船用柴油机排气系统在工作过程中会产生高温废气,这些高温废气不仅会影响船舶工作人员的日常生产生活,还会对船舶周围的环境造成污染。对应用于军事领域的船舶来说,高温废气会严重影响舰船的隐身性能。因此,对于船用柴油机排气系统常采用喷水降温的方法对排气系统进行降温处理[1-3]。喷水降温一般通过雾化喷嘴来实现,在我国工业技术领域常用的雾化喷嘴分为单流体喷嘴和双流体喷嘴[4]。单流体喷嘴结构简单、成本低,但其雾化效果较差;而双流体喷嘴雾化效果良好、不易堵塞且使用寿命长[5]。
内混式空气雾化喷嘴是双流体喷嘴的一种类型,其工作原理是将气体和液体在喷嘴内部混合,然后压缩空气,对液体形成剪切和碰撞作用,使液体雾化成细小液滴再经喷嘴出口喷出。内混式空气雾化喷嘴相较于外混式空气雾化喷嘴具有雾化效果好、耗水量少和喷雾均匀等优点[6]。对于柴油机排气系统而言,雾化效果是影响降温的关键因素,因此,喷嘴雾化过程的研究就显得尤为重要。
随着计算流体动力学仿真技术的快速发展,许多学者利用模拟仿真技术对喷嘴的流场流动特性进行研究。当前,喷嘴雾化过程数值模拟的方法主要有两类:流体体积法(volume of fluid, VOF)与离散相法(discrete phase model, DPM)。
流体体积法(VOF)可以通过跟踪流体的运动和界面演变,计算流体单元体的运动和变形[7]。张奎等[8]利用流体体积法分析了喷嘴内部流动状况对下游雾化效果的影响,通过改变气液压力比观察喷嘴内部流动状况,并通过试验验证了喷嘴内部流动状况对下游喷雾发展具有较大影响。CHEN等[9]将大涡模拟和流体体积法相结合对压力旋流喷嘴的流动特性进行多目标优化,发现喷孔直径虽然是影响压力旋流喷嘴雾化角的关键因素,但空气芯的形成主要受液体入口压力和黏度的影响。HAN等[10]通过流体体积法模拟了内混式空气雾化喷嘴的雾化特性,并通过试验对不同水压下喷嘴的降尘效率进行了研究,发现随着供水压力的增大,总粉尘和呼吸性粉尘的降尘效率均出现先增大后减小的趋势。流体体积法对于多相流相间界面流动的捕获是很精确的,但对于界面形变极大或界面破碎的场景,可能会导致数值扩散,影响界面捕捉精度。
离散相法(DPM)用于模拟离散相(颗粒、液滴、气泡等)在连续相中的运动及其与连续相的相互作用[11]。能够处理如蒸发、冷凝、沉积等多种颗粒与流体的耦合效果。ROBERTS等[12]使用离散相模型对现有喷雾试验数据进行了评估。ZHAO等[13]利用离散相模型模拟了压力螺旋喷嘴的雾化特性,并利用试验数据对仿真结果进行修正,使模拟结果更加精确。陈波[14]利用离散相法对气液双流体喷嘴雾化流场进行数值模拟,然后将模拟结果与试验结果进行对比,发现数值仿真与试验喷雾锥角的变化没有表现出良好的一致性,离散相法在喷雾锥角预测方面还存在不足。白鹏博等[15]通过离散相模型对喷嘴混合段和外流场的粒径变化展开研究,发现对于气液两相内混式喷嘴而言,气压为影响粒径的主要因素。离散相法可以对破碎雾化后的液滴粒子在流场中的运动进行追踪计算,但不能对喷嘴的初次破碎进行预测,其仿真结果与试验结果通常存在差异。
VOF-to-DPM模型结合了流体体积法和离散相法的优点,能够对喷嘴雾化的全过程进行模拟仿真。SHI等[16]采用VOF-to-DPM模型,模拟了周期性工况下气液针栓式喷嘴的雾化过程,发现液体射流破碎机理可分为瑞利-泰勒不稳定性引起的柱状破碎和开尔-亥姆霍兹不稳定性引起的表面破碎。DONG等[17]基于VOF-to-DPM模型对不同喷射压降下双孔离心喷嘴主次燃料通道的液膜演变过程进行了研究,发现低韦伯数下锥形液膜的破碎机制主要是波浪破碎,高韦伯数下主要是湍流破碎。HARIZI等[18]通过VOF-to-DPM模型对溢流回流式喷嘴的内部流场、一次雾化和二次雾化进行了研究,并比较了大涡模拟与SST k-ω模型(k-omega shear stress transport turbulence medel)结合VOF模型和网格自适应方法对液核破碎进行预测,发现使用VOF-to-DPM模型得到的仿真结果与试验结果相比,相对误差小于7.3%。刘爱虢等[19]分析了不同压力对喷嘴出口处空气芯直径和液膜厚度的影响,并通过试验对仿真结果进行验证,结果表明VOF-to-DPM模型可以真实反映喷嘴的内部流动和外部雾化。
