地铁线路网络规模的扩大给人们出行带来了极大便利,同时也带来了环境振动问题[1-5]。传统城市轨道交通线路的规划设计难以满足交通需求。为适应地形和城市布局,小半径曲线轨道的应用变得尤为重要[6]。列车在地铁小半径曲线下通过时会产生更大的离心力,这加剧了振动噪声、钢轨变形等问题。不少学者对扣件减振进行了大量研究。詹彩娟[7]通过建立一种新型减振扣件仿真模型,研究了扣件不同垂向刚度与减振效果之间的关系。尹华拓等[8]通过地铁现场测试,研究了中等减振扣件对轨道的减振性能的影响,发现其能有效减小隧道壁的振动,对钢轨和道床的振动有较好的抑制作用。朱宁等[9]通过建立有限元模型,分析了不同扣件垂向和横向刚度变化对位移导纳的影响,发现钢轨在多个频率内峰值发生明显改变。李秋义等[10]建立了车辆-轨道耦合动力学模型,研究了扣件垂向刚度对轨道和隧道振动的影响。发现减小扣件刚度会增强钢轨的低频振动,但同时会减弱高频振动。GAO等[11]研究了一种高阻尼扣件,通过理论与试验分析,探讨了其在控制扣件老化、降低磨耗及振动噪声的效果。JIANG等[12]通过实验测试和数值仿真发现合理匹配扣件垂向和横向刚度不仅可以实现振动衰减,而且能提升列车运行稳定性。在钢轨变形研究方面,李子睿[13]推导了既有扣件抗倾覆性能及钢轨倾覆角的计算方法,在静载状态下分析了3种既有扣件对钢轨扭转变形的影响以及轨头横向位移的变化。张宏海[14]通过建立仿真模型研究了静态作用下扣件横向刚度等因素对钢轨横向位移和扭转变形的变化规律。赵才友等[15]通过对减振扣件进行试验与数值仿真,研究了横向力与轨头横向位移之间的非线性关系。刘锦辉等[16]建立了仿真模型,研究了曲线段不同时速不同半径下的钢轨和浮置板横向位移。王开云等[17]通过仿真研究了钢轨扭转变形对车辆曲线和直线行驶时轮轨动态相互作用的影响,发现当列车通过曲线段时,轨距动态挤开量显著增大。
可见,研究者针对扣件减振效果的研究主要集中于扣件垂向刚度的影响,而对扣件横向刚度对轨道系统动力学振动响应及减振效果的影响研究较少。此外,在对钢轨横向位移及扭转变形的研究中,理论分析大多以静力学为基础,若以曲线线路的工况分析钢轨变形,则通常将曲线钢轨被简化成梁模型。而在小半径曲线条件下,轨道系统受力更加复杂,钢轨横向位移较大扭转变形问题突出,易引发额外的轨道振动。在这种轨道振动复杂、病害频繁的区段,轨道结构中扣件横向刚度会对轨道系统产生一定影响。针对目前研究的不足,本文利用有限元软件ABAQUS建立曲线钢轨、道床板和隧道模型,并基于ZHAI[18]提出的车辆-轨道耦合动力学理论与多刚体动力学软件SIMPACK联合仿真,在半径为350 m的圆曲线下,建立了编组列车车辆-轨道-隧道耦合动力学模型,设置了扣件横向刚度从10~50 kN/mm的5种不同 工况(即扣件横向刚度分别为10、20、30、40和 50 kN/mm),探讨在不同行车速度下,扣件横向刚度变化对行车安全与舒适性的变化,分析内轨和外轨的横向位移和扭转角的规律变化。在行车和简谐力激励分别作用下,通过监测隧道壁和钢轨的振动响应,分析不同工况下隧道壁的减振效果以及轨道系统固有频率特性。研究结果可为地铁小半径曲线钢轨横向位移约束、减振扣件的刚度参数优化以及轨道系统的稳定性提升提供参考。
1 钢轨力学行为
1.1 曲线轨道钢轨动力学控制方程
