氢能被认为是世界上最具前景的清洁、可持续的能源载体之一,对于构建清洁、低碳、安全、高效的能源体系以及实现碳达峰和碳中和目标具有重要意义[1-3]。电解水制氢因其技术成熟、原料丰富和低碳环保等优势而受到广泛关注[4-5]。电解水制氢电极表面会产生大量微米/纳米尺度的氢气泡,且这些氢气泡的生长和附着会覆盖电极表面,减少实际电化学反应面积,使反应过电位增加,最终导致能量转化效率下降[6]。随着纳米尺度催化剂构筑技术的快速发展,深入研究电解水制氢过程中氢纳米气泡的相关动力学演化行为尤为重要,特别是对其成核、生长和脱离等过程的研究,从分子角度理解和控制氢纳米气泡动态变化过程的机理和影响因素是设计高效电解水制氢催化过程和催化材料的关键。
为深入研究氢纳米气泡在电极表面的动态演变行为,诸多学者在特定条件下采用电化学方法对纳米气泡进行检测和表征,纳米电极已成为能够对单个纳米气泡进行定量研究的独特工具[7-9]。电化学试验的空间和时间分辨率不足,难以发现电极表面纳米气泡成核和生长等行为的更多细节,尤其是如何控制纳米气泡的产生及演变等。而分子动力学(molecular dynamics,MD)模拟具有解决这些问题的空间和时间分辨率,目前已有学者采用MD模拟对电极表面由电化学反应产生纳米气泡动力学行为进行研究与探讨。PEREZ等[10]利用MD模拟研究了电化学生成纳米气泡的成核和稳态行为机制。MA等[11]通过MD模拟和理论提出了控制电极表面纳米气泡行为的动态平衡模型。XI等[12]通过MD模拟研究揭示了电极表面纳米气泡的成核、生长和稳定状态的演化。ZHANG等[13]采用MD模拟研究了润湿性纳米电极上单个氢纳米气泡的扩散控制演化规律,探究了区分稳定和不稳定这2种典型状态下氢纳米气泡的阈值电流密度。目前相关电化学试验和MD模拟中均认为电极表面产生的氢纳米气泡主要经历成核、生长和长期稳定等过程,并以BRENNER等[14-15]提出并建立的控制纳米气泡内部气体分子数量的动态平衡理论为依据,合理解释了纳米气泡在生长后期保持稳定状态的相关机制。
近年来,ZHANG等[13, 16]通过MD模拟研究发现,设定特定的润湿性电极表面会使产生的氢纳米气泡在生长后期变得不稳定,并且当超过一定的电流时,纳米气泡会持续增大到一定程度,最终脱离电极表面。该研究还发现了电解水制氢纳米电极表面的单个纳米气泡存在不稳定状态的新现象,对过去其他MD模拟研究中关于生长后期只存在稳定状态纳米气泡的观点提出了质疑。究其原因,过去的MD模拟研究对于电极润湿性影响氢纳米气泡行为的研究非常少,这些研究只是简单限定了电极表面润湿性能,对不同润湿程度电极表面的影响缺乏深入探讨。XI等[12]研究了不同润湿性平面纳米电极对氢纳米气泡成核和生长等过程的影响,但没有发现不稳定纳米气泡行为的存在,这是由于纳米电极和周边固体板共同组成的基底材料的相对润湿程度参数还有待深入探索。
过去大多数关于电解制氢纳米气泡行为的研究都聚焦于光滑平面电极表面,而当前相关研究更加注重构筑新型几何粗糙结构的纳米尺度电极[16-18]以提高电解催化效率。LIU等[19]通过MD模拟发现表面粗糙度不仅影响氢纳米气泡的成核位置和形态,而且影响纳米气泡的生长速率和稳定性。XI等[12]研究了凹、凸球面电极结构对纳米气泡动力学行为所产生的不同影响,发现凸球面电极表面氢纳米气泡成核速度比凹球面电极结构的快,且平面电极表面的经典成核理论在球面电极表面也同样适用。MAHESHWARI等[20]通过MD模拟发现纳米气泡成核所需的气体分子过饱和浓度取决于电极表面粗糙结构。NIE等[21]基于MD模拟发现凹球电极会限制水分子向电极表面接触线的流动。
