城市轨道交通正逐渐成为城市公共出行的主要选择。随着城市轨道交通网络建设的完善化以及运行频次的密集化,其带来的振动与噪声问题也日益显著。嵌入式轨道是一种新型的减振降噪轨道,采用高分子材料连续支承、连续锁固钢轨,具有整体性和稳定性良好、养护工作量小等优点[1-3],在国内外新建或改建的地铁线路中逐渐得到应用。近年来,已有大量学者开展了嵌入式轨道系统结构优化设计等方面的研究。韩健等[4-5]通过理论建模、试验分析及验证,研究了不同参数对轨道结构动力学特性的影响,给出了承轨槽内填充材料垂向刚度以及轨道板下垂向刚度的合理取值范围。冯青松等[6-7]利用有限元软件建立了有轨电车嵌入式轨道动力计算模型,研究了填充材料弹性模量等不同因素对嵌入式轨道结构受力以及变形的影响。汪力等[8]基于温克尔弹性地基梁理论,系统性地研究地铁用嵌入式轨道结构垂向、横向等刚度的组成及影响因素,并类比传统扣件式轨道结构,形成各项刚度的设计方法,给出合理取值建议。刘士煜[9]建立了嵌入式连续支撑轨道结构的ABAQUS有限元仿真模型,仿真计算了最不利工况下轨道结构的最大应力及变形情况。尹华拓等[10]建立了考虑路基不均匀沉降的嵌入式轨道有限元模型,开展了轨道板尺寸等几何参数对轨道结构力学特性影响以及优化研究,并确定其合理变化范围。袁杰等[11]利用有限元软件ANSYS建立了精细化的嵌入式轨道有限元模型,系统性分析了嵌入式轨道整体刚度具体范围以及刚度组成,得到了轨道槽内各个部件对嵌入式轨道整体刚度的贡献量以及在满足轨道刚度要求下的槽内部件的建议参数。然而,大部分研究都是进行单因素单目标影响分析,采用NSGA-II遗传算法进行多因素多目标优化在嵌入式轨道参数优化设计改进的研究领域尚未见到,且由于数值仿真计算量大、耗费时间长,大部分研究考虑的工况较少,而采用高阶响应面作为代理模型,验证模型精度后,可快速高效地计算大量工况为优化提供基础。本文在车辆-嵌入式轨道-隧道耦合动力学分析模型基础上,开展基于最优拉丁超立方抽样的试验参数点集动力学计算,构建四阶响应面动力学响应拟合公式,实现了基于NSGA-II遗传算法寻优和TOPSIS排序的参数优化设计,可以为嵌入式轨道参数设计提供可靠技术路径。
1 地铁嵌入式轨道结构参数多目标优化方法
地铁嵌入式轨道结构关键参数的多目标优化步骤如下:
1) 建立地铁列车-嵌入式轨道-隧道动力学分析模型,并通过与现场试验数据对比验证动力学模型的可靠性。
2) 确定嵌入式轨道结构参数合理区间,采用最优拉丁超立方试验设计方法获取轨道结构参数的初始样本点集。
3) 确定系统优化目标,计算参数样本点集对应的动力学响应指标,利用高阶响应面构建目标函数代理模型。
4) 抽取新的嵌入式轨道结构参数样本点,计算目标函数值,考察其误差是否满足要求,并与其他模型对比验证该代理模型方法的准确性。
5) 采用NSGA-II遗传算法获取优化目标的Pareto解集,并通过TOPSIS评价方法确定不同设计需求的最优解和对应的轨道参数。
所提出的优化方法的流程图如图1所示。

1.1 地铁列车-嵌入式轨道-隧道动力学分析模型
1.1.1 基本模型
基于车辆-轨道耦合动力学理论[12],将地铁列车、嵌入式轨道结构、隧道视为整体系统,引入能量变分原理[13],建立了地铁列车-嵌入式轨道-隧道动力学分析模型[14](见图2),用下式表示:

式中:







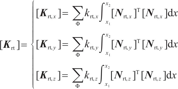
本动力学模型以有限元和能量变分原理为基础,车辆模拟为具有二系悬挂的多刚体系统,其中:车体、构架和轮对均模拟为带旋转的6自由度质点,一系和二系悬挂用弹簧-阻尼单元模拟。钢轨和轨道板分别采用伯努利-欧拉梁单元和中厚板单元模拟,承轨槽内连续填充材料模拟为线弹簧-阻尼单元,通过线积分实现钢轨与轨道板相互作用矩阵耦合,其耦合刚度矩阵公式如下:

其中:














式中:




















