场地效应是指地震波在不同土壤类型和地质条件下传播时其幅值和频率所发生的变化。在分析工程结构的抗震时,具有同一峰值加速度的地震动受到场地效应的影响,结构在各个维度所受到的地震激励会产生巨大的差异,从而导致结构具有复杂的动力特性。张金等[1]采用时程分析法和虚拟激励法研究1座大跨公铁两用斜拉桥的动力特性,发现斜拉桥在软场地的动力响应最大。张彬等[2]采用时程分析法分析1座悬索桥的动力特性,发现不同的场地条件对桥梁同一位置的破坏程度不同。李碧雄等[3]考虑地震动的场地效应,发现高原大桥发生落梁破坏的主要原因是近震源软岩场地效应以及不利的局部地质条件,这些因素导致了墩梁滑移量增大,从而引发了纵向落梁。因此,考虑地震动的场地效应对结构动力响应的影响不容忽视,在设计和优化工程结构时,考虑地震动的场地效应能够更准确地反映出地震对结构产生的复杂影响,从而为结构设计和工程实践提供更加可靠的依据[4]。
曲线梁桥因其独特的设计和功能特点,已广泛应用于桥梁工程中。目前的抗震设计规范一般使用确定性分析方法来评估该结构的抗震性能,然而,地震动具有显著的非平稳性和多维随机性,因此,对于曲线梁桥,有必要探索其在多维非平稳随机地震激励下的复杂力学行为。LI等[5]提出了一种非光滑动力公式,分析了地震作用下曲线梁桥的端部碰撞问题,并验证了所提方法的有效性。陈彦江等[6]对曲线梁桥在地震作用下进行随机振动分析,发现地震动空间效应对曲线梁桥的动力响应具有显著影响。李喜梅等[7]采用虚拟激励法研究了隔震曲线梁桥在受控作用下的力学行为,发现序列状态最优控制算法相较于经典最优控制算法的控制效果更好。ZHAO等[8]采用绝对位移法和虚拟激励法,分析了曲线梁桥的抗震性能,发现影响曲线梁桥响应频域分布的主要因素是相干效应,而行波效应对其影响最小。然而,以上研究大多采用确定性方法进行曲线梁桥的抗震分析,而在使用随机振动方法时,侧重于曲线梁桥随机动力响应的变化规律,难以有效评估隔震曲线梁桥在随机激励下的抗震性能。
李杰等[9]提出的概率密度演化方法 (probability density evolution method,PDEM)能够有效处理系统中的不确定性,并提供可靠的结果,特别是在复杂的动力学行为分析中,通过跟踪概率密度函数的演化来捕捉系统响应的统计特性,从而提高分析的准确性。目前,学者采用概率密度演化方法求解结构系统可靠度。
1) 时不变系统可靠度求解方法。采用等价极值原理,通过构造极值虚拟随机过程并积分来获得结构最终的系统可靠度[10-12]。顾镇媛等[13]采用概率密度演化方法研究了随机地震激励下框架结构的参数对其动力响应和可靠度的影响,发现适当调整结构参数可以提高结构的抗震性能;LIU等[14]采用多维多点地震激励输入方式对1座大跨高墩连续刚构桥进行抗震分析,将桥墩进行分层,获得了每一个桥墩不同层的可靠度和整个桥墩的系统可靠度。
2) 时变系统可靠度求解方法[15]。根据首次超越破坏准则,求解具有吸收边界条件的Li-Chen方程,并在结构安全域内进行积分,即可获得结构的时变系统可靠度。该方法对于分析结构的动态响应具有更广阔的应用前景[16-17],因此,采用该方法可以有效融合地震动的场地效应,进而分析隔震曲线梁的梁桥在多维非平稳随机地震激励下的抗震性能。
综上,目前尚未系统性研究隔震曲线梁桥在不同场地条件下的地震可靠度。本文以1座三跨隔震曲线梁桥为研究对象,首先,考虑地震动的场地效应,引入4种工况下的功率谱随机模型,并采用谱表示-随机函数法生成符合同一集合系统的多维非平稳地震动时程样本。其次,通过APDL语言在ANSYS中建立隔震曲线梁桥有限元分析模型,将地震动加速度时程样本作为输入曲线梁桥的随机激励进行非线性动力时程分析,结合随机时程数据求解隔震曲线梁桥结构在不同工况下的响应统计特性。最后,利用位移和速度时程数据求解Li-Chen方程,获得曲线梁桥结构响应的概率密度演化曲面,通过构造量纲一位移将桥墩和支座的位移转化到同一概率空间内,在转化后的安全域值内进行积分来获得不同时刻曲线梁桥系统的动力可靠度指标。
1 Li-Chen方程及系统可靠度理论
1.1 Li-Chen方程
对于一般的非线性结构,随机动力方程为:
2025年9期/10.11817j.issn.1672-7207.2025.09.026/alternativeImage/04D452B5-7984-4a59-B3FB-FF8FB1C51E7A-M001.jpg)
式中:2025年9期/10.11817j.issn.1672-7207.2025.09.026/alternativeImage/04D452B5-7984-4a59-B3FB-FF8FB1C51E7A-M002.jpg)
2025年9期/10.11817j.issn.1672-7207.2025.09.026/alternativeImage/04D452B5-7984-4a59-B3FB-FF8FB1C51E7A-M003.jpg)
2025年9期/10.11817j.issn.1672-7207.2025.09.026/alternativeImage/04D452B5-7984-4a59-B3FB-FF8FB1C51E7A-M004.jpg)
2025年9期/10.11817j.issn.1672-7207.2025.09.026/alternativeImage/04D452B5-7984-4a59-B3FB-FF8FB1C51E7A-M005.jpg)
2025年9期/10.11817j.issn.1672-7207.2025.09.026/alternativeImage/04D452B5-7984-4a59-B3FB-FF8FB1C51E7A-M006.jpg)