为了研究进气压力对内混式空气雾化喷嘴雾化过程的影响,本文采用VOF-to-DPM模型对喷嘴内部气液流动、液膜破碎和液滴雾化进行分析,探究不同进气压力对喷嘴雾化效果的影响,以便为雾化喷嘴的选型、结构优化和研发设计提供参考。
1 数值计算模型
1.1 喷嘴几何模型
本文所研究的目标喷嘴主要应用于高温气体 降温领域,内混式雾化喷嘴相较于单流体喷嘴和外混式雾化喷嘴,具有雾化效率高、液滴分布均匀等优点,因此,选用图1所示的内混式雾化喷嘴作为研究对象。喷嘴的总长为25 mm,宽度为32 mm;喷嘴进水口直径为12 mm;进气口共6个,直径为3.2 mm,均匀分布在进水口外围的圆周上;喷嘴出口共6个,直径为2.5 mm。喷嘴在工作过程中,液态水经进水口进入,与经进气口进入的压缩空气在喷嘴内部的气水混合腔混合,压缩空气对液柱产生破碎雾化后经喷嘴出口喷出。
2025年9期/10.11817j.issn.1672-7207.2025.09.033/alternativeImage/A063E5C6-5648-4d1e-9FCB-9C13B4949A02-F001.jpg)
1.2 控制方程
VOF模型的核心在于通过求解相的体积分数来描述流体界面的位置和动态变化,两相之间的界面追踪如式(1)所示[20]。
2025年9期/10.11817j.issn.1672-7207.2025.09.033/alternativeImage/A063E5C6-5648-4d1e-9FCB-9C13B4949A02-M001.jpg)
式中:2025年9期/10.11817j.issn.1672-7207.2025.09.033/alternativeImage/A063E5C6-5648-4d1e-9FCB-9C13B4949A02-M002.jpg)
2025年9期/10.11817j.issn.1672-7207.2025.09.033/alternativeImage/A063E5C6-5648-4d1e-9FCB-9C13B4949A02-M003.jpg)
2025年9期/10.11817j.issn.1672-7207.2025.09.033/alternativeImage/A063E5C6-5648-4d1e-9FCB-9C13B4949A02-M004.jpg)
流体的动量方程如式(2)所示。
2025年9期/10.11817j.issn.1672-7207.2025.09.033/alternativeImage/A063E5C6-5648-4d1e-9FCB-9C13B4949A02-M005.jpg)
式中:p为压力,Pa;2025年9期/10.11817j.issn.1672-7207.2025.09.033/alternativeImage/A063E5C6-5648-4d1e-9FCB-9C13B4949A02-M006.jpg)
2025年9期/10.11817j.issn.1672-7207.2025.09.033/alternativeImage/A063E5C6-5648-4d1e-9FCB-9C13B4949A02-M007.jpg)
2025年9期/10.11817j.issn.1672-7207.2025.09.033/alternativeImage/A063E5C6-5648-4d1e-9FCB-9C13B4949A02-M008.jpg)
2025年9期/10.11817j.issn.1672-7207.2025.09.033/alternativeImage/A063E5C6-5648-4d1e-9FCB-9C13B4949A02-M009.jpg)
2025年9期/10.11817j.issn.1672-7207.2025.09.033/alternativeImage/A063E5C6-5648-4d1e-9FCB-9C13B4949A02-M010.jpg)
