热电发电系统(thermoelectric generator,TEG)能够将废热能直接转化为电能,具有无污染、无运动部件、无噪声等优势,可应用于传统发动机或增程式发动机进行尾气余热回收,对提高汽车燃油效率和续航里程、减少污染物排放具有重要意义[1-3]。在热电发电系统运行时,与外部负载相连的热电发电片会在两端温差作用下因热电材料的塞贝克效应产生回路电流,从而使热电发电系统输出电功率[4-6]。一般在不超过热电材料失效温度的前提下,热电半导体两端形成的温差越高,热电发电系统的输出功率也越大[7]。然而,电流流经热电半导体会伴随发生帕尔贴效应,导致热端吸热、冷端散热的现象发生,从而缩小热电半导体的两端温差,不利于热电发电系统的功率输出[8-9]。因此,帕尔贴效应对热电发电系统的输出功率和转化效率有着重要的影响。
目前,大多数研究集中在高性能热电材料和部件结构设计优化对热电发电系统输出的影响[10-12]等方面。LU等[13]使用热挤压技术实现了碲化铋热电材料的热电输出性能和机械强度的同时强化。YANG等[14]利用田口法优化得到热电发电系统内部圆柱形翅片最优的高度、直径和排列数量,以最大限度地降低排气背压的同时提高系统热电输出性能。然而,较少学者针对帕尔贴效应对热电发电系统输出的影响进行深入研究,少有的研究也主要集中在帕尔贴效应对单个热电发电模块输出及传热的影响。WANG等[15]通过搭建实验台架研究了固定热端温度下帕尔贴效应对单个热电发电模块冷端温度、模块输出功率和转化效率的影响,结果表明帕尔贴效应会导致最大功率点的负载电阻大于模块内阻。有限元仿真是一种节省制造成本且精确度较高的评价热电发电系统输出性能的有效手段[16]。LIAO等[17]建立了单个热电发电模块的三维有限元模型,仿真结果表明帕尔贴效应会增加热通量和等效热导率,从而降低模块两端的温差。然而,热电发电系统在用于尾气余热回收中会同时涉及流场、热场和电场的多物理场耦合的传热和热电输出[18-20]。对单个热电发电模块的研究不能充分说明帕尔贴效应对整个热电发电系统热量传递和输出性能的实质影响。此外,除了外部负载阻值通过影响回路电流而影响帕尔贴热之外,尾气流量和温度参数以及有无强化传热器件也会影响帕尔贴热对整个系统的热分布。而仅有较少的研究是通过建立整个热电发电系统的三维数值模型研究有无强化传热器件、外部负载电阻和热流体参数变化,分析帕尔贴效应对系统传热和输出的影响。
综上所述,现有研究是针对帕尔贴效应对单个热电发电模块进行的实验和数值仿真研究,缺少实际流热电多物理场耦合作用下帕尔贴效应对整个系统传热和输出影响的数值研究。为此,本文构建了热电发电系统三维流热电多物理场耦合数值模型。首先,对比分析了开路状态无帕尔贴效应和闭路状态有帕尔贴效应对系统传热的影响,进而研究了有无强化传热器件下帕尔贴效应对系统传热和输出的影响;然后,研究了外部负载电阻变化下帕尔贴效应对系统传热和输出的影响;最后,研究了热流体参数变化下帕尔贴效应对系统传热和输出的影响。本研究可为揭示帕尔贴效应对热电发电系统传热和输出的影响提供参考。
1 流热电多物理场数值模型
1.1 热电发电系统结构与材料参数
热电发电系统结构如图1所示,用于回收尾气余热的热电发电系统通常由换热器、热电发电模块(thermoelectric module,TEM)和散热器组成。换热器与尾气进行对流传热从而为TEM提供热端温度,其中,翅片安装于换热器内部用于强化传热;散热器内有冷却水流动从而为TEM提供冷端温度;TEM两端与外部负载电阻连接形成闭环电路,根据热电半导体的塞贝克效应,TEM在两端温差作用下会产生塞贝克电动势,从而形成回路电流,为外部负载提供输出功率。然而,当电流流经热电半导体时,会伴随发生帕尔贴效应,导致TEM热端吸热和冷端散热的现象发生,从而缩小TEM两端温差,降低热电发电系统的输出功率。因此,帕尔贴效应对热电发电系统的传热和输出有着重要的影响,但它的影响程度又与回路电流和尾气参数有着密切的关系。本文中换热器和散热器均是铝制材料,TEM选用的是由128对pn型热电半导体组成的碲化铋基材料商用热电发电模块,相关的材料参数如表1所示。

