J.Cent.South Univ.(2025) 32: 820-836
1 Introduction
Coating steel structure with organic coatings is a practical and cost-effective way to prevent corrosion damage [1]. However, despite their benefits, these coatings do come with certain limitations. For example, in epoxy polyamide coatings, solvent evaporation creates small pores within the structure, allowing water and corrosive agents to penetrate [2]. Researchers have suggested filling these pores with nanomaterials to prevent this defect [3].
The most commonly used nanomaterials for corrosion-resistant polymer coatings include carbon and boron nitrides [4-6], MXene family includes layered double hydroxides [6-8], zirconium phosphate, and molybdenum disulphide [9, 10]. However, the unstable and incompatible distribution of such materials in polymers often possesses challenges for their application in corrosion-resistant coatings [11]. Graphene oxide (GO), with a two-dimensional hexagonal structure, is composed of sp2-hybridised carbon atoms [12], having hydroxyl, epoxide, carboxyl, and carbonyl groups, and is considered an appropriate filler for adding to epoxy coatings because of its significant electrical insulation, mechanical stability, and barrier characteristics [13, 14]. However, GO nanosheets have weak compatibility with most polymer coatings, leading to defects and accelerated corrosion. To address this, researchers have proposed reducing GO to graphene. Graphene, as an optimal reinforcing component with superior thermal, electrical, and mechanical characteristics [15], has been used as a corrosion-resistant film on various metals, but it has higher production costs compared to GO. Furthermore, due to its unique structural properties and a wide range of chemical, thermal, electrical, and optical characteristics, GO has attracted significant attention in various fields, particularly in biomedical and antibacterial applications [16]. However, it has been noted that GO nanosheets have poor compatibility with most polymer coatings [17], resulting in several issues such as defects, reduced mechanical properties, and increased corrosion in many polymer coatings, thereby limiting their practical application to a significant extent. Another limiting factor is the improper distribution of GO nanoparticles in polymers caused by interlayer interactions and van der Waals forces [18, 19]. Additionally, due to its oxygen functionalities, GO has a strong affinity for water and possesses a hydrophilic surface [20]. One practical and feasible solution to this problem is to reduce GO to graphene, as suggested by various researchers [21, 22]. Around 2011, the use of graphene as a corrosion-resistant film on various metals such as nickel, titanium, aluminum alloys, magnesium alloys, steel, and copper alloys was initiated [23]. However, it is important to note that graphene has higher production costs compared to GO [24, 25].
Researchers have found that reducing GO helps to disperse reduced graphene oxide (rGO) particles in various solvents [26]. rGO particles can be produced using different methods, including chemical, photocatalytic, thermal reduction, and microwave methods [27]. YAN et al [13] reported that in-situ polymerisation of pyrrole can remarkably enhance the dispersion of GO in epoxy coatings. Using rGO should be cost-effective and efficient. While hydrazine hydrate is the most efficient reducing chemical material for GO, its use is prohibited due to its high toxicity and hazardous nature [28]. However, researchers have proposed cost-effective and environmentally friendly compounds for reducing GO, such as biocompatible polyphenols that stabilize the rGO nanosheets [29]. Common environmentally friendly agents include plant extracts, sugars, proteins, organic acids, microorganisms, and amino acids [30], with various parts of plants, such as petals, stems, roots, and leaves, being utilized [29]. Although some plant extracts have been studied in reducing GO, there are not enough reports on the effects of Stachys lavandulifolia extract (SLE), a well-known plant in Iran. Therefore, this study aims to investigate the impact of SLE on the reduction of GO and the effect of incorporating rGO nanosheets on the anti-corrosion behavior of epoxy polymer coatings.
2 Materials and methods
2.1 Preparation of the aqueous SLE
The SLE purchased from a local herbalist was stored in a cool, shaded place for 30 days to dry. After being ground into powder, 25 g of the powder was added to a glass beaker containing 1000 mL of deionised water. The mixture was then stirred using a magnetic stirrer (RTC Basic, IKA) at a constant temperature of 75 ℃ for 3.5 h. The resulting aqueous SLE was carefully filtered using filter paper and then dried in an oven (Memmert, UM 400) at 65 ℃ for 24 h.
2.2 Synthesis and reduction of GO
Multilayer GO sheets were synthesised using the modified Hummers’ method [31]. First, 2 g of graphite powder was added to a 500 mL glass beaker containing 240 mL of concentrated H2SO4 (98%). After 2 h of stirring, 2 g of NaNO3 powder was continuously added to the GO/H2SO4 mixture. Next, 12 g of KMnO4 oxidizing agent was added to the prepared mixture and continuously stirred for 72 h at a temperature below 25 ℃. Subsequently, 600 mL of deionised water was added to the previous solution and stirred at a moderate rate. The oxidation reactions of graphite were completed by adding H2O2 solution (30%), resulting in a dark yellow mixture containing GO particles. The mixture was filtered, and the remaining substance was washed at least three times using 1 mol/L concentrated HCl (37%) solution, followed by washing with deionided water three times to produce a stable GO/water mixture. To obtain rGO nanoparticles, 20 mg of GO was dispersed in 100 mL of deionised water using ultrasonic waves (150 W, 20 kHz) for 10 min. Then, 10 mL of water containing 20 mg of SLE powder was added to the water/GO mixture. The pH of the resulting mixture was adjusted to approximately 12 by adding an appropriate amount of 5% NaOH solution to accelerate the reduction process. The GO/water/SLE mixture was continuously stirred at 90 ℃ for about 1 h. Finally, the mixture was centrifuged at 4000 r/min for 30 min, and the settled particles were collected and washed with deionised water to produce rGO-SLE particles. The reduction of GO particles is schematically represented in Figure 1.
