to the peak point indicates that the specimen enters the unstable crack growth configuration. When DRD decreases sharply, the expansion of cracks in the specimen becomes more intense, and the specimen as a whole is about to face the danger of failure and instability.
_Xml/alternativeImage/89AA66F0-A5D8-4a29-A984-7AEB20C92555-F016.jpg)
_Xml/alternativeImage/89AA66F0-A5D8-4a29-A984-7AEB20C92555-F017.jpg)
In addition, combined with the change of characteristic stress, the change law of the proportion of each stage under different impact strengths is shown in Figure 18. Because of the growth of shock strength, the proportion of unstable crack propagation stage increases gradually, which means that there is more sufficient crack propagation inside the specimen. Combined with the evolution trend of the Ud at the peak load in this paper, it can be confirmed that the development of sample cracks becomes more sufficient with the growth of the impact disturbance intensity. More and more energy dissipation is formed, which increases the damage degree of the specimen before failure. There is also a significant gap between Ge and Gd at different strain rates. Ge characterizes the elastic energy storage capacity during the deformation of the sample, and Gd characterizes the severity of the damage increase of the sample. Therefore, DRD can characterize the energy driving mechanism of the sample during the loading process. The initial increase of DRD indicates that the sample is in a stable deformation state, and the interior of the sample is relatively stable. The energy accumulation mechanism plays a dominant role in this stage. When the DRD reaches its peak point and begins to decline, it means that the energy dissipation mechanism takes over. A large number of cracks gradually appear inside the sample, and the cracks begin to expand unsteadily. When the DRD decreases sharply, the crack in the specimen grows more unstable, and the specimen will face the risk of instability and failure.
_Xml/alternativeImage/89AA66F0-A5D8-4a29-A984-7AEB20C92555-F018.jpg)
5 Conclusions
This paper investigates the energy evolution characteristics of two types of coal under various impact velocities. By analyzing the variation patterns of energy release rate and energy dissipation rate, a unified instability precursor criterion is established based on energy considerations, and its rationality is discussed. The key findings are:
1) Coal’s energy conversion mechanism fundamentally changes under impact disturbance. As the intensity of impact disturbance increases, the proportion of absorbed energy converted into elastic strain energy gradually decreases, while the proportion converted into dissipated energy gradually increases. Notably, the sensitivity of dissipated energy to strain rate effects is significantly higher than that of elastic energy.
2) Under the impact load, the energy rate evolution trend of the two kinds of coal shows similarity. During the loading process, with the increase of strain, the growth of DRD exhibits an inflection point and begins to decline sharply before the coal sample is destroyed.
3) Combined with the damage evolution mechanism of coal, the rationality of DRD sudden drop phenomenon as the early warning criterion of coal dynamic instability is verified theoretically. With the increase of impact strength, the proportion of crack instability stage increases, and the degree of damage also increases significantly.
Moving towards deep underground mineral resources: Drivers, challenges and potential solutions
[J]. Resources Policy, 2023, 80: 103222. DOI: 10.1016/j.resourpol.2022.103222.The infrared thermal effect of coal failure with different impact types and its relationship with bursting liability
[J]. Infrared Physics and Technology, 2024, 138: 105263. DOI: 10.1016/j.infrared.2024.105263.Response law and indicator selection of seismic wave velocity for coal seam outburst risk
[J]. Advances in Geo-Energy Research, 2023, 9(3): 198-210. DOI: 10.46690/ager.2023.09.07.Cyclic fatigue characteristics of strong burst-prone coal: Experimental insights from energy dissipation, hysteresis and micro-seismicity
[J]. International Journal of Fatigue, 2020, 133: 105429. DOI: 10.1016/j.ijfatigue.2019.105429.Experimental investigation on visualization and quantitative characterization of filling and plugging performances of fractures in coal
[J]. Physics of Fluids, 2024, 36(3):Plugging methods for underground gas extraction boreholes in coal seams: A review of processes, challenges and strategies
[J]. Gas Science and Engineering, 2024, 122: 205225. DOI: 10.1016/j.jgsce.2024.205225.An integrated study of physical and numerical modelling on the stability of underground tunnel influenced by unloading rate
[J]. Tunnelling and Underground Space Technology, 2022, 129: 104602. DOI: 10.1016/j.tust.2022.104602.Physio-mechanical characterization of limestone and dolomite for its application in blast analysis of tunnels
[J]. Journal of Engineering Mechanics, 2022, 148(5):Dynamic tensile behaviour and crack propagation of coal under coupled static-dynamic loading
[J]. International Journal of Mining Science and Technology, 2020, 30(5): 659-668. DOI: 10.1016/j.ijmst.2020.06.007.Study on damage characteristics and failure modes of gypsum rock under dynamic impact load
