随着深部资源开采和基础设施构筑的需求增加,岩体工程建设不断向深部推进[1-2],围岩体多处于高地应力和高水压环境中。工程岩体属于典型的不连续介质。结构面对工程岩体的强度和变形起着控制作用[3]。深部高水压环境下裂隙岩体的损伤演化及变形特性与浅部及单纯高应力环境下的特性差异较大,易发生涌突水等重大工程灾害[4]。超声波测试技术具有轻便简易、快速经济、无损高效的优点,且可以反演工程岩体的损伤程度、弹黏性系数等参数[5]。研究水压力与裂隙倾角对岩石超声波传播与衰减特性的影响,有助于利用岩石的超声特性以表征深部工程岩体的损伤特性和反演其物理力学性能。
岩石超声波的波形、波速、波幅等携带大量与岩石力学性质、裂隙结构等信息[6-7],其传播衰减特性深受赋存环境的影响,“环境”泛指深部岩石所处的特定环境,如应力状态[8]、温度[9]、含水率[10]、水压力[11-13]等。岩石纵波波速随轴向应力增加而呈指数增加[8]。温度增加会造成岩石密度与体积发生变化,进而降低岩石波速[9]。随着岩石饱和度增加,岩石等效体积模量、弹性模量发生改变[14],纵波波速呈现出先缓慢减小后快速增加的趋势[15],最大振幅值持续减小[16]。在三维应力状态下,随着内部注水压力增大,岩石超声波波速呈线性增大,超声波幅值增大,超声波衰减幅度减小[11-12]。但在一维应力状态下,岩石超声波波速随水压力增加而呈现“先快速增加后缓慢降低”的特征,首波幅值与水压力呈指数函数关系[13]。因此,水压力对岩石超声波传播特性的影响十分明显,但目前仅考虑了单一因素对岩石超声波传播衰减性能的影响,未考虑复杂环境下深部岩石本身的结构复杂性对其超声特性的影响。
岩石属于天然地质体,超声波传播衰减特性受岩石本身裂隙特征的影响较大,如裂隙数量[17]、孔隙尺寸[18]、裂隙倾角[19-22]等。超声波在通过单个或多个裂隙时幅值发生衰减,超声波透射比随裂隙数量增加而减小,孔径越大,岩石超声波速越低[17-18]。在自然含水率状态下,裂隙岩体纵波波速随裂隙倾角增加而呈现出先减小后增加的变化趋势[19]。在饱和状态下,岩石裂隙倾角越大,纵波波速越大[20]。裂隙倾角也会影响超声波波幅衰减和能量耗散的程度,随着裂隙倾角增加,波传递过程中的能耗减小,波幅增大[21-22]。岩石裂隙倾角增加会缩短了超声波传播距离,并增大了岩石整体弹性模量、体积模量,进而影响其超声波传播性能[23-24]。因此,水压力和岩体裂隙特征共同影响着深部工程岩体的超声特性。但目前未综合考虑水压力、地应力和裂隙共同对岩石超声波传播与衰减特性的影响,需要加强研究水力耦合作用下裂隙岩石的超声波传播与衰减特性。
为研究高水压、高应力和裂隙倾角对岩石超声波传播与衰减特性的影响,首先,选用红砂岩制备具有相同长度、不同倾角的贯通裂隙岩石试件。其次,利用自主研制的高水压高应力岩石超声波测试系统[25],对裂隙岩石试件进行超声波传播试验。然后,基于裂隙岩石超声波首波波形,得到不同水压力作用下裂隙岩石的超声波波速、首波幅值,并重点分析二者随水压力、裂隙倾角的变化规律,并构建超声波时域传播特性参数与水压力、裂隙倾角的演化经验模型。最后,探究水压力和裂隙倾角对岩石超声波传播与衰减特性的影响机理。
1 试验系统及试验方案
1.1 试件制备
选用均质性较好的红砂岩制备岩石试件,岩石试件取自同一完整岩块。完整岩石试件物理参数如表1所示。岩石试件的长度为100 mm,直径为50 mm,两端平整度误差小于0.02 mm,端面与其轴线的不垂直度小于0.001 rad。在完整岩石试件的基础上预制裂隙,厚度为1.5 mm,长度为15 mm,裂隙倾角α(超声波传播方向与裂隙平面法线方向夹角)分别为0°、22.5°、45°、67.5°、90°,如图1所示。
| 参数 | 数值 |
|---|---|
| 饱和单轴抗压强度/MPa | 64.0 |
| 干密度/(g·cm-3) | 2.49 |