2025年9期/10.11817j.issn.1672-7207.2025.09.033/alternativeImage/A063E5C6-5648-4d1e-9FCB-9C13B4949A02-M011.jpg)
式中:2025年9期/10.11817j.issn.1672-7207.2025.09.033/alternativeImage/A063E5C6-5648-4d1e-9FCB-9C13B4949A02-M012.jpg)
2025年9期/10.11817j.issn.1672-7207.2025.09.033/alternativeImage/A063E5C6-5648-4d1e-9FCB-9C13B4949A02-M013.jpg)
2025年9期/10.11817j.issn.1672-7207.2025.09.033/alternativeImage/A063E5C6-5648-4d1e-9FCB-9C13B4949A02-M014.jpg)
2025年9期/10.11817j.issn.1672-7207.2025.09.033/alternativeImage/A063E5C6-5648-4d1e-9FCB-9C13B4949A02-M015.jpg)
DPM模型通过求解单个液滴的运动方程,跟踪离散相液滴的运动轨迹,其运动方程可根据牛顿第二定律即式(5)来表示[21]。
2025年9期/10.11817j.issn.1672-7207.2025.09.033/alternativeImage/A063E5C6-5648-4d1e-9FCB-9C13B4949A02-M016.jpg)
式中:mp为液滴质量,kg;2025年9期/10.11817j.issn.1672-7207.2025.09.033/alternativeImage/A063E5C6-5648-4d1e-9FCB-9C13B4949A02-M017.jpg)
2025年9期/10.11817j.issn.1672-7207.2025.09.033/alternativeImage/A063E5C6-5648-4d1e-9FCB-9C13B4949A02-M018.jpg)
2025年9期/10.11817j.issn.1672-7207.2025.09.033/alternativeImage/A063E5C6-5648-4d1e-9FCB-9C13B4949A02-M019.jpg)
2025年9期/10.11817j.issn.1672-7207.2025.09.033/alternativeImage/A063E5C6-5648-4d1e-9FCB-9C13B4949A02-M020.jpg)
2025年9期/10.11817j.issn.1672-7207.2025.09.033/alternativeImage/A063E5C6-5648-4d1e-9FCB-9C13B4949A02-M021.jpg)
雾化液滴的直径通过索特平均直径D32来评价,其主要从液滴体积与表面积的关系角度来描述雾化液滴的平均直径,如式(6)所示[22]。
2025年9期/10.11817j.issn.1672-7207.2025.09.033/alternativeImage/A063E5C6-5648-4d1e-9FCB-9C13B4949A02-M022.jpg)
式中:N为直径为D的液滴数量;Dmax、Dmin分别为所有雾化液滴中的最大和最小直径,mm。
仿真计算所采用的主要子模型和计算方法如表1所示。
| 模型/数值方法 | 机理 |
|---|---|
| 多相流模型 | VOF-to-DPM |
| 湍流模型 | SST k-omega SBES |
| 破碎模型 | KH-RT |
| 压力速度耦合 | Coupled |
| 压力离散化方法 | PRESTO! |
| 体积分数离散化方法 | Geo-Reconstruct |
| 动量离散化方法 | Bounded Central Differencing |