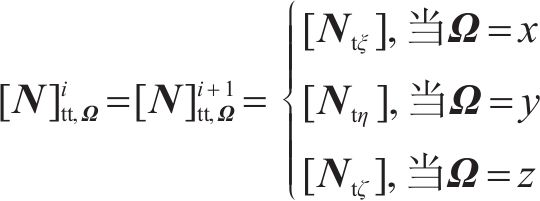
钢轨-轨道板耦合阻尼矩阵的形成方式与上式同,仅需将刚度系数“





隧道采用空间8节点等参单元模拟,其中:隧道环由一组隧道管片组成,故考虑隧道管片之间的相互作用,如图3所示,第i和第(i+1)隧道管片间的耦合刚度矩阵可由以下公式给出:


其中,









式中:



















其他关于轮轨耦合及结构耦合的动力学矩阵形成方法已在文献[14]中详细说明,本文不再赘述。此外,轨道不平顺随机激励采用美国五级谱,通过基于逆傅里叶变换的时频转换方法反演获得[14],轨道不平顺激励时程如图4所示。

1.1.2 模型验证
基于某地铁线现场测试数据,与本模型的计算结果进行了对比验证。实测数据的基本工况为:地铁A型车6节,车速55 km/h,隧道洞径5.5 m。
图5给出了隧道壁的拾振点定点振动加速度的时域/频域/振动加速度级/振级对比结果,由图5(a)可以看出,本文构建数值模型的计算结果与实测结果的时程曲线特征规律基本吻合;由图5(b)的傅里叶变换结果可以看出,实测结果和数值结果在频域成分上比较接近;由图5(c)~图5(d)的振动加速度级和振级分析结果可以看出,本计算模型也具备较高的振级分析可靠性。然而,由于结构参数及轨面不平顺激励等存在不确定性,在振动频率和幅值上实测与模拟结果不可避免地存在一定差异。

1.2 基于高阶响应面法的代理模型建立
1.2.1 高阶响应面法
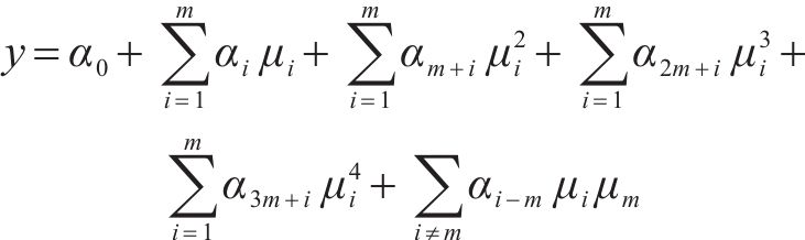
响应面法是对实物试验数据或数值模拟数据进行显化拟合,得到响应和约束关于参数变量的函数近似表达式的方法[15-16]。嵌入式轨道结构较为复杂,加速度等动力学响应需要通过数值方法进行计算,而参数优化是一个持续迭代改进的过程,其间需要多次调用地铁列车-嵌入式轨道-隧道动力学分析模型进行数值模拟,花费时间长、整体计算量大。本文采用代理模型策略,通过响应面模型拟合系统参数与响应指标间的隐式函数关系,进而实现响应指标的显式化。四阶响应面模型显式表达式如下:

式中:m为需要优化参数的个数;α0为常数项系数,(α1、α2…αm)、(αm+1、αm+2…α2m)、(α2m+1、α2m+2…α3m)、(α3m+1、α3m+2…α4m)依次为1次、2次、3次以及4次项系数;αi-m为交叉项系数。
在求解过程中,通常将自变量的真实值进行无量纲处理,可将该自变量上、下限值表征为1和-1,换算关系如下:

式中:

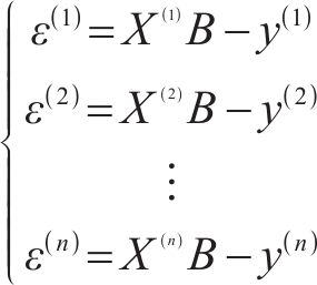
为求解表达式中的待定系数,试验需要进行n次,且n要大于拟合公式的总项数。试验将会得到样本点x(i)的响应y(i),响应面预测值与试验值之间的误差如下:

式中:X是自变量换算值向量;B是待定系数列向量;