| 干燥波速/(m·s-1) | 3 214 |
| 饱和含水率/% | 2.7 |
| 饱和密度/(g·cm-3) | 2.56 |
| 饱和波速/(m·s-1) | 3 321 |
2025年9期/10.11817j.issn.1672-7207.2025.09.027/alternativeImage/A06DE30A-C8DD-4f44-B663-26506FA0E4A6-F001.jpg)
试验前将裂隙岩石试件进行饱水处理,将岩石试件饱水48 h后,每隔2 h测量质量,当质量差小于0.02g时,认为达到自然饱和状态。
1.2 试验装置
利用自主研发的高水压高应力岩石超声波测试试验系统进行试验。该试验系统由静应力加载装置、高水压加载装置和超声波测试装置组成,如图2所示。该试验系统可对岩石同时施加水压力与轴向静应力时进行超声波测试,采用轴向静应力与水压力分别模拟地应力及水压力环境。本试验装置详细介绍见文献[25]。
2025年9期/10.11817j.issn.1672-7207.2025.09.027/alternativeImage/A06DE30A-C8DD-4f44-B663-26506FA0E4A6-F002.jpg)
使用RSM-SY5(T)非金属测试仪采集不同工况下的超声波信号。在试验过程中,固定发射端参数,确保发射的超声波信号保持不变,通过接收端超声波的变化,研究裂隙倾角和水压力对岩石超声特性的影响。为保证试验的科学性与准确性,将超声波测试仪基础参数设定如下:高通频率为0.5 kHz,低通频率为500 kHz,超声波采集数据间隔时间为1 μs,数据采集数量为512个点,增益为80 dB,发射电压为低压,换能频率为500 kHz。测试声波时,由发射换能器发射电脉冲,激发晶片振动,经矩形块、弹性杆、岩石试件等传播后被接收换能器接收,经过处理器将声能信号转换成电压信号,并在超声波仪上显示。
1.3 试验工况及方案
在超声波传播试验中,对岩石试件加载轴向静应力和水压力,分别模拟深部工程实际的地应力与水压力。轴向静应力设置为18 MPa,水压力分别设置为0、2.5、5、7.5、10、12.5和15 MPa。
试验时,先将轴向静应力加载至预设值,再按分级加载的方式将水压力加载至预设值。水压力达到预设值后,对试件进行20 min饱载,再进行超声波测试并记录试验波形,应力加载路径如图3所示。
2025年9期/10.11817j.issn.1672-7207.2025.09.027/alternativeImage/A06DE30A-C8DD-4f44-B663-26506FA0E4A6-F003.jpg)
具体试验步骤如下:首先,放入饱和的裂隙岩石试件,将带有端盖的弹性杆与弹性杆相连接,完成水压装置的密封。然后,将轴向静应力加载至18 MPa后,水压力逐级加载至预设值并保持 20 min后再进行超声波测试。为尽量减少超声波传播时的声能损耗,在试验过程中,岩石试件、弹性杆、中空矩形块轴线对齐,并在各端面均匀涂抹适量的凡士林耦合剂。
1.4 裂隙岩石超声波波形与波速计算
图4所示为相同超声波在弹性杆和裂隙岩石中传播后的超声波波形图。由图4可以看出:发射的超声波是正弦波形,在弹性杆内传播时无衰减和畸变;但在高水压裂隙岩石中传播,超声波经中空矩形块、弹性杆、岩石试件传播时,在不连续面或裂隙处发生多次透反射[26],除第1周期波之外,其余的超声波发生了明显的畸变,这明显不能准确地反映高水压状态下裂隙岩石的声学特性,因此,本文选取第1周期超声波形表征超声波幅值和波速,并定义第1周期超声波为首波。
2025年9期/10.11817j.issn.1672-7207.2025.09.027/alternativeImage/A06DE30A-C8DD-4f44-B663-26506FA0E4A6-F004.jpg)