2025年9期/10.11817j.issn.1672-7207.2025.09.026/alternativeImage/04D452B5-7984-4a59-B3FB-FF8FB1C51E7A-M007.jpg)
2025年9期/10.11817j.issn.1672-7207.2025.09.026/alternativeImage/04D452B5-7984-4a59-B3FB-FF8FB1C51E7A-M008.jpg)
2025年9期/10.11817j.issn.1672-7207.2025.09.026/alternativeImage/04D452B5-7984-4a59-B3FB-FF8FB1C51E7A-M009.jpg)
2025年9期/10.11817j.issn.1672-7207.2025.09.026/alternativeImage/04D452B5-7984-4a59-B3FB-FF8FB1C51E7A-M010.jpg)
2025年9期/10.11817j.issn.1672-7207.2025.09.026/alternativeImage/04D452B5-7984-4a59-B3FB-FF8FB1C51E7A-M011.jpg)
2025年9期/10.11817j.issn.1672-7207.2025.09.026/alternativeImage/04D452B5-7984-4a59-B3FB-FF8FB1C51E7A-M012.jpg)
观察式(1)可以看到,当地震激励确定后,结构的输入与输出存在着唯一确定的闭合解,此时,联立式(1)~(2)可以得到非线性随机动力系统位移响应的物理解答:
2025年9期/10.11817j.issn.1672-7207.2025.09.026/alternativeImage/04D452B5-7984-4a59-B3FB-FF8FB1C51E7A-M013.jpg)
相应地,其速度响应表达式为:
2025年9期/10.11817j.issn.1672-7207.2025.09.026/alternativeImage/04D452B5-7984-4a59-B3FB-FF8FB1C51E7A-M014.jpg)
并且存在2025年9期/10.11817j.issn.1672-7207.2025.09.026/alternativeImage/04D452B5-7984-4a59-B3FB-FF8FB1C51E7A-M015.jpg)
假设2025年9期/10.11817j.issn.1672-7207.2025.09.026/alternativeImage/04D452B5-7984-4a59-B3FB-FF8FB1C51E7A-M016.jpg)
2025年9期/10.11817j.issn.1672-7207.2025.09.026/alternativeImage/04D452B5-7984-4a59-B3FB-FF8FB1C51E7A-M008.jpg)
2025年9期/10.11817j.issn.1672-7207.2025.09.026/alternativeImage/04D452B5-7984-4a59-B3FB-FF8FB1C51E7A-M018.jpg)
2025年9期/10.11817j.issn.1672-7207.2025.09.026/alternativeImage/04D452B5-7984-4a59-B3FB-FF8FB1C51E7A-M008.jpg)
2025年9期/10.11817j.issn.1672-7207.2025.09.026/alternativeImage/04D452B5-7984-4a59-B3FB-FF8FB1C51E7A-M020.jpg)
2025年9期/10.11817j.issn.1672-7207.2025.09.026/alternativeImage/04D452B5-7984-4a59-B3FB-FF8FB1C51E7A-M021.jpg)
式(5)即为Li-Chen方程,采用TVD[18]格式对式(5)进行求解,获得2025年9期/10.11817j.issn.1672-7207.2025.09.026/alternativeImage/04D452B5-7984-4a59-B3FB-FF8FB1C51E7A-M018.jpg)
2025年9期/10.11817j.issn.1672-7207.2025.09.026/alternativeImage/04D452B5-7984-4a59-B3FB-FF8FB1C51E7A-M023.jpg)
式中:2025年9期/10.11817j.issn.1672-7207.2025.09.026/alternativeImage/04D452B5-7984-4a59-B3FB-FF8FB1C51E7A-M024.jpg)
2025年9期/10.11817j.issn.1672-7207.2025.09.026/alternativeImage/04D452B5-7984-4a59-B3FB-FF8FB1C51E7A-M008.jpg)
2025年9期/10.11817j.issn.1672-7207.2025.09.026/alternativeImage/04D452B5-7984-4a59-B3FB-FF8FB1C51E7A-M026.jpg)
1.2 系统可靠度理论
根据首次超越破坏准则,结构t时刻的系统可靠度2025年9期/10.11817j.issn.1672-7207.2025.09.026/alternativeImage/04D452B5-7984-4a59-B3FB-FF8FB1C51E7A-M027.jpg)
2025年9期/10.11817j.issn.1672-7207.2025.09.026/alternativeImage/04D452B5-7984-4a59-B3FB-FF8FB1C51E7A-M028.jpg)
