实现建筑结构性态信息可感知、真实性态可评价、未来性能可预测、性能可控制是土木工程行业未来发展的需求,也是跨越式提升土木工程行业智能化水平的必由选择[1-5]。信息感知是智能结构体系的基础,可以通过智能材料或由其制成的机敏传感元件来实现[6-10]。
纳米复合材料在传感领域中具有巨大的应用价值和发展潜力[11-15]。张永泉[16]发现在单轴压力荷载作用下,碳纳米管/聚二甲基硅氧烷复合材料电阻变化率与活性粉末混凝土应变呈线性关系。SEPPÄNEN等[17]开发了基于导电胶膜的多电极传感皮肤,成功将其用于混凝土构件表面的损伤检测。董荣珍等[18]研制的石墨烯/水性聚氨酯应变传感元件能够有效监测混凝土弯拉变形,裂缝出现前,混凝土应变与传感元件电阻变化具有定量关系。XIN等[19-20]将碳纳米管/环氧树脂应变传感器嵌入路面结构,在荷载作用下结构应变与传感器相对电阻变化呈线性关系,并表现出较高的灵敏度。虽然纳米复合材料对混凝土变形的响应规律较一致,但多数只是简单描述和拟合复合材料电学量与混凝土应变关系,缺乏对应变传递过程的考虑和解析[21-22],不利于研究成果在工程上的转化应用。因此,需研究纳米复合材料对混凝土变形感应特性的影响因素,并建立机敏响应与混凝土变形的定量关系[23-25]。
本文围绕石墨烯机敏元件的制备及其对混凝土压应变的响应特性展开研究。首先,以纳米纤维素为分散剂,利用官能团之间的氢键作用,解决石墨烯不易分散的问题,制备了兼具良好变形能力和机敏性能的石墨烯元件。其次,基于剪滞理论建立了机敏元件应变传递模型,探究了机敏元件对混凝土变形的应变电阻响应规律,建立了机敏元件电阻变化与混凝土压应变的定量关系。最后,通过参数敏感性分析,研究了设计参数对应变传递性能的影响。
1 石墨烯机敏元件制备
1.1 主要试验材料
还原氧化石墨烯(RGO,黑色粉末,纯度>98%,厚度1~5 nm,片层直径0.5~5 μm);纳米纤维素(CNF,白色粉末,纯度>99%,直径4~10 nm,长度1~3 μm);异丙醇(分析纯);聚二甲基硅氧烷。
1.2 PDMS/RGO-CNF/PDMS机敏元件的制备
采用分层成型和化学溶胀法制备PDMS/RGO-CNF/PDMS(PRCP)机敏元件,制备过程如图1所示,具体步骤见文献[26],其中关键操作为:利用RGO表面未被还原的羟基和羧基,与CNF表面的羧基通过氢键结合,形成RGO-CNF,均匀分散于异丙醇中,并将RGO-CNF/异丙醇分散液,涂敷于呈半固化状态的PDMS基底上。
2025年9期/10.11817j.issn.1672-7207.2025.09.028/alternativeImage/B9A11942-71ED-40cd-A5A7-3F82FBEB6B18-F001.jpg)
PRCP机敏元件由基底层、传感层和保护层组成,图2所示为机敏元件的SEM图,其中,图2(a)和2(b)所示为异丙醇挥发后在PDMS上形成的RGO薄膜的SEM图,其呈三维多孔结构,有利于PDMS渗透填塞其中。传感层包含2部分:一部分通过RGO扩散于经化学溶胀的PDMS中得到,另一部分通过PDMS渗透填塞RGO网络得到,但两部分基本同步形成,二者之间没有明确的界限,如图2(c)所示。从图2(d)可以看出:RGO在PDMS中分散均匀,传感层与基底层和保护层相互渗透,形成一个整体,相较于直接在基底上堆积形成的单层石墨烯片层,本研究避免了石墨烯纳米片与基底之间结合力不足而导致的变形不协调。采用CNF对RGO表面进行修饰,提高了RGO的分散性以及与PDMS的相容性,有助于形成均匀稳定的导电网络结构,从而提高了机敏元件的性能。控制RGO分散液的用量,得到不同结构参数的传感层,从而设计机敏元件的性能参数。另外,PDMS基底良好的柔韧性不仅可以适应不同表面形状的结构测量,而且能够承受较大变形,使机敏元件具有较大量程。
2025年9期/10.11817j.issn.1672-7207.2025.09.028/alternativeImage/B9A11942-71ED-40cd-A5A7-3F82FBEB6B18-F002.jpg)
2 PRCP机敏元件的机敏性能
2.1 石墨烯掺量确定
石墨烯掺量是影响机敏元件机敏性能的重要因素[27-28]。但是,当掺量较小时,机敏元件电阻较大,不利于实际应用时测量和获取响应信号,而当掺量较大时,机敏元件内石墨烯相互搭接形成了较多的导电通路,密集的导电网路能够很好适应基体的变形,导致单位应变下的电阻变化很小,不仅不便于测量,而且影响机敏元件的灵敏度和分辨率。通过测试机敏元件电阻,研究电阻随石墨烯掺量的变化规律,从而确定适宜的石墨烯掺量范围。机敏元件的石墨烯掺量用石墨烯分布密度DG表示,如式(1)所示。对每种相同DG的机敏元件制备3个,进行电阻测试,并求其平均值。