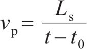
图5所示为高水压裂隙岩石超声波传播试验时超声波传播路径示意图。超声波首波幅值点对应的时间差为超声波传播时间。据此计算水压力作用时的裂隙岩石超声波波速,即
2025年9期/10.11817j.issn.1672-7207.2025.09.027/alternativeImage/A06DE30A-C8DD-4f44-B663-26506FA0E4A6-M001.jpg)
式中:vp为岩石超声波波速;Ls为裂隙岩石试件长度;t为超声波在矩形块、弹性杆、裂隙岩石试件中传播的总时间;t0为超声波在矩形块、弹性杆中传播的总时间,由图5确定。
2025年9期/10.11817j.issn.1672-7207.2025.09.027/alternativeImage/A06DE30A-C8DD-4f44-B663-26506FA0E4A6-F005.jpg)
2 裂隙岩石超声波首波波形的影响因素
根据试验得到超声波首波,利用式(1)计算岩石超声波波速,得到裂隙岩石在不同工况下的超声波波速和首波幅值,结果如表2和表3所示。
| σw/MPa | 完整岩石 | α/(°) | ||||
|---|---|---|---|---|---|---|
| 0 | 22.5 | 45.0 | 67.5 | 90.0 | ||
| 0 | 3 764 | 3 478 | 3 501 | 3 552 | 3 568 | 3 585 |
| 2.5 | 3 873 | 3 524 | 3 542 | 3 561 | 3 603 | 3 628 |
| 5.0 | 3 925 | 3 451 | 3 473 | 3 514 | 3 568 | 3 626 |
| 7.5 | 3 894 | 3 438 | 3 455 | 3 475 | 3 509 | 3 570 |
| 10.0 | 3 793 | 3 406 | 3 431 | 3 473 | 3 483 | 3 523 |
| 12.5 | 3 698 | 3 349 | 3 351 | 3 386 | 3 406 | 3 451 |
| 15.0 | 3 634 | 3 295 | 3 322 | 3 346 | 3 362 | 3 424 |
| σw/MPa | 完整岩石 | α/(°) | ||||
|---|---|---|---|---|---|---|
| 0 | 22.5 | 45.0 | 67.5 | 90.0 | ||
| 2.5 | 10.69 | 10.08 | 10.33 | 10.38 | 10.45 | 10.52 |
| 5.0 | 10.66 | 10.04 | 10.22 | 10.25 | 10.40 | 10.49 |
| 7.5 | 10.62 | 10.00 | 10.14 | 10.16 | 10.34 | 10.46 |
| 10.0 | 10.53 | 9.97 | 10.06 | 10.11 | 10.28 | 10.40 |
| 12.5 | 10.46 | 9.94 | 9.97 | 10.03 | 10.25 | 10.35 |
| 15.0 | 10.45 | 9.79 | 9.81 | 9.91 | 10.07 | 10.23 |
2.1 水压力
本文进行多种工况下裂隙岩石的超声波传播试验,部分工况下裂隙岩石超声波首波波形见 图6。由图6可以看出:当轴向静应力一定时,不同水压力条件下裂隙岩石的超声波首波的形状基本一致,即水压力对岩石超声波首波形状影响较小;在相同裂隙倾角工况下,随着水压力增大,裂隙岩石超声波首波波形整体先左移再右移,即首波起跳时间随着水压力增加而先提前发生后延迟。