目前,曲线轨道钢轨多采用Timoshenko梁模型,考虑了垂直、横向和扭转位移[11]。通过模态合成及归一化形状函数,引入钢轨位移变化的3个不同坐标qzk(t)(垂向)、qyk(t)(横向)、qtk(t)(扭转),经过变换可以得到钢轨的二阶常用方程。
2025年9期/10.11817j.issn.1672-7207.2025.09.035/alternativeImage/B871EB6C-DAB9-4666-B8DD-7082360E2B21-M001.jpg)
2025年9期/10.11817j.issn.1672-7207.2025.09.035/alternativeImage/B871EB6C-DAB9-4666-B8DD-7082360E2B21-M002.jpg)
2025年9期/10.11817j.issn.1672-7207.2025.09.035/alternativeImage/B871EB6C-DAB9-4666-B8DD-7082360E2B21-M003.jpg)
2025年9期/10.11817j.issn.1672-7207.2025.09.035/alternativeImage/B871EB6C-DAB9-4666-B8DD-7082360E2B21-M004.jpg)
2025年9期/10.11817j.issn.1672-7207.2025.09.035/alternativeImage/B871EB6C-DAB9-4666-B8DD-7082360E2B21-M005.jpg)
2025年9期/10.11817j.issn.1672-7207.2025.09.035/alternativeImage/B871EB6C-DAB9-4666-B8DD-7082360E2B21-M006.jpg)
式中:l为钢轨长度;NZ、Nr和NT分别为钢轨垂向、横向和扭转振动的截止模态数;Zk、Yk和Φk分别为钢轨垂向、横向和扭转的振型函数;Er、Gr分别为钢轨弹性模量和剪切模型;Ar和ρr分别为钢轨截面积和质量密度;Jry、Jrz分别为钢轨截面对水平轴、垂直轴的惯性矩;Jr0、Jrt分别为钢轨截面的极惯性矩和抗扭惯性矩;Ns、Nw分别为钢轨计算长度范围内的轨枕数、轮轴数;FrVi、FrHi、FrTi分别为钢轨第i个支点的垂向、横向和扭转反力;PVj、PHj、PTj分别为第j个车轮作用于钢轨的垂向力、横向力和扭矩;xFi、xPj分别为钢轨第i个支点的x坐标、第j个轮对的x坐标。
1.2 钢轨横向位移与扭转变形
钢轨在横向荷载和偏心竖直荷载作用下,将分别产生横向位移和扭转变形引起的位移,如图1所示。在横向荷载作用下,由于受到扣件压力以及铁垫板的约束,钢轨轨头和轨腰处的横向位移相较于轨底更加大[19]。钢轨的扭转包括整体扭转和自身弯曲扭转,但由于钢轨自身刚度较大,导致整体扭转。假定钢轨为纯扭转杆件,其扭转中心可近似视为轨底中心[20]。
2025年9期/10.11817j.issn.1672-7207.2025.09.035/alternativeImage/B871EB6C-DAB9-4666-B8DD-7082360E2B21-F001.jpg)
列车在小半径曲线轨道行驶时,外轮缘根部贴靠外轨侧轨角,形成两点接触,导致偏心竖向力及横向力大于直线上行驶时的受力[21],这使得轮轨接触分布不均,进而加剧了钢轨横移和扭转变形,尤其是外轨侧横移和扭转变形更加大。合理设置扣件的横向刚度,能够在控制钢轨横移和扭转的基础上实现对轨道横向力及偏心竖向力的有效缓冲,从而改善轮轨之间的相互作用力和接触点位置关系。