2025年9期/10.11817j.issn.1672-7207.2025.09.028/alternativeImage/B9A11942-71ED-40cd-A5A7-3F82FBEB6B18-M001.jpg)
式中:ρG为石墨烯分散液浓度;V为分散液用量;S为模具基底面积。
采用两电极法测试PRCP机敏元件的电阻,机敏元件初始电阻R0随DG的变化如图3所示。从图3可见:随着DG增加,R0总体呈先快速减小后逐渐平稳的趋势;当DG从0.46 g/m2增加到0.92 g/m2时,R0变化较迅速,而当DG从1.54 g/m2变化到1.85 g/m2时,R0变化平缓。
2025年9期/10.11817j.issn.1672-7207.2025.09.028/alternativeImage/B9A11942-71ED-40cd-A5A7-3F82FBEB6B18-F003.jpg)
PRCP机敏元件的电阻取决于传感层,与其内部相邻石墨烯纳米片之间的相对位置有明显关系。
1) 当DG<0.46 g/m2时,石墨烯之间的距离较大,较难发生隧道效应,无法形成导电通路,此时,机敏元件电阻率接近PDMS基体的电阻率,电阻很大。
2) 当0.46≤DG<0.92 g/m2时,石墨烯之间的距离变得足够小,较易发生隧道效应,并且彼此之间相互连通,形成较多的导电通路,电阻快速降低。
3) 当0.92≤DG<1.54 g/m2时,石墨烯之间的距离继续减小,部分石墨烯片之间出现搭接,电阻继续降低。
4) 当1.54≤DG≤1.85 g/m2时,更多的石墨烯搭接、重叠,从而形成密集且稳定的导电网络,电阻亦达到稳定状态,而不再随DG增大而发生较大变化。
随着DG从0.46 g/m2增大至1.85 g/m2,机敏元件的导电机制也发生变化,从隧道效应向接触传导转变[26]。因此,根据图3选择过渡阶段内3种石墨烯掺量(1.08、1.23和1.38 g/m2)制备PRCP机敏元件,并分别编号为PⅠ、PⅡ和PⅢ。
2.2 应变电阻响应规律
采用万能材料试验机和Keithley DMM6500数字源表,测试PⅠ、PⅡ和PⅢ在0~10%应变范围内以1 mm/min的速率进行拉伸时的应变和电阻,确定元件机敏性能参数。
图4所示为PⅠ、PⅡ和PⅢ在15个循环拉伸过程中的电阻变化率ΔR/R0(ΔR为机敏元件发生应变ε时的电阻R与R0的差值)随应变ε变化曲线。可以看出:
2025年9期/10.11817j.issn.1672-7207.2025.09.028/alternativeImage/B9A11942-71ED-40cd-A5A7-3F82FBEB6B18-F004.jpg)
1) 随着循环次数增加,机敏元件在10%应变时的电阻先逐渐增大后趋于稳定,且每次循环内的相对残余电阻逐渐减小至趋于0。这表明在初始的几次循环拉伸过程中,均有不完善导电通路发生完全破坏,但数量逐渐减少直至几乎消失,使得传感层导电网络结构逐渐完善,从而表现出稳定的应变电阻响应行为。
2) 在应变回复过程中,机敏元件PⅠ的响应曲线中出现了“肩峰”,而另外2种较高DG的机敏元件PⅡ和PⅢ中未出现这种现象。低石墨烯分布密度所构建的导电网络不稳定,在拉伸过程中易被破坏而产生较大的电阻变化,在回复过程中同时出现了导电通路的“破坏”与“重构”,两者之间的竞争造成了电信号的波动。
初始的循环拉伸作用有助于传感层导电通路的重构,形成稳定的导电网络结构,从而使机敏元件在后续的拉伸过程中具有良好的可回复性、可重复性和线性相关性。因此,除特别说明,下文中PRCP机敏元件的测试均在循环拉伸10次后进行。采用灵敏系数K表示机敏元件对应变的电阻响应程度,即:
2025年9期/10.11817j.issn.1672-7207.2025.09.028/alternativeImage/B9A11942-71ED-40cd-A5A7-3F82FBEB6B18-M002.jpg)
PⅠ、PⅡ和PⅢ在10%应变内电阻变化率与应变近似呈线性变化,表明K为常数。每种机敏元件制备3个试样,测试应变电阻响应曲线,并进行线性拟合,拟合直线斜率即为K,如图5所示。经过重复拉伸后,机敏元件的电阻变化率与应变之间具有良好的线性关系,拟合度R2均大于0.96。相同机敏元件的3个试样的灵敏系数离散性较小,应变电阻响应较稳定;PRCP机敏元件的灵敏系数K在7.49~15.05之间,比常用的金属丝式电阻应变片的灵敏系数(约为2)高。机敏元件的灵敏系数随石墨烯掺量增大而减小。