_Xml/alternativeImage/0D97CDC6-9864-4a02-8F9B-64850EC033B7-F001.jpg)
2.3 Preparation of epoxy-ester resin/rGO-SLE composites
0.1, 0.15, and 0.2 g of rGO-SLE powder were dispersed in 20 mL of dimethylformamide (DMF) using an ultrasonic process and a homogenizer (HS 100D, Wise Stir) for 30 min. Then, the particle/DMF suspensions were mixed with 100 g of solvent-based epoxy-ester resin (430 CS, Rositan Iran Company) under constant stirring at 3000 r/min for about 1 h and subjected to an ultrasonic process for 5 min. During this process, the temperature of the resin/particle mixtures was maintained below 30 ℃ using a water-ice cooling bath to prevent unintended coatings damage due to a considerable temperature increase. Afterward, additives, including 0.1 wt.% Co, 0.5 wt.% Ca, 0.32 wt.% Pb, and an anti-foaming agent (delta-FC 1022) were continuously added to the epoxy-ester resin/rGO-SLE mixtures. The obtained mixtures were then applied to plain carbon steel plates as a film using a film applicator (Paul N. Gardner) to a thickness of approximately 120 μm. For this purpose, the surface of the steel plates with dimensions of 100 mm×3 mm×1 mm was prepared using sandpaper grit sizes of 200, 400, 600, 800 and 1200. After degreasing and washing with acetone, they were washed with deionised water and dried using warm air. The coated plates were stored at room temperature for one week and then dried
for 3 h at 60 ℃ in an oven to complete the curing reactions of the coatings. The thickness of the dry coatings was measured using a digital thickness gauge (Positector 6000, Deflesko) and was (70±5) μm.
2.4 Characterisation of particles and coatings
The microstructure of the synthesised rGO-SLE nanosheets was examined using field emission scanning electron microscopy (FESEM, MIRA3-TESCAN) with energy dispersive X-ray spectroscopy (EDS, INCA, Oxford Instruments). The chemical composition of the nanosheets was analyzed using Raman spectroscopy (Almega Thermo Dispersive Spectrometer, incident light 633 nm, 100 mW) and Fourier-transform infrared spectroscopy (FT-IR, Perkin Elmer, 4000- 400 cm-1). The corrosion behaviour of the epoxy coatings was studied using electrochemical impedance spectroscopy (EIS, Ivium Compactstat) in the frequency range of 100 kHz to 100 MHz with an AC amplitude of 10 mV relative to the open circuit potential (OCP). A standard three-electrode cell, consisting of a saturated calomel electrode (SCE), a counter electrode (platinum), and working electrodes (specimens) containing 150 mL 3.5 wt.% NaCl solutions, was used to perform the EIS measurement at 37 ℃. An evaluation was performed in the presence and absence of artificial scratches. 1 cm2 of the sample’s surface was exposed to the corrosive solution. The data extracted from the test were analyzed using ZSimpDemo V3.30d software. Equivalent circuits were designed, and the imaginary impedance curve was plotted in terms of real impedance.
3 Results and discussion
3.1 Microstructure of synthesised GO and rGO-SLE sheets
The images in Figure 2 show the microstructures of the synthesised nanosheets before and after chemical modification. In all the images, the GO nanosheets are clearly visible. According to Figure 2(b), the thickness of the synthesised GO nanosheets is around 120 nm. Figure 2(c) displays some typical rGO-SLE nanosheets with a microstructure similar to that of the synthesised GO nanosheets, confirming the adsorption of SLE molecules onto the GO nanosheets.
_Xml/alternativeImage/0D97CDC6-9864-4a02-8F9B-64850EC033B7-F002.jpg)
Additionally, Figure 2(d) provides a magnified image of rGO-SLE, indicating a thickness of approximately 60 nm. Therefore, “nanosheets” is an appropriate term for both the synthesised GO and rGO-SLE products. RAMEZANZADEH et al [32] demonstrated the presence of Tamarindus indica extract (TIE) molecules on the GO sheets, resulting in uniform coverage of rGO with nano-sized particles, while the GO sheets exhibited a more noticeable wrinkled morphology. LI et al [33] reported the folded and wrinkled morphology of GO nanoparticles, which can be significantly improved to a structure without folds and wrinkles when well synthesised to rGO. JIN et al [34] observed GO with a morphology of curls and folds on the surface, whereas an improved surface was noted on rGO.
The EDS results in Figure 3 show the O/C ratios for the synthesised GO and rGO-SLE nanosheets. Figure 3(a) confirms an O/C ratio of 2.5 in GO nanosheets, indicating a high presence of oxygen-containing groups. On the other hand, Figure 3(b) shows an O/C ratio of 4.5 in rGO-SLE nanosheets, suggesting that the surface modification by SLE not only restores the GO nanosheets but also adsorbs compounds from the SLE onto the GO nanosheets. Previous studies also reported similar results, indicating successful adsorption of sugarcane bagasse extract (SBE) and Eucalyptus leaf extract (ELE) compounds onto rGO surfaces [33, 34]. It’s important to note that the oxygen content is nearly the same in both GO and rGO nanosheets. The presence of nitrogen in rGO-SLE nanosheets is attributed to nitrogen-containing structures from SLE, which are connected to the surface of GO nanosheets. It is worth noting that other peaks corresponding to the elements Na, Mg, Al, Si, S, Cl, and Ca, originating from the substrate used for analysing GO and rGO-SLE nanosheets, are ignored to calculate the O/C ratio of the nanosheets.
_Xml/alternativeImage/0D97CDC6-9864-4a02-8F9B-64850EC033B7-F003.jpg)
3.2 Raman spectroscopy analysis
The Raman spectra can be decomposed into several bands, each reflecting the vacancies, distortions, and defects introduced to the GO nanosheet by different functional groups [35]. Graphite and its derivatives are highly sensitive to Raman spectroscopy. The obtained spectra are shown in Figure 4, revealing two distinct bands around the wavenumbers of 1346 and 1588 cm-1. The first band, known as the D band, indicates the presence of defects at the edges of the carbon lattice of GO (sp3 carbon atoms) [36], primarily caused by functional groups such as phenols and ethers connected to the main surface of GO nanosheets. Additionally, this band reflects the degree of disordering, which is attributed to GO boundaries, indicating the number of defects in the GO structure.