式中:2025年9期/10.11817j.issn.1672-7207.2025.09.026/alternativeImage/04D452B5-7984-4a59-B3FB-FF8FB1C51E7A-M029.jpg)
2025年9期/10.11817j.issn.1672-7207.2025.09.026/alternativeImage/04D452B5-7984-4a59-B3FB-FF8FB1C51E7A-M030.jpg)
2025年9期/10.11817j.issn.1672-7207.2025.09.026/alternativeImage/04D452B5-7984-4a59-B3FB-FF8FB1C51E7A-M031.jpg)
2025年9期/10.11817j.issn.1672-7207.2025.09.026/alternativeImage/04D452B5-7984-4a59-B3FB-FF8FB1C51E7A-M032.jpg)
式中:2025年9期/10.11817j.issn.1672-7207.2025.09.026/alternativeImage/04D452B5-7984-4a59-B3FB-FF8FB1C51E7A-M033.jpg)
2025年9期/10.11817j.issn.1672-7207.2025.09.026/alternativeImage/04D452B5-7984-4a59-B3FB-FF8FB1C51E7A-M034.jpg)
2025年9期/10.11817j.issn.1672-7207.2025.09.026/alternativeImage/04D452B5-7984-4a59-B3FB-FF8FB1C51E7A-M030.jpg)
2025年9期/10.11817j.issn.1672-7207.2025.09.026/alternativeImage/04D452B5-7984-4a59-B3FB-FF8FB1C51E7A-M036.jpg)
根据给定的初始条件式(7)以及吸收边界条件式(10)求解式(5),然后,根据式(6)获得此时的概率密度函数,记为2025年9期/10.11817j.issn.1672-7207.2025.09.026/alternativeImage/04D452B5-7984-4a59-B3FB-FF8FB1C51E7A-M037.jpg)
2025年9期/10.11817j.issn.1672-7207.2025.09.026/alternativeImage/04D452B5-7984-4a59-B3FB-FF8FB1C51E7A-M034.jpg)
2025年9期/10.11817j.issn.1672-7207.2025.09.026/alternativeImage/04D452B5-7984-4a59-B3FB-FF8FB1C51E7A-M039.jpg)
式(11)表示吸收边界过程2025年9期/10.11817j.issn.1672-7207.2025.09.026/alternativeImage/04D452B5-7984-4a59-B3FB-FF8FB1C51E7A-M040.jpg)
2025年9期/10.11817j.issn.1672-7207.2025.09.026/alternativeImage/04D452B5-7984-4a59-B3FB-FF8FB1C51E7A-M030.jpg)
2025年9期/10.11817j.issn.1672-7207.2025.09.026/alternativeImage/04D452B5-7984-4a59-B3FB-FF8FB1C51E7A-M042.jpg)
当系统构件的安全域确定且唯一时,可以直接使用式(11)进行求解。然而,在实际工程中,结构受到地震的破坏力影响,可能导致多个构件同时发生破坏,从而引发结构的整体失效。在这种情况下,结构的安全域不再具备唯一性。换句话说,当结构可靠度表达式为多个多元功能函数时,无法直接采用式(11)进行求解。为此,引入量纲一位移[19],以确保结构的位移响应能够在统一的概率空间内进行分析,具体构造方式如下:
2025年9期/10.11817j.issn.1672-7207.2025.09.026/alternativeImage/04D452B5-7984-4a59-B3FB-FF8FB1C51E7A-M043.jpg)
式中:2025年9期/10.11817j.issn.1672-7207.2025.09.026/alternativeImage/04D452B5-7984-4a59-B3FB-FF8FB1C51E7A-M044.jpg)
2025年9期/10.11817j.issn.1672-7207.2025.09.026/alternativeImage/04D452B5-7984-4a59-B3FB-FF8FB1C51E7A-M045.jpg)
2025年9期/10.11817j.issn.1672-7207.2025.09.026/alternativeImage/04D452B5-7984-4a59-B3FB-FF8FB1C51E7A-M046.jpg)
2025年9期/10.11817j.issn.1672-7207.2025.09.026/alternativeImage/04D452B5-7984-4a59-B3FB-FF8FB1C51E7A-M045.jpg)
2025年9期/10.11817j.issn.1672-7207.2025.09.026/alternativeImage/04D452B5-7984-4a59-B3FB-FF8FB1C51E7A-M048.jpg)