2025年9期/10.11817j.issn.1672-7207.2025.09.027/alternativeImage/A06DE30A-C8DD-4f44-B663-26506FA0E4A6-F006.jpg)
当水压力较小时,水不断浸入裂隙岩石内部,部分孔隙及微裂隙被水填充,由于水较空气更有利于超声波传播[24],所以,超声波首波起跳点提前。随着水压力持续增加,水会持续浸入岩石裂隙,促进岩石微裂隙萌生、发展,导致岩石裂隙数量增多、孔隙体积增大[14, 26],超声波的传播距离增加,进而导致首波起跳时间延后。
2.2 裂隙倾角
在相同水压力下,裂隙倾角对岩石超声波首波波形的影响如图7所示。由图7可以看出:裂隙倾角对岩石超声波首波波形也有较大的影响;在相同水压力工况下,随着裂隙倾角增大,岩石首波波形逐渐前移,即首波起跳时间提前;岩石首波波形前移现象随水压力增加而越来越不明显,这意味着增加水压力会导致岩石首波波形对裂隙倾角的敏感性逐渐降低。
2025年9期/10.11817j.issn.1672-7207.2025.09.027/alternativeImage/A06DE30A-C8DD-4f44-B663-26506FA0E4A6-F007.jpg)
当岩石裂隙长度相同时,增加裂隙倾角意味着裂隙横截面投影面积比例减小(α=0°时,裂隙横截面投影的比例最大为35%,而α=90°时,裂隙横截面投影的比例最小为4%),缩短了超声波谐波穿过岩石试件的时间,减小了超声波传播过程中的衰减,所以,出现超声波首波波形前移现象。在水压力增大过程中,岩石随着裂隙倾角增加,波形前移幅度变小,这是由于水压力增加会导致裂隙状孔刚度增加,超声波衰减程度变小,故波形前移幅度降低。
3 裂隙岩石超声波波速的变化特性
常用超声波波速表示超声波在介质中传播速度,也是表征或反演岩石强度、完整性与内部缺陷等的常用参数[6, 22]。
3.1 水压力对裂隙岩石超声波波速的影响
由表2可得到裂隙岩石超声波波速与水压力的关系如图8所示。由图8可以看出:完整岩石和裂隙岩石的超声波波速均随水压力增加呈现先增加后减小的变化趋势;水压力对完整岩石超声波波速的影响效应更明显。一方面,低水压力有利于岩石超声波传播,高水压力对于裂隙岩石超声波速具有明显的弱化效应。另一方面,裂隙倾角对岩石超声波波速随水压力的变化路径以及变化转折点有较大的影响;随着裂隙倾角增加,裂隙岩石超声波波速整体增加,且超声波波速由增加到减小的转折点对应的水压力越来越大,如图8中虚线箭头所指方向。
2025年9期/10.11817j.issn.1672-7207.2025.09.027/alternativeImage/A06DE30A-C8DD-4f44-B663-26506FA0E4A6-F008.jpg)
为得到裂隙岩石超声波波速随水压力的演化经验模型,采用式(2)拟合图8中的试验数据。
2025年9期/10.11817j.issn.1672-7207.2025.09.027/alternativeImage/A06DE30A-C8DD-4f44-B663-26506FA0E4A6-M002.jpg)
式中:σw为水压力;σcw、vm、η、ζ为拟合参数。
由高斯函数特点可得,当水压力为σcw时,vm+η代表裂隙岩石的最大超声波波速,定义vm为裂隙岩石干燥时的超声波波速,η为水压力对裂隙岩石超声波速的影响范围。当水压力σw小于σcw时,裂隙岩石超声波速随水压力增加而持续增大;当水压力σw大于σcw时,裂隙岩石超声波速随水压力增加而逐渐减小,故定义σcw为临界水压力。参数ζ越大,意味着裂隙岩石超声波波速对水压力的变化更敏感。定义ζ为岩石超声波波速水压力敏感因子,MPa。
对表2所示的试验数据进行回归分析,拟合曲线和拟合参数结果如图8和表4所示。由表4可以看出,相关性系数R2均大于0.93,拟合程度较好,表明岩石超声波波速随水压力的变化符合高斯函数关系。
| α/(°) | vm/ (m∙s-1) | σcw/MPa | ζ/MPa | η/(m∙s-1) | R2 |