2 车辆-轨道-隧道耦合动力学模型建立
2.1 车辆模型
在地铁车辆的动力学建模中,通常采用多刚体动力学理论,将车辆视为沿轨道纵向以行驶速度v移动的多刚体系统。该系统包括车体、前后构架和4个轮对。轮对通过一系悬挂装置与构架连接,构架通过二系悬挂装置与车体连接。一系和二系悬挂装置均等效为弹簧-阻尼单元。在SIMPACK中建立模型时,通常不考虑车辆各部件的弹性变形,以简化计算。本文采用地铁A型车辆参数,轴质量为16 t,具体参数如表1所示。
| 参数 | 数值 |
|---|---|
| 车体质量/kg | 48 835 |
| 构架质量/kg | 3 970 |
| 轮对质量/kg | 1 410 |
| 车体侧滚转动惯量/(kg·m2) | 67 664 |
| 车体点头转动惯量/(kg·m2) | 1 057 256 |
| 车体摇头转动惯量/(kg·m2) | 1 013 008 |
| 一系纵向刚度/(N·m-1) | 1.00×107 |
| 一系横向刚度/(N·m-1) | 6.50×106 |
| 一系垂向刚度/(N·m-1) | 1.26×106 |
| 二系纵向刚度/(N·m-1) | 2.31×105 |
| 二系垂向刚度/(N·m-1) | 4.90×105 |
| 二系横向刚度/(N·m-1) | 2.31×105 |
2.2 钢轨-道床板-隧道模型
在传统曲线动力学研究中,钢轨通常被简化为梁或弹性体模型。尽管这些模型能够反映钢轨的整体刚度特性,但往往忽略了钢轨在曲线轨道条件下的局部位移和扭转响应。本文建立三维有限元模型,考虑钢轨的真实几何形状、材料特性及结构分布,分析钢轨在横向位移和扭转变形的作用下不同部位的力学响应与变形特征。曲线钢轨模型如图2所示。为进一步研究轨道系统的动态响应,建立了3块长度相等的道床板模型与隧道模型,且两者之间的连接采用线性弹簧模拟[22]。轨道模型参数见表2。
2025年9期/10.11817j.issn.1672-7207.2025.09.035/alternativeImage/B871EB6C-DAB9-4666-B8DD-7082360E2B21-F002.jpg)
| 参数 | 数值 |
|---|---|
| 单位长度钢轨质量/(kg·m-1) | 60 |
| 扣件纵向刚度/(kN·mm-1) | 24 |
| 扣件垂向刚度/(kN·mm-1) | 30 |
| 道床板密度/(kg·m-3) | 2.75×103 |
| 隧道壁密度/(kg·m-3) | 2.50×103 |
| 钢轨弹性模量/Pa | 2.10×1011 |
| 扣件纵向阻尼/(N·s·m-1) | 8.00×104 |
| 扣件垂向阻尼/(N·s·m-1) | 8.00×104 |
| 道床板泊松比 | 0.20 |
| 隧道壁弹性模量/Pa | 3.15×1010 |
2.3 编组车辆-轨道模型
将曲线钢轨、道床板、隧道模型逐一导入SIMPACK中,并与6节编组车辆进行耦合,随后进行预载荷加载,使得整体系统的加速度无限接近于0,以确保编组车辆-轨道-隧道耦合动力学模型系统处于平衡状态。轨道整体模型布置于圆曲线中心。编组车辆-轨道-隧道耦合模型如图3所示。
2025年9期/10.11817j.issn.1672-7207.2025.09.035/alternativeImage/B871EB6C-DAB9-4666-B8DD-7082360E2B21-F003.jpg)