1.2.2 目标函数代理模型构建
选择对嵌入式轨道结构影响较为敏感的6个参数,即承轨槽内填充材料垂向刚度(µ1)、承轨槽内填充材料垂向阻尼(µ2)、承轨槽内填充材料横向刚度(µ3)、承轨槽内填充材料横向阻尼(µ4)、轨道板下垂向刚度(µ5)以及轨道板下垂向阻尼(µ6)作为优化对象,并以垂向Sperling指标(y1)、轮轨垂向力(y2)、轮轨横向力(y3)、钢轨垂向振动加速度(y4)、钢轨横向振动加速度(y5)、轨道板垂向振动加速度(y6)、轨道板横向振动加速度(y7)以及隧道壁垂向分频振级(y8)为优化目标函数。
为求解优化目标函数的响应面模型,需要生成样本数大于拟合公式的总项数的样本点集进行试验。最优拉丁超立方抽样方法[17](optimal latin hypercube sampling, OLHS)所得到的样本点集在概率空间中分布的均匀程度较高,选择其作为抽样方法。考虑轨道结构设计合理性要求[5],设置试验参数的取值范围如表1所示。基于最优拉丁超立方抽样方法,获得200组试验样本,并通过动力学分析模型仿真计算得到优化目标响应,试验样本点分布如图6所示。根据图6的200组样本点的计算结果,可得到8个优化目标的高阶响应面模型,部分系数如表2所示。
| 因素 | µ1/(106 N∙m-2) | µ2/(104 N∙s∙m-2) | µ3/(106 N∙m-2) | µ4/(104 N∙s∙m-2) | µ5/(109 N∙m-3) | µ6/(106 N∙s∙m-3) |
|---|---|---|---|---|---|---|
| 水平 | 50~150 | 2.5~30 | 20~70 | 2~20 | 0.5~5 | 0.05~0.5 |

| 系数 | y2/kN | y2/(m∙s-2) | Y8/dB | 系数 | y2/kN | y2/(m∙s-2) | Y8/dB |
|---|---|---|---|---|---|---|---|
| α0 | 77.215 5 | 26.382 4 | 75.027 1 | α20 | -0.820 9 | 12.359 2 | 0.140 0 |
| α1 | 0.267 1 | 3.188 1 | 3.262 9 | α21 | 1.619 2 | 2.829 3 | 0.728 9 |
| α2 | -2.360 8 | 5.105 7 | -0.657 1 | α22 | 0.713 6 | 1.245 1 | -0.205 1 |
| α3 | 0.195 5 | -1.363 7 | -0.044 7 | α23 | 0.538 6 | 1.891 0 | -0.587 6 |
| α4 | 0.651 3 | -4.426 7 | 0.177 3 | α24 | -1.479 0 | -0.164 1 | -0.680 2 |
| α5 | -0.162 4 | -0.409 3 | -0.390 8 | α1-2 | -0.442 7 | -0.111 0 | -2.164 6 |
| α6 | -0.100 4 | 0.827 4 | -0.233 6 | α1-3 | 1.212 0 | 1.655 0 | 0.274 4 |
| α7 | -2.744 6 | -0.565 5 | -0.475 9 | α1-4 | -1.540 4 | -1.347 6 | -0.415 0 |
| α8 | 5.953 6 | -2.088 5 | 1.784 3 | α1-5 | -1.458 7 | -0.622 3 | 0.111 5 |
| α9 | -1.833 8 | -4.142 9 | -0.941 2 | α1-6 | -0.181 6 | -1.452 8 | -0.203 0 |
| α10 | -0.405 1 | 2.561 9 | 0.246 6 | α2-3 | 0.593 5 | 2.296 7 | 0.246 5 |
| α11 | -0.877 2 | -2.865 6 | 0.417 6 | α2-4 | 0.564 5 | 0.968 7 | 0.035 0 |
| α12 | 1.162 8 | 0.622 4 | 0.654 8 | α2-5 | 0.276 8 | 1.146 5 | -0.201 0 |
| α13 | 2.084 6 | -0.285 0 | -0.279 7 | α2-6 | 0.713 5 | 1.227 9 | 0.143 2 |
| α14 | -1.100 7 | -3.508 8 | -1.202 5 | α3-4 | 1.326 8 | -0.235 2 | 0.440 1 |
| α15 | 0.658 0 | 0.009 7 | 0.080 1 | α3-5 | 0.654 6 | 0.692 7 | -0.039 1 |
| α16 | -0.351 6 | -1.799 1 | -0.080 1 | α3-6 | 0.030 0 | 1.176 4 | 0.078 1 |
| α17 | 0.208 3 | 1.506 4 | 0.497 8 | α4-5 | 0.013 3 | -0.614 2 | 0.006 7 |
| α18 | 0.098 1 | -0.942 2 | 0.156 7 | α4-6 | 0.401 1 | 0.709 8 | 0.070 8 |
| α19 | -2.298 1 | -0.018 7 | -0.593 7 | α5-6 | 0.149 6 | -0.502 8 | 0.145 3 |
1.3 基于NSGA-II遗传算法的多目标优化
NSGA-II遗传算法[18-19]具有运行速度快、解集收敛性好等优点,在进行多目标优化时,需先建立多目标优化数学模型,从垂向Sperling指标(y1)、轮轨垂向力(y2)、轮轨横向力(y3)、钢轨垂向振动加速度(y4)、钢轨横向振动加速度(y5)、轨道板垂向振动加速度(y6)、轨道板横向振动加速度(y7)以及隧道壁垂向分频振级(y8)等多指标的全局优化角度出发,建立嵌入式轨道结构关键参数多目标优化数学模型:



式中:


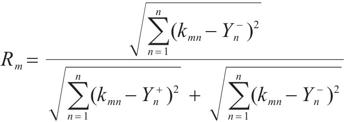
采用NSGA-II遗传算法对嵌入式轨道结构参数进行多目标优化,以公式(7)为适应度函数,引入精英策略,经持续迭代优化,得到Pareto最优解集。为得到不同设计需求下的最优解,需要对Pareto最优解集的各个解进行评估并排序。TOPSIS[20-21]通过欧氏距离确定评价对象与理想解的距离,能够基于原有数据充分提取数据信息,实现综合评价排序,具体公式如下:

式中:




2 优化结果与仿真验证
2.1 代理模型有效性验证
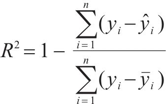
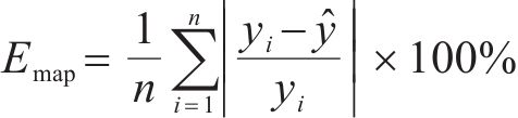
代理模型的有效性通常采用决定系数R2以及平均绝对百分比误差Emap(mean absolute percentage error, MAPE)来评价模型性能[22],计算式如下:


式中:n为试验点数量;


基于试验的200组样本参数和计算结果,计算高阶响应面的R2值和Emap值,为论证高阶响应面法的可靠性,同时引入了BP神经网络方法和LSSVM方法进行精度对比检验,对比验证结果如图7所示。高阶响应面模型对垂向Sperling指标(y1)、轮轨垂向力(y2)、轮轨横向力(y3)、钢轨垂向振动加速度(y4)、钢轨横向振动加速度(y5)、轨道板垂向振动加速度(y6)、轨道板横向振动加速度(y7)以及隧道壁垂向分频振级(y8)的拟合预测的R2值分别为0.996、0.962、0.983、0.997、0.960、0.983、0.976、0.980,都在0.96以上,说明模型整体预测精度较高,且BP神经网络和LSSVM代理模型的R2值均小于高阶响应面模型。高阶响应面对y1、y2、y3、y4、y5、y6、y7、y8拟合的平均绝对百分比误差分别为0.001 5%、0.487 4%、0.212 2%、0.290 7%、3.355 3%、1.586 1%、2.011 6%、0.207 5%,表现良好,而BP神经网络和LSSVM代理模型的Emap值均大于高阶响应面模型,预测误差较大,模型性能不如高阶响应面模型。综合不同代理模型R2值与Emap值对比,高阶响应面的精度更高,故选用高阶响应面模型作为代理模型代替动力学仿真进行多目标优化。

2.2 优化结果
通过NSGA-II遗传算法对嵌入式轨道结构参数进行多目标优化,种群大小设置为50,交叉概率设置为0.8,变异概率设置为0.05,迭代次数设置为400,经快速非支配排序、拥挤度计算,筛选出种群中适应度较高的个体,再采用选择、交叉、变异等操作对种群持续优化迭代,直至设置的最大迭代次数400次,得到Pareto最优解集,如图8所示。