VOF-to-DPM模型通过自动探测脱离液相核心区域的液体,并采用粒径和球形度系数评估其是否满足转换标准。当液滴直径小于1 mm、球形度系数为0.5时,在VOF模型中去除该部分液相质量,并在拉格朗日体系中将该部分质量转化为颗粒包[23]。该模型结合了VOF模型预测初始射流及其破碎过程的能力和DPM模型跟踪液滴运动轨迹的精确性。
1.3 计算工况
多相流模型中主相材料为空气,次相材料为水,其物性参数如表2所示。
| 参数 | 空气 | 水 |
|---|---|---|
| 密度/(kg·m-3) | 1.225 | 998.2 |
| 黏度/(kg·m-1·s-1) | 1.789 4×10-5 | 0.001 |
| 初始温度/℃ | 15 | 20 |
| 表面张力/(N·m-1) | — | 0.072 |
由于水具有不可压缩性,水从水泵到喷嘴入口的压力损失较小,因此,进水口采用压力入口。而空气在流动过程中沿程损失和局部损失都比较大,采用涡轮流量计对进入喷嘴前的空气流量进行测量,然后,将气流量转化为质量流量,因此,进气口采用质量流量入口。出口采用压力出口,设置为大气压力。壁面边界条件设置为静止壁面,剪切条件为无滑移,边界条件设置示意图如图2所示。
2025年9期/10.11817j.issn.1672-7207.2025.09.033/alternativeImage/A063E5C6-5648-4d1e-9FCB-9C13B4949A02-F002.jpg)
在试验中由于疏水装置限制了水泵的压力范围为0~0.2 MPa,空气压缩机可以提供的压力范围为0~0.8 MPa,因此,为了与试验进行对比验证,仿真所采取的主要工况如表3所示。
| 工况 | 气压/MPa | 气体流量/(kg·s-1) | 液压/MPa |
|---|---|---|---|
| 1 | 0.2 | 0.006 252 | 0.2 |
| 2 | 0.4 | 0.008 178 | |
| 3 | 0.6 | 0.009 888 | |
| 4 | 0.8 | 0.014 040 |
1.4 网格无关性验证
网格划分选择六面体与多面体结合的方法,对近喷嘴区域利用BOI网格加密方法对喷嘴流动区域进行加密,并且在计算过程中采用网格自适应功能,计算流体区域的网格划分如图3所示。
2025年9期/10.11817j.issn.1672-7207.2025.09.033/alternativeImage/A063E5C6-5648-4d1e-9FCB-9C13B4949A02-F003.jpg)
在模拟仿真计算中,网格独立性的验证对于保证仿真结果的准确性至关重要。因此,在工况2的边界条件下,分别选取了数量为33万、92万、154万和216万个网格进行数值计算,观察不同网格数量对喷嘴雾化角度和粒径的影响,计算所得的雾化角度和粒径如表4所示。从表4可以看出:33万个网格数量下的雾化角度和粒径与92万、154万和216万个时相比相差较大,其他3种网格数量下的雾化角度和粒径基本相同。综合考虑仿真精度和计算成本,选择154万个网格进行仿真计算。
| 网格数/万个 | 索特平均直径/μm | 雾化角/(°) |
|---|---|---|
| 33 | 56.44 | 63.0 |
| 92 | 63.43 | 70.2 |
| 154 | 63.90 | 70.6 |
| 216 | 63.36 | 70.4 |
2 模型验证
为了验证VOF-to-DPM模型用于模拟喷嘴雾化的准确性,通过自行搭建的试验平台对雾化角度和粒径分布进行测量。其中雾化图片通过美国IDT公司设计生产的Y4-S1型号高速相机拍摄得到,雾化角度则通过Python对雾化图片进行处理得到,雾化粒径通过英国马尔文公司生产的3000型号的激光粒度仪测得。仿真粒径从Fluent模型树结果选项卡中得到,其粒径为整个雾化场中的液滴粒径,仿真的雾化角度通过CAD测量工具测得。
在水压Pl为0.2 MPa、气压Pg为0.2~0.8 MPa的工况下,对不同进气压力下仿真和试验雾化过程进行对比,对比结果如图4所示。
2025年9期/10.11817j.issn.1672-7207.2025.09.033/alternativeImage/A063E5C6-5648-4d1e-9FCB-9C13B4949A02-F004.jpg)