|---|---|---|---|---|---|
| 完整岩石 | 3 599 | 5.34 | 6.51 | 337 | 0.99 |
| 0 | 3 110 | 1.48 | 14.85 | 391 | 0.93 |
| 22.5 | 3 180 | 1.76 | 13.01 | 341 | 0.94 |
| 45.0 | 3 250 | 2.20 | 11.17 | 307 | 0.94 |
| 67.5 | 3 320 | 2.60 | 9.33 | 271 | 0.98 |
| 90.0 | 3 396 | 3.57 | 7.50 | 238 | 0.99 |
为了得到裂隙倾角岩石的超声波波速随水压力的变化关系,由表3可得不同拟合参数随裂隙倾角α的变化关系,如图9所示。由图9可以看出:裂隙岩石干燥超声波速vm和超声波速的水压力影响范围η与裂隙倾角α呈线性关系。随裂隙倾角增加,临界水压力σcw单调增加,逐渐趋于无裂隙高水压岩石的临界水压力,二者呈指数函数关系。岩石超声波波速水压力敏感因子ζ随裂隙倾角增加而呈线性减小,这表明随裂隙倾角增加,越来越小的水压力对裂隙岩石的超声波波速有影响。
2025年9期/10.11817j.issn.1672-7207.2025.09.027/alternativeImage/A06DE30A-C8DD-4f44-B663-26506FA0E4A6-F009.jpg)
虽然裂隙岩石超声波速随水压力变化趋势与完整岩石一致,但裂隙岩石的临界水压力明显更低,而水压力敏感因子显然大于完整岩石的水压力敏感因子[13]。这是由于岩石裂隙的存在,岩石整体强度降低,水压力对岩石超声波速的强化效应有限,所以,裂隙岩石的临界水压力更低,水压力敏感性也越低。
裂隙岩石超声波速随水压力改变而出现非单调变化现象产生的原因有:一方面,压力水存在有利于超声波在岩石内部传播:1) 随着作用于饱和岩石的水压力增加,水持续进入岩石内部,岩石内部的少部分气体孔隙被水填充,岩石骨架之间的自由空间减小,导致整体的体积模量增大,这有利于超声波的传播。2) 水压力作用于岩石外部,发挥水围压效应,故岩石的超声波速增大[24]。但另一方面,水也是阻碍其传播的不利因素。1) 由于水对岩石具有溶解、溶蚀、软化等作用,导致岩石矿物颗粒之间联结减弱、弹性模量降低,使得裂隙岩石超声波速减小[14, 27]。2) 水影响超声波在岩石贯通裂隙面多次透反射,导致超声波的能量损耗增加,超声波速减小。3) 随着水压力增加,岩石黏聚力明显减小,进而导致岩石裂隙体积模量减小,超声波在传播过程中的能量损耗增大,不利于超声波传播[28-29]。
综上所述,在超声波的传播过程中,水通过多重效应共同影响裂隙岩石超声波速的变化特征。当水压力处于较低小时,水的增强效应占据主导地位,因此,岩石的超声波速度会相应增加。然而,当水压力增大到一定程度时,水压力对超声波传播产生的不利影响变得更加显著,导致岩石的超声波速度随之减小。
3.2 裂隙倾角对岩石超声波波速的影响
根据表2,可得裂隙岩石超声波波速随裂隙倾角的变化关系。超声波波速随裂隙倾角的变化如图10所示。由图10可以看出:当水压力确定时,岩石超声波波速受裂隙倾角的影响较大;随着裂隙倾角α增加,岩石超声波波速逐渐增加,且增加速率随着水压力增加而先减小后增加。
2025年9期/10.11817j.issn.1672-7207.2025.09.027/alternativeImage/A06DE30A-C8DD-4f44-B663-26506FA0E4A6-F010.jpg)
为了得到岩石超声波速与裂隙倾角之间的演化经验模型,对图10中的试验数据进行拟合。
2025年9期/10.11817j.issn.1672-7207.2025.09.027/alternativeImage/A06DE30A-C8DD-4f44-B663-26506FA0E4A6-M003.jpg)