_Xml/alternativeImage/0D97CDC6-9864-4a02-8F9B-64850EC033B7-F004.jpg)
The D band reports three main types of defects: (1) vacancies, (2) structural disruptions during chemical processes such as oxidation or reduction, and (3) sp3 groups, which reveal the presence of oxygen portions in the structure. Meanwhile, the second band, known as the G band, refers to the tangential vibrations of carbon atoms. This peak is a good indicator of the graphite nature of the nanosheet. The intensity ratio of the D/G peaks was calculated for both nanosheets to detect structural defects in the structure of the synthesised nanosheets. The intensity ratio of the D/G peaks reflects the carbon sp3/sp2 ratio. The values of 0.92 and 1.01 were calculated for the intensity ratio of D/G peaks for GO and rGO-SLE nanosheets, respectively. This means that the reduced nanosheet has more structural defects in the graphite structure, indicating the ability of SLE to create defects, mostly interstitial and substitutional, in the GO nanosheet. Another peak in the Raman spectrum of two-dimensional graphene nanosheets is observed at around 2727 cm-1. This particular peak is referred to as Gʹ, D*, or 2D band, corresponding to the second-order overtone or harmonic of the D band. This band indicates the presence of order over a wide range of materials and originates from a second-order two-phonon scattering process that leads to the generation of an elastic phonon. Another promising criterion from Raman analysis is that it reveals the number of stacked layers. These observations demonstrate that both nanosheets have a multilayer structure. A broad peak at approximately 2916 cm-1 (referred to as D+G) is observed, indicating the number of layers present in the GO nanosheet. However, fine shifts between the peaks in both nanosheets are noticed, which are attributed to partial charge transfer occurring between the GO layers and the adsorbed SLE molecules.
3.3 FT-IR analysis
FT-IR analysis was conducted to examine the interactions of surface groups of GO nanosheets (binding or adsorption sites) with SLE. Figure 5 shows the FT-IR spectra obtained from the surface of GO and rGO-SLE nanoparticles. Various bonds types, including alcohols, carboxylic acids, amides, amines, phenols, aromatics, esters, alkynes, alkanes, and miscellaneous groups are identified. The spectra reveal a broad and strong absorption peak at 3435 cm-1 corresponding to the O—H bonds attached to the GO surface. The peaks at 1067, 1266, 1401, 1571 and 1721 cm-1 attributed to O—C and C=O bonds indicate the presence of oxygen-containing functional groups on the surface of GO nanosheets.
_Xml/alternativeImage/0D97CDC6-9864-4a02-8F9B-64850EC033B7-F005.jpg)
The peaks at 2859 and 2917 cm-1, corresponding to the stretching vibrations of C—H bonds of ethyl groups, indicate the presence of several CH and/or CH2 groups on the GO nanosheets. The absorption band at 1266 cm-1 is related to aromatic N—O and aromatic—N stretching from the family of amines. The presence of C=C skeletal vibrations with a characteristic peak at 1641 cm-1 indicates the graphene-like domain in GO nanosheets. According to the chemical structure of SLE, the major absorption bonds include NH stretching, nitroso N=O, NH2 in the bend plane, Alif. Nitro, aromatic N—O, aromatic—N stretching, C—N stretching, and =NOH (N—O). Upon studying the spectra of GO and rGO-SLE nanosheets, it can be concluded that the reduction of O—H groups and alkoxy on the surface of GO nanosheets is successfully achieved. The presence of nitrogen atoms from SLE molecules on the surface of GO nanosheets lead to a significant reduction in the GO nanosheets due to the opening reaction of the —C—O—C ring, which results in the establishment of π-π interactions between the aromatic rings of SLE and GO nanosheets in rGO-SLE [37]. The C=O/C=C ratio for GO and rGO-SLE nanosheets is approximately 0.21 and 0.57, respectively, indicating the successful reduction of GO nanosheets by the SLE. The calculated values of 1.04 and 0.28 for the C—O—C/C=C ratio in GO and rGO nanosheets, respectively, demonstrate that the reaction of epoxide groups on GO nanoparticles with active SLE compounds is achieved through —NH bonding, leading to the reduction of GO nanosheets and the formation of C—N bonds. Compared to GO nanosheets, the peak at 1266 cm-1 corresponds to the C—O—C vibration. It is notable that the functional groups of SLE interact with epoxide groups on the surface of GO nanosheets, which may lead to the opening of epoxide rings through a reaction. However, it’s possible that other epoxide groups may not react with SLE molecules [37].
3.4 Corrosion studies
3.4.1 OCP measurement
The open circuit potential (OCP) values of steel plate samples coated with synthesised GO and rGO-SLE nanosheets with epoxy were measured while immersed in 3.5 wt.% NaCl solutions for up to 500 min. However, as all samples exhibited stable potential values after 80 min, the results were plotted up to 120 min to provide a clearer view of OCP variations. The OCP curves over time for the immersed samples in 3.5 wt.% NaCl solutions at room temperature are depicted in Figure 6. Upon immersion, all samples displayed a significant decrease in OCP values toward fewer positive potentials, indicating deterioration of surface layers, such as oxides, hydroxides, and/or iron dissolution. The constant potentials after 1 h of immersion indicate the free corrosion potential of the metal. The epoxy/rGO-SLE coatings showed the least reduction in OCP, indicating the stability of the protective coating compared to the others.