综上所述,目前关于电解水制氢过程纳米气泡的研究主要集中在成核、生长特性和稳定性方面,而关于促进氢纳米气泡从电极表面高效脱离的研究相对较少。为此,本文采用分子动力学模拟方法,研究了电极润湿性和转化速率(化学反应速率)对氢纳米气泡动力学行为的影响,并进一步探讨影响氢纳米气泡从电极表面脱离的控制条件,比较了氢纳米气泡在3种不同粗糙结构电极(平面、凹柱、凹锥)表面上的动态生长和脱离行为的区别及其机理。
1 模型与方法
1.1 物理模型构建
为模拟单个纳米电极系统电化学反应中单个氢纳米气泡的演化动力学行为,本研究构建的三维盒子模型的长×宽×高为1.03×10-8 m(x)×1.03×10-8 m(y)×1.80×10-8 m(z),如图1所示。从图1(a)可见:模拟体系由3部分组成,由下至上分别为固体层(包括电极及其周边固体板)、液体层和真空层。电极由类铂原子(Pt)组成(由紫色原子表示),采用晶格常数为5×10-10 m的面心立方(FCC)结构排列,形成半径为2.5×10-9 m、高度为1×10-9 m的圆柱体区域。周边固体板由无定形二氧化硅分子组成(由黄色原子表示),镶嵌在电极周围区域,其表面不发生电化学反应。液体层高度设置为1×10-8 m,约含35 291个水分子。在模拟过程中,随着活性电极表面(未被氢纳米气泡覆盖的电极区域)连续不断地产生氢气体分子,模拟系统的内部压力会随之发生变化。因此,在模型顶部设置高度为7×10-9 m的真空层,在调节系统压力保证三维模拟盒子体积恒定的同时,也能够容纳从液相中扩散出的气体分子。三维盒子模型在3个方向均设置为周期性边界条件,即当中心盒子中的任意粒子跨越边界进入其他镜像区域时,该粒子将以相同速度从相对方向返回到中心盒子,从而确保系统内粒子数量守恒。此外,为尽量模拟真实的电化学反应过程,在电极上方2.5×10-10 m处设置了一个与电极表面积相同的反应源区域,只有当该反应源区域内的水分子接触到活性电极原子时,水分子才会以一定速率成功转化为氢气体分子。
2025年9期/10.11817j.issn.1672-7207.2025.09.034/alternativeImage/152C2539-8096-439a-80DD-C4502F52767D-F001.jpg)
1.2 力场选择及参数设置
在本模型中,所有分子均采用单原子粗粒化建模方法,水分子采用monatomic water(mW)模型[22-23],水分子之间的相互作用通过stillinger-weber(SW)势函数[24]中的三体势函数进行计算,其他原子之间的相互作用则通过二体势函数进行计算,在提高计算精度的同时降低计算成本。具体势函数U(r)表达式如下所示。
2025年9期/10.11817j.issn.1672-7207.2025.09.034/alternativeImage/152C2539-8096-439a-80DD-C4502F52767D-M001.jpg)
2025年9期/10.11817j.issn.1672-7207.2025.09.034/alternativeImage/152C2539-8096-439a-80DD-C4502F52767D-M002.jpg)
2025年9期/10.11817j.issn.1672-7207.2025.09.034/alternativeImage/152C2539-8096-439a-80DD-C4502F52767D-M003.jpg)