2025年9期/10.11817j.issn.1672-7207.2025.09.028/alternativeImage/B9A11942-71ED-40cd-A5A7-3F82FBEB6B18-F005.jpg)
3 PRCP机敏元件对混凝土应变的响应特性
3.1 应变传递模型
当PRCP机敏元件通过胶黏剂粘贴于混凝土表面后,混凝土受力产生的应变通过剪切作用经黏结层、基底层传递至传感层。黏结层、基底层、传感层的力学性能存在差异。由剪滞理论可知,混凝土应变在传递过程中,部分应变会损耗,导致传递至传感层的应变与混凝土应变存在差异。这会使得根据机敏元件应变电阻响应关系计算得到的应变无法准确反映混凝土的应变。因此,需要建立应变传递模型,分析机敏元件的应变传递性能及其影响因素。
图6所示为PRCP机敏元件应变传递模型,其中,τ为中间层在接触面上的剪应力,σ为剪应力引起的机敏元件轴向正应力,dσ为沿机敏元件长度方向的轴向正应力增量,w、hi、Ei和Gi(i=1,2,3)分别为中间层的宽度、厚度、弹性模量和剪切模量。
2025年9期/10.11817j.issn.1672-7207.2025.09.028/alternativeImage/B9A11942-71ED-40cd-A5A7-3F82FBEB6B18-F006.jpg)
建立机敏元件的应变传递方程。分别对图6中传感层、基底层、黏结层微段dx建立轴向力平衡方程:
2025年9期/10.11817j.issn.1672-7207.2025.09.028/alternativeImage/B9A11942-71ED-40cd-A5A7-3F82FBEB6B18-M003.jpg)
2025年9期/10.11817j.issn.1672-7207.2025.09.028/alternativeImage/B9A11942-71ED-40cd-A5A7-3F82FBEB6B18-M004.jpg)
各中间层相互协调变形,可以认为应变变化率相等,即
2025年9期/10.11817j.issn.1672-7207.2025.09.028/alternativeImage/B9A11942-71ED-40cd-A5A7-3F82FBEB6B18-M005.jpg)
各中间层均为线弹性材料,根据胡克定律,有:
2025年9期/10.11817j.issn.1672-7207.2025.09.028/alternativeImage/B9A11942-71ED-40cd-A5A7-3F82FBEB6B18-M006.jpg)
2025年9期/10.11817j.issn.1672-7207.2025.09.028/alternativeImage/B9A11942-71ED-40cd-A5A7-3F82FBEB6B18-M007.jpg)
各中间层厚度方向变形很小,可以忽略泊松比的影响,则:
2025年9期/10.11817j.issn.1672-7207.2025.09.028/alternativeImage/B9A11942-71ED-40cd-A5A7-3F82FBEB6B18-M008.jpg)
2025年9期/10.11817j.issn.1672-7207.2025.09.028/alternativeImage/B9A11942-71ED-40cd-A5A7-3F82FBEB6B18-M009.jpg)
2025年9期/10.11817j.issn.1672-7207.2025.09.028/alternativeImage/B9A11942-71ED-40cd-A5A7-3F82FBEB6B18-M010.jpg)
令:
2025年9期/10.11817j.issn.1672-7207.2025.09.028/alternativeImage/B9A11942-71ED-40cd-A5A7-3F82FBEB6B18-M011.jpg)
对式(9)两边求导,得:
2025年9期/10.11817j.issn.1672-7207.2025.09.028/alternativeImage/B9A11942-71ED-40cd-A5A7-3F82FBEB6B18-M012.jpg)
2025年9期/10.11817j.issn.1672-7207.2025.09.028/alternativeImage/B9A11942-71ED-40cd-A5A7-3F82FBEB6B18-M013.jpg)