_Xml/alternativeImage/0D97CDC6-9864-4a02-8F9B-64850EC033B7-F006.jpg)
3.4.2 EIS study
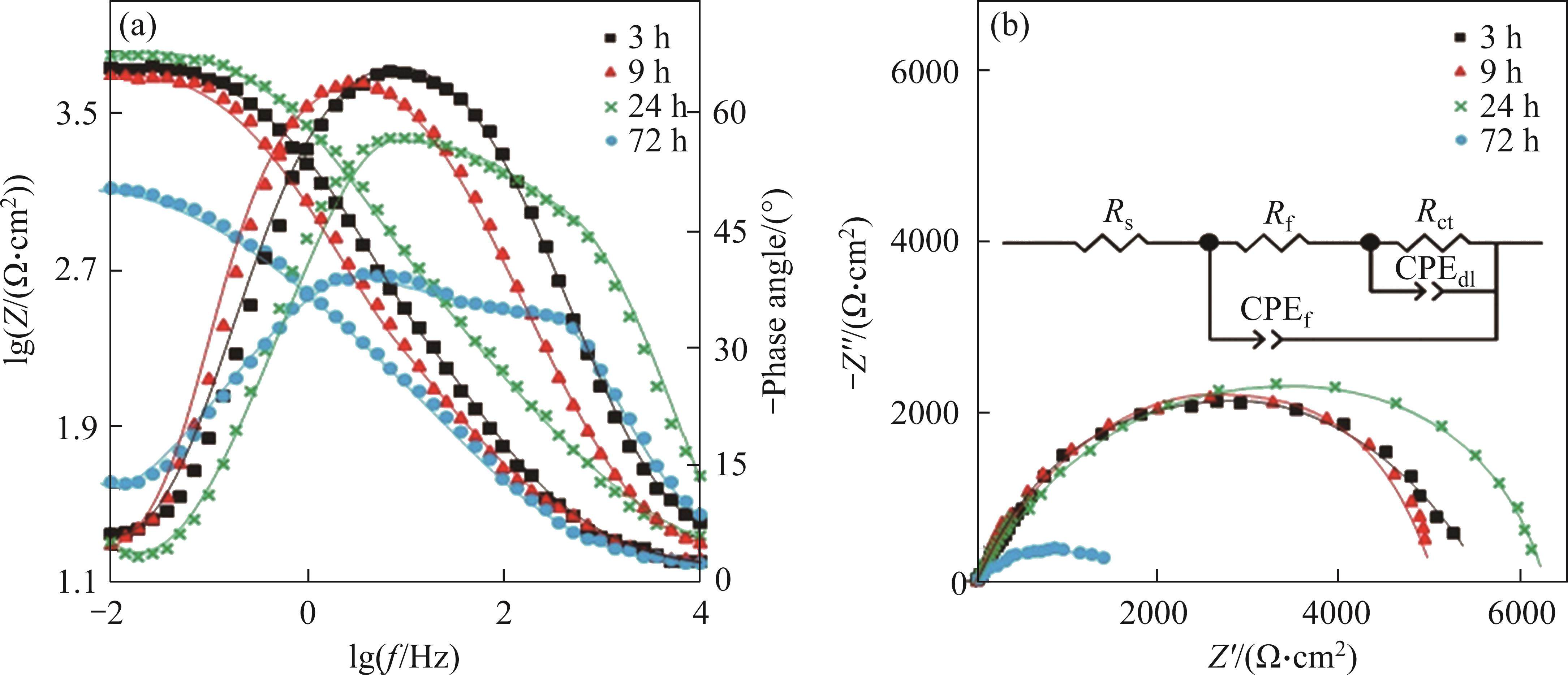
To fully understand and describe the electrochemical reactions at the electrode- electrolyte interface and to assess the impact of modified GO nanosheets on inhibiting corrosion, it is essential to conduct EIS on steel plates coated with neat epoxy, epoxy/GO, and epoxy/rGO-SLE. This was done across a wide frequency range and different potentials, and all surface electrical characteristics were evaluated. Figure 7 shows the corresponding Nyquist and Bode plots. As seen from the Nyquist plots, a single time constant is observed in all coated samples, indicating good corrosion resistance at the beginning of immersion. Over time, the Z' of all samples moves to a lower position, which is attributed to the diffusion of the corrosive electrolyte into the epoxy coatings. Additionally, because these coatings are porous due to the evaporation of solvent [38], they contribute to a reduction in Z value. This allows a corrosive environment to penetrate the coatings, resulting in less protection from the epoxy coating. The equivalent electrical circuits (EECs) shown in the plots are used to analyze the impedance data, which includes charge transfer resistance (Rct), solution resistance (Rs), and film resistance (Rf) [39]. Due to the porous nature of the epoxy coating, a constant phase element (CPE) is used as an ideal capacitor. The impedance parameters are listed in Table 1, where Yo and n represent the admittance and exponent of the CPE components, respectively.
_Xml/alternativeImage/0D97CDC6-9864-4a02-8F9B-64850EC033B7-F007.jpg)
| Sample | Immersion time/h | Rf/(Ω·cm2) | CPE | Rct/(Ω·cm2) | CPE | Rt/(Ω·cm2) | ||
|---|---|---|---|---|---|---|---|---|
Yo/ (µΩ-1·cm2·sn) | n | Yo/ (µΩ-1·cm2·sn) | n | |||||
| Neat epoxy | 3 | — | — | — | 1477 | 362 | 0.76 | 1477 |
| 9 | — | — | — | 1231 | 471 | 0.73 | 1231 | |
| 24 | — | — | — | 1152 | 506 | 0.81 | 1152 | |
| 72 | — | — | — | 631 | 309 | 0.79 | 631 | |
| Epoxy/GO | 3 | 24 | 3372 | 0.55 | 1589 | 341 | 0.82 | 1613 |
| 9 | 107 | 724 | 0.87 | 1612 | 2993 | 0.73 | 1719 | |
| 24 | 48 | 299 | 0.83 | 2394 | 523 | 0.95 | 2442 | |
| 72 | 71 | 347 | 0.81 | 3541 | 272 | 0.95 | 3612 | |
Epoxy/ rGO-SLE | 3 | — | — | — | 3782 | 152 | 0.85 | 3782 |
| 9 | — | — | — | 4928 | 279 | 0.86 | 4928 | |
| 24 | — | — | — | 5266 | 175 | 0.85 | 5266 | |
| 72 | — | — | — | 6529 | 245 | 0.85 | 6529 | |
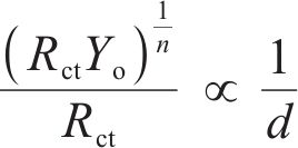
The performance of each coating was assessed by calculating the ideal capacitor (Cdl) and inhibition efficiency (η) using Eqs. (1) and (2) [40], and the results are presented in Figure 8. In these equations, Rt represents the sum of Rct and Rf.