式中:φ2(r)为二体势函数;φ3(r,s,θ)为三体势函数;ɛ为势函数的势能参数;σ为势函数的作用尺度;r为粒子间的距离;a为截断半径,保证SW模型中所有的势能和力场数值在r≥aσ时等于零;γ与θ分别为三体势间的作用强度及角度(γ=23.15,θ=109.47°);A、B、p、q、λ为常数,A=7.05,B=0.602 2,p=4,q=0,λ=1.2。模拟所需的水、电极、固体板和气体等分子间的相互作用参数如表1所示。
| 相互作用类型 | σ/(10-10 m) | ε/(kJ·mol-1) |
|---|---|---|
| 水-水 | 2.39 | 25.895 |
| 水-固体板 | 3.56 | 3.347 |
| 水-电极 | 3.56 | 0.628/1.046/1.464/1.883/2.301/2.720/3.138/3.264/3.347 |
| 水-气体 | 4.00 | 0.753 |
| 固体板-固体板 | 3.56 | 25.895 |
| 固体板-电极 | 3.56 | 25.895 |
| 固体板-气体 | 4.08 | 1.883 |
| 电极-电极 | 3.56 | 25.895 |
| 电极-气体 | 4.08 | 1.883 |
| 气体-气体 | 4.08 | 0.586 |
1.3 模拟细节
本研究采用开源软件LAMMPS进行分子动力学模拟,采用经典的速度Verlet算法求解,时间步长设为5×10-15 s。通过Nosé-Hoover热浴法将系统温度控制在298 K,每隔2.5×10-13 s调节1次。为保持模拟体系的温度和体积恒定,预平衡及模拟过程均在NVT系综下进行。在模拟过程中,首先进行5×10-10 s的预平衡过程,确保系统达到平衡状态;然后,将模拟时间重设为零,开始模拟电化学反应并生成氢气体分子。在电极上方的反应源区域内以固定的转化速率F将水分子周期性地转化为氢气体分子,F等效于实际的化学反应速率。后续模拟采用不同转化速率F以表征不同实际电流强度的影响。
本模拟通过调节表1中的水-电极分子间的势能参数值,改变水分子与电极分子之间的相互作用力εw-e,表征具有不同润湿性的电极表面。采用经典的液滴润湿模型来探究电极的润湿特性,采用单原子粗粒化模型,在电极表面放置半径为 2×10-9 m的单个球形液滴,模拟算法与前述算法相同。在液滴润湿电极表面过程中,水分子被吸附于电极表面,在液滴体积保持不变的前提下,三相接触线逐渐外扩,直到液滴达到平衡状态。图2所示为液滴在2种典型的润湿性电极表面上的接触角变化。从图2可以看出:当εw-e=3.138 kJ/mol时,液滴润湿角约为31.02°,表明电极具有亲水性;当εw-e=0.628 kJ/mol时,液滴润湿角约为121.92°,表明电极具有疏水性。采用类似的算法描述,如表1所示,当εw-e分别为1.046、1.464、1.883、2.301、2.720、3.264和3.347 kJ/mol时,液滴润湿角分别约为104.21°、80.45°、65.21°、50.78°、42.21°、24.36°和18.15°。由此可见,随着εw-e的增大,润湿角逐渐减小,电极表面润湿性逐渐增强。另外,构筑不同粗糙结构的纳米电极也会影响电极表面的润湿性能及纳米气泡动力学的演化过程,因此,本文将探讨不同润湿性的粗糙电极结构及转化速率F对纳米气泡成核、生长、稳定及脱离等过程的影响规律及机理。