2025年9期/10.11817j.issn.1672-7207.2025.09.026/alternativeImage/04D452B5-7984-4a59-B3FB-FF8FB1C51E7A-M049.jpg)
2025年9期/10.11817j.issn.1672-7207.2025.09.026/alternativeImage/04D452B5-7984-4a59-B3FB-FF8FB1C51E7A-M050.jpg)
2025年9期/10.11817j.issn.1672-7207.2025.09.026/alternativeImage/04D452B5-7984-4a59-B3FB-FF8FB1C51E7A-M051.jpg)
2025年9期/10.11817j.issn.1672-7207.2025.09.026/alternativeImage/04D452B5-7984-4a59-B3FB-FF8FB1C51E7A-M052.jpg)
此时,吸收边界条件为
2025年9期/10.11817j.issn.1672-7207.2025.09.026/alternativeImage/04D452B5-7984-4a59-B3FB-FF8FB1C51E7A-M053.jpg)
将施加吸收边界条件的概率密度函数记为2025年9期/10.11817j.issn.1672-7207.2025.09.026/alternativeImage/04D452B5-7984-4a59-B3FB-FF8FB1C51E7A-M054.jpg)
2025年9期/10.11817j.issn.1672-7207.2025.09.026/alternativeImage/04D452B5-7984-4a59-B3FB-FF8FB1C51E7A-M055.jpg)
2 曲线梁桥工况及非平稳地震动模拟
2.1 工程概况及有限元模型建立
以某三跨曲线连续梁桥为研究对象,全长为105 m,曲率半径为100 m,主梁为单箱单室的连续箱梁,采用C50强度等级的现浇混凝土;桥墩横截面长×宽×高为3.1 m×1.3 m×10 m,混凝土强度等级为C30,纵向配筋率为1.06%,桥梁总体布置如图1所示。各桥墩顶部沿主梁横截面方向布置HDR高阻尼橡胶支座,内外侧支座的偏心距分别为0.52 m和1.15 m,根据竖向承载力选择合适的支座规格,具体如表1所示。
2025年9期/10.11817j.issn.1672-7207.2025.09.026/alternativeImage/04D452B5-7984-4a59-B3FB-FF8FB1C51E7A-F001.jpg)
| 位置 | 支座类型及规格 | 初始刚度 (kN·mm-1) | 屈服后刚度 (kN·mm-1) | 竖向刚度 (kN·mm-1) | 屈服力![]() |
|---|---|---|---|---|---|
| 边墩 | HDR(Ⅰ)-d345×167-G1.0 | 6.67 | 1.03 | 569 | 43 |
| 中墩 | HDR(Ⅰ)-d520×207-G1.0 | 9.49 | 1.46 | 757 | 101 |
基于ANSYS有限元平台,建立了曲线连续梁桥全桥非线性有限元模型。上部结构采用弹性梁单元BEAM189模拟,以反映其在地震中的线弹性行为;下部结构则采用非线性广义梁单元BEAM189,通过弯矩-曲率分析得到墩柱的广义力-位移关系矩阵,模拟其在地震作用下的弹塑性行为,并考虑轴向-剪切-弯曲-扭转相互作用。模型中的高阻尼橡胶支座由COMBIN40和COMBIN14单元模拟其水平和竖向的阻尼与刚度,支座上端与主梁、支座下端与桥墩的连接均采用刚性梁单元MPC184。最终,通过APDL语言建立隔震曲线梁桥全桥有限元模型简化模型与实体模型,如图2所示。有限元模型前6阶模态自振频率及振型特点见表2。
2025年9期/10.11817j.issn.1672-7207.2025.09.026/alternativeImage/04D452B5-7984-4a59-B3FB-FF8FB1C51E7A-F002.jpg)
| 振型阶数 | HDR频率/Hz | 振型描述 |
|---|---|---|
| 1 | 0.715 0 | 主梁切向平动 |
| 2 | 0.786 0 | 主梁径向平动 |
| 3 | 1.045 0 | 主梁1阶反对称平动 |
| 4 | 2.299 0 | 主梁1阶正对称平动 |
| 5 | 2.676 4 | 主梁1阶正对称横弯 |
| 6 | 3.049 8 | 主梁1阶反对称横弯 |
2.2 非平稳随机地震动降维模拟
目前,模拟工程地震动随机过程主要有第1类谱表示法[20]和第2类谱表示法[21],2种方法在实现过程中都需要引入大量的随机变量。第1类谱表示法所需随机变量数目为2N,第2类谱表示法所需随机变量数目为N,尽管第2类谱表示法相较于第1类谱表示法随机变量减少了一半,但计算成本仍较昂贵,文献[22]在第1类谱表示法的基础上引入随机函数的思想,将随机度从2N降为2,减少了计算成本。第1类非平稳随机过程谱表示为:
2025年9期/10.11817j.issn.1672-7207.2025.09.026/alternativeImage/04D452B5-7984-4a59-B3FB-FF8FB1C51E7A-M060.jpg)
式中:2025年9期/10.11817j.issn.1672-7207.2025.09.026/alternativeImage/04D452B5-7984-4a59-B3FB-FF8FB1C51E7A-M061.jpg)
2025年9期/10.11817j.issn.1672-7207.2025.09.026/alternativeImage/04D452B5-7984-4a59-B3FB-FF8FB1C51E7A-M062.jpg)