_Xml/alternativeImage/0D97CDC6-9864-4a02-8F9B-64850EC033B7-M001.jpg)
_Xml/alternativeImage/0D97CDC6-9864-4a02-8F9B-64850EC033B7-M002.jpg)
_Xml/alternativeImage/0D97CDC6-9864-4a02-8F9B-64850EC033B7-F008.jpg)
where d represents the double-layer thickness. The impedance parameters of the neat epoxy coating (Figure 8(a)) show consistent behaviour. The presence of a time constant indicates that the charge transfer reactions are well-regulated. The value of Rct for this coating is approximately 1477 Ω·cm2 after 3 h and 631 Ω·cm2 after 72 h of immersion. This behaviour is also reflected in the changes in the ideal capacitor, where the Cdl values remain constant over time. As mentioned earlier, the low value of |Z| (around 630 to 1500 Ω·cm2) for the neat epoxy coating is attributed to its porous nature, which allows chloride ions to continuously diffuse to the steel surface.
In contrast, the |Z| values for the steel plates coated with epoxy/GO nanosheets show a more than two-fold increase (1500 to 3600 Ω·cm2), indicating its superior physical barrier properties. Furthermore, the values of |Z| for the epoxy/rGO-SLE nanosheet coating demonstrate a substantial increase (4500 to 6500 Ω·cm2), confirming its superior physical barrier properties.
When steel plates are coated with epoxy/GO nanosheets, two different time constants are observed, and the data are analyzed using a series circuit with two-time constants. The resistance values show a consistent trend, with a value of 1613 Ω·cm2 after 3 h and 3612 Ω∙cm2 after 72 h of immersion. Initially, high values of Cdl indicates the minimum thickness of the ideal capacitor. It is worth noting that Cdl fluctuates, suggesting oscillations in the double-layer thickness. During the initial period, corrosion conditions lead to a reduction in the double-layer thickness. However, with the presence of epoxy/GO nanosheets coating, the thickness increases. The steel also shows the highest inhibition efficiency of 82% (Figure 8(b)). In the case of epoxy/rGO-SLE nanosheets, there is an increasing trend in resistance. The highest values of Rt and inhibition efficiency are calculated as 6529 Ω·cm2 and 90%, respectively. By examining the Cdl values, it can be understood that the double-layer thickness of the epoxy/rGO-SLE nanosheets coating has the highest value among all samples. Generally, the inhibition in a 3.5 wt.% NaCl solution is based on stabilizing the inherent oxide layer on the surface of the steel plate. These oxide layers are mostly porous and unable to provide long-term protection against corrosion. Therefore, the role of corrosion inhibitors is to fill these porosities to block the access of corroding species to the steel surface [41].
3.4.3 Impedance of the scratched coating
In order to assess the impact of adding 0.1 wt.%, 0.15 wt.% and 0.2 wt.% synthesised GO and rGO-SLE nanosheets to the epoxy coating on its corrosion protection properties, EIS measurements were conducted on steel plates coated with the epoxy. The measurements were taken at various immersion durations of 3, 6, 12 and 72 h in a 3.5 wt.% NaCl solution.
The EIS results allow to determine the penetration of electrolytes under the coating through defect sites and the delamination of the coating. Figures 9 to 11 display the Nyquist and Bode plots of the measurements, and the corresponding parameters are reported in Tables 2 to 4, respectively. When an epoxy coating has a defect, the delamination of the coating begins from the defect. In the epoxy-coated steel, two-time constants are observed, where the first one is related to the double-layer, and the second one is allocated to the corrosion products formed inside the scratch (Figure 9). As observed from the impedance data, the coated steel exhibits the lowest Rct and at all immersion periods, and there is a slight increase in Rct after 24 h of immersion.
_Xml/alternativeImage/0D97CDC6-9864-4a02-8F9B-64850EC033B7-F009.jpg)
| Sample | Immersion time/h | Rct/(Ω·cm2) | CPEdl | Rf/(Ω·cm2) | CPEf | |Z|0.01Hz/ (Ω·cm2) | ||
|---|---|---|---|---|---|---|---|---|
| Yo/(µΩ-1·cm2·sn) | n | Yo/(µΩ-1·cm2·sn) | n | |||||
| Epoxy coated steel | 3 | 5575 | 45 | 0.77 | 23 | 65 | 0.81 | 3.72 |
| 9 | 5684 | 74 | 0.82 | 68 | 97 | 0.82 | 3.68 | |
| 24 | 6104 | 32 | 0.79 | 388 | 48 | 0.75 | 3.77 | |
| 72 | 1552 | 654 | 0.54 | 52 | 45 | 0.84 | 3.15 | |
The decrease in Rct leads to the delamination of the epoxy coating from the steel substrate, resulting in the penetration of electrolytes to the interface of the coating/steel substrate, and this leads to higher coating delamination damage and increases the contact area of the steel substrate with the corrosive environment, meaning lower Rct values. In contrast, delamination of the coating and the formation of corrosion products under the epoxy coating occur due to the penetration of corrosive species through the voids and porosities of the epoxy coating to the substrate. However, the accumulation of corrosion products after 24 h at the defect site leads to a slight increase in Rct, but due to their weak adhesion and high porosity, they could not maintain this impedance value and decrease. The values of η for the double-layer also indicate an increase in roughness inside the scratch over time. Table 2 shows the fitted data from the Bode plots of the scratched epoxy coating. The graphs in Figure 10 illustrate the Nyquist and Bode plots of the scratched epoxy/GO coatings with different concentrations of 0.10 wt.%, 0.15 wt.% and 0.2 wt.% GO immersed in 3.5 wt.% NaCl solution for various periods. The corresponding fitted parameters are presented in Table 3. In the epoxy/0.1 GO coating, a time constant (a semicircle in the Nyquist plot) was observed even after a long immersion time, indicating that the corrosion reactions are controlled by charge transfer. However, the epoxy/0.15 wt.% GO and epoxy/ 0.20 wt.% GO coatings exhibited two-time constants (two semicircles in the Nyquist plot), with the first one corresponding to the double-layer of the underlying substrate, and the second one related to the GO nanosheets transported inside the scratch. Adding GO nanosheets to the coating, Rct and |Z|0.01Hz increased compared to the neat epoxy coating, but these values gradually decreased with increasing immersion time. The epoxy/0.15 wt.% GO coating showed the highest impedance values and was the most optimal. For concentrations of GO nanosheets lower than 0.15 wt.%, the coating system performed poorly, while concentrations higher than 0.15 wt.% resulted in disturbances to the coating’s curing process, leading to more porosity and defects.
