对置活塞二冲程柴油机因其结构简单、燃油效率高、功率密度大等特点应用于航空航天、军事工业、重型运载设备[1-4]以及混合动力架构[5-6]中。
对置活塞二冲程柴油机的换气过程时间比四冲程的短,换气过程对于发动机性能尤为重要。国内外学者细致研究了对置活塞二冲程柴油机扫气性能的影响参数,主要包括进排气口高度与宽度[7-8]、进气口仰角[9]与倾角[10-11]、进气口厚度[12-13]、进排气口数量[12]、进排气压力与压差[14-16]以及进气口结构[17]等。吴丹[7]基于缸径为100 mm的OP2S三维模型,对扫气口的高度比、宽度比、倾角、仰角等扫气参数进行了优化,发现无论扫气倾角多大,扫气气流都无法完整覆盖整个径向平面。此外,一定的进气口仰角可以在降低部分扫气效率的基础上,有效提高缸内湍动能,但并未给出最佳的仰角范围。其中,湍动能(TKE)用于表征小尺度流动的参数,TKE越高、局部流动区域无序运动强度越强,这些区域往往更有利于喷雾破碎与燃烧[18]。YANG等[8]基于缸径为90 mm的OP2S发动机模型,研究了进排气口高度冲程比对扫气性能的影响规律,发现提高进排气口高度冲程比会提高扫气效率与给气比、降低捕获质量,同时指出进气口高度冲程比最佳范围为0.11~0.15。章振宇等[10]基于缸径为100 mm的OP2S发动机模型对扫气口参数进行了分析,指出倾角为20°时,单层气口扫气性能最优。
上述研究结果表明,即使优化后的常规气口能取得一定效果,但很难平衡扫气效率、捕获率与缸内湍动能,因此,部分学者对复杂气口进行研究。陈文婷等[19]提出了组合排布的雏形,发现采用直流扫气方式可较好地避免新鲜充量与废气的掺混,有效提升高速二冲程发动机的扫气质量。王苏飞等[20]基于组合排布式气口,研究了扫气口倾角、扫气口构型及转速如何通过改变扫气气流进而影响换气效果,发现当进气倾角大于20°时,随着进气倾角的增大,单层气口的废气残余系数逐渐增大,组合式气口的残余废气系数逐渐减小。此外,其还指出涡流层气口倾角为34°左右时扫气性能最好。
综上可知,单层进气口无法实现完整的扫气面[7]。若要求发动机功率高、扭矩高,则大缸径OP2S发动机扫气难度更高:一方面,换气过程所需的完整扫气面变大;另一方面,喷雾燃烧区域径向距离更长,需要更强的扰动气流促进喷雾破碎、混合气形成及后续燃烧。目前的研究以增强气口涡流效果为提高湍动能的主要手段,关于滚流效果气口的研究相对较少,而该方法在提升TKE方面具有较大潜力。针对上述问题,本文设计研究了间隔排布式气口与混合排布式气口,将该排布方式与多缸非对称式进气腔进行组合,并开展了关键参数的优化研究,通过对研究结果进行对比分析,研究不同气口构型下的流场特性。
1 三维模型建立与验证
1.1 仿真模型建立
本文研究的三维稳态模型如图1所示,三维瞬态模型如图2所示。设定三维稳态仿真进气压力为0.1 MPa(总压力),进气温度为293.15 K,排气压力为0.097 MPa(静压力),缸内初始压力为0.097 MPa,缸内初始温度为293.15 K。发动机技术参数如 表1所示,三维瞬态仿真的边界条件与初始条件如表2所示,发动机三维瞬态计算的曲轴转角区间为90°~450°,仿真包括换气、压缩与喷雾燃烧过程的整个做功循环。进气口参数如表3所示。
2025年9期/10.11817j.issn.1672-7207.2025.09.032/alternativeImage/28964C43-959C-48fe-9AC5-16AD1840C756-F001.jpg)
2025年9期/10.11817j.issn.1672-7207.2025.09.032/alternativeImage/28964C43-959C-48fe-9AC5-16AD1840C756-F002.jpg)