式中:2025年9期/10.11817j.issn.1672-7207.2025.09.026/alternativeImage/04D452B5-7984-4a59-B3FB-FF8FB1C51E7A-M063.jpg)
选取Clough-Penzien模型作为工程地震动加速度功率谱随机模型,表达式为:
2025年9期/10.11817j.issn.1672-7207.2025.09.026/alternativeImage/04D452B5-7984-4a59-B3FB-FF8FB1C51E7A-M064.jpg)
2025年9期/10.11817j.issn.1672-7207.2025.09.026/alternativeImage/04D452B5-7984-4a59-B3FB-FF8FB1C51E7A-M065.jpg)
式中:2025年9期/10.11817j.issn.1672-7207.2025.09.026/alternativeImage/04D452B5-7984-4a59-B3FB-FF8FB1C51E7A-M066.jpg)
2025年9期/10.11817j.issn.1672-7207.2025.09.026/alternativeImage/04D452B5-7984-4a59-B3FB-FF8FB1C51E7A-M067.jpg)
2025年9期/10.11817j.issn.1672-7207.2025.09.026/alternativeImage/04D452B5-7984-4a59-B3FB-FF8FB1C51E7A-M068.jpg)
2025年9期/10.11817j.issn.1672-7207.2025.09.026/alternativeImage/04D452B5-7984-4a59-B3FB-FF8FB1C51E7A-M069.jpg)
2025年9期/10.11817j.issn.1672-7207.2025.09.026/alternativeImage/04D452B5-7984-4a59-B3FB-FF8FB1C51E7A-M070.jpg)
2025年9期/10.11817j.issn.1672-7207.2025.09.026/alternativeImage/04D452B5-7984-4a59-B3FB-FF8FB1C51E7A-M071.jpg)
2025年9期/10.11817j.issn.1672-7207.2025.09.026/alternativeImage/04D452B5-7984-4a59-B3FB-FF8FB1C51E7A-M072.jpg)
2025年9期/10.11817j.issn.1672-7207.2025.09.026/alternativeImage/04D452B5-7984-4a59-B3FB-FF8FB1C51E7A-M073.jpg)
2025年9期/10.11817j.issn.1672-7207.2025.09.026/alternativeImage/04D452B5-7984-4a59-B3FB-FF8FB1C51E7A-M076.jpg)
2025年9期/10.11817j.issn.1672-7207.2025.09.026/alternativeImage/04D452B5-7984-4a59-B3FB-FF8FB1C51E7A-M077.jpg)
| 场地类型 | ![]() | ![]() | ||
|---|---|---|---|---|
| 第1组 | 第2组 | 第3组 | ||
| Ⅰ | 25.13 | 20.94 | 17.95 | 0.64 |
| Ⅱ | 17.95 | 15.71 | 13.96 | 0.72 |
| Ⅲ | 13.96 | 11.42 | 9.67 | 0.80 |
| Ⅳ | 9.67 | 8.38 | 6.98 | 0.90 |
2025年9期/10.11817j.issn.1672-7207.2025.09.026/alternativeImage/04D452B5-7984-4a59-B3FB-FF8FB1C51E7A-M082.jpg)
| 设计地震分组 | Ⅰ | Ⅱ | Ⅲ | Ⅳ |
|---|---|---|---|---|
| 第1组 | 262.66 | 327.01 | 360.07 | 426.81 |
| 第2组 | 287.46 | 352.53 | 408.59 | 471.64 |
| 第3组 | 313.54 | 378.63 | 458.37 | 540.10 |
非平稳随机地震动模型的时间调制函数2025年9期/10.11817j.issn.1672-7207.2025.09.026/alternativeImage/04D452B5-7984-4a59-B3FB-FF8FB1C51E7A-M074.jpg)
2025年9期/10.11817j.issn.1672-7207.2025.09.026/alternativeImage/04D452B5-7984-4a59-B3FB-FF8FB1C51E7A-M075.jpg)
式中:c为地震动加速度峰值到达时间;d为非平稳调控因子。
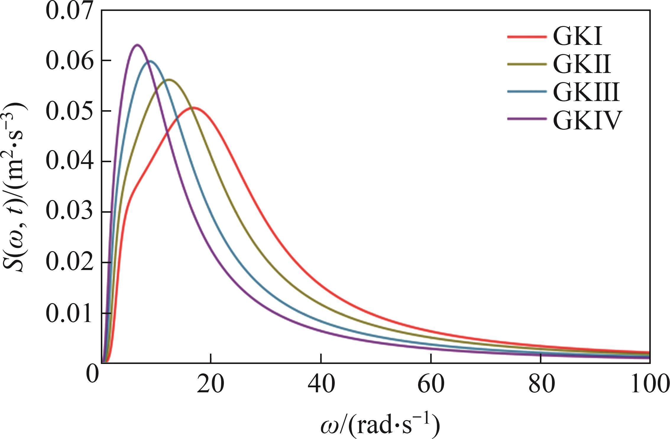
在对曲线梁桥进行计算时,为了充分考虑场地效应的影响,取表3和表4中第2组的Clough-Penzien模型参数,不同场地条件下的功率谱模型工况见表5,按照表5的参数取值绘制不同工况下的平稳功率谱模型对比图,结果如图3所示,从图3可以看出:工况GKI、GKⅡ、GKⅢ、GKⅣ的地震动功率谱能量集中从高频逐渐向低频转化,这也贴合了Ⅰ、Ⅱ、Ⅲ、Ⅳ类场地由硬场地到软场地的变化特征。