[J]. Materials, 2023, 16(10): 3711. DOI: 10.3390/ma16103711.Static and dynamic uniaxial compression tests on coal rock considering the bedding directivity
[J]. Environmental Earth Sciences, 2015, 73(10): 5933-5949. DOI: 10.1007/s12665-015-4106-3.Study on correlation of acoustic emission and plastic strain based on coal-rock damage theory
[J]. Geomechanics and Engineering, 2017, 12(4): 627-637. DOI: 10.12989/gae. 2017.12.4.627.AE waveform characteristics of rock mass under uniaxial loading based on Hilbert-Huang transform
[J]. Journal of Central South University, 2021, 28(6): 1843-1856. DOI: 10.1007/s11771-021-4734-6.Dynamic disaster control of backfill mining under thick magmatic rock in one side goaf: A case study
[J]. Journal of Central South University, 2020, 27(10): 3103-3117. DOI: 10.1007/s11771-020-4532-6.Advances in strength theories for materials under complex stress state in the 20th Century
[J]. Applied Mechanics Reviews, 2002, 55(3): 169-218. DOI: 10.1115/1.1472455.Soil mechanics and plastic analysis or limit design
[J]. Quarterly of Applied Mathematics, 1952, 10(2): 157-165. DOI: 10.1090/qam/48291.Dynamic strength and dynamic fracture criteria of rock and rock mass
[J]. Journal of Tongji University (Natural Science), 2008, 36(12): 1599-1605. DOI: 10.3321/j.issn:0253-374X.2008.12.001. (in Chinese)Dynamic strength of rocks and physical nature of rock strength
[J]. Journal of Rock Mechanics and Geotechnical Engineering, 2009, 1(1): 1-10. DOI: 10.3724/SP.J.1235.2009.00001.Dynamic Mohr-Coulomb and Hoek-Brown strength criteria of sandstone at high strain rates
[J]. International Journal of Rock Mechanics and Mining Sciences, 2019, 115: 48-59. DOI: 10.1016/j.ijrmms.2018.12.013.Generalized Hoek-Brown dynamic strength criterion considering strain rate effect
[J]. Rock and Soil Mechanics, 2017, 38(S2): 27-32. DOI: 10.16285/j.rsm.2017.S2.004.Acoustic emission precursors of static and dynamic instability for coarse-grained hard rock
[J]. Journal of Central South University, 2020, 27(10): 2883-2898. DOI: 10.1007/s11771-020-4516-6.Acoustic emission characteristics of rock under impact loading
[J]. Journal of Central South University, 2015, 22(9): 3571-3577. DOI: 10.1007/s11771-015-2897-8.Early-warning of rock burst in coal mine by low-frequency electromagnetic radiation
[J]. Engineering Geology, 2020, 279: 105755. DOI: 10.1016/j.enggeo.2020.105755.Infrared precursor of pre-cracked coal failure based on critical slowing down
[J]. Geomatics, Natural Hazards and Risk, 2022, 13(1): 1682-1699. DOI: 10.1080/19475705.2022. 2098068.Detecting slope and urban potential unstable areas by means of multi-platform remote sensing techniques: The Volterra (Italy) case study
[J]. Remote Sensing, 2016, 8(9): 746. DOI: 10.3390/rs8090746.Induced seismic activity and source parameter characteristics in the Datong coal mine, China
[J]. Energy Exploration & Exploitation, 2024, 42(3): 959-976. DOI: 10.1177/01445987241230593.Energy dissipation and release during coal failure under conventional triaxial compression
[J]. Rock Mechanics and Rock Engineering, 2015, 48(2): 509-526. DOI:10.1007/s00603-014-0602-0.The nonlinear energy model and stress-strain model of sandstone
[J]. Scientific Reports, 2023, 13(1): 8456. DOI:10.1038/s41598-023-35145-0.Energy analysis for damage and catastrophic failure of rocks
[J]. Science China Technological Sciences, 2011, 54(1): 199-209. DOI:10.1007/s11431-011-4639-y.Energy analysis and criteria for structural failure of rocks
[J]. Journal of Rock Mechanics and Geotechnical Engineering, 2009, 1(1): 11-20. DOI:10.3724/SP.J.1235.2009.00011.Fracture evolution and energy characteristics during marble failure under triaxial fatigue cyclic and confining pressure unloading (FC-CPU) conditions
[J]. Rock Mechanics and Rock Engineering, 2021, 54(2): 799-818. DOI:10.1007/s00603-020-02299-6.Research on the energy evolution characteristics and the failure intensity of rocks
[J]. International Journal of Mining Science and Technology, 2020, 30(5): 705-713. DOI:10.1016/j.ijmst. 2020.06.006.Energy dissipation and particle size distribution of granite under different incident energies in SHPB compression tests
[J]. Shock and Vibration, 2020: 8899355. DOI:10.1155/2020/8899355.Dynamic behavior of rock during its post failure stage in SHPB tests
[J]. Transactions of Nonferrous Metals Society of China, 2017, 27(1): 184-196. DOI:10.1016/S1003-6326(17)600 21-9.Effects of thermal treatment on physical and mechanical characteristics of coal rock
[J]. Journal of Central South University, 2016, 23(9): 2336-2345. DOI:10.1007/s11771-016-3292-9.Time dependent damage model of rock under dynamic loading
[J]. Chinese Journal of Rock Mechanics and Engineering, 2003, 22(11): 1771-1776. DOI: 10.3321/j.issn:1000-6915.2003. 11.003. (in Chinese)BAI Yun, GAO Feng, LUO Ning, ZHANG Zhi-zhen, XING Yan, SU Shan-jie and HOU Peng declare that they have no conflict of interest.
BAI Yun, GAO Feng, LUO Ning, ZHANG Zhi-zhen, XING Yan, SU Shan-jie, HOU Peng. Investigation of precursor criterion of coal dynamic instability from energy perspective [J]. Journal of Central South University, 2025, 32(3): 919-933. DOI: https://doi.org/10.1007/s11771-025-5923-5.
白云,高峰,罗宁等.能量视域下煤体动态失稳前兆判据研究[J].中南大学学报(英文版),2025,32(3):919-933.