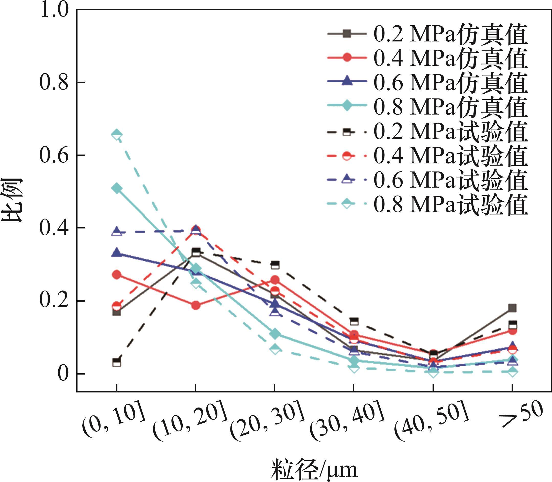
图5所示为仿真与试验粒径分布对比图。从图5可见:随着进气压力的升高,数值模拟和试验测得的粒径都在0~10 μm范围内逐渐升高,在大于50 μm时降低,试验与仿真的变化趋势基本一致。结合图4和图5可以看出仿真结果在一定程度上能直接反映出内混式空气雾化喷嘴的雾化角度和粒径分布。
2025年9期/10.11817j.issn.1672-7207.2025.09.033/alternativeImage/A063E5C6-5648-4d1e-9FCB-9C13B4949A02-F005.jpg)
表5所示为雾化角度和索特平均粒径的仿真与试验数据对比。从表5可以看出:计算得到试验与仿真的雾化角度最大相对误差为3.95%,索特平均粒径最大相对误差为7.83%。总体而言,仿真结果能够反映实际的雾化效果,可以对内混式空气雾化喷嘴的雾化过程展开研究。
| 气压/MPa | 雾化角度/(°) | 索特平均直径/μm | ||
|---|---|---|---|---|
| 仿真 | 试验 | 仿真 | 试验 | |
| 0.2 | 68.6 | 68.68 | 78.13 | 72.46 |
| 0.4 | 70.6 | 71.38 | 63.90 | 61.32 |
| 0.6 | 72.5 | 72.48 | 44.53 | 42.22 |
| 0.8 | 76.6 | 73.69 | 28.05 | 26.44 |
3 数值模拟结果与分析
3.1 气体压力对喷嘴内部液相流动特性分析
为研究气体压力对喷嘴的气水混合腔内液相表面的影响情况,取液相体积分数50%为等值液面,分析当液压为0.2 MPa,气压分别为0.2、0.4、0.6和0.8 MPa时,不同工况下等值液面随时间的变化情况,如图6所示。从图6可以看出:在同一时间内,随着进气压力的提高,气体对液相表面的波动越来越剧烈。
2025年9期/10.11817j.issn.1672-7207.2025.09.033/alternativeImage/A063E5C6-5648-4d1e-9FCB-9C13B4949A02-F006.jpg)
当t=0.05×10⁻3 s时,工况1下液相表面基本上没有变化,但工况4下液相表面前端开始由中心向四周扩张;当t=0.1×10⁻3 s时,4种工况下液相表面都开始出现扰动波纹,工况4下射流前端向四周扩张程度进一步加大;当t=0.2×10⁻3 s时,工况1和2下液相表面扰动波纹进一步加深,但此时液相表面并未产生破碎。工况3与4下液相表面开始形成不稳定波,呈现“褶皱”和“坑洼”状(图6红色方框所圈区域),液丝液线开始从液相表面脱落(图6中蓝色方框所圈区域),但工况4下液相表面整体的变形程度比工况3的大;当t=0.3×10⁻3 s时,4种工况下的液相表面均开始产生破碎,但工况1的液相表面发生破碎的程度较小,工况2与3下液相表面整体发生破碎,工况4下,在气水混合腔入口处的液相表面发生剧烈波动,有大量液丝和液线从液相表面脱落(图6中黑色方框所圈区域)。
从图6可以看出:工况4下液相表面的破碎程度最大,随着时间的增加,气体压力对液相表面的作用力逐渐变大,液相表面的波动幅度越来越大,液相表面由较为平整逐渐发展成“褶皱”和“坑洼”状。为了探究工况4下液膜变形的具体原因,对比了4种工况下喷嘴中心轴线截面流体区域的流速矢量图,以更好地反映流体的运动状态和特性,如图7所示。
2025年9期/10.11817j.issn.1672-7207.2025.09.033/alternativeImage/A063E5C6-5648-4d1e-9FCB-9C13B4949A02-F007.jpg)