2025年9期/10.11817j.issn.1672-7207.2025.09.034/alternativeImage/152C2539-8096-439a-80DD-C4502F52767D-F002.jpg)
2 结果与讨论
2.1 平面电极润湿性对纳米气泡动力学行为的影响
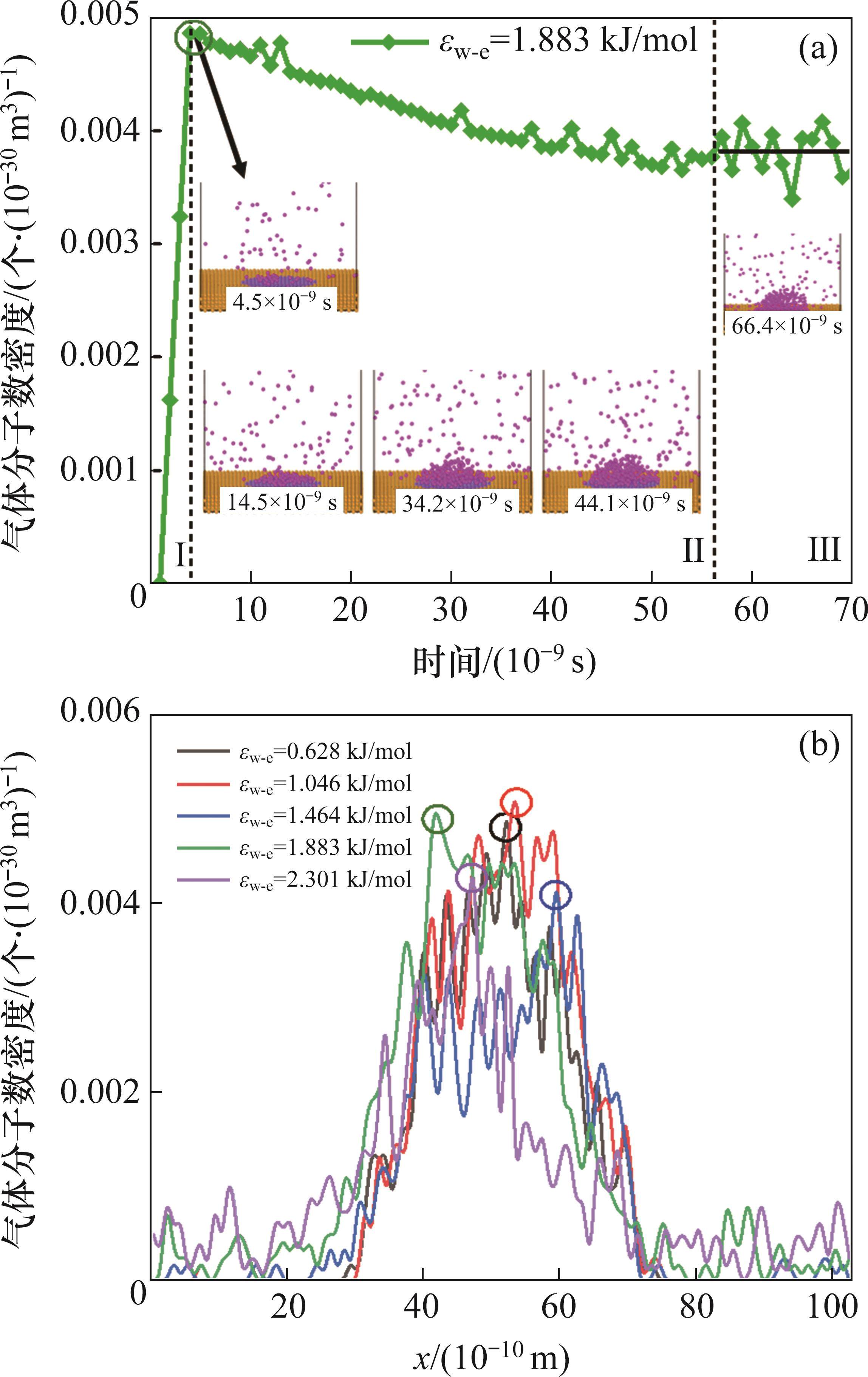
相关电化学试验给出的临界尺寸的纳米气泡中气体分子的平均距离大约为0.5 nm[25],因此,本研究将邻近距离在5×10-10 m范围内的气体分子聚集体定义为气体团簇。此外,每隔5×10-11 s采用cluster算法记录体系内最大气体分子团簇所包含的分子数Nb。当最大气体团簇内所包含的分子数大于等于15个时,电极表面开始出现成核行为并产生单个氢纳米气泡。
本研究将模拟体系划分为长×宽×高为1×10-10 m(x)×2×10-10 m(z)×1×10-8 m(y)的长方体格子,每隔5×10-11 s统计该长方体格子内部的气体分子数量,并对连续20个统计结果(共计1×10-9 s)进行平均值计算,最终每隔1×10-9 s得到二维气体分子数密度分布数据。气体分子数密度及分布能够表征气体分子浓度及分布,图3(a)所示为在F=2×1010 s-1和εw-e=1.883 kJ/mol的条件下,靠近平面电极表面的气体分子数密度随时间变化的3种典型阶段。阶段I为诱导成核阶段,该阶段内的气体分子数密度在初始电化学反应的短时间内急剧增大,促使电极表面附近区域的气体分子浓度逐渐累积并快速达到临界过饱和浓度,电极表面开始出现纳米气泡成核点,此时(约为4.5×10-9 s),气体分子数密度增大到最大值(图3(a)圆圈○标记)。由于在诱导成核阶段内还没有形成气体团簇,因此,整个电极表面都是活性反应区域。阶段II为动态生长阶段,该阶段内的气体分子数密度随反应时间的增加而缓慢减小,这是因为成核后的纳米气泡不断吸收活性反应区域产生的气体分子而生长,导致电极表面附近区域的气体分子数逐渐减小。从图3(a)可以发现,随着纳米气泡不断生长,气泡形态发生变化,体积逐渐增大,导致活性电极反应区域缩小。阶段Ⅲ为稳定阶段,由于生长阶段内的气体分子数密度降低到最小值后,开始在该最小值附近范围波动,此时,新的少量气体分子主要在靠近电极边缘的三相接触线处产生。
2025年9期/10.11817j.issn.1672-7207.2025.09.034/alternativeImage/152C2539-8096-439a-80DD-C4502F52767D-F003.jpg)
当转化速率F=2×1010 s-1时,不同润湿性平面电极表面局部气体分子数密度随时间的变化规律与图3(a)所示的变化规律基本类似,但是,3种典型阶段下各自持续的时间及分界明显不同。图3(b)所示为不同润湿性电极表面成核时(F=2×1010 s-1)气体分子数密度随位置的变化规律。从图3(b)可以看出:所有气体分子数密度曲线在电极表面呈“山峰”形态分布,每一条曲线上都存在气体分子数密度最大值(图3(b)中的圆圈○标记),该最大值所处的x轴位置即平面电极表面最初的气体团簇成核位置。不同润湿性平面电极表面的气体分子数密度最大值的差别不大,但成核位置有一定的差别,且成核位置具有随机性,但都靠近平面电极表面的中心区域。在其他转化速率下(如F为5×1010、8×1010、2×1011和5×1011 s-1),成核时的气体分子数密度最大值与εw-e关系不大,表明在固定的转化速率下,电极表面诱导成核的气体分子临界过饱和浓度与电极润湿性无关。