| 工况编号 | ![]() ![]() | ![]() | ![]() ![]() |
|---|---|---|---|
| GKⅠ | 20.94 | 0.64 | 287.46 |
| GKⅡ | 15.71 | 0.72 | 352.53 |
| GKⅢ | 11.42 | 0.80 | 408.59 |
| GKⅣ | 8.38 | 0.90 | 471.64 |
2025年9期/10.11817j.issn.1672-7207.2025.09.026/alternativeImage/04D452B5-7984-4a59-B3FB-FF8FB1C51E7A-F003.jpg)
对于地震动的多维性,根据文献[24],将一维的地震动功率谱拓展为三维,各方向上地震动功率谱除谱强度因子不同外,其余参数均相同。X、Y和Z向功率谱谱强度因子比例为12025年9期/10.11817j.issn.1672-7207.2025.09.026/alternativeImage/04D452B5-7984-4a59-B3FB-FF8FB1C51E7A-M089.jpg)
2025年9期/10.11817j.issn.1672-7207.2025.09.026/alternativeImage/04D452B5-7984-4a59-B3FB-FF8FB1C51E7A-M090.jpg)
2025年9期/10.11817j.issn.1672-7207.2025.09.026/alternativeImage/04D452B5-7984-4a59-B3FB-FF8FB1C51E7A-M089.jpg)
2025年9期/10.11817j.issn.1672-7207.2025.09.026/alternativeImage/04D452B5-7984-4a59-B3FB-FF8FB1C51E7A-M092.jpg)
2025年9期/10.11817j.issn.1672-7207.2025.09.026/alternativeImage/04D452B5-7984-4a59-B3FB-FF8FB1C51E7A-M093.jpg)
2025年9期/10.11817j.issn.1672-7207.2025.09.026/alternativeImage/04D452B5-7984-4a59-B3FB-FF8FB1C51E7A-M094.jpg)
2025年9期/10.11817j.issn.1672-7207.2025.09.026/alternativeImage/04D452B5-7984-4a59-B3FB-FF8FB1C51E7A-F004.jpg)
2025年9期/10.11817j.issn.1672-7207.2025.09.026/alternativeImage/04D452B5-7984-4a59-B3FB-FF8FB1C51E7A-F005.jpg)
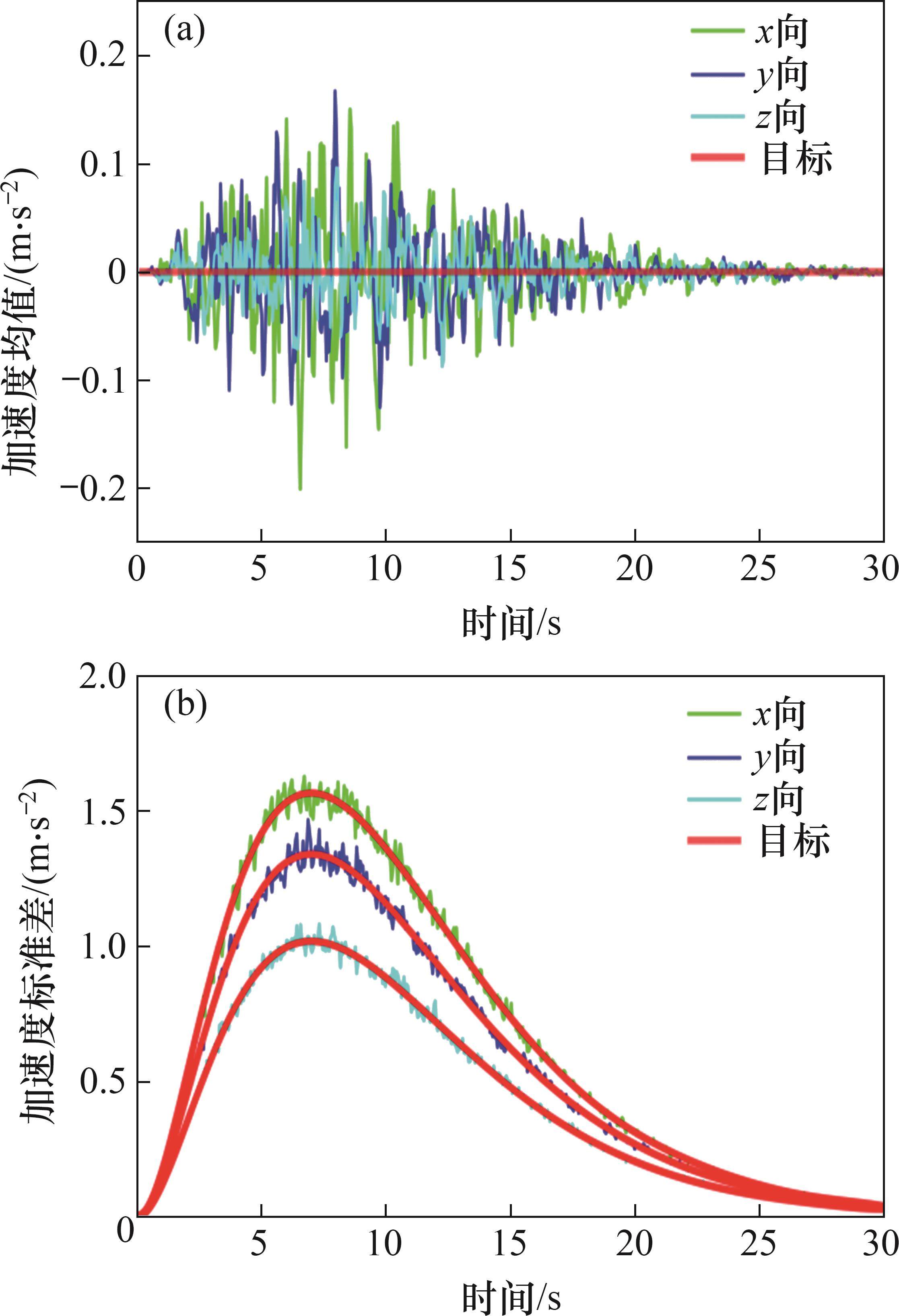
图4中每个子图上半部分为地震动演化功率谱,反映不同工况的谱强度随着时间和频率的演化趋势,下半部分为演化功率谱在时域和频域的二维投影。从频域维度来看,4个工况下的能量分布与图3所示结果保持一致。从时间维度来看,地震动的非平稳特性较显著,这在图5的地震动样本中也有体现。图6是地震动样本时程均值和标准差与目标值的比较,其中均值和标准差与目标值的最大相对误差均未超过4%,这验证了所使用方法在模拟非平稳地震动时程样本上的准确性。
2025年9期/10.11817j.issn.1672-7207.2025.09.026/alternativeImage/04D452B5-7984-4a59-B3FB-FF8FB1C51E7A-F006.jpg)
3 曲线梁桥结构随机动力响应
场地条件会对结构的动态行为产生复杂影响,可能导致曲线桥结构在8度罕遇地震作用下产生较大的位移。因此,为了确保计算结果的准确性和合理性,采用非线性动力时程分析方法来考虑结构材料非线性的影响。将工况GKI、GKⅡ、GKⅢ、GKⅣ的600组地震动采用循环的方式输入到曲线梁桥模型中,提取结构响应数据,将各分量响应进行矢量合成,具体如下:
2025年9期/10.11817j.issn.1672-7207.2025.09.026/alternativeImage/04D452B5-7984-4a59-B3FB-FF8FB1C51E7A-M095.jpg)
式中:2025年9期/10.11817j.issn.1672-7207.2025.09.026/alternativeImage/04D452B5-7984-4a59-B3FB-FF8FB1C51E7A-M096.jpg)
2025年9期/10.11817j.issn.1672-7207.2025.09.026/alternativeImage/04D452B5-7984-4a59-B3FB-FF8FB1C51E7A-M097.jpg)
按照式(20)将4个工况的响应数据进行矢量合成,通过标准差和峰值响应期望来分析曲线梁桥构件在不同工况下的响应规律。对桥墩、支座、主梁位移响应及规律进行分析,结果如图7~9所示。
2025年9期/10.11817j.issn.1672-7207.2025.09.026/alternativeImage/04D452B5-7984-4a59-B3FB-FF8FB1C51E7A-F007.jpg)
2025年9期/10.11817j.issn.1672-7207.2025.09.026/alternativeImage/04D452B5-7984-4a59-B3FB-FF8FB1C51E7A-F008.jpg)