_Xml/alternativeImage/0D97CDC6-9864-4a02-8F9B-64850EC033B7-F010.jpg)
| Coating | Immersion time/h | Rct/(Ω·cm2) | CPEdl | Rf/(Ω·cm2) | CPEf | |Z|0.01Hz/ (Ω·cm2) | ||
|---|---|---|---|---|---|---|---|---|
| Yo/(µΩ-1·cm2·sn) | n | Yo/(µΩ-1·cm2·sn) | n | |||||
Epoxy/ 0.1 wt.% GO | 3 | 19021 | 16 | 0.85 | — | — | — | 4.23 |
| 9 | 15612 | 25 | 0.83 | — | — | — | 4.04 | |
| 24 | 11524 | 33 | 0.79 | — | — | — | 3.96 | |
| 72 | 5202 | 126 | 0.78 | — | — | — | 3.72 | |
Epoxy/ 0.15 wt.% GO | 3 | 25101 | 13 | 0.82 | 32 | 342 | 0.8 | 4.13 |
| 9 | 17024 | 27 | 0.74 | 45 | 398 | 0.83 | 3.85 | |
| 24 | 12602 | 36 | 0.73 | 78 | 323 | 0.78 | 3.8 | |
| 72 | 4501 | 145 | 0.69 | 112 | 254 | 0.8 | 3.66 | |
Epoxy/ 0.2 wt.% GO | 3 | 22123 | 14 | 0.8 | 15 | 140 | 0.82 | 3.99 |
| 9 | 8310 | 32 | 0.77 | 20 | 146 | 0.82 | 3.89 | |
| 24 | 4123 | 155 | 0.73 | 45 | 254 | 0.78 | 3.58 | |
| 72 | 2832 | 640 | 0.69 | 25 | 413 | 0.75 | 3.42 | |
Lengthening the diffusion path of corrosive agents led to higher initial values of Rct and |Z|0.01Hz in the epoxy/GO coatings. However, prolonged immersion caused the penetration of corrosive agents, weakening adhesive strength over time and resulting in a decrease in Rct and |Z|0.01Hz. The decrease in Rct indicates the diffusion of corrosive agents under the coating through the defect site. The Bode/phase plot in Figure 10 shows that the phase angle at high frequencies increased for the epoxy/0.15 GO coating after 72 h of immersion, indicating the formation of an effective complex with proper blocking behaviour inside the scratch. It should be noted that once corrosive agents penetrate the scratched area, electrochemical reactions occur.
The increase in pH and the formation of corrosion products enhances the delamination of the coating and reduces corrosion resistance. The addition of GO nanosheets suppressed delamination of the coating, resulting in improved corrosion resistance. However, it also disrupted the process of curing the epoxy/GO coating, leading to the weakening and fracturing of the resin chains. SHAHINI et al [42] showed that the presence of GO nanoparticles in the polymer matrix created voids, leading to the penetration of aggressive agents and causing corrosion.
The Nyquist and Bode plots in Figure 11 display the results obtained from scratched epoxy/rGO-SLE coating with 0.10 wt.%, 0.15 wt.% and 0.2 wt.% rGO, immersed in a 3.5 wt.% NaCl solution at different time intervals. The corresponding fitted parameters are presented in Table 4. Similar to the epoxy/GO coating, a time constant is observed in epoxy/0.1 wt.% rGO-SLE, indicating that the amount of discharged nanosheets inside the scratch is not sufficient to create an additional time constant alongside the double-layer time constant. However, in epoxy/0.15 wt.% rGO-SLE and epoxy/0.2 wt.% rGO-SLE coatings, two-time constants are observed. In the epoxy/rGO-SLE coatings, Rct has the highest value among all coatings, and a slight decrease is observed with immersion time.