| 参数 | p型半导体 | n型半导体 | 铜电极 | 陶瓷板 |
|---|---|---|---|---|
| 塞贝克系数/(μV∙K-1) |
| ![]() | ― | ― |
| 电阻率/(10-5 Ω∙m) |
| ![]() | 1.75×10-3 | ― |
| 热导率/(W∙m-1∙K-1) | ![]() ![]() | ![]() | 165.64 | 22 |
| 长×宽×高/(mm×mm×mm) | 1.4×1.4×1.0 | 1.4×1.4×1.0 | 3.8×1.4×0.3 | 40×40×0.8 |
1.2 控制方程与边界条件
热电发电系统工作时,尾气流体流动通过换热器发生流固传热,传递的热量一部分经过TEM后被散热器中的冷却水带走,其余部分热量通过TEM热电转换为电能。因此,整个热电发电系统的运行会同时涉及流场、热场和电场的多物理场耦合的传热和热电输出。有限元仿真是一种用来评价参数变化对热电发电系统输出影响的有效方法,为了更好地揭示帕尔贴效应对热电发电系统输出的影响,本文构建了热电发电系统流热电多物理场耦合数值模型。
描述热电发电系统中流体流动的控制方程涉及质量守恒、动量守恒和能量守恒方程,分别表示为[1]



式中:
热电发电系统中换热器和散热器等无热电电流流动的固体区域传热方程为

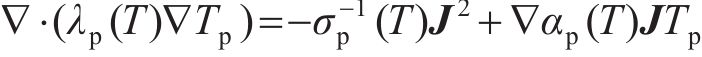
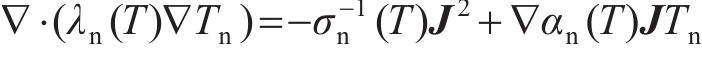
闭环电路中的TEM在两端温差作用下会通过塞贝克效应产生热电电流,而TEM内电流的流动会同时导致帕尔贴热和焦耳热的产生。因此,有电流流动的p型半导体器件、n型半导体器件和铜导电片的能量守恒方程可分别表示为[21]



式中:λp(T),λn(T)和λco分别为p型半导体、n型半导体器件和铜导电片的热导率;αp(T)和αn(T)分别为p型和n型半导体器件的塞贝克系数;Tp和Tn分别为p型和n型半导体器件的温度;



TEM发生热电转换时,其电场区域还遵循以下控制方程



式中:
方程(1)-(10)构成了热电发电系统流热电多物理场耦合数值模型的完整控制方程。此外,数值模型的求解还需进一步设定边界条件,然后通过有限元仿真软件进行计算。
热电发电系统网格划分与边界条件如图2所示。本文采用自由四面体网格方法对系统各部件进行网格单元细化,整个网格共划分有553 530个单元。为研究尾气参数变化下帕尔贴效应对系统传热和输出的影响,尾气热流体边界条件需设定为不同的入口温度和质量流量,冷却水入口边界条件设定固定值温度为300 K和质量流量为40 g/s,而出口边界条件均设置为标准大气压101.325 kPa。外部负载电阻与热电发电模块两端连接,一端设置为接地电压0 V。数值模型的边界条件如表2所示。本文建立的数值模型的有限元求解使用COMSOL多物理场仿真软件。

| 参数 | 值 |
|---|---|
| 尾气温度/K | 400、450、500、550 |
| 尾气质量流量/(g∙s-1) | 20、40、60、80 |
| 冷却水温度/K | 300 |
| 冷却水质量流量/(g∙s-1) | 40 |
| 与周围空气的表面换热系数/(W∙m-2∙K-1) | 15 |
| 出口压力/kPa | 101.325 |
| 铝的热导率/(W∙m-1∙K-1) | 201 |
根据有限元仿真结果可获得热电发电系统的输出电压,因此,热电发电系统的输出功率为

式中:U为输出电压;RL为外部负载电阻。
TEM的热端吸热量为

式中:αpn为p型和n型半导体器件之间的相对塞贝克系数;I为流经TEM和外部负载电阻的回路电流;K为导热系数;Th和Tc分别为TEM热端和冷端的温度;Rin为TEM的内阻。
根据帕尔贴效应,TEM的热端帕尔贴热