从图7可以看出:在4种工况下,气体流入气水混合腔时,喷嘴几何结构对气体产生加速作用(图7红色框线所圈区域),这是由于气体流经截面缩小处时,会使流体速度突然变快,产生“文丘里”效应,这种效应会导致扰动、形成涡流[24]。对比4种工况可以发现:随着进气流量的提高,图7中黑色圆形区域内产生的扰动和涡流越来越剧烈,涡流覆盖的范围越来越大;在气水混合腔入口处,工况1~3下因涡流引起的气流方向改变范围有限;而工况4下产生涡流后有较大区域的气流以一定角度作用于液相表面,导致气体对液相表面产生剪切作用,加速了工况4下液相表面的破碎变形,使得工况4中液相表面的破碎程度最大。
3.2 进气压力对雾化特性分析
韦伯数(weber number)是判断液滴破碎模式和雾化效果的核心参数,它用于表征气液两相的惯性力与表面张力的竞争关系。程会川等[25]在液体雷诺数为4 500的条件下,重点分析了韦伯数We为70~18 650时紧耦合雾化喷嘴的初始破碎模式、初始破碎程度。韦伯数We表达式如下:
2025年9期/10.11817j.issn.1672-7207.2025.09.033/alternativeImage/A063E5C6-5648-4d1e-9FCB-9C13B4949A02-M023.jpg)
式中:2025年9期/10.11817j.issn.1672-7207.2025.09.033/alternativeImage/A063E5C6-5648-4d1e-9FCB-9C13B4949A02-M024.jpg)
2025年9期/10.11817j.issn.1672-7207.2025.09.033/alternativeImage/A063E5C6-5648-4d1e-9FCB-9C13B4949A02-M025.jpg)
2025年9期/10.11817j.issn.1672-7207.2025.09.033/alternativeImage/A063E5C6-5648-4d1e-9FCB-9C13B4949A02-M026.jpg)
气液平均速度差值通过式(7)求得。
2025年9期/10.11817j.issn.1672-7207.2025.09.033/alternativeImage/A063E5C6-5648-4d1e-9FCB-9C13B4949A02-M027.jpg)
式中:2025年9期/10.11817j.issn.1672-7207.2025.09.033/alternativeImage/A063E5C6-5648-4d1e-9FCB-9C13B4949A02-M028.jpg)
2025年9期/10.11817j.issn.1672-7207.2025.09.033/alternativeImage/A063E5C6-5648-4d1e-9FCB-9C13B4949A02-M029.jpg)
根据上述公式对不同进气压力下的韦伯数进行计算,计算结果见表6。
| 气压/MPa | 气、液平均速度差值/(m·s-1) | 韦伯数 | 液体入口直径/m |
|---|---|---|---|
| 0.2 | 62.89 | 403 | 6×10-3 |
| 0.4 | 79.48 | 644 | |
| 0.6 | 93.34 | 889 | |
| 0.8 | 121.00 | 1 494 |
图8所示为当t=3×10⁻4 s时不同韦伯数We下液滴雾化过程。从图8可以看出:当We为403时,气体对液膜冲击相对较小,液膜前后端直径基本保持一致,只有液膜前端和后端由于气流冲击产生飞溅破碎,在此过程中产生较少数量的液滴;当We为644时,表面张力已经无法维持液膜表面完整性,液膜出现向中间渐缩的趋势,液膜四周开始产生边缘破碎,在靠近入口处,部分液滴被碎裂为小液滴,在此过程中产生的液滴数量明显增多;当We为889时,液膜表面整体失稳,出现波动破碎,经波峰剥离的液丝、液线迅速破裂为液滴,部分液滴发生二次雾化,液滴被混合破碎;当We为1 494时,表面张力效应可以忽略,液膜表面受到高速气流剪切作用,整体变形极大,更多大直径液滴从液膜表面被剪切,并在极短时间内产生二次雾化,液滴被完全破碎。
2025年9期/10.11817j.issn.1672-7207.2025.09.033/alternativeImage/A063E5C6-5648-4d1e-9FCB-9C13B4949A02-F008.jpg)