式中:k为应变传递系数,考虑了各中间层的厚度以及力学参数的影响。式(12)通解为:
2025年9期/10.11817j.issn.1672-7207.2025.09.028/alternativeImage/B9A11942-71ED-40cd-A5A7-3F82FBEB6B18-M014.jpg)
式中:C1和C2由边界条件确定,传感层与中间层相交的端面为自由端面,没有应力传递。机敏元件长为L,以其中心为原点,则边界条件为:
2025年9期/10.11817j.issn.1672-7207.2025.09.028/alternativeImage/B9A11942-71ED-40cd-A5A7-3F82FBEB6B18-M015.jpg)
2025年9期/10.11817j.issn.1672-7207.2025.09.028/alternativeImage/B9A11942-71ED-40cd-A5A7-3F82FBEB6B18-M016.jpg)
机敏元件所测应变为其长度范围内混凝土应变的综合反映,故可以采用平均应变传递率2025年9期/10.11817j.issn.1672-7207.2025.09.028/alternativeImage/B9A11942-71ED-40cd-A5A7-3F82FBEB6B18-M017.jpg)
2025年9期/10.11817j.issn.1672-7207.2025.09.028/alternativeImage/B9A11942-71ED-40cd-A5A7-3F82FBEB6B18-M018.jpg)
δ越接近1,则机敏元件的应变传递性能越好,所测应变越能真实反映混凝土应变;相反,若δ较小,表明传递过程中应变损耗较大,则需要对机敏元件所测应变进行修正。由式(10)和(16)可知,机敏元件应变传递性能主要取决于各中间层的几何参数和力学参数。因此,应根据实际情况分析各影响因素,建立混凝土应变与机敏元件应变之间的关系。
另外,除了机敏元件与混凝土之间的应变传递性能外,影响测量精度的因素还包括元件自身的机敏性能。当机敏元件粘贴于混凝土表面时,其变形的边界条件与机敏元件单独受力时的边界条件存在差异。单独受力时,机敏元件在横向上近乎为自由变形,其横向应变εy仅与自身泊松比υ和纵向应变εx相关:
2025年9期/10.11817j.issn.1672-7207.2025.09.028/alternativeImage/B9A11942-71ED-40cd-A5A7-3F82FBEB6B18-M019.jpg)
将机敏元件粘贴到混凝土表面后,其随混凝土发生纵向变形时,混凝土泊松比小于机敏元件基体的泊松比,且混凝土的弹性模量远大于机敏元件的弹性模量,导致机敏元件的横向变形受到了混凝土的约束。此时,机敏元件的横向应变2025年9期/10.11817j.issn.1672-7207.2025.09.028/alternativeImage/B9A11942-71ED-40cd-A5A7-3F82FBEB6B18-M020.jpg)
2025年9期/10.11817j.issn.1672-7207.2025.09.028/alternativeImage/B9A11942-71ED-40cd-A5A7-3F82FBEB6B18-M021.jpg)
在相同的纵向应变下,即εx=εc时,受约束机敏元件的横向应变2025年9期/10.11817j.issn.1672-7207.2025.09.028/alternativeImage/B9A11942-71ED-40cd-A5A7-3F82FBEB6B18-M022.jpg)
综上可知,PRCP机敏元件的应变传递性能和混凝土泊松比是影响机敏元件对混凝土应变感应特性的2个重要因素。分析机敏元件的应变传递性能,建立混凝土应变与机敏元件应变之间的关系;分析混凝土泊松比对机敏元件机敏性影响,建立机敏元件应变与电阻变化的关系。两者结合建立混凝土应变与机敏元件电阻变化的关系,从而通过测量机敏元件电阻变化来监测混凝土应变。
3.2 应变电阻响应试验设计
基于上述理论分析,通过混凝土压缩试验研究PRCP机敏元件对混凝土应变的响应特性,建立混凝土应变与机敏元件电阻变化的关系。尺寸规格一致的机敏元件应变传递性能相同。因此,首先,根据不同泊松比混凝土试件单调压缩时同一型号机敏元件的应变电阻响应,分析混凝土泊松比对元件机敏性的影响。然后,通过混凝土压缩试验分析不同型号机敏元件的应变传递性能,研究机敏元件各中间层参数对应变传递的影响。