2.4 模型验证
为验证仿真模型的准确性与工程适用性,选取国内某地铁曲线线路作为对比对象。选取模型中钢轨垂向位移与隧道壁加速度这2个关键物理量,在时域范围内与实测数据进行对比分析,如图4所示。其中,钢轨垂向位移为绝对位移,包含了浮置板的位移。对比结果表明,仿真模型计算所得波形在幅值与相位上均与现场实测结果高度一致,误差较小,验证了所建模型在模拟地铁曲线段运行工况的可靠性。
2025年9期/10.11817j.issn.1672-7207.2025.09.035/alternativeImage/B871EB6C-DAB9-4666-B8DD-7082360E2B21-F004.jpg)
3 仿真计算与分析
3.1 工况设置
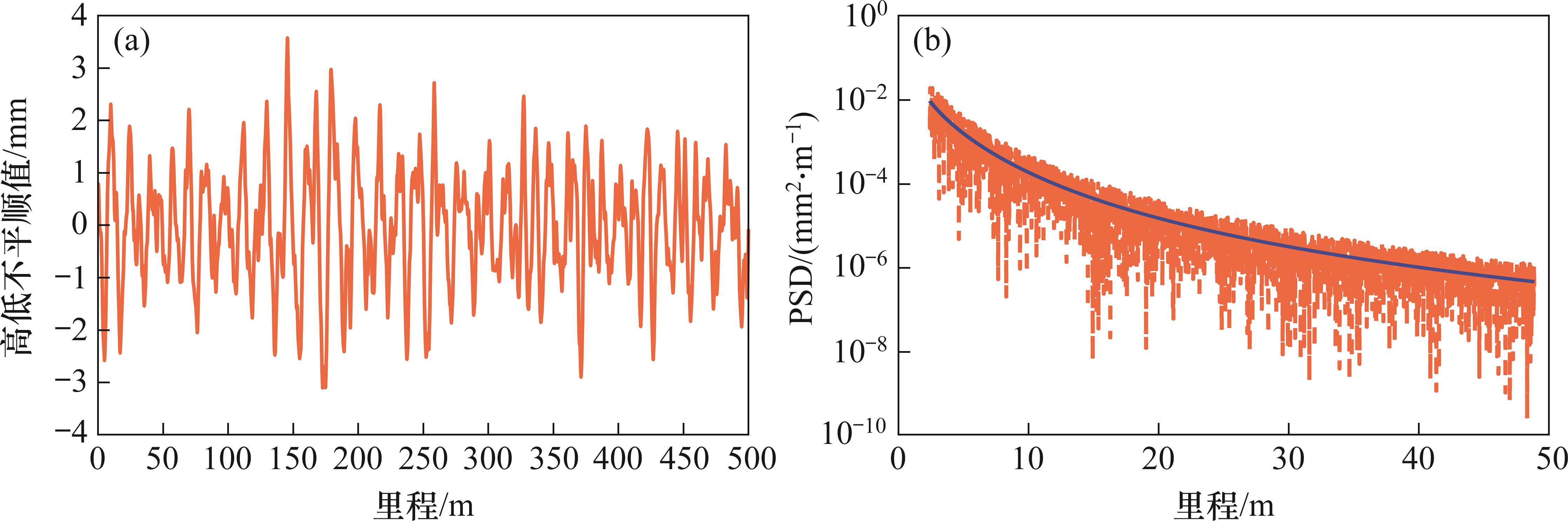
国内多条地铁线路中常用扣件横向刚度大多为20~40 kN/mm,本文在实际工程的基础上设置5种工况分析,如表3所示。该设置不仅包含了实际工程的取值范围,而且拓展了边界条件下的响应特性。曲线线路基准工况如下:曲线半径 R=350 m,前后直线长度均为30 m,缓和曲线长度为70 m,圆曲线长度为100 m,设计速度为 60 km/h,超高为120 mm,轨底坡度为1/40。线路示意图如图5所示。曲线线路通过调整超高以达到列车平衡受力的状态,以确保变量不受多余因素干扰。模型的轨道不平顺采用美国六级谱作为激励,结合地铁小半径曲线线路的特点,对不平顺波长及功率谱幅值进行了适度调整,高低不平顺样本及功率谱曲线如图6所示。
| 工况编号 | 扣件横向刚度/(kN·mm-1) |
|---|---|
| 1 | 10 |
| 2 | 20 |
| 3 | 30 |
| 4 | 40 |
| 5 | 50 |
2025年9期/10.11817j.issn.1672-7207.2025.09.035/alternativeImage/B871EB6C-DAB9-4666-B8DD-7082360E2B21-F005.jpg)
2025年9期/10.11817j.issn.1672-7207.2025.09.035/alternativeImage/B871EB6C-DAB9-4666-B8DD-7082360E2B21-F006.jpg)
3.2 行车安全性与舒适性分析
对于编组列车,第1辆车的运行状态最不稳定[23],因此,本文各指标均取第1辆车在曲线线路中动力响应最大值作为数据样本。在不同工况下,各评价指标计算结果如表4所示,相应的趋势变化如图7所示。
| 动力学指标 | 工况编号 | 规范限值 | ||||
|---|---|---|---|---|---|---|
| 1 | 2 | 3 | 4 | 5 | ||
| 轮轨垂向力/kN | 86.950 0 | 88.040 0 | 88.960 0 | 90.540 0 | 91.320 0 | 170.0 |
| 轮轨横向力/kN | 22.370 0 | 24.560 0 | 26.330 0 | 29.320 0 | 32.530 0 | 67.0 |
| 脱轨系数 | 0.316 0 | 0.314 0 | 0.313 0 | 0.312 0 | 0.312 0 | 1.0 |