式中:f、δ、λ为拟合参数。根据指数函数特点可得,f与δ之和表示岩石裂隙倾角α为0°时的超声波速,m/s。f表示特定水压力工况下超声波速的最小值;δ与λ共同控制超声波速随裂隙倾角的变化速率,δ为裂隙岩石超声波速角度变化率,λ为裂隙岩石超声波速角度变化系数。
由表5可以看出:随水压力增加,裂隙岩石超声波速最小值f先增加后降低,但裂隙岩石超声波速角度变化率δ先降低后增加,角度变化系数λ先减小后增大,这二者共同控制着裂隙岩石随裂隙倾角的变化速率。
| σw/MPa | f/(m·s-1) | δ/(m·s-1) | λ/(°) | R2 |
|---|---|---|---|---|
| 0 | 3 333 | 155 | 175.4 | 0.92 |
| 2.5 | 3 417 | 95 | 103.1 | 0.94 |
| 5.0 | 3 406 | 56 | 67.6 | 0.98 |
| 7.5 | 3 398 | 25 | 44.6 | 0.93 |
| 10.0 | 3 392 | 27 | 55.6 | 0.93 |
| 12.5 | 3 312 | 30 | 57.6 | 0.98 |
| 15.0 | 3 266 | 36 | 62.5 | 0.98 |
超声波在高水压裂隙岩石中传播时,其传播途径有2个:1) 穿过具有高压水的裂隙;2) 经过高水压高应力岩块。由于裂隙的长度相同,随着裂隙倾角增加,岩石横截面被裂隙截断的比例逐渐减小,当裂隙倾角α=0°时,试件横截面被截断尺寸为裂隙长度15 mm,而当裂隙倾角α=90°时,试件横截面被截断尺寸仅为裂隙厚度,1.5 mm。岩块与裂隙内高压水的波阻抗不同,超声波在裂隙处会发生多次透反射,这会降低超声波的传播速度,且随着岩石试件横截面被裂隙截断的比率增加,波速衰减的效果越明显。不仅如此,随着裂隙倾角增大,岩石超声波绕射路径缩短,意味着传播过程中超声波所需消耗的能量降低,更有利于超声波的传播。所以,随着裂隙倾角增加,岩石超声波速单调增大。
4 首波幅值的变化特性
首波幅值是超声波首波时域信号的最大值,对裂纹的敏感性明显大于波速[30],常用于表征岩石超声波传播与衰减特性。
4.1 水压力对岩石超声波首波幅值的影响
根据表3可得岩石超声波首波幅值与水压力的关系,如图11所示。由图11可以看出:完整岩石和裂隙岩石超声波首波幅值随水压力增加而持续减小,水压力对岩石超声波首波幅值具有衰减效应。
2025年9期/10.11817j.issn.1672-7207.2025.09.027/alternativeImage/A06DE30A-C8DD-4f44-B663-26506FA0E4A6-F011.jpg)
岩石超声波首波幅值随注水压力增加而增大,而从图11可以看出,裂隙岩石超声波首波幅值随水压力增加而减小,二者变化趋势完全相反,其主要原因在于文献[11]试验时施加水压力前对岩石试件施加三维应力,在三维应力的作用下,岩石孔隙被压密,水压力有利于超声波传播。在一维应力加载的高水压力环境下,岩石超声波首波幅值随水压力增加而单调减小,与文献[13]结论一致。
为定量研究红砂岩超声波首波幅值与水压力的关系,建立裂隙岩石超声波首波幅值与水压力的演化经验模型,对图11的试验结果进行拟合。
2025年9期/10.11817j.issn.1672-7207.2025.09.027/alternativeImage/A06DE30A-C8DD-4f44-B663-26506FA0E4A6-M004.jpg)
式中:A为岩石超声波首波幅值,mV;As为水压力等于零时裂隙岩石超声波首波幅值,mV;Kw为拟合参数,表示岩石超声波首波幅值随水压力变化的速度,为裂隙岩石超声波首波幅值的水压力衰减因子,mV/MPa。