We为1 494时液滴发生二次雾化的具体演变过程如图9所示。从图9可以看出:由于气水混合腔入口处气体的剪切作用,使得大量液滴在此处产生;在射流表面前端,由于惯性力和重力的作用,也会使得液滴从液膜表面脱落,脱落的液滴在气体作用下被分散成更小的液滴。因此,内混式空气雾化喷嘴的雾化过程主要分为初次雾化和二次雾化。在初次雾化过程中,液丝、液线从液膜上脱落下来形成较体积大的液滴;二次雾化过程中体积较大的液滴受到气体的作用,进一步破碎形成小液滴。
2025年9期/10.11817j.issn.1672-7207.2025.09.033/alternativeImage/A063E5C6-5648-4d1e-9FCB-9C13B4949A02-F009.jpg)
由于不同韦伯数下气体对喷嘴内部液相表面破碎的程度不一样,因此,会导致不同工况喷嘴的雾化情况有所差异。为对比不同工况的雾化情况,在1个时间步长内,计算域雾化液滴数量的变化幅值低于0.001,喷嘴内部气体对液相表面的破碎作用达到了稳定,观察此时喷嘴的雾化情况。不同工况下雾化液滴的空间和粒径分布情况如图10所示。
2025年9期/10.11817j.issn.1672-7207.2025.09.033/alternativeImage/A063E5C6-5648-4d1e-9FCB-9C13B4949A02-F010.jpg)
从图10可以看出:雾化液滴粒径随着进气压力的提高而逐渐降低,当气体压力从0.2 MPa提高到0.8 MPa时,液滴粒径的主要分布范围从20~50 μm降至0~20 μm。其原因可结合表6和图8来解释:随着气压的升高,当韦伯数从403增长到1 494时,韦伯数较高时液滴更容易从液膜表面脱落,且初次脱落的液滴在高气压下更容易实现二次雾化使液滴粒径变小。从图10还可以看出随着进气压力的提高,液滴在外部空间分布上存在明显的差别,雾化液滴空间覆盖范围随液滴数量的增多而逐渐变大。在4种工况下,经VOF-to-DPM模型得到的液滴数量分别为4.5万、24万、38万和64万个。
图11所示为4种工况下粒径和雾化角度变化情况。从图11可以看出:随着进气压力的提高,雾化所得粒径逐渐变小,4种工况下索特平均直径最大为78.13 μm、最小为28.05 μm,雾化角度随着雾化覆盖范围的扩大而增大,最大为76.6°。
2025年9期/10.11817j.issn.1672-7207.2025.09.033/alternativeImage/A063E5C6-5648-4d1e-9FCB-9C13B4949A02-F011.jpg)
4 结论
1) 气体在喷嘴内部流动时会产生“文丘里”效应,这种效应会导致扰动、形成涡流,且随着气压的升高,气体对液相表面的剪切作用增强,使液相表面呈现“褶皱”和“坑洼”状。
2) 进气压力会对液膜破碎和液滴雾化产生影响。当气体压力从0.2 MPa提高到0.8 MPa时,韦伯数从403增长到1494,液膜从飞溅破碎过渡到高速气流剪切破碎。当韦伯数较高时,经液膜脱落的液滴在极短时间内发生二次雾化,雾化产生的液滴数量增多、直径减小。
3) 随着进气压力的提高,液滴粒径的主要分布范围从20~50 μm降至0~20 μm。喷嘴的雾化角度随进气压力的升高而变大,最大为76.6°。液滴的索特平均直径随进气压力的提高而逐渐降低,最小为28.05 μm。
陈梦超, 邓鹏, 胡谊, 等. 内混式空气雾化喷嘴雾化过程仿真研究[J]. 中南大学学报(自然科学版), 2025, 56(9): 3958-3967.
CHEN Mengchao, DENG Peng, HU Yi, et al. Simulation study on atomization process of internal mixing air atomizer[J]. Journal of Central South University(Science and Technology), 2025, 56(9): 3958-3967.
http://dx.doi.org/10.11817/j.issn.1672-7207.2025.09.033