| 轮重减载率 | 0.339 0 | 0.338 0 | 0.337 0 | 0.336 0 | 0.336 0 | 0.6 |
| 车体垂向加速度/(m·s-2) | 0.181 0 | 0.182 0 | 0.183 0 | 0.186 0 | 0.187 0 | 1.0 |
| 车体横向加速度/(m·s-2) | 0.391 0 | 0.273 0 | 0.211 0 | 0.167 0 | 0.135 0 | 0.6 |
| 横向Sperling指标 | 1.832 1 | 1.644 8 | 1.522 5 | 1.419 4 | 1.331 6 | 2.5 |
2025年9期/10.11817j.issn.1672-7207.2025.09.035/alternativeImage/B871EB6C-DAB9-4666-B8DD-7082360E2B21-F007.jpg)
从表4可知:扣件横向刚度的变化对车辆运行特性呈现差异化影响;当扣件横向刚度由 10 kN/mm增大至50 kN/mm时,车体横向加速度从0.391 m/s2显著降低至0.135 m/s2,降幅达到65.5%,横向Sperling指标从1.832 1减小至1.331 6,降幅为27.3%,表明增强横向约束可有效抑制车体振动,提升运行横向平稳性。然而,轮轨横向力同步增长46.0%。这一矛盾现象揭示了扣件刚度对系统力学行为的双向调控机制:较高的扣件横向刚度通过强化轨道横向支撑降低车体振动,但会以增大轮轨力为代价,可能加速轨道结构疲劳损伤;而较低扣件横向刚度虽可减小轮轨动态荷载,但需权衡车体横向稳定性。扣件横向刚度的调整对其他动力学指标轮轨垂向力、脱轨系数、轮重减载率和车体垂向加速度的影响较小。
车体响应与轮轨横向力变化趋势见图7。从 图7可以看出:随着扣件横向刚度增大,车体横向加速度在40、60和80 km/h这3种速度下均呈现显著下降趋势,但下降趋势逐渐减缓;扣件低横向刚度随速度变化更明显,当扣件横向刚度由10 kN/mm增大至20 kN/mm时,车体横向加速度下降52.5%。内轨和外轨横向力随着扣件横向刚度增大而增大;随着列车速度增加,轮轨横向力呈现出不同的变化趋势,即内轨横向力逐渐减小,而外轨横向力逐渐增大。产生这种现象的原因主要是列车在曲线上行驶时,速度提升会使离心力增大,列车向外侧偏移更加明显,更多的横向载荷由外轨承担。
3.3 轨道结构动态变形
编组列车在各工况下通过线路取内外侧钢轨轨头横向位移和钢轨扭转角的最大值,在不同扣件横向刚度下,评价指标计算结果如表5所示。图8所示为不同工况下内外侧轨头横向位移变形和扭转角时程曲线,其中,扭转角可表示为钢轨轨头与轨底横向位移之差除以钢轨高度,并通过几何变换转换为弧度。图8中,内轨和外轨横向位移正值均代表钢轨轨头向轨道外侧横移运动,负值表示钢轨轨头向轨道内侧横移运动;内轨和外轨的扭转角正值表示钢轨向轨道外侧扭转,负值表示向轨道内侧扭转。
| 类型 | 参数 | 工况 | ||||
|---|---|---|---|---|---|---|
| 1 | 2 | 3 | 4 | 5 | ||
| 内轨 | 横向位移/mm | 0.669 0 | 0.547 0 | 0.431 0 | 0.390 0 | 0.375 0 |
| 扭转角/rad | 0.011 4 | 0.009 3 | 0.007 3 | 0.006 6 | 0.006 2 | |