图4所示为不同εw-e和F下,氢纳米气泡内部的气体分子数量Nb随反应时间的变化规律。PEREZ等[10, 11, 14-15]发现Nb的演变规律与流入纳米气泡的气体分子数量Jin和气泡界面扩散流出的气体分子数量Jout有密切关联,两者的变化过程影响着纳米气泡的动态生长行为(图5),诱导成核阶段的Nb都非常小,意味着最大气体团簇所包含的气体分子数还没有达到形成单个纳米气泡的必需条件。以图4(a)为例,当F=2×1010 s-1时,从不同润湿性电极表面诱导成核阶段内的气体分子数演变的放大示意图(图4(a)下方红色方框)可知:该阶段内的气体分子数大部分都小于15个,电极表面难以形成典型的纳米气泡成核点。对比图4中所研究的不同εw-e和F组合下的结果发现,纳米气泡动态生长阶段内的Nb都逐渐增大(表明此时的Jin一直大于Jout),但增大速率逐渐减小,导致生长过程中的纳米气泡体积的增大趋势也减小,但并不是所有的纳米气泡都会进入图3(a)所示的稳定状态(典型阶段Ⅲ)。纳米气泡在生长后期是否进入稳定状态,可以通过Nb的演变规律来判断。在部分εw-e和F组合下,纳米气泡生长后期的Nb曲线近似呈水平波浪线,Nb在一定均值范围内波动,表明纳米气泡体积和形态几乎保持不变;在改变εw-e和F的取值后,纳米气泡生长后期的Nb曲线持续上升,表明此时的Jin一直大于Jout,纳米气泡一直处于不稳定状态,此时,气泡体积和形态持续发生变化。
2025年9期/10.11817j.issn.1672-7207.2025.09.034/alternativeImage/152C2539-8096-439a-80DD-C4502F52767D-F004.jpg)
2025年9期/10.11817j.issn.1672-7207.2025.09.034/alternativeImage/152C2539-8096-439a-80DD-C4502F52767D-F005.jpg)
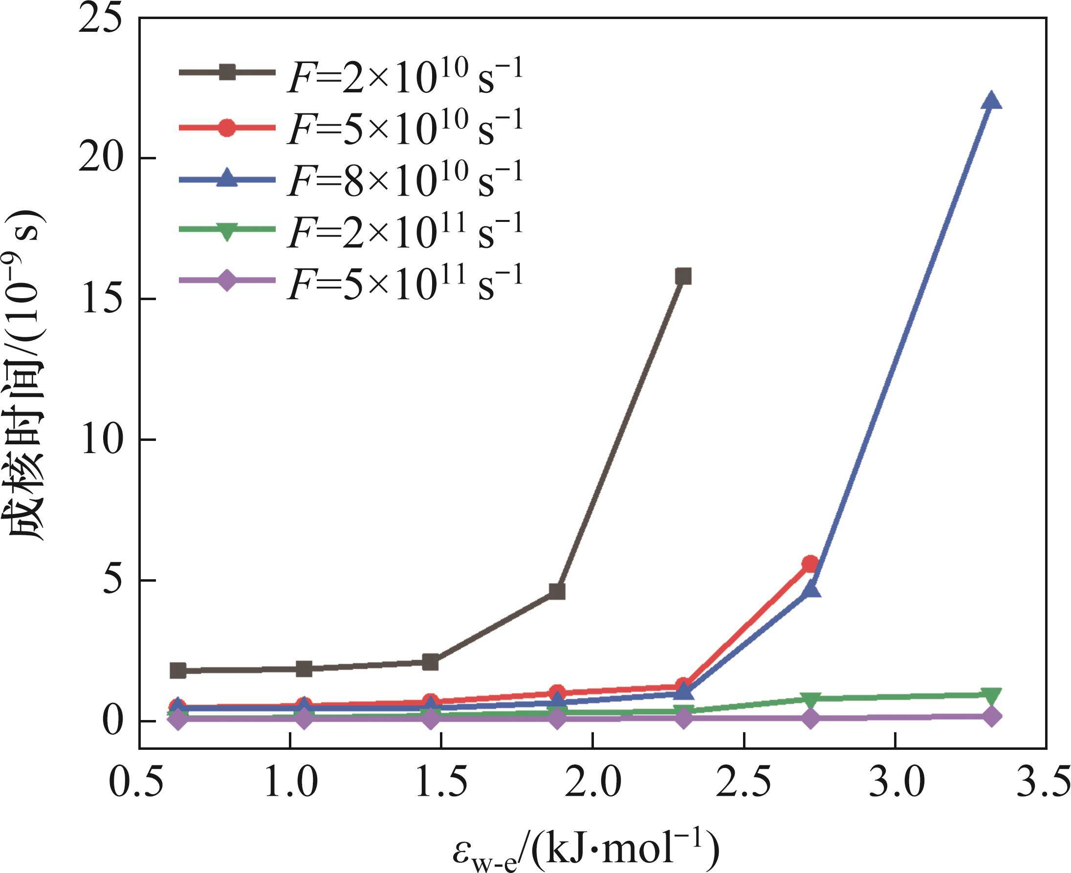
图6所示为不同转化速率F下氢纳米气泡成核时间随εw-e的变化规律。从图6可以看出:随着转化速率F的增大,相同润湿性平面电极表面的纳米气泡成核时间缩短,且εw-e越大,成核时间缩短更加显著,纳米气泡生长速度明显加快。这是由于较大的转化速率F在单位时间内产生的气体分子数更多,更容易使电极表面达到过饱和气体分子浓度,且润湿性强的电极表面更容易促进水分子和活性电极接触,从而提高反应速率。在相同的转化速率F下,纳米气泡成核时间随着电极润湿性的增强而增加,且F越小,成核时间增加更加显著,表明疏水电极更容易促进纳米气泡成核[26],而亲水性电极表面的临界成核自由能更大,导致纳米气泡不容易成核。当F较小时,电极润湿性增强可能导致纳米气泡无法成核,如F=2×1010 s-1时的εw-e不能大于2.301 kJ/mol,表明转化速率F较小时存在成核的电极亲疏水性临界条件。在εw-e较小的情况下,本研究中任意转化速率F下的纳米气泡生长至后期能够达到稳定状态(Jin=Jout)。由图4可见:随着εw-e的增大,增大转化速率F使Nb的增大趋势更加明显,纳米气泡生长速度更快,纳米气泡体积增大速度更快,导致在生长过程的后期可能无法保持稳定状态。