2025年9期/10.11817j.issn.1672-7207.2025.09.026/alternativeImage/04D452B5-7984-4a59-B3FB-FF8FB1C51E7A-F009.jpg)
3.1 桥墩
图7所示为曲线桥在4种工况的地震动作用下桥墩的位移响应及规律。从图7(a)可以看出:桥 墩位移在4类工况条件下的整体变化规律基本一致,位移峰值与地震动峰值出现时间相比(式(19)中c=7)存在明显的时滞现象,峰值集中在5~10 s时间段内,并且在整个地震持时内具有很强的非平稳性;工况GKI、GKⅡ、GKⅢ、GKⅣ时变标准差峰值分别为0.013 8、0.017 1、0.021 4、0.025 3 m,对比4类场地条件下桥墩位移标准差,可以看到当场地土条件由I类场地到Ⅳ类场地变化时,桥墩位移响应呈现出由低到高的变化趋势,即曲线桥在软场地土条件下的桥墩位移更大。图7(b)所示为曲线桥4个桥墩的位移峰值响应期望。从图7(b)可见:随着场地土条件由硬到软变化,同一桥墩的位移响应规律与图7(a)保持一致,并且2个边墩之间与2个中墩之间的计算结果基本一样,但中墩的峰值响应期望相较于边墩要更大。
3.2 支座
图8所示为4种工况下曲线桥支座的位移响应及规律。从图8(a)可见:B1支座在4种工况下的位移响应标准差的整体变化规律与桥墩位移响应标准差的整体变化规律类似,支座位移标准差在4个工况下也表现出一致性、时滞性和非平稳性。然而,比较图7(a)和图8(a)可以发现,支座对地震动的场地效应表现出更强的敏感性,在工况GKⅠ、GKⅡ、GKⅢ和GKⅣ下,B1支座的时变标准差峰值分别为0.057 2、0.082 3、0.117 5、0.142 0 m,与桥墩规律保持一致,支座位移在较软的场地条件下更大。图8(b)所示为曲线桥B1、B3、B5和B7这4个支座的位移峰值响应期望。从图8(b)可见:随着场地土条件从硬到软,同一支座的位移峰值响应期望呈现由小到大的趋势,并且在工况GKⅠ~GKⅣ下,边墩支座与中墩支座的峰值响应期望基本相等。这是因为中墩的支座性能明显优于边墩支座的性能(见表1),因此,尽管中墩支座承受了更大的作用力,其位移却并未显著超过边墩支座的位移。因此,在进行结构的抗震设计时,选择合适的支座布置方式可以有效提高结构的抗震性能。
3.3 主梁
图9所示为曲线桥在4种工况下主梁的弯矩响应及规律。每个子图的上半部分反映了全桥弯矩标准差的分布变化,下半部分则为弯矩在主梁跨径和地震持时内的三维投影。整体来看,曲线桥的弯矩响应沿跨径呈现出5个峰值,这些峰值位于边跨、中墩及全桥跨中位置,其中全桥跨中的弯矩响应最大,并向边跨演化呈对称分布。图9中每个子图的下半部分显示,随着场地土条件从硬到软的变化,主梁弯矩在峰值集中区域出现扩散现象,表明场地土越软,弯矩峰值越不明显。此外,对比4类场地下的弯矩,发现与桥墩和支座的响应规律不同,曲线桥主梁在硬场地条件下的弯矩较大,且随着场地土软化,主梁弯矩逐渐减小。这是因为在不同场地条件下,地震动功率谱在频域内的能量分布存在差异(见图3)。在硬场地条件下,能量集中于高频,而在软场地条件下,能量集中于低频。观察曲线桥的振型(见表2)可以发现,在低频时,主要发生下部结构的振动,主梁则在高频时参与振动,这很好地解释了曲线桥上、下部结构响应规律的不一致性。
4 曲线梁桥系统可靠度
本文在计算曲线梁桥系统可靠度时只关注桥墩和支座,依据概率密度演化理论求解结构系统可靠度的步骤如下。将曲线桥桥墩、支座的位移及其时间导数代入Li-Chen方程式(5)中,采用TVD格式进行求解,获得构件位移概率密度函数演化曲面,限于篇幅,仅给出工况GKⅠ下P1桥墩和B1支座位移的时变概率密度函数演化图,如图10所示。
2025年9期/10.11817j.issn.1672-7207.2025.09.026/alternativeImage/04D452B5-7984-4a59-B3FB-FF8FB1C51E7A-F010.jpg)
图10给出了GKⅠ工况下桥墩和支座的位移概率密度演化曲面,为了便于展示,选取了30 s地震持时内5~9 s的位移概率密度函数曲面。从时间轴来看,无论是桥墩还是支座,在Ⅰ类场地下的位移均表现出高低错峰现象,且概率密度函数的峰值整体呈下降趋势,即结构出现较大位移的概率增大。此外,图7和图8的位移时滞效应也在此处得到了体现。
为了进一步比较不同场地下曲线梁桥桥墩和支座在不同时间的位移概率密度函数变化规律,绘制P1桥墩和B1支座在7 s时的位移概率密度函数,如图11所示。从图11可以看出,结构位移概率密度函数中心区域和尾部的不规则性导致其无法用任何常用分布函数来有效描述。7 s时桥墩和支座在4类场地下的位移概率密度函数峰值及对应的位移见表6。根据表6可以看到,在Ⅰ、Ⅱ、Ⅲ、Ⅳ类场地条件下,结构位移的概率密度函数峰值逐渐降低,这表明在软场地条件下,桥墩和支座出现较大位移的概率增加。
2025年9期/10.11817j.issn.1672-7207.2025.09.026/alternativeImage/04D452B5-7984-4a59-B3FB-FF8FB1C51E7A-F011.jpg)
| 工况编号 | 桥墩位移PDF峰值 | 桥墩对应位移/mm | 支座位移PDF峰值 | 支座对应位移/mm |
|---|---|---|---|---|
| GKⅠ | 19.45 | -3.70 | 6.42 | 12.10 |
| GKⅡ | 18.70 | -4.40 | 5.20 | 0 |
| GKⅢ | 15.28 | -4.60 | 3.76 | 16.50 |
| GKⅣ | 14.40 | 0 | 2.93 | 0 |