| 外轨 | 横向位移/mm | 0.761 0 | 0.679 0 | 0.604 0 | 0.462 0 | 0.435 0 |
| 扭转角/rad | 0.013 0 | 0.011 6 | 0.010 3 | 0.007 8 | 0.007 3 | |
2025年9期/10.11817j.issn.1672-7207.2025.09.035/alternativeImage/B871EB6C-DAB9-4666-B8DD-7082360E2B21-F008.jpg)
由表5可知:在5种工况下,当编组列车通过时,内外轨的横向位移及扭转角呈规律性变化;工况1与工况5相比,内轨横向位移由0.669 mm减小至0.375 mm,降幅为43.9%,同时,扭转角由0.011 4 rad减小至0.006 2 rad,降幅为45.6%;外轨横向位移由0.761 mm减小至0.435 mm,降幅为42.8%,扭转角由0.013 0 rad减小至0.007 3 rad,降幅为43.8%;外轨横向位移为内轨的1.14~1.40倍,其原因是列车通过小半径曲线时,离心力通过轮轨系统集中施加在外轨,使其承担更大的横向载荷,该载荷沿轮轨接触点向钢轨、扣件系统及基础结构传递,导致产生更显著的钢轨横向变形;此外,曲线工况下轮重分布不均、轮轨间接触角偏差及轨向约束条件的非对称性进一步增强了钢轨横向位移的非对称特征。扣件横向刚度的增大显著减小了钢轨轨头的横向位移及扭转角变化,尤其对内轨的约束更加显著。从图8可以看出:外轨位移波形呈现出持续向外侧滑移的特征,而内轨则呈现出先向轨道外侧再向内侧滑移的趋势。钢轨横向位移和扭转角变化趋势见图9。
2025年9期/10.11817j.issn.1672-7207.2025.09.035/alternativeImage/B871EB6C-DAB9-4666-B8DD-7082360E2B21-F009.jpg)
从图9可以看出:随着速度增加,内轨和外轨的横向位移以及扭转角随之增大,且随着扣件横向刚度增大,位移及扭转角的下降速率逐渐减缓。在安装低横向刚度扣件的小半径曲线地段,应避免行车速度过大,以减少钢轨横移及扭转带来的轨道结构疲劳损伤。
3.4 减振效果评价
根据相关规范,选用圆曲线中心外侧,取钢轨表面上1.25 m高度处的隧道壁作为拾振点,以隧道壁垂向振动加速度为不同扣件横向刚度工况下减振效果的评价指标,按下式计算分频振级均方根:
2025年9期/10.11817j.issn.1672-7207.2025.09.035/alternativeImage/B871EB6C-DAB9-4666-B8DD-7082360E2B21-M007.jpg)
式中:La为分频振级均方根;VL(i)为各测点铅垂向振动加速度在1/3倍频程第i个中心频率的分频振级。
对编组列车通过曲线线路敷设柔性轨道和隧道壁的区域进行频域分析,分别求出5种工况下隧道壁加速度的1/3倍频程曲线,且以工况5为基准,在此振级上计算其他4种工况的插入损失,如图7所示;计算最大Z振级VLZmax,如表6所示。
| 工况编号 | 最大Z振级VLZmax/dB |
|---|---|
| 1 | 73.21 |
| 2 | 73.74 |
| 3 | 74.82 |
| 4 | 75.32 |
| 5 | 75.98 |
5种工况隧道壁振动的1/3倍分频振级的差异见图10。从图10可见:5种工况分频振级在1~12.5 Hz频段内较接近,无显著差异;与扣件横向刚度