2025年9期/10.11817j.issn.1672-7207.2025.09.034/alternativeImage/152C2539-8096-439a-80DD-C4502F52767D-F006.jpg)
为进一步揭示生长后期的稳定状态和不稳定状态的纳米气泡的演变细节,以F=5×1011 s-1工况下的一组疏水电极(εw-e=1.046 kJ/mol,如图7(a)所示)和一组亲水电极(εw-e=3.138 kJ/mol,如图7(b)所示)的典型结果为例,展示2种不同状态下纳米气泡在平面电极表面随时间生长的变化规律。从图7可以看出:疏水平面电极表面的纳米气泡大约在8×10-11 s时开始成核,随后,纳米气泡体积逐渐增大,由薄圆饼形态逐渐转变为半球形态;当生长时间约达到2.86×10-8 s后,纳米气泡的体积和形态基本保持不变(图7(a)中的红色虚线框所示),此时,纳米气泡接触角接近90°,意味着该纳米气泡已经进入稳定状态。亲水平面电极表面的纳米气泡大约在0.18×10-9 s时开始成核,随后,纳米气泡体积快速增大,纳米气泡形态依次经历了不规则的薄圆饼状、半球状、近似圆球状、椭球状4种形态。随着纳米气泡的持续生长,纳米气泡与电极表面接触面积显著减小,纳米气泡接触角明显大于90°,此时,虽然开始出现纳米气泡从电极表面脱离的迹象,但其始终未完全脱离于电极表面。直到约1.075×10-8 s后,纳米气泡在近电极表面破散消失,此时可能产生了新的极小纳米气泡成核点。上述结果表明:增大εw-e能够使纳米气泡在生长后期变得不稳定,进而可能有助于纳米气泡从电极表面脱离。因此,后续模拟将进一步探究增强电极表面润湿性促进纳米气泡从电极表面脱离的相关物理机制。
2025年9期/10.11817j.issn.1672-7207.2025.09.034/alternativeImage/152C2539-8096-439a-80DD-C4502F52767D-F007.jpg)
进一步增强平面电极表面润湿性(εw-e大于3.138 kJ/mol),纳米气泡随时间的变化如图8所示,由于本研究给定的周边固体板与水分子的势能参数为3.347 kJ/mol(表1),为保证电极表面能够产生纳米气泡成核点,模拟要求εw-e不能大于3.347 kJ/mol。从图8可以看出:当εw-e=3.264 kJ/mol时,在2种不同转化速率F=2×1011 s-1和F=5×1011 s-1下,纳米气泡分别在约1.67×10-8 s和7.9×10-19 s时从电极表面脱离,表明化学反应速率越大,纳米气泡从电极表面脱离越快;继续增强电极润湿性,当εw-e=3.347 kJ/mol时,电极和周边固体板的润湿性相同。在均匀润湿性的前提下,当F=2×1011 s-1时,电极表面持续生成气体分子,4.1×10-9 s时在溶液体相中产生第1个纳米气泡,6.5×10-9 s时在电极表面上产生第2个纳米气泡,第2个纳米气泡大约在1.19×10-8 s从电极表面脱离,并与体相溶液中的第1个纳米气泡融合,最终形成1个较大的纳米气泡。当F=5×1011 s-1时,纳米气泡生长速度更快,并在约4.4×10-9 s时从电极表面脱离。此外,为研究纳米气泡从电极表面发生的脱离现象与转化速率F之间的关系,模拟在保持εw-e=3.347 kJ/mol不变的条件下,将转化速率F从2×1011 s-1分别减小到1×1011和9×1010 s-1。结果表明:随着转化速率F的减小,纳米气泡在生长后期无法从电极表面脱离,这表明较大的转化速率有利于纳米气泡从电极表面脱离。综上可知,电极表面较强的亲水性和较大转化速率F(化学反应速率)共同作用能够加速电极表面纳米气泡的生长和脱离过程。