| 参数 | 数值 |
|---|---|
| 缸径/mm | 120 |
| 转速/(r·min-1) | 2 600 |
| 压缩比 | 18.5 |
| 冲程/mm | 120×2 |
| 连杆长度/mm | 165.8 |
| 进排气相位差/(°)(曲轴转角) | 10 |
| 进气开启范围/(°)(曲轴转角) | 136~234 |
| 排气开启范围/(°)(曲轴转角) | 104~256 |
| 参数 | 数值 |
|---|---|
| 进气压力/Pa | 248 625.5 |
| 进气温度/K | 373.2 |
| 缸内初始温度/K | 1 445.5 |
| 缸内初始压力/Pa | 984 351.3 |
| 排气压力/Pa | 118 541.5 |
| 排气温度/K | 1 005.2 |
| 缸内初始当量比 | 15.6 |
| 参数 | 数值 |
|---|---|
| 进气倾角/(°) | 30~40 |
| 进气仰角/(°) | 0~12 |
| 进气口高度/mm | 19 |
| 进气口宽度/mm | 13.6 |
| 进气口数/个 | 16 |
| 扫气面积/mm2 | 4 346.5 |
参考前人对OP2S扫气口倾角与仰角的定义,将扫气口倾角定义为扫气口相对于气缸中心的径向偏移角度,将扫气口仰角定义为扫气口相对于气缸中心的轴向偏移角度。用I表示进气倾角,用E表示进气仰角,如图3所示。本文将带有倾角的进气口统称为涡流进气口,简称涡流口;将带有仰角的进气口统称为滚流进气口,简称滚流口;将既不带倾角也不带仰角的气口统称为直流进气口,简称直流口。
2025年9期/10.11817j.issn.1672-7207.2025.09.032/alternativeImage/28964C43-959C-48fe-9AC5-16AD1840C756-F003.jpg)
1.2 燃烧模型校正
为了验证仿真模型的准确性,将仿真计算得出的缸压与试验结果相比较。同时,仿真模型的计算网格数是计算时间的决定性因素,为保证计算精度、降低计算成本,对模型进行网格无关性验证。对1台常规直流扫气对置活塞(USOP)发动机模型进行模型验证与网格无关性验证,分别计算与测量了边长为3.0、3.5、4.5 mm这3种网格尺寸下的仿真缸压与试验缸压,结果如图4所示。结果表明缸压试验值与仿真值最大相对误差为8.12%。4.5 mm网格仿真计算缸压与试验缸压较接近,再减小基础网格的尺寸无法提高缸压精度,因此,本文所有仿真模型均采用4.5 mm网格。
2025年9期/10.11817j.issn.1672-7207.2025.09.032/alternativeImage/28964C43-959C-48fe-9AC5-16AD1840C756-F004.jpg)
1.3 稳态气道试验验证
根据网格无关性选择的基础网格进行仿真计算,并基于稳态气道试验台进行流量系数与涡流比的测试,再将稳态仿真结果与稳态气道试验数据进行对比以验证模型的准确性,对比结果见图5。从图5可以看出:稳态涡流比试验值与仿真值的最大相对误差为4.76%,流量系数试验值与仿真值的最大相对误差为4.05%。
2025年9期/10.11817j.issn.1672-7207.2025.09.032/alternativeImage/28964C43-959C-48fe-9AC5-16AD1840C756-F005.jpg)
2 稳态结果分析
由于不同气口开度所显示的扫气效果可能存在细微差异,因此,下文中的大开度表示气口开度为19 mm(即气口全开),小开度表示气口开度为7 mm(气口部分开度)。同时,为保证对比效果,以下所有稳态情况的进气口面积、高度、厚度均相同,直流口(或滚流口)与涡流口上下层组合时均为内部(即靠近气缸侧)重合,流场截面截取时间均为涡流比与流量系数完全稳定后的时间。