2025年9期/10.11817j.issn.1672-7207.2025.09.035/alternativeImage/B871EB6C-DAB9-4666-B8DD-7082360E2B21-F010.jpg)
50 kN/mm相对应,低横向刚度扣件10~40 kN/mm对应的工况1至工况4可有效减少40~200 Hz频段 内的振动,工况1作为扣件横向刚度最小的情况,它对隧道壁振级减小的效果最显著,在高频200 Hz 内最大减振量为5.02 dB;而低刚度扣件在16~ 31.5 Hz频段内存在放大部分振动的现象,噪声最大增加量为2.02 dB,其原因可能是低横向刚度扣件降低了轨道系统的整体刚度,其固有频率减小,与该频段的激励频率接近,导致系统发生共振或耦合效应。5种工况的加速度级均在63 Hz处出现极大值,结合表6可知,在相同的行车条件下,以工况5为参照,降低扣件横向刚度后,工况1至工况4的隧道壁最大Z振级VLZmax分别减少了2.77、2.24、1.16、0.66 dB。说明较低的扣件横向刚度有助于降低隧道壁垂向振动响应幅值。
3.5 振动特性分析
轨道系统振动特性见图11。通过对比不同工况下隧道壁的PSD峰值,可量化振动能量在不同频率下的功率分布情况(见图11(a))。从图11(b)可以看出:5种工况的功率谱密度峰值分别出现在90、200、700、1 000和1 300 Hz附近;而在低频段 90 Hz处附近,5种工况的功率谱密度峰值频率略有不同,呈现出依次增大的趋势,而在其他高频段内,频率变化并不明显。引入轨道振动衰减率,以探究地铁小半径曲线条件下扣件横向刚度的改变对轨道振动传播的影响。轨道振动衰减率能够体现振动能量在钢轨纵向上传播能力。在柔性钢轨的首节点施加激励,并在尾节点设置监测点。钢轨首节点和尾节点相距25 m,即为响应振动传播距离,轨道振动衰减率2025年9期/10.11817j.issn.1672-7207.2025.09.035/alternativeImage/B871EB6C-DAB9-4666-B8DD-7082360E2B21-M008.jpg)
2025年9期/10.11817j.issn.1672-7207.2025.09.035/alternativeImage/B871EB6C-DAB9-4666-B8DD-7082360E2B21-F011.jpg)
2025年9期/10.11817j.issn.1672-7207.2025.09.035/alternativeImage/B871EB6C-DAB9-4666-B8DD-7082360E2B21-M009.jpg)
式中:z0为激励点的位移响应;zi为距激励点s处的位移响应;s为激励点与监测点的距离。
图11(c)反映了轨道纵向振动衰减率随着扣件横向刚度的增大而减小的趋势。从图11(c)可见:低刚度扣件能更好地吸收外界振动能量;5种工况的衰减率在2.2~2.6 dB·m-1范围内;随着频率不断增大,轨道衰减率在一定频段内发生骤减,5种工况对应的临界频率分别为88、115、152、189和226 Hz。扣件横向刚度增大会使轨道系统振动衰减临界频率也增大,其原因在于扣件刚度提升强化了轨道系统对振动的束缚能力,只有更高频段的振动才能够突破阻抗并沿着垂向以及纵向传递。通过简谐力激励作用得到钢轨的横向位移导纳如图11(d)所示。