普通混凝土的泊松比变化范围较小,而钢纤维混凝土的力学参数与普通混凝土具有较大的差异,且能承受较大的变形。因此,分别制备了普通混凝土和钢纤维混凝土试件。混凝土配合比如表1所示。根据试验设计,分批次制备了多组混凝土受压试件,如表2所示。
| 编号 | 混凝土类型 | 水泥 | 粉煤灰 | 矿渣 | 石 | 砂 | 水 | 钢纤维 |
|---|---|---|---|---|---|---|---|---|
| OC | C50 | 422 | 33 | 66 | 1 095 | 642 | 148 | — |
| SFRC-A | 钢纤维 | 420 | 50 | 80 | 913 | 777 | 160 | 78 |
| SFRC-C | 钢纤维 | 420 | 50 | 80 | 913 | 777 | 160 | 117 |
分组 编号 | 混凝土 类型 | 试件数量/个 | 长×宽×高/(mm×mm×mm) | 试验类型 |
|---|---|---|---|---|
| OC-M | OC | 6 | 100×100×300 | 单调压缩 |
| SA-M | SFRC-A | 6 | ||
| SC-M | SFRC-C | 6 | ||
| OC-C | OC | 3 | 150×150×300 | 循环压缩 |
| SA-C | SFRC-A | 3 | ||
| SC-C | SFRC-C | 3 |
PⅡ的机敏元件的应变电阻响应行为较稳定、灵敏系数较高、线性度较高、重复性较好,选取其为基准型。改变中间层参数,制备不同型号的机敏元件,分析传递性能参数敏感性。石墨烯机敏元件和电阻应变片的型号、数量、尺寸、灵敏系数和用途如表3所示。表3中,石墨烯机敏元件的灵敏系数为单独受力时应变电阻响应线性段的测试值。
| 材料 | 型号 | 数量/个 | 长×宽×厚/mm×mm×mm | 灵敏系数 | 用途 |
|---|---|---|---|---|---|
石墨烯 机敏元件 | PⅡ | >50 | 100×10×1 | 11.37 | 混凝土单调压缩试验 |
| PⅡ-L80/PⅡ-L50 | >10 | 80(50)×10×1 | 11.37 | 参数敏感性分析 | |
| PⅡ-H10/PⅡ-H15 | >10 | 基底层厚1.0(1.5) | 11.37 | ||
| 电阻应变片 | BX120-100 | >50 | 100×3×0.1 | 2.08 | 混凝土单调压缩试验 |
| BX120-50 | >50 | 50×3×0.1 | 2.08 |
3.3 对混凝土压应变的灵敏系数
3.3.1 应变电阻响应规律
选取表2中OC-M、SA-M、SC-M这3组试件进行单调压缩试验。选择试件的一个较平整侧面,标出中心区域,用砂纸打磨,乙醇清洗并干燥后,将PⅡ和电阻应变片沿纵向粘贴其上,测量试件纵向应变,并沿横向粘贴一个电阻应变片以测量试件横向应变。采用1 000 kN万能压力试验机,以力控方式进行加载,加载速率为5 kN/s;采用DH3820高速静态应变测试分析系统连续采集电阻应变片的应变;采用Keithley DMM6500数字源表采集PⅡ的电阻。在加载过程中,同步记录试验机压力、电阻应变片应变和PⅡ的电阻。
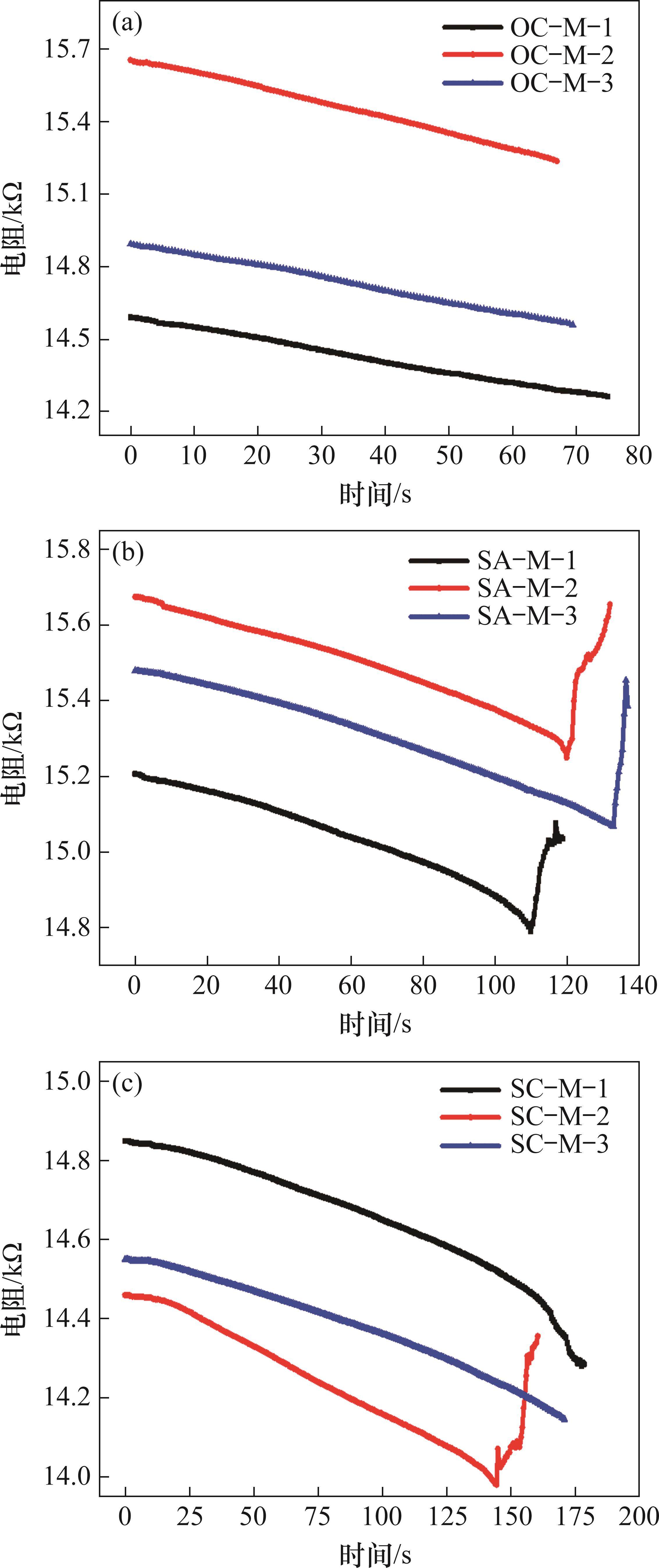
选取每组试件中具有代表性的3个试件的试验结果进行分析。图7所示为3组混凝土试件加载过程中PⅡ的电阻随加载时间变化曲线。从图7可见:随着压力荷载增大,PⅡ的电阻均逐渐减小。由机敏元件隧道效应模型[29]可知,混凝土试件压应变传递至机敏元件基体后,其内部相邻石墨烯纳米片之间的距离随着基体受压而减小,相邻电子跃迁的概率提升,从而造成其电阻减小。不同试件上PⅡ的初始电阻略有不同,这主要是由制备过程中尺寸上的误差引起。另外,在部分钢纤维混凝土试件加载后期,PⅡ的电阻出现跳跃式变化,这主要是由于钢纤维混凝土试件在裂缝出现后仍能继续承压,裂缝引起PⅡ局部大变形,从而造成其较大的电阻变化。
2025年9期/10.11817j.issn.1672-7207.2025.09.028/alternativeImage/B9A11942-71ED-40cd-A5A7-3F82FBEB6B18-F007.jpg)
部分机敏元件的电阻受试件裂缝影响出现跳跃,因此,只选取其电阻连续变化段进行应变计算。采用PⅡ单独受力时所测灵敏系数,根据式(2)和图7中PⅡ电阻计算其纵向应变,图8所示为PⅡ和纵向电阻应变片(以下图中简称BX)测得的3组混凝土试件的应变随加载时间变化曲线。