2025年9期/10.11817j.issn.1672-7207.2025.09.034/alternativeImage/152C2539-8096-439a-80DD-C4502F52767D-F008.jpg)
2.2 强亲水粗糙电极对纳米气泡脱离的影响
前面研究均是针对光滑的平面电极,实际上,粗糙的电极表面形貌也会对气泡成核生长、形态和脱离等行为产生显著影响。较强的亲水性电极表面和较大转化速率有助于纳米气泡的脱离行为,为了与强亲水平面电极进行对比研究,构造了纳米凹柱和纳米凹锥2种强亲水粗糙电极,凹柱和凹锥结构的高度h均为0.5 nm,宽度L均为4 nm,如图9所示。
2025年9期/10.11817j.issn.1672-7207.2025.09.034/alternativeImage/152C2539-8096-439a-80DD-C4502F52767D-F009.jpg)
图10所示为当εw-e=3.347 kJ/mol和较大转化速率F=5×1011 s-1时,纳米气泡在强亲水性平面、凹柱和凹锥电极上二维剖面生长过程快照图(4.6×10-9≤y≤5.6×10-9 m)。从图10可以看出:纳米气泡内部的气体分子数相较于图8虽然有明显减少,但不影响对纳米气泡形态及体积的判断;在强亲水凹柱电极表面,纳米气泡优先在凹槽底部角落位置成核,这是由于产生的气体分子更容易在底部角落位置累积达到过饱和气体分子浓度。随后,约在1.8×10-9 s时,纳米气泡与强亲水凹柱电极接触面积明显减小,直到1.9×10-9 s时纳米气泡从电极表面完全脱离;纳米气泡脱离之后,强亲水凹柱电极表面还会产生新的气体分子,且有更多的气体分子继续进入脱离后的纳米气泡内部而形成更大的纳米气泡;在强亲水凹锥电极表面,纳米气泡优先在凹锥尖端初步成核,纳米气泡最终脱离时间约为9×10-10 s。脱离时电极的纳米气泡尺寸从大到小顺序为强亲水平面电极、强亲水凹柱电极、强亲水凹锥电极。因此,通过对比纳米气泡从不同粗糙结构的强亲水电极表面脱离的时间,发现强亲水凹锥电极更有利于纳米气泡的脱离。
2025年9期/10.11817j.issn.1672-7207.2025.09.034/alternativeImage/152C2539-8096-439a-80DD-C4502F52767D-F010.jpg)
图11所示为不同强亲水粗糙电极表面(εw-e=3.347 kJ/mol)纳米气泡内部气体分子数随时间的变化(垂直虚线代表脱离时刻)。从图11可见:在纳米气泡形成后,凹柱电极上的纳米气泡内部的气体分子数Nb明显高于平面和凹锥电极。这是因为水分子和凹柱电极接触活性面积明显大于平面和凹锥电极的接触活性面积,从而能够在电极表面产生更多的气体分子(Jin较大)且有效进入纳米气泡内部。凹锥电极表面产生的纳米气泡大约在9×10-10 s时脱离,而凹柱电极表面产生的纳米气泡则约在1.9×10-9 s时脱离;纳米气泡从电极表面脱离后,Nb仍持续增大,这是因为电极表面产生的气体分子持续进入纳米气泡内部。约在2×10-9 s至5×10-9 s时,凹锥电极表面纳米气泡内部Nb明显比平面和凹柱电极的少。这是因为凹锥电极表面形态呈现逐渐变窄的结构,并且在强亲水性条件的共同作用下,气体分子与电极之间的相互作用力明显减弱,脱离后的纳米气泡体积仍然最小。