考虑到在不同的实际应用场景下各优化目标的重要性不同,赋予垂向Sperling指标(y1)、轮轨垂向力(y2)、轮轨横向力(y3)、钢轨垂向振动加速度(y4)、钢轨横向振动加速度(y5)、轨道板垂向振动加速度(y6)、轨道板横向振动加速度(y7)以及隧道壁垂向分频振级(y8)的不同的权重矩阵后,本文采用TOPSIS法对得到的Pareto最优解集的各个解进行综合评估排序,得到不同设计需求下的最优解,见表3。
| 序号 | 权重矩阵 | µ1/ (106 N∙m-2) | µ2/ (104 N∙s∙m-2) | µ3/ (106 N∙m-2) | µ4/ (104 N∙s∙m-2) | µ5/ (109 N∙m-3) | µ6/ (106 N∙s∙m-3) |
|---|---|---|---|---|---|---|---|
| 1 | 0.3,0.1,0.1,0.1,0.1,0.1,0.1,0.1 | 130 | 28.5 | 70 | 2.0 | 0.5 | 0.5 |
| 2 | 0.1,0.3,0.1,0.1,0.1,0.1,0.1,0.1 | 50 | 19 | 69 | 2.5 | 0.5 | 0.5 |
| 3 | 0.1,0.1,0.1,0.3,0.1,0.1,0.1,0.1 | 92 | 30 | 27 | 2.0 | 4.9 | 0.08 |
| 4 | 0.1,0.1,0.1,0.1,0.1,0.3,0.1,0.1 | 52 | 12 | 70 | 2.5 | 4.5 | 0.05 |
| 5 | 0.1,0.1,0.1,0.1,0.1,0.1,0.1,0.3 | 54 | 10.5 | 68 | 2.0 | 4.9 | 0.08 |
| 6 | 1/8,1/8,1/8,1/8,1/8,1/8,1/8,1/8 | 130 | 30 | 27 | 19 | 4.5 | 0.05 |
优化方案的各项轨道结构参数与优化前各项轨道结构参数以及对应动力特性的对比情况如表4及表5所示,由表可知,垂向Sperling指标等8个指标都较优化前有所下降,其中钢轨以及轨道板部位的优化效果较为明显。具体来说,轮轨垂向力、轮轨横向力、钢轨垂向振动加速度、钢轨横向振动加速度、轨道板垂向振动加速度、轨道板横向振动加速度、隧道壁垂向分频振级分别降低7.24%、5.39%、18.47%、26.54%、13.22%、28.88%、6.51%,验证了本文提出的基于高阶响应面模型的多目标优化方法可行有效。轮轨垂向力、钢轨垂向振动加速度、轨道板横向振动加速度以及隧道壁垂向振级分频振级对比如图9所示。
| 名称 | µ1/(106 N∙m-2) | µ2/(104 N∙s∙m-2) | µ3/(106 N∙m-2) | µ4/(104 N∙s∙m-2) | µ5/(109 N∙m-3) | µ6/(106 N∙s∙m-3) |
|---|---|---|---|---|---|---|
| 优化前 | 142 | 3.0 | 66 | 3.0 | 2.2 | 0.42 |
| 优化后 | 130 | 30 | 27 | 19 | 4.5 | 0.05 |
| 名称 | y1 | y2/kN | y3/kN | y4/(m∙s-2) | y5/(m∙s-2) | y6/(m∙s-2) | y7/(m∙s-2) | y8/dB |
|---|---|---|---|---|---|---|---|---|
| 优化前 | 1.736 1 | 85.197 | 11.815 | 251.933 | 45.167 | 37.178 | 1.759 | 81.110 |
| 优化后 | 1.736 0 | 79.026 | 11.178 | 185.720 | 33.181 | 32.264 | 1.251 | 75.830 |

3 结论
1) 建立了地铁列车-嵌入式轨道-隧道系统动力学模型,引入了最优拉丁超立方抽样、高阶响应面和NSGA-II遗传算法,构建了用于嵌入式轨道关键参数设计的多目标优化方法,并通过实测数据验证了本文模型及方法的可靠性。
2) 建立了含交叉项的四阶响应面代理模型,将动力学仿真问题中复杂的非线性隐式关系显式化表达。相较于BP神经网络和LSSVM,该代理模型的决定系数更接近1,误差更小,精度更高。
3) 赋予不同优化目标权重矩阵后,将得到不同设计需求下的最优解。当以平均权重为最优设计时,垂向Sperling指标等8个指标都较优化前有所下降,其中轮轨垂向力、轮轨横向力、钢轨垂向振动加速度、钢轨横向振动加速度、轨道板垂向振动加速度、轨道板横向振动加速度、隧道壁垂向分频振级分别降低7.24%、5.39%、18.47%、26.54%、13.22%、28.88%、6.51%,优化后的嵌入式轨道结构在车体、钢轨、轨道板以及隧道壁等处的振动都得到了降低,证明了该优化方法的有效性。
徐磊,王甲生,杨玲等.地铁嵌入式轨道结构参数多目标优化研究[J].铁道科学与工程学报,2025,22(10):4489-4501.
XU Lei,WANG Jiasheng,YANG Ling,et al.Multi-objective optimization research on structural parameters of metro embedded track[J].Journal of Railway Science and Engineering,2025,22(10):4489-4501.