2025年9期/10.11817j.issn.1672-7207.2025.09.028/alternativeImage/B9A11942-71ED-40cd-A5A7-3F82FBEB6B18-F008.jpg)
3.3.2 灵敏系数
从图8可以看出:由PⅡ和电阻应变片所测的各混凝土试件的应变具有相同的变化趋势,但两者的数值存在较大偏差。混凝土试件上、下表面不平整以及试验机接触压紧等问题会造成测量误差,但预加载使得这部分误差减小。电阻应变片技术成熟且在使用前由厂家进行了抽检校正,可以认为电阻应变片的测量值为混凝土试件的实际应变。即PⅡ所测应变与混凝土试件实际应变存在较大偏差,这也验证了理论分析的正确性。造成偏差的原因主要包括两部分:1) 混凝土应变向机敏元件传递过程中的损耗;2) 混凝土泊松比(约为0.2)与机敏元件基体泊松比(约为0.48)之间的差异导致机敏元件应变电阻响应灵敏系数发生变化。
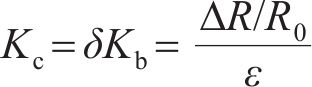
分析图8以获得机敏元件应变电阻响应随混凝土泊松比的变化规律,从而建立混凝土应变与机敏元件电阻变化的关系。定义3个参数:Ka为PⅡ单独受力时对自身应变的灵敏系数,见表3;Kb为PⅡ粘贴于混凝土后对自身应变的灵敏系数;Kc为 PⅡ粘贴于混凝土后对混凝土应变的灵敏系数。
PⅡ粘贴于混凝土表面后,由式(16)可得混凝土受力产生的应变ε传递至PⅡ的应变εg为:
2025年9期/10.11817j.issn.1672-7207.2025.09.028/alternativeImage/B9A11942-71ED-40cd-A5A7-3F82FBEB6B18-M023.jpg)
此时,PⅡ的电阻变化率ΔR/R0与其自身应变εg的关系为:
2025年9期/10.11817j.issn.1672-7207.2025.09.028/alternativeImage/B9A11942-71ED-40cd-A5A7-3F82FBEB6B18-M024.jpg)
由式(19)、(20)可得PⅡ电阻变化率ΔR/R0对混凝土应变ε的灵敏系数Kc为:
2025年9期/10.11817j.issn.1672-7207.2025.09.028/alternativeImage/B9A11942-71ED-40cd-A5A7-3F82FBEB6B18-M025.jpg)
式中:δ与PⅡ的中间层参数有关,相同型号机敏元件的δ为定值;Kb与混凝土泊松比相关。因此,相同型号的机敏元件对混凝土应变的灵敏系数Kc仅与混凝土泊松比相关。
根据试验结果对Kc进行计算。
2025年9期/10.11817j.issn.1672-7207.2025.09.028/alternativeImage/B9A11942-71ED-40cd-A5A7-3F82FBEB6B18-M026.jpg)
式中:εa为采用Ka由PⅡ电阻计算得到的应变,为图8中PⅡ的应变计算值;ε为混凝土实际应变,可以采用图8中电阻应变片的测量值。
选取混凝土试件弹性变形阶段内的应变,对Kc进行计算。在5 kN~0.33Fb(Fb为试件破坏荷载)荷载范围内,混凝土试件弹性变形,应力与应变呈线性变化。由于是匀速加载,应变与加载时间t也呈线性变化。对图8混凝土弹性变形阶段内PⅡ、电阻应变片的应变与时间关系分别进行线性拟合,则Kc为:
2025年9期/10.11817j.issn.1672-7207.2025.09.028/alternativeImage/B9A11942-71ED-40cd-A5A7-3F82FBEB6B18-M027.jpg)
式中:ka和k分别为PⅡ和电阻应变片应变对时间的拟合直线斜率。将每个试件的数据拟合直线斜率代入式(23),得到各机敏元件的Kc。
混凝土试件上纵、横向电阻应变片的应变比即为混凝土的泊松比。以混凝土试件泊松比υ为横坐标,试件上PⅡ的Kc为纵坐标,则灵敏系数Kc随混凝土泊松比υ变化如图9所示。
2025年9期/10.11817j.issn.1672-7207.2025.09.028/alternativeImage/B9A11942-71ED-40cd-A5A7-3F82FBEB6B18-F009.jpg)
PⅡ粘贴于混凝土表面后,混凝土泊松比对其机敏性能影响较大,PⅡ对混凝土压应变的灵敏系数Kc要明显大于PⅡ单独受力时的灵敏系数Ka。随着混凝土泊松比增大,Kc减小,可以理解为混凝土泊松比与机敏元件基体泊松比的差值越小,泊松比影响越小,Kc越接近Ka。取PⅡ基体PDMS的泊松比为0.48,对图9中PⅡ的灵敏系数Kc与混凝土泊松比υ的关系进行线性拟合,结果如式(24)所示。当混凝土泊松比为0.19时,PⅡ的Kc为16.94,远大于电阻应变片的灵敏系数。