_Xml/alternativeImage/0D97CDC6-9864-4a02-8F9B-64850EC033B7-F011.jpg)
| Sample | Immersion time/h | Rct/(Ω·cm2) | CPEdl | Rf/(Ω·cm2) | CPEf | |Z|0.01Hz/ (Ω·cm2) | ||
|---|---|---|---|---|---|---|---|---|
| Yo/(µΩ-1·cm2·sn) | n | Yo/(µΩ-1·cm2·sn) | n | |||||
Epoxy/ 0.1 wt.% rGO-SLE | 3 | 24300 | 67 | 0.8 | — | — | — | 4.24 |
| 9 | 25600 | 56 | 0.81 | — | — | — | 4.25 | |
| 24 | 23500 | 65 | 0.82 | — | — | — | 4.22 | |
| 72 | 19800 | 86 | 0.83 | — | — | — | 4.05 | |
Epoxy/ 0.15 wt.% rGO-SLE | 3 | 27741 | 102 | 0.77 | 241 | 25 | 0.77 | 4.41 |
| 9 | 30853 | 157 | 0.79 | 124 | 68 | 0.77 | 4.38 | |
| 24 | 27705 | 218 | 0.77 | 125 | 85 | 0.76 | 4.36 | |
| 72 | 13094 | 345 | 0.38 | 639 | 52 | 0.54 | 3.76 | |
Epoxy/ 0.2 wt.% rGO-SLE | 3 | 21047 | 35 | 0.9 | 341 | 122 | 0.73 | 4.23 |
| 9 | 11408 | 107 | 0.91 | 515 | 103 | 0.75 | 4.01 | |
| 24 | 7591 | 158 | 0.91 | 375 | 146 | 0.75 | 3.85 | |
| 72 | 3948 | 91 | 0.92 | 512 | 181 | 0.76 | 3.64 | |
The epoxy/rGO-SLE coatings provide stable active protection, with the highest values of Rct and Z|0.01Hz due to the inhibition role of SLE molecules adsorbed onto GO. After 72 h of exposure, Rct significantly decreases for all coatings, but the epoxy/rGO-SLE coatings exhibit better corrosion protection performance compared to the others [42, 43]. These results indicate that using SLE improves the barrier performance of the coatings and forms a protective layer inside the scratch. An effective corrosion-resistant coating should have both active and barrier protection properties. Such coatings typically contain micro or nanocarriers to transport corrosion inhibitors with modifiable or controllable release properties. Among the available nanocarriers, GO exhibits barrier capability and has a specific surface area for corrosion inhibitors, crucial for long-term protection. The protective layer, unlike corrosion products, remains dense, constant, and stable throughout immersion in the corrosive environment. On the other hand, corrosion products are highly porous and sponge-like, hindering long-term immersion durability and surface protection. The contact of the corrosive electrolyte with the surface can trigger electrochemical responses at effective points on the sub-layer surface, producing OH- ions in cathodic areas. The OH- ions play a significant role in the delamination of the coating and the continuous formation of corrosive products. Increasing pH in the scratched area stimulates the released rGO-SLE nanosheets to discharge or fill the scratch. As a result, protective complexes are formed, and the coating system protects the entire structure.
The SLE molecules protect the coating by adsorbing onto active points beneath the protective layer. Among these, protecting the anodic areas can significantly enhance the barrier performance of the nanocomposite using GO nanosheets. The presence of hydroxyl functional groups in the GO structure can give it a negative charge. Protonated organic compounds and electrostatic attraction can be developed in the negative regions of GO nanosheets and protonated particles. Additionally, SLE molecules can donate a proton to the GO structure, and a chemical adsorption interaction may occur between the protonated molecules and GO nanosheets, resulting in a significant surface bond. On the other hand, with the dehydration of SLE molecules and the absorption of Na+ ions in negative regions, the absorbed SLE compounds may subsequently be desorbed in the saltwater by Na+ [44].
4 Conclusions
In this study, the use of SLE was introduced as a new compound to reduce graphene oxide and incorporated it into epoxy polymer coating to control the corrosion of steel in a 3.5 wt.% NaCl solution. Based on the results obtained, the following conclusions can be drawn:
1) Aqueous SLE successfully reduced the oxygen-containing groups of GO.
2) The presence of multiple functional groups containing oxygen on the surface of GO nanosheets was confirmed.
3) The nitrogen from nitrogen-containing compounds in SLE, such as histamine and serotonin, is connected to the surface of GO sheets. The ring-opening reaction of —C—O—C on the surface of GO nanosheets through N atoms in SLE molecules significantly regenerated GO and rGO nanosheets to form C—N bonds.
4) The epoxy/rGO-SLE coatings showed the least decrease in OCP, indicating more stability of the formed protective layer compared to epoxy and epoxy/GO coatings.
5) Active protection in the epoxy/rGO-SLE coatings was more stable. Due to the inhibitory role of adsorbed SLE molecules on GO, the highest values of charge transfer resistance, Rct, and impedance magnitude at ƒ=|Z|0.01Hz were obtained.
6) Incorporating GO and rGO-SLE nanosheets into the epoxy coating improved corrosion protection performance.
7) The surface modification of GO with SLE molecules created high polarity at the steel/epoxy interface and reduced water and aggressive ion absorption for adhesive bond degradation.
Superior anti-corrosion and self-healing bi-functional polymer composite coatings with polydopamine modified mesoporous silica/graphene oxide
[J]. Journal of Materials Science & Technology, 2021, 95: 95-104. DOI: 10.1016/j.jmst.2021.04.019.Epoxy-polyamide nanocomposite coating with graphene oxide as cerium nanocontainer generating effective dual active/barrier corrosion protection
[J]. Composites Part B: Engineering, 2019, 172: 363-375. DOI: 10.1016/j.compositesb.2019.05.055.A versatile prodrug strategy to in situ encapsulate drugs in MOF nanocarriers: A case of cytarabine-IR820 prodrug encapsulated ZIF-8 toward chemo-photothermal therapy
[J]. Advanced Functional Materials, 2018, 28(35): 1802830. DOI: 10.1002/adfm.201802830.Hierarchical graphitic carbon nitride-ZnO nanocomposite: Viable reinforcement for the improved corrosion resistant behavior of organic coatings
[J]. Materials Chemistry and Physics, 2020, 251: 122987. DOI: 10.1016/j.matchemphys.2020. 122987.A comparative study on the effect of collagen and h-BN reinforcement of hydroxyapatite/chitosan biocomposite coatings electrophoretically deposited on Ti-6Al-4V biomedical implants