2.1 间隔排布式进气口
为兼顾扫气效率、充气效率与湍动能,本文提出了一种将涡流口与直流口(或滚流口)布置在同一高度下的间隔排布式气口,如图6所示。该进气口结构通过将大倾角涡流口与直流口(或滚流口)的扫气面进行组合和提高直流口进气量来提高捕获质量与扫气效率。通过对涡流角进行优化设计,从而对气流流动轨迹进行优化,进而形成完整扫气面。
2025年9期/10.11817j.issn.1672-7207.2025.09.032/alternativeImage/28964C43-959C-48fe-9AC5-16AD1840C756-F006.jpg)
间隔排布的最大特点是涡流口与非涡流口(即直流口与滚流口)之间存在相互干涉现象,而产生这一干涉现象的主要原因是非涡流口不存在倾斜角,其气流直接冲向气缸中心,而涡流口存在一定的倾斜角,其进气气流方向围绕气缸中心移动,当这两股气流在同一高度时会相互干涉。干涉效果主要有2方面:一方面,涡流口与非涡流口之间的相互干涉可以扩大涡流的径向分布,进而扩大扫气面;另一方面,干涉效果会使得通过非涡流口的大部分气流无法达到气缸中心,导致中心废气滞留严重,扫气效果较差,并且整体涡流效果也受到直流口气流的扰动而减弱。因此,为了尽可能形成完整的扫气面并同时获得较高涡流比与流量系数,本文选取40°倾角进气口作为涡流扫气口,同时使非涡流口出现仰角,以适当错开非涡流口气流与涡流口气流。
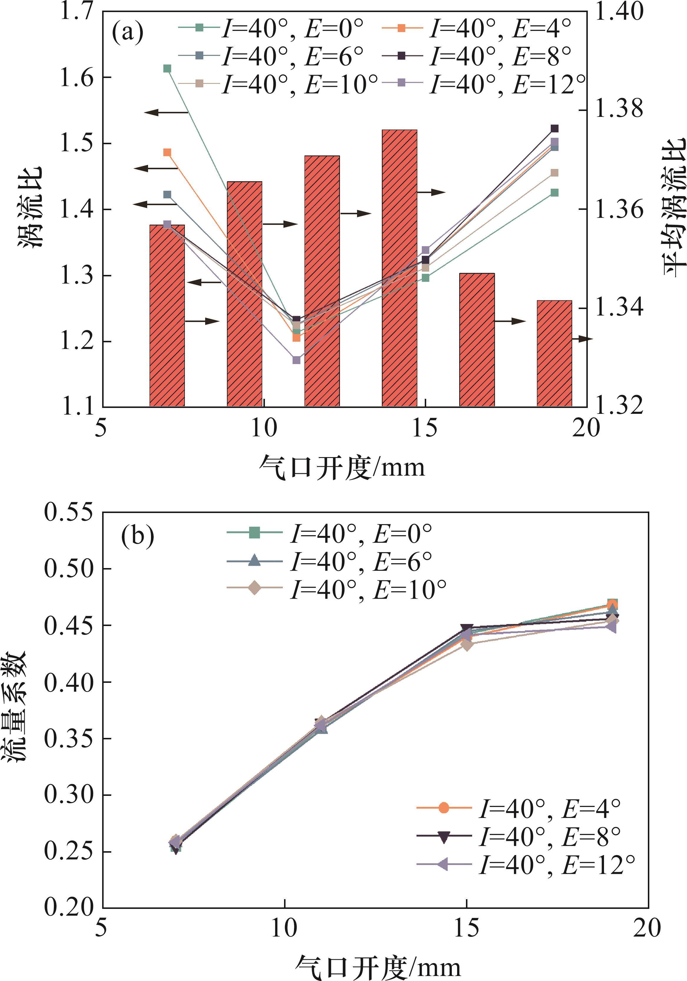
不同的进气仰角对于间隔排布的涡流比、流量系数的影响存在一定规律。进气倾角或仰角的增大往往会提高缸内湍动能而降低进气量。当涡流口倾角为40°时,不同进气仰角的稳态评价参数如图7所示。从图7可以看出:对于较小的气口开度而言,稳态涡流比随着进气仰角的增大呈现明显递减趋势,这是由于滚流口仰角的存在削弱了干涉效果,使得涡流比提高。最大涡流比削弱量可达17.2%;而仰角对于流量系数的影响很小,最大的流量系数减小幅度仅为1.93%。对于较大的气口开度而言,涡流口与非涡流口的进气量较大,进气气流之间的干涉效果有限,并不能显著干扰对方,因此,干涉效果并不显著。同时,进气仰角对于涡流比与流量系数的削弱效果均较小,最大削弱幅度分别为6.96%和4.37%,并且流量系数随着仰角的增大而略微降低。
2025年9期/10.11817j.issn.1672-7207.2025.09.032/alternativeImage/28964C43-959C-48fe-9AC5-16AD1840C756-F007.jpg)
综合上述,当仰角为8°时,在各开度下平均稳态涡流比最高,平均流量系数较高,因此,选取8°仰角方案作为最佳仰角方案进行后续优化。
2.2 混合排布式进气口
间隔排布式进气口存在流量系数较低与扫气面单一的问题,可通过上下分层(即混合排布式)的方式进行优化,混合排布式进气口结构如图8所示。
2025年9期/10.11817j.issn.1672-7207.2025.09.032/alternativeImage/28964C43-959C-48fe-9AC5-16AD1840C756-F008.jpg)
混合排布采用40°倾角搭配8°仰角进行仿真计算,通过改变层高来探究混合排布的最佳层高。设Ut与Lt分别为混合排布中的上层高度与下层高度。
基于非对称式进气腔的特点,对混合排布上下层进气口添加圆角以适当降低低速进气口进气阻力,并强化涡流导向作用,具体布置方案如图9所示。
2025年9期/10.11817j.issn.1672-7207.2025.09.032/alternativeImage/28964C43-959C-48fe-9AC5-16AD1840C756-F009.jpg)