为分析不同工况下的曲线梁桥系统时变可靠度变化规律,选用桥墩墩顶位移延性比作为失效指标[25],通过计算得到边、中墩位移失效界限值分别为0.057 m和0.062 m,其对应轻微破坏程度;支座的失效界限采用0.55 Dmin(Dmin为支座的最小直径)。按照式(12)~(15)计算得到曲线梁桥系统时变可靠度结果,如图12所示。
2025年9期/10.11817j.issn.1672-7207.2025.09.026/alternativeImage/04D452B5-7984-4a59-B3FB-FF8FB1C51E7A-F012.jpg)
图12所示为不同工况下曲线桥系统可靠度的时间历程。由于地震发生的初始时段和结束时段强度较弱,所以,这2个时段内的系统可靠度趋于稳定,其中发生系统可靠度下降的时段主要集中在3.4~15.25 s;当地震结束时,工况GKI、GKⅡ、GKⅢ、GKⅣ下的曲线梁桥系统可靠度分别为99.46%、91.56%、69.10%和52.07%;曲线梁桥处于较硬的I、II类场地时,系统可靠度较高,处于较软的III、IIII类场地时,系统可靠度较小,并且在软场地的桥梁系统可靠度出现急剧下滑的趋势。因此,在较软的场地条件下,要关注曲线梁桥的抗震设计。
5 结论
1) 场地条件对曲线梁桥的随机动力响应具有显著的影响。随着场地条件由硬到软,曲线梁桥桥墩和支座的位移逐渐增大,然而,由于不同场地条件下的地震频率不同,硬场地的地震能量集中在高频,软场地的能量集中在低频,由于曲线梁桥上部结构的固有频率较高,这使得曲线梁桥在硬场地下的主梁弯矩达到最大,并且其变化规律与桥墩和支座的变化规律完全相反。因此,在进行曲线桥抗震设计时,需要分析地震频谱才能确保结果的准确性。
2) 曲线梁桥在相同场地条件下,中墩的位移通常要大于边墩的位移,这种响应差异可通过选用不同型号的隔震支座来减弱。当中墩传递到支座的作用力大于边墩的作用力时,选用更好的隔震支座布置在中墩可使其动力响应与边墩持平或者小于边墩的动力响应。
3) 不同场地条件下的曲线梁桥结构位移概率密度函数存在显著差异,存在明显的时滞现象。由于地震激励的非平稳性和材料的非线性,对于给定时刻的结构位移概率密度函数与正态分布相差较大。随着场地条件由硬到软,曲线梁桥系统可靠度逐渐减小,曲线桥系统可靠度变化的关键时段集中在地震加速度峰值附近。
李喜梅, 范朋辉, 李万润, 等. 考虑场地效应的隔震曲线梁桥地震系统可靠度[J]. 中南大学学报(自然科学版), 2025, 56(9): 3871-3883.
LI Ximei, FAN Penghui, LI Wanrun, et al. Reliability of seismic isolation curve beam bridge seismic system considering site effect[J]. Journal of Central South University(Science and Technology), 2025, 56(9): 3871-3883.
http://dx.doi.org/10.11817/j.issn.1672-7207.2025.09.026


2025年9期/10.11817j.issn.1672-7207.2025.09.026/alternativeImage/04D452B5-7984-4a59-B3FB-FF8FB1C51E7A-M056.jpg)
2025年9期/10.11817j.issn.1672-7207.2025.09.026/alternativeImage/04D452B5-7984-4a59-B3FB-FF8FB1C51E7A-M057.jpg)
2025年9期/10.11817j.issn.1672-7207.2025.09.026/alternativeImage/04D452B5-7984-4a59-B3FB-FF8FB1C51E7A-M058.jpg)
2025年9期/10.11817j.issn.1672-7207.2025.09.026/alternativeImage/04D452B5-7984-4a59-B3FB-FF8FB1C51E7A-M059.jpg)
2025年9期/10.11817j.issn.1672-7207.2025.09.026/alternativeImage/04D452B5-7984-4a59-B3FB-FF8FB1C51E7A-M080.jpg)
2025年9期/10.11817j.issn.1672-7207.2025.09.026/alternativeImage/04D452B5-7984-4a59-B3FB-FF8FB1C51E7A-M081.jpg)
2025年9期/10.11817j.issn.1672-7207.2025.09.026/alternativeImage/04D452B5-7984-4a59-B3FB-FF8FB1C51E7A-M084.jpg)
2025年9期/10.11817j.issn.1672-7207.2025.09.026/alternativeImage/04D452B5-7984-4a59-B3FB-FF8FB1C51E7A-M085.jpg)
2025年9期/10.11817j.issn.1672-7207.2025.09.026/alternativeImage/04D452B5-7984-4a59-B3FB-FF8FB1C51E7A-M086.jpg)
2025年9期/10.11817j.issn.1672-7207.2025.09.026/alternativeImage/04D452B5-7984-4a59-B3FB-FF8FB1C51E7A-M087.jpg)
2025年9期/10.11817j.issn.1672-7207.2025.09.026/alternativeImage/04D452B5-7984-4a59-B3FB-FF8FB1C51E7A-M088.jpg)