2025年9期/10.11817j.issn.1672-7207.2025.09.034/alternativeImage/152C2539-8096-439a-80DD-C4502F52767D-F011.jpg)
表2所示为2种不同转化速率F和不同强亲水粗糙纳米电极上气泡脱离时间对比。从表2可见:当F=2×1011 s-1时,纳米气泡在凹柱和凹锥电极上的脱离时间分别约为2.3×10-9 s和2.1×10-9 s;对于平面电极(图8),第1个纳米气泡在溶液中生成,第2个纳米气泡在电极表面生成,并在约1.19×10-8 s时从电极表面脱离;随着转化速率F增大至5×1011 s-1,凹锥电极的气泡脱离时间最短,约9×10-10 s。这表明不同粗糙程度的电极表面会显著影响纳米气泡的脱离时间,且增大转化速率F能够加速气泡脱离;在相同的强润湿性条件下,凹锥电极的纳米气泡脱离时间最短、脱离尺寸最小,说明凹锥电极逐渐变窄的几何形状与电极强亲水性能够共同促进纳米气泡的有效脱离。
| 转化速率F/s-1 | 平面电极 | 凹柱电极 | 凹锥电极 |
|---|---|---|---|
| 2×1011 | — | 2.3×10-9 | 2.1×10-9 |
| 5×1011 | 4.4×10-9 s | 1.9×10-9 | 9.0×10-10 |
综上可知,电极表面的粗糙形态、润湿性以及转化速率F对纳米气泡的脱离过程具有重要影响。在一定强润湿性条件下,凹锥电极相比于平面和凹柱电极具有更好的脱离效果。此外,转化速率F的增大能够显著缩短气泡的脱离时间,进一步加速气泡的脱离。
3 结论
1) 稳定氢纳米气泡的演化过程可分为诱导成核阶段、动态生长阶段及稳定阶段。在固定的转化速率下,电极表面诱导成核的气体分子临界过饱和浓度与电极润湿性无关。当转化速率F较小时,存在临界成核的电极亲、疏水性条件。
2) 在电极润湿性不变时,氢纳米气泡成核时间随着转化速率F的增大而缩短;当转化速率F不变时,纳米气泡成核时间随着电极润湿性的增强而延长,表明疏水电极更有利于纳米气泡成核。当电极润湿性条件较弱时,在本文研究的转化速率F下(2×1010、5×1010、8×1010、2×1011和5×1011 s-1)的纳米气泡在生长至后期能够达到稳定状态。
3) 强亲水电极表面和较大转化速率F的共同作用使得纳米气泡在生长至后期无法保持在稳定状态,加大电极表面纳米气泡的生长速率,最终导致脱离。
4) 电极表面的粗糙形态、润湿性以及转化速率F对纳米气泡的脱离过程具有重要影响。在一定强润湿性条件下,凹锥电极相比于平面和凹柱电极具有更好的脱离效果,增大转化速率F能够显著缩短气泡的脱离时间。
詹水清, 王晓涵, 程然, 等. 电极表面氢纳米气泡生长及脱离行为的分子动力学模拟研究[J]. 中南大学学报(自然科学版), 2025, 56(9): 3968-3978.
ZHAN Shuiqing, WANG Xiaohan, CHEN Ran, et al. A molecular dynamics study of growth and detachment behaviors of hydrogen nanobubbles on electrode surface[J]. Journal of Central South University(Science and Technology), 2025, 56(9): 3968-3978.
http://dx.doi.org/10.11817/j.issn.1672-7207.2025.09.034