不同层高下的混合排布稳态参数见图10。对于混合排布而言,各层高度是影响各开度缸内流场的重要因素。从图10可见:混合排布在任意开度下的进气效果均优于间隔排布的进气效果,大开度下流量系数最大提升幅度为8.56%,小开度下流量系数最大提升幅度为5.67%。混合排布在大开度下的涡流比小于间隔排布的涡流比,但在中小开度下比间隔排布的高。相较于间隔排布,混合排布的平均涡流比与流量系数均较高,这是由于上下层产生的涡流高速区分布不同,两层的涡流高速区相互补充,因此,涡流高速区在气缸中的分布更加均匀,使得平均涡流比相较于单层的间隔排布更高。
2025年9期/10.11817j.issn.1672-7207.2025.09.032/alternativeImage/28964C43-959C-48fe-9AC5-16AD1840C756-F010.jpg)
综上所述,上层高度为12 mm、下层高度为 7 mm的混合排布方案能获得最高的平均涡流比与较高的流量系数,因此,选取该方案进行瞬态计算分析。
3 瞬态结果分析
对置活塞二冲程柴油机扫气性能可以从扫气效率、捕获率、给气比等参数进行评价。本文选择倾角为20°的单层涡流口排布式气口(常规气口)作为基础方案,将倾角为30°、上层层高为7 mm的组合排布作为方案1,将仰角为0°与8°的2种间隔排布方案分别作为方案2与方案3,将进气倾角为40°与30°、上层层高均为12 mm且内外侧均添加圆角的混合排布方案分别作为方案4与方案5,并将上述5个方案进行对比分析,具体的评价参数如表4所示,IMEP对比如图11所示。其中,IMEP为指示平均有效压力,表征考虑传热损失下的发动机做功能力。
| 参数 | 基础方案 | 方案1 | 方案2 | 方案3 | 方案4 | 方案5 |
|---|---|---|---|---|---|---|
| 进气量/g | 5.39 | 5.78 | 5.61 | 5.55 | 5.92 | 6.11 |
| 捕获质量/g | 3.16 | 3.53 | 3.31 | 3.23 | 3.58 | 3.49 |
| 扫气效率/% | 91.40 | 95.50 | 93.60 | 93.60 | 95.60 | 95.20 |
| 喷油时刻湍动能/(m2·s-2) | 146.20 | 159.30 | 179.90 | 197.70 | 194.80 | 219.60 |
2025年9期/10.11817j.issn.1672-7207.2025.09.032/alternativeImage/28964C43-959C-48fe-9AC5-16AD1840C756-F011.jpg)
从表4与图11可以看出:方案2由于不添加仰角,导致直流口气流与涡流口气流相互干涉,抑制了涡流效果与扫气面的形成,扫气效率与湍动能均不高,IMEP较低。方案3由于添加了8°仰角,进气量小幅降低。同时,由于仰角的存在,一方面强化了滚流效果与涡流效果,在提高了喷油时刻湍动能的同时降低了扫气效率与捕获质量;另一方面,适当削弱了直流气口气流与涡流气口气流之间的干涉效果,提升了扫气效率。最终,相较于方案2,方案3在扫气效率不变而捕获质量略微降低的前提下,实现了湍动能的较大提升。在稳态计算中,方案3在各开度下的最高涡流比低于方案2的最高涡流比,各开度下的平均涡流比却高于方案2的平均涡流比,但方案3的最终IMEP高于方案2的IMEP。这表明对于评价对置活塞二冲程柴油机性能而言,平均涡流比相较于最高涡流比更具代表性。方案4、5的分层扫气使得扫气面完整化,扫气效率、捕获质量与喷油时间湍动能相较于方案3有了全面提升,IMEP得到较大提升。由于单层涡流口排布与间隔排布的IMEP较低,后面不再进一步分析其流场,而采取两种混合排布方案与组合排布方案进行对比分析。