[J]. Surface and Coatings Technology, 2018, 340: 167-176. DOI: 10.1016/j.surfcoat. 2018.02.034.APTES-modified graphene oxide loaded with cerium dibutylphosphate as two-dimensional nanocomposites for enhancing corrosion protection properties
[J]. Corrosion Science, 2023, 213: 110966. DOI: 10.1016/j.corsci.2023.11 0966.Ti3C2 MXene nanosheets toward high-performance corrosion inhibitor for epoxy coating
[J]. Progress in Organic Coatings, 2019, 135: 156-167. DOI: 10.1016/j.porgcoat.2019.06.013.Silane coupling agent modified layered double hydroxide/graphene oxide preparation of intelligent anticorrosive coating
[J]. Surface and Coatings Technology, 2023, 467: 129728. DOI: 10.1016/j.surfcoat.2023.129728.Enhancement of barrier properties by wet coating of epoxy-ZrP nanocomposites on various inorganic layers
[J]. Progress in Organic Coatings, 2017, 108: 25-29. DOI:10.1016/j.porgcoat.2017.04.001.Corrosion behavior of MoS2-incorporated PEO coatings prepared on Al alloy
[J]. Surface Innovations, 2020, 8(5): 252-262. DOI: 10.1680/jsuin.19.00065.Recent progress in synthesis of two-dimensional hexagonal boron nitride
[J]. Journal of Semiconductors, 2017, 38(3):A comprehensive review on ultrathin, multi-functionalized, and smart graphene and graphene-based composite protective coatings
[J]. Corrosion Science, 2023, 212: 110939. DOI: 10.1016/j.corsci.2022.110939.Dual-functional graphene oxide-based nanomaterial for enhancing the passive and active corrosion protection of epoxy coating
[J]. Composites Part B: Engineering, 2021, 222: 109075. DOI: 10.1016/j.compositesb.2021.109075.Preparation of graphene oxide/polyiminodiacetic acid resin as a high-performance adsorbent for Cu(II)
[J]. Journal of Central South University, 2023, 30(12): 3881-3896. DOI: 10.1007/s11771-023-5510-6.Rare earth modified reduced graphene oxide reinforced AgCuTi composite brazing filler for brazing C/C composites
[J]. Journal of Central South University, 2024, 31(5): 1398-1411. DOI: 10.1007/s11771-024-5637-0.Reinforcing the corrosion protection property of epoxy coating by using graphene oxide-poly(urea-formaldehyde) composites
[J]. Corrosion Science, 2017, 123: 267-277. DOI: 10.1016/j.corsci.2017.04.019.Graphene oxide: A promising nanomaterial for energy and environmental applications
[J]. Nano Energy, 2015, 16: 488-515. DOI: 10.1016/j.nanoen.2015.07.014.Distribution states of graphene in polymer nanocomposites: A review
[J]. Composites Part B: Engineering, 2021, 226: 109353. DOI: 10.1016/j.compositesb.2021.109353.A brief review of the graphene oxide-based polymer nanocomposite coatings: Preparation, characterization, and properties
[J]. Journal of Coatings Technology and Research, 2021, 18(4): 945-969. DOI: 10.1007/s11998-021-00488-8.Reduction of graphene oxide by new chemical and green methods
[J]. Journal of Ultrafine Grained and Nanostructured Materials, 2022, 55: 172-185. DOI: 10. 22059/JUFGNSM.2022.02.09.A brief review of corrosion protective films and coatings based on graphene and graphene oxide
[J]. Journal of Alloys and Compounds, 2018, 764: 1039-1055. DOI: 10.1016/j.jallcom.2018.06.133.Progress in the functional modification of graphene/graphene oxide: A review
[J]. RSC Advances, 2020, 10(26): 15328-15345. DOI: 10.1039/d0ra01068e.Reduced graphene oxide today
[J]. Journal of Materials Chemistry C, 2020, 8(4): 1198-1224. DOI: 10.1039/c9tc 04916a.Conjugated-polyelectrolyte-functionalized reduced graphene oxide with excellent solubility and stability in polar solvents
[J]. Small, 2010, 6(5): 663-669. DOI: 10.1002/smll.2009 02221.The reduction of graphene oxide
[J]. Carbon, 2012, 50(9): 3210-3228. DOI: 10.1016/j.carbon.2011.11.010.Highly potent radical scavenging-anti-oxidant activity of biologically reduced graphene oxide using Nettle extract as a green bio-genic amines-based reductants source instead of hazardous hydrazine hydrate
[J]. Journal of Hazardous Materials, 2019, 371: 609-624. DOI: 10.1016/j.jhazmat. 2019.03.046.Green reduction of graphene oxide involving extracts of plants from different taxonomy groups
[J]. Journal of Composites Science, 2022, 6(2): 58. DOI: 10.3390/jcs6020058.A review on the current research on graphene-based aerogels and their applications
[J]. Carbon Trends, 2021, 4: 100065. DOI: 10.1016/j.cartre.2021.100065.Synthesis of graphene oxides particle of high oxidation degree using a modified Hummers method
[J]. Ceramics International, 2020, 46(15): 23997-24007. DOI: 10.1016/j.ceramint.2020.06.177.Construction of an epoxy composite with excellent thermal/mechanical properties using graphene oxide nanosheets reduced/functionalized by Tamarindus indiaca extract/zinc ions; detailed experimental and DFT-D computer modeling explorations
[J]. Results in Physics, 2020, 19: 103400. DOI: 10.1016/j.rinp.2020.103400.Green reduction of graphene oxide by sugarcane bagasse extract and its application for the removal of cadmium in aqueous solution
[J]. Journal of Cleaner Production, 2018, 189: 128-134. DOI: 10.1016/j.jclepro.2018.04.018.Green reduction of graphene oxide using eucalyptus leaf extract and its application to remove dye
[J]. Chemosphere, 2018, 208: 417-424. DOI: 10.1016/j.chemosphere.2018.05.199.MoO42--doped oxidative polymerized pyrrole-graphene oxide core-shell structure synthesis and application for dual-barrier & active functional epoxy-coating construction
[J]. Progress in Organic Coatings, 2022, 167: 106845. DOI: 10.1016/j.porgcoat.2022.106845.Microstructure and corrosion properties of zinc-graphene oxide composite coatings
[J]. Corrosion Science, 2019, 152: 234-248. DOI: 10.1016/j.corsci.2019.03.015.Graphene oxide nanoplatforms reduction by green plant-sourced organic compounds for construction of an active anti-corrosion coating; experimental/electronic-scale DFT-D modeling studies
[J]. Chemical Engineering Journal, 2020, 397: 125433. DOI: 10.1016/j.cej.2020.125433.H-BN base triple-functional filler enhances the anti-corrosion performance of epoxy coating
[J]. Polymer, 2024, 300: 126975. DOI: 10.1016/j.polymer.