利用式(4)拟合图11中的试验数据,拟合曲线与拟合参数结果分别如图11与表6所示。由图11与表6可以看出:由式(4)得到的超声波首波幅值试验值吻合程度较高,拟合参数相关系数均大于0.90。
| α/(°) | As/mV | Kw/(10-5 V·MPa-1) | R2 |
|---|---|---|---|
| 完整岩石 | 10.73 | -1.9 | 0.94 |
| 0 | 10.18 | -2.3 | 0.90 |
| 22.5 | 10.39 | -3.5 | 0.96 |
| 45.0 | 10.45 | -3.6 | 0.99 |
| 67.5 | 10.53 | -2.7 | 0.94 |
| 90.0 | 10.58 | -2.0 | 0.91 |
图12所示为裂隙岩石超声波首波幅值水压力衰减因子Kw随裂隙倾角α的变化曲线。由图12与表6可以看出:裂隙岩石水压力衰减因子Kw的绝对值均比完整岩石的大,即裂隙岩石衰减速率比完整岩石的大;随着裂隙倾角增大,Kw绝对值先增加后减小,这意味着随着裂隙倾角增大,超声波衰减速率先增加后降低,裂隙倾角为45°时超声波的衰减效果最强。根据单结构面强度效应与Mohr-Coulomb准则,当岩石内部的微裂隙或薄弱面与最大剪应力作用面重合即裂隙角度为45°+ϕ/2时(ϕ为岩石内摩擦角),岩石的强度达到最小;当裂隙角度为45°时,最接近破坏角度45°+ϕ/2,此时岩体的质量最差,所以,超声波首波幅值衰减速率最大。
2025年9期/10.11817j.issn.1672-7207.2025.09.027/alternativeImage/A06DE30A-C8DD-4f44-B663-26506FA0E4A6-F012.jpg)
裂隙岩石超声波首波幅值表征超声波在岩石内部传播能力。红砂岩具有一定的初始孔隙与预制裂隙,随着水压力增加,岩石内部的微裂纹被水填充,溶蚀作用、润滑作用(水分子取代岩石颗粒间的胶结物质,而岩石颗粒间的原有黏结方式变为水胶连结)导致裂隙岩石的波阻抗降低,不利于超声波传播[27]。根据有效应力原理,轴向有效应力随着水压力增加而减小,岩石整体弹性模量减小,超声波频散程度增强[31]。高水压力会加剧形成岩石微裂纹,原有微观孔隙演化为宏观裂纹,当超声波传播到这些位置时,超声波发生透反射现象增多[26],传播过程中损失的能量增多。综上所述,随着水压力增加,超声波衰减效果增强,所以,裂隙岩石超声波首波幅值随水压力增加而单调减小。
4.2 裂隙倾角对岩石超声波首波幅值的影响
根据表3可得,红砂岩超声波首波幅值随裂隙倾角的变化关系,如图13所示。由图13可以看出:裂隙倾角对岩石的超声波首波幅值影响显著,所有水压力工况下岩石超声波首波幅值随着裂隙倾角增加而逐渐增大。
2025年9期/10.11817j.issn.1672-7207.2025.09.027/alternativeImage/A06DE30A-C8DD-4f44-B663-26506FA0E4A6-F013.jpg)
为定量分析裂隙岩石超声波首波幅值与裂 隙倾角的关系,建立经验演化模型,利用式(5)对图13的试验数据进行拟合分析。
2025年9期/10.11817j.issn.1672-7207.2025.09.027/alternativeImage/A06DE30A-C8DD-4f44-B663-26506FA0E4A6-M005.jpg)
式中:A0为裂隙倾角为零时岩石的首波幅值,mV;Kα表示超声波首波幅值随裂隙倾角的变化速度,定义Kα为裂隙岩石首波幅值随裂隙倾角的强化因子,mV/(°)。
利用式(5)拟合图13的试验数据,拟合曲线和参数结果如图13与表7所示,拟合曲线与试验数据吻合度高,相关系数R2均大于0.90,这些均表明岩石超声波首波幅值与裂隙倾角α符合良好的线性关系。
| σw/MPa | A0/mV | Kα/(μV·(°)-1) | R2 |