最终,热电发电系统的转化效率

2 实验装置与模型验证
热电发电系统实验台架如图3所示。为验证本文建立的流热电多物理场耦合数值模型的准确性,利用搭建的热电发电系统实验台架测试获得的实验结果与仿真结果进行对比[22]。热风仪通过调节温度和流量旋钮为热电发电系统换热器提供温度和流量可变的热流体。冷却水箱为热电发电系统散热器提供循环水流。为准确获得换热器入口处的边界条件,使用安装在入口处的温度传感器和安装在出口的涡街流量计分别测量热流体的温度和流量。电子负载仪与热电发电模块两端连接,该装置既可调节外部负载阻值,同时又可测量相应负载下热电发电系统的输出功率。

在热流体温度为500 K和质量流量为40 g/s的边界条件下,热电发电系统模型仿真结果与试验结果对比如图4所示。由图4可见:实验结果稍高于模型结果,但两者之间仍保持良好的一致性,输出功率之间的最大误差为5.4%,证明本文所建立的流热电多物理场耦合数值模型是可靠的,能够有效用于研究帕尔贴效应对热电发电系统传热和输出的影响。误差产生的原因一方面可能是温度传感器、流量计等实验测试装置的测量精度不高,以及实际测试环境中热电发电系统表面与周围空气的散热系数同模型设置的热电发电系统表面与周围空气的散热系数有差异,另一方面可能是热电发电系统实验样机中TEM与两端接触部件之间涂抹了减少接触热阻的导热硅脂,而模型设置中未考虑该因素。

3 结果与讨论
3.1 有限元仿真结果
热电发电系统的温度分布如图5所示。由图5可见:换热器与散热器之间形成了明显的温差,从而为热电发电模块提供工作条件;由于热流体的一部分热能被热电发电模块吸收转化为电能以及一部分热能被冷却水带走,因此,靠近热电发电模块的换热器和热流体的温度相较于其他部分的温度明显降低。此外,帕尔贴效应仅在有回路电流通过热电半导体时才会伴随发生,从而对热电发电系统的传热和输出造成影响,在开路状态下热电发电系统不会发生帕尔贴效应。

热电发电系统在有外部负载连接闭路状态和无外部负载连接开路状态下的TEM两端温度分布如图6所示。由图6可见:由于帕尔贴效应会导致热端吸热和冷端散热的影响,与无帕尔贴效应的开路状态相比,闭路状态下TEM热端的最大和最小温度都明显下降,TEM冷端的温度略上升,因为冷却水的比热容远大于热空气的比热容,因此,TEM冷端的温度变化幅度较小。为进一步明确帕尔贴效应对系统传热的影响,计算得到有无强化传热器件下TEM热端、冷端平均温度以及两端平均温差如表3所示。由表3可见:与无帕尔贴效应发生的系统相比,有帕尔贴效应发生的系统的TEM热端平均温度降低了4.5 K,冷端平均温度上升了0.76 K,TEM的两端平均温差减少了5.25 K,相对降低了约4.1%。因此,帕尔贴效应对热电发电系统的传热有着重要的影响,通过缩小TEM的两端温差,以降低热电发电系统的输出性能。

| 参数 | 有强化传热器件 | 无强化传热器件 | ||
|---|---|---|---|---|
| 无帕尔贴效应(开路) | 有帕尔贴效应(闭路) | 无帕尔贴效应(开路) | 有帕尔贴效应(闭路) | |
| TEM热端平均温度/K | 435.60 | 431.11 | 405.79 | 400.90 |
| TEM冷端平均温度/K | 308.37 | 309.13 | 305.90 | 306.39 |
| TEM两端温差/K | 127.23 | 121.98 | 99.89 | 94.51 |
3.2 强化传热器件对帕尔贴效应的影响
强化传热器件对系统传热有着重要的影响,为了说明强化传热器件对帕尔贴效应的影响,对比了有无强化传热器件时热电发电系统的温度分布和输出电压以及无强化传热器件时开路和闭路状态下TEM的两端温度分布,结果如图7所示。由图7可见:无强化传热器件时热电发电系统的温度明显下降,导致TEM最大输出电压大幅度降低,相较于有强化传热器件的TEM最大输出电压减小了24%。结合有强化传热器件时开路和闭路状态下TEM的两端平均温度分布(见图6)以及无强化传热器件时TEM两端平均温度(见表3),对于无强化传热器件的热电发电系统,在闭路状态下,有帕尔贴效应发生的TEM相较于开路状态下无帕尔贴效应发生的TEM,热端平均温度降低了4.89 K,冷端平均温度上升了0.49 K,因此,TEM两端平均温差减少了5.38 K,相对降低了约5.4%。相较于有强化传热器件的热电发电系统,无强化传热器件时帕尔贴效应的发生对系统传热的影响更大。