从图11(d)可见:5种工况在100 Hz附近出现钢轨位移导纳最大峰值,随着扣件横向刚度增大,位移导纳峰值略减小,而在700 Hz和800 Hz附近,位移导纳峰值变化并不明显。总体上,扣件横向刚度的变化会影响低频段的振动响应,然而,在高频段,频率变化并不明显。另外,扣件横向刚度增大使得扣件-轨道系统的固有频率增大,有效抑制低频振动的传递,而对于高频的振动能量,其沿纵向方向传递速度低于其向下部基础传递的速度,因此,后续在考虑轨道下部基础系统的振动与疲劳问题时,应着重关注高频能量对轨道纵向方向的影响。
4 结论
1) 当扣件横向刚度从10 kN/mm增加至50 kN/mm时,车体横向加速度降幅率为65.5%,横向Sperling指标降幅为27.3%,轮轨横向力的增幅率为46.0%,可见扣件横向刚度增大可以强化轨道横向支撑以降低车体横向振动,但会增大轮轨横向力。扣件横向刚度的变化对脱轨系数、轮重减载率和车体垂向加速度无明显影响。
2) 随着扣件横向刚度增大,内轨和外轨的横向位移及扭转角显著减小。受离心力的作用,外轨位移波形呈现出持续向外侧滑移的特征。行车速度增加使得内轨和外轨的横向位移及扭转角也随之增大,且随着扣件横向刚度增大,内轨和外轨的横向位移及扭转角下降速率逐渐减缓。在同等增速条件下,相较于高刚度区间(40~50 kN/mm),低刚度区间(10~20 kN/mm)的内侧和外侧钢轨横向位移变化引起的位移和扭转角增大更明显。
3) 5种不同工况(即扣件横向刚度分别为10、20、30、40和50 kN/mm)的分频振级在1~12.5 Hz频段
内较接近,无显著差异。低刚度扣件10~40 kN/mm对应的工况1至工况4可有效减少40~200 Hz频段内的振动,同时,低刚度扣件在16~31.5 Hz频段内存在放大部分振动的现象。相比于工况5,工况1的减振量最大,达到2.77 dB。
4) 5种工况下隧道壁的PSD峰值在多个频率段内出现,而在90 Hz附近,工况1~5的峰值频率有依次增大的趋势。轨道纵向振动衰减率随扣件横向刚度增大而减小,5种工况的振动衰减率在2.2~2.6 dB·m-1范围内,相对应的频率临界点随扣件横向刚度增大而增大。5种工况的钢轨位移导纳峰值在100 Hz附近出现,且随着扣件横向刚度增大,导纳峰值略减小。
5) 扣件横向刚度的增大会影响90~200 Hz频段内的振动响应,但对700 Hz以上的频段影响相对较弱。扣件-轨道系统固有频率的增大能够有效抑制低频振动的传递,而对于高频振动能量,其沿纵向上传递的速度低于其向下部基础传递的速度。
曾志平, 唐杰, 田春雨, 等. 扣件横向刚度对地铁小半径曲线轨道动力特性的影响[J]. 中南大学学报(自然科学版), 2025, 56(9): 3979-3991.
ZENG Zhiping, TANG Jie, TIAN Chunyu, et al. Influence of fastener lateral stiffness on dynamic characteristics of subway small-radius curve tracks[J]. Journal of Central South University(Science and Technology), 2025, 56(9): 3979-3991.
http://dx.doi.org/10.11817/j.issn.1672-7207.2025.09.035