表4所示为不同排布方案下的参数,图12~15所示为不同方案下的绕X轴滚流比、绕Y轴滚流比、涡流比与湍动能,可见方案1能产生最强的涡流效果,但无法形成较强的滚流效果;方案4、5的涡流效果相对较弱,滚流效果相对较强。同时,方案4的涡流比较高,而方案5的滚流比较高,方案4、5的涡流比与滚流比的差值相差并不大,但方案5的湍动能明显高于方案4的湍动能,这表明滚流效果对于湍动能的影响明显比涡流效果的更大。
2025年9期/10.11817j.issn.1672-7207.2025.09.032/alternativeImage/28964C43-959C-48fe-9AC5-16AD1840C756-F012.jpg)
2025年9期/10.11817j.issn.1672-7207.2025.09.032/alternativeImage/28964C43-959C-48fe-9AC5-16AD1840C756-F013.jpg)
2025年9期/10.11817j.issn.1672-7207.2025.09.032/alternativeImage/28964C43-959C-48fe-9AC5-16AD1840C756-F014.jpg)
2025年9期/10.11817j.issn.1672-7207.2025.09.032/alternativeImage/28964C43-959C-48fe-9AC5-16AD1840C756-F015.jpg)
整个换气阶段的3种气口排布方式对应的湍动能相差并不大,但压缩段混合排布方案湍动能明显比组合排布方案的高。随着压缩过程的进行,缸内轴向可利用空间逐渐减小,滚流速度先不断增大,当达到一定速度后,滚流效果快速减弱,缸内流场受到扰动,缸内湍动能在此后迅速提高,使得方案4、5在320°(曲轴转角)后的湍动能迅速高于方案1的湍动能。
在扫气初期,方案1、4、5均不同程度地出现了左右两侧扫气速度不同的现象,如图16所示。该现象会导致一侧已经完成初次扫气,而另一侧依然存在废气残留,不利于废气的扫除。同时,扫气速度差是形成滚流的关键因素,而滚流的存在使得新鲜气体与残余废气发生掺混,导致扫气并不完全。此外,在扫气初期,3种排布方案均出现了不同程度的中心废气残留问题,其中,方案1由于直流口还未开启,中心废气残留问题最为严重。
2025年9期/10.11817j.issn.1672-7207.2025.09.032/alternativeImage/28964C43-959C-48fe-9AC5-16AD1840C756-F016.jpg)
在扫气后期,扫气速度差依然存在,如图17所示。具体表现为一侧还未完全扫除废气,而另一侧已经开始出现大量新鲜气体逃逸现象,这也是混合排布扫气效率与捕获质量不高的关键因素之一。在扫气后期同样出现了由两侧进气差导致的明显扫气中心偏移问题。此外,在扫气后期,3种方案仍存在中心扫气不足的问题。在曲轴转角大于175°时,方案1中直流口打开,中心扫气不足问题虽得到部分缓解,但并未达到预期,中心扫气不足问题未得到根本解决。这是因为下层涡流口对上层直流存在卷吸与扰动现象,使得部分直流气流被卷入涡流区使直流区域产生了涡流效果,如图18所示。
2025年9期/10.11817j.issn.1672-7207.2025.09.032/alternativeImage/28964C43-959C-48fe-9AC5-16AD1840C756-F017.jpg)
2025年9期/10.11817j.issn.1672-7207.2025.09.032/alternativeImage/28964C43-959C-48fe-9AC5-16AD1840C756-F018.jpg)