3.3 外部负载电阻变化下帕尔贴效应的影响
根据帕尔贴热计算公式,回路电流是影响帕尔贴效应的主要参数,因此,本文研究了外部负载电阻变化下帕尔贴效应对系统传热和输出的影响,如图8所示。由图8(a)可见:随着外部负载电阻的增加,回路电流逐渐减小,TEM热端和冷端帕尔贴热逐渐降低,TEM两端温差增加,说明外部负载电阻的增加会减小帕尔贴效应对系统传热的影响程度。然而,过大的负载电阻导致回路电流太小,降低热电发电系统的输出功率。对于一般电源电路,当负载电阻等于内阻时,会产生最大输出功率。由图8(b)可见:由于外部负载电阻对帕尔贴热的影响,系统最大功率点处的负载电阻稍微大于内阻,此时,负载电阻与内阻的比率约为1.03。适当地增加负载电阻会削弱帕尔贴效应对系统传热的影响程度,从而提高系统的输出功率。系统最大热电转化效率点处的负载电阻与内阻的比率约为1.16,明显大于系统最大输出功率处负载电阻与内阻的比率,在应用过程中,热电发电系统需要在最大输出功率和最大热电转化效率之间选择一个最优外部负载电阻。

3.4 热流体参数变化下帕尔贴效应的影响
不同的热流体质量流量和温度对热电发电系统的传热性能有显著影响,通过改变TEM两端的温差和回路电流,影响帕尔贴热。本文探讨了在热流体参数变化下,帕尔贴效应对系统传热与输出性能的影响,结果如图9所示。从图9(a)可见:随着热流体质量流量的增加,与无帕尔贴效应时相比,帕尔贴效应对TEM两端温差的减少量变化不大。这表明随着热流体质量流量增大,帕尔贴效应对系统传热的影响逐渐减弱。其原因可能是较大的流量增强了对流换热,降低了帕尔贴热在传热中的占比。由图9(b)可见:随着热流体温度的上升,TEM两端温差的减少量逐渐增加,尤其是在有帕尔贴效应的情况下,表现更加明显。然而,无论热流体温度如何增加,帕尔贴效应对传热的影响程度保持稳定。虽然温度升高使得系统的整体传热性能增强,但帕尔贴效应基本不会随流体温度的变化而变化,这可能是由于温差驱动的热电现象对系统的输出功率影响较为直接。图9(c)和图9(d)显示了系统输出功率随热流体质量流量和温度的变化趋势。由于输出功率与TEM两端的温差密切相关,随着质量流量和温度增加,有帕尔贴效应的系统输出功率与无帕尔贴效应的系统输出功率呈相似的变化趋势。综上所述,帕尔贴效应对系统传热和输出的影响程度随着热流体质量流量的增加而减弱,但不会随流体温度的变化而变化,这可能与热流体参数对传热机制的不同作用方式有关。

4 结论
1) 帕尔贴效应对热电发电系统的传热有着重要的影响,通过缩小热电发电模块的两端温差,从而降低热电发电系统的输出性能。在相同边界条件下,对于有强化传热器件的系统,帕尔贴效应的发生导致热电发电模块的两端温差降低4.1%;对于无强化传热器件的系统,热电发电模块的两端温差降低5.4%,因此,无强化传热器件会增加帕尔贴效应对系统传热的影响程度。
2) 外部负载电阻的增加会减小帕尔贴效应对系统传热的影响程度,导致系统最大输出功率点处的负载电阻会稍大于内阻。在相同边界条件下,系统最大输出功率点处的负载电阻与内阻的比率约为1.03,系统最大热电转化效率点处的负载电阻与内阻的比率为1.16,热电发电系统需要在最大输出功率和最大热电转化效率之间选择一个最优外部负载电阻。
3) 与无帕尔贴效应发生的热电发电系统相比,有帕尔贴效应发生而导致热电发电模块两端温差和系统输出功率的减少量基本不会随热流体质量流量的增加而改变,然而,会随热流体温度的增加而逐渐增加。因此,帕尔贴效应对热电发电系统传热和输出的影响程度会随热流体质量流量的增加而减弱,而基本不会随热流体温度的变化而变化。
陈杰, 汪若尘, 丁仁凯, 等. 帕尔贴效应对热电发电系统输出影响的数值研究[J]. 中南大学学报(自然科学版), 2025, 56(2): 759-768.
CHEN Jie, WANG Ruochen, DING Renkai, et al. Numerical study on the influence of the Peltier effect on the output of thermoelectric generator system[J]. Journal of Central South University(Science and Technology), 2025, 56(2): 759-768.