2025年9期/10.11817j.issn.1672-7207.2025.09.028/alternativeImage/B9A11942-71ED-40cd-A5A7-3F82FBEB6B18-M028.jpg)
混凝土压应变与石墨烯机敏元件电阻变化的关系为:
2025年9期/10.11817j.issn.1672-7207.2025.09.028/alternativeImage/B9A11942-71ED-40cd-A5A7-3F82FBEB6B18-M029.jpg)
3.4 应变传递性能参数敏感性分析
混凝土开裂前的变形很小,石墨烯机敏元件对混凝土应变的灵敏系数Kc越大,混凝土发生相同应变时机敏元件的电阻输出也越大,这有利于提高测量的精度和准确性。由式(21)可知,Kc与δ和Kb相关,而δ取决于机敏元件各中间层参数,在混凝土试件不变时,Kb仅与传感层参数有关。保持传感层参数不变,改变其他中间层的参数则可以制备具有相同Kb、不同δ的其他型号机敏元件。由式(21)可得其他型号机敏元件的灵敏系数为:
2025年9期/10.11817j.issn.1672-7207.2025.09.028/alternativeImage/B9A11942-71ED-40cd-A5A7-3F82FBEB6B18-M030.jpg)
式中:2025年9期/10.11817j.issn.1672-7207.2025.09.028/alternativeImage/B9A11942-71ED-40cd-A5A7-3F82FBEB6B18-M031.jpg)
2025年9期/10.11817j.issn.1672-7207.2025.09.028/alternativeImage/B9A11942-71ED-40cd-A5A7-3F82FBEB6B18-M032.jpg)
2025年9期/10.11817j.issn.1672-7207.2025.09.028/alternativeImage/B9A11942-71ED-40cd-A5A7-3F82FBEB6B18-M033.jpg)
2025年9期/10.11817j.issn.1672-7207.2025.09.028/alternativeImage/B9A11942-71ED-40cd-A5A7-3F82FBEB6B18-M034.jpg)
2025年9期/10.11817j.issn.1672-7207.2025.09.028/alternativeImage/B9A11942-71ED-40cd-A5A7-3F82FBEB6B18-M035.jpg)
2025年9期/10.11817j.issn.1672-7207.2025.09.028/alternativeImage/B9A11942-71ED-40cd-A5A7-3F82FBEB6B18-M033.jpg)
机敏元件PⅡ的基本参数如表4所示,部分参数难以测量,根据参考文献[30-32]取值。通过改变中间层的某一参数,并保持其他参数不变,然后根据式(16)计算机敏元件的应变传递率2025年9期/10.11817j.issn.1672-7207.2025.09.028/alternativeImage/B9A11942-71ED-40cd-A5A7-3F82FBEB6B18-M037.jpg)
2025年9期/10.11817j.issn.1672-7207.2025.09.028/alternativeImage/B9A11942-71ED-40cd-A5A7-3F82FBEB6B18-M037.jpg)
2025年9期/10.11817j.issn.1672-7207.2025.09.028/alternativeImage/B9A11942-71ED-40cd-A5A7-3F82FBEB6B18-M039.jpg)
| 机敏元件 | 长度/mm | 厚度/mm | 弹性模量/MPa | 剪切模量/MPa |
|---|---|---|---|---|
| 传感层 | 100 | 0.2 | 1.63 | 0.57 |
| 基底层 | 100 | 0.6 | 1.25 | 0.42 |
| 黏结层 | 100 | 0.2 | 30.4 | 10.48 |
2025年9期/10.11817j.issn.1672-7207.2025.09.028/alternativeImage/B9A11942-71ED-40cd-A5A7-3F82FBEB6B18-F010.jpg)