非对称式进气腔的进气不均匀现象是上述方案换气阶段滚流效果产生的根本原因,如图19所示。对于非对称式进气腔组合涡流口的情况,由于每个涡流口的倾角均是在同一倾斜方向,必然会导致一侧气流进入进气口所需偏折的角度较大(即图19中α1)、一侧角度较小(即图19中α2)。偏折角的差异会导致两侧进气阻力存在不同,进而导致进气量也不同,最终使得涡流中心发生偏移。同时,由于近气端气口存在抢气问题,远气端气口的气体流量与流速明显比近气端气口的小,进而导致扫气中心偏移(图20)。如图21和图22所示。上述扫气中心偏移效果会进一步形成轴向(即Z方向)扫气速度不同,最终形成滚流效果。由此可知,无论是单层排布、间隔排布、组合排布还是混合排布,在不添加其他结构的情况下,只要存在涡流进气口与非对称式进气腔组合使用的情况,均会存在单侧扫气现象。对于方案1而言,曲轴转角为170°时直流口开启,缓解了由于涡流口导致的进气不均匀现象,使得滚流效果不断减弱。而混合排布互为对侧的气口同时存在涡流口与滚流口,进一步提高了进气阻力差,更能契合非对称式进气腔的流场特点,因而能产生更强的滚流效果(图22)。
2025年9期/10.11817j.issn.1672-7207.2025.09.032/alternativeImage/28964C43-959C-48fe-9AC5-16AD1840C756-F021.jpg)
2025年9期/10.11817j.issn.1672-7207.2025.09.032/alternativeImage/28964C43-959C-48fe-9AC5-16AD1840C756-F022.jpg)
2025年9期/10.11817j.issn.1672-7207.2025.09.032/alternativeImage/28964C43-959C-48fe-9AC5-16AD1840C756-F019.jpg)
2025年9期/10.11817j.issn.1672-7207.2025.09.032/alternativeImage/28964C43-959C-48fe-9AC5-16AD1840C756-F020.jpg)
从表4可见,方案4与基础方案相比,IMEP提升了17.48%,与组合排布方案(即方案1)相比,IMEP提升了10.72%。
4 结论
1) OP2S柴油机性能与稳态全开度下的平均涡流比相关度较高,可作为发动机气道优化设计依据。
2) 通过稳态对比结果,当混合排布倾角为40°时,设置仰角为8°、上层层高为12 mm、下层层高为7 mm并进行内外侧圆角优化,能同时获得较高的平均稳态涡流比与流量系数。
3) 混合排布方式与组合排布方式的气口搭配非对称式进气腔均会出现扫气中心偏移现象以及单侧扫气现象,但混合排布能契合非对称进气腔的特点,进而获得最强的滚流效果,缸内湍动能最高。
4) 经过气口优化的混合排布方案(方案4)的IMEP比基础方案的IMEP提升了17.48%,相较于组合排布式气口方案的IMEP提升了10.72%。
李尚书, 秦静, 裴毅强, 等. 进气结构对对置活塞二冲程发动机流场的影响[J]. 中南大学学报(自然科学版), 2025, 56(9): 3947-3957.
LI Shangshu, QIN Jing, PEI Yiqiang, et al. Impact of intake structure on flow field of opposed-piston two-stroke diesel engine[J]. Journal of Central South University(Science and Technology), 2025, 56(9): 3947-3957.
http://dx.doi.org/10.11817/j.issn.1672-7207.2025.09.032