|---|---|---|---|
| 0 | 10.25 | 3.73 | 0.92 |
| 2.5 | 10.15 | 4.44 | 0.90 |
| 5.0 | 10.07 | 4.75 | 0.97 |
| 7.5 | 10.00 | 4.80 | 0.96 |
| 10.0 | 9.95 | 4.86 | 0.97 |
| 12.5 | 9.89 | 4.89 | 0.90 |
| 15.0 | 9.73 | 5.07 | 0.91 |
由表7可得不同水压力工况下超声波首波幅值的裂隙倾角强化因子的变化趋势,如图14所示。由图14可以看出:随水压力增加,强化因子Kα先快速增加后缓慢发展,这表明水压力越大,裂隙倾角对首波幅值的增强效应也越大。
2025年9期/10.11817j.issn.1672-7207.2025.09.027/alternativeImage/A06DE30A-C8DD-4f44-B663-26506FA0E4A6-F014.jpg)
根据有效应力原理,水压力能够抵消部分轴向应力,水压力越大,岩石骨架所承受的实际应力越小,有效应力减小有助于提升岩石强度,有利于超声波的传播;水压力增加还会导致作用于岩石的环向作用力增加,使得岩石的环向变形受到限制,即水围压效应随之增强,这同样有利于超声波的传播。综上所述,水压力越大,水压力对超声波首波幅值的增强效应越显著。
在水压力或裂隙倾角变化时,首波幅值与水压力、裂隙倾角之间存在良好的线性关系。首波幅值对于水压力或裂隙特征变化的敏感性更强,有力地证明了首波幅值相比于超声波速更适合于岩石裂隙特征反演及损伤演化表征。
5 结论
1) 在所有工况下,裂隙岩石超声波首波形状相似,但会出现波形偏移现象。当水压力从0增加至2.5 MPa时,裂隙岩石超声波首波波形向左偏移,起跳时间提前;当水压力继续增加至15 MPa时,超声波首波波形整体向右偏移,起跳时间延迟。随着裂隙倾角增加,超声波首波向左偏移,起跳点时间提前。
2) 裂隙岩石超声波波速随水压力增加而先增加后降低,二者呈高斯函数关系,临界水压力随裂隙倾角增加而单调增加;岩石超声波波速随裂隙倾角增加而呈指数函数增加,增长速率随水压力增加而先增大后减小。
3) 岩石超声波首波幅值衰减效应受水压力与裂隙倾角影响。随着水压力增加,裂隙岩石超声波首波幅值呈线性减小,裂隙倾角影响首波幅值随水压力变化率,且裂隙倾角α为45°时变化率最大;随裂隙倾角增加,首波幅值呈线性增加,水压力越大,首波幅值随裂隙倾角的增长速率越快。
4) 水压力对岩石超声波传播具有双重效应,一是有助于提高岩石的含水率,增加岩石等效体积模量,有利于超声波传播,二是促进微裂纹萌生与扩展,导致超声波传播过程中能量损失增大,不利于超声波传播。随着裂隙倾角增加,超声波绕射路径距离减小,传播过程中的能量损耗降低,有利于超声波的传播。
金解放, 刘希望, 阙海辉, 等. 高水压和裂隙倾角对红砂岩超声波时域传播与衰减特性的影响[J]. 中南大学学报(自然科学版), 2025, 56(9): 3884-3897.
JIN Jiefang, LIU Xiwang, QUE Haihui, et al. Effects of high water pressure and fracture inclination on time-domain propagation and attenuation characteristics of ultrasound in red sandstones[J]. Journal of Central South University(Science and Technology), 2025, 56(9): 3884-3897.
http://dx.doi.org/10.11817/j.issn.1672-7207.2025.09.027