虽然传感层长度会随着机敏元件长度变化而改变,但影响Kb的传感层参数主要为石墨烯掺量,基本不受长度变化影响。
从图10(a)可见:2025年9期/10.11817j.issn.1672-7207.2025.09.028/alternativeImage/B9A11942-71ED-40cd-A5A7-3F82FBEB6B18-M040.jpg)
2025年9期/10.11817j.issn.1672-7207.2025.09.028/alternativeImage/B9A11942-71ED-40cd-A5A7-3F82FBEB6B18-M041.jpg)
2025年9期/10.11817j.issn.1672-7207.2025.09.028/alternativeImage/B9A11942-71ED-40cd-A5A7-3F82FBEB6B18-M042.jpg)
2025年9期/10.11817j.issn.1672-7207.2025.09.028/alternativeImage/B9A11942-71ED-40cd-A5A7-3F82FBEB6B18-M043.jpg)
2025年9期/10.11817j.issn.1672-7207.2025.09.028/alternativeImage/B9A11942-71ED-40cd-A5A7-3F82FBEB6B18-M042.jpg)
选取表3中PⅡ、PⅡ-L80和PⅡ-L50型机敏元件粘贴于SC-C组试件,PⅡ、PⅡ-H10和PⅡ-H15型机敏元件粘贴于SA-C组试件,采用AB胶和硅胶将PⅡ型机敏元件粘贴于OC-C组试件,在弹性阶段内进行混凝土压缩试验。
根据式(26)计算各型号机敏元件的灵敏系数2025年9期/10.11817j.issn.1672-7207.2025.09.028/alternativeImage/B9A11942-71ED-40cd-A5A7-3F82FBEB6B18-M045.jpg)
2025年9期/10.11817j.issn.1672-7207.2025.09.028/alternativeImage/B9A11942-71ED-40cd-A5A7-3F82FBEB6B18-M046.jpg)
2025年9期/10.11817j.issn.1672-7207.2025.09.028/alternativeImage/B9A11942-71ED-40cd-A5A7-3F82FBEB6B18-F011.jpg)
综上分析,石墨烯机敏元件中间层参数对其应变传递性能均有一定程度的影响,选用长度大、基底层和黏结层厚度小以及与机敏元件基体材料力学性能相匹配的黏结剂,有利于增强机敏元件的应变传递性能,提高测试精度,但参数选择还要结合实际情况。PⅡ型机敏元件的应变传递率均大于95%,对混凝土应变具有良好的感应性能。
4 结论
1) 当DG为1.08~1.38 g/m2时,PRCP机敏元件经过约10次循环拉伸后,应变电阻响应基本达到稳定状态,表现出良好的可回复性和可重复性,能够监测混凝土应变。
2) 机敏元件电阻响应与混凝土压应变呈线性关系,应变传递损耗和混凝土泊松比是影响其应变感应灵敏系数的主要因素。相同规格机敏元件的应变传递率相同,其灵敏系数主要受混凝土泊松比影响,随泊松比增大而减小。当泊松比为0.19时,PⅡ型机敏元件的灵敏系数为16.94。
3) 应变传递率取决于机敏元件设计参数。应变传递率随长度增加而提高,随基底层和黏结层厚度增大而减小,并且受剪力滞后效应影响,应变传递率对长宽比变化较敏感。选择与基体材料力学性能相匹配的黏结剂也有利于提高应变传递率。PⅡ型机敏元件的应变传递率大于95%,能有效传递混凝土应变。
吴志强, 田甜, 董荣珍, 等. 石墨烯机敏元件对混凝土压应变的响应特性[J]. 中南大学学报(自然科学版), 2025, 56(9): 3898-3911.
WU Zhiqiang, TIAN Tian, DONG Rongzhen, et al. Response characteristics of smart graphene sensor to concrete compressive strain[J]. Journal of Central South University(Science and Technology), 2025, 56(9): 3898-3911.
http://dx.doi.org/10.11817/j.issn.1672-7207.2025.09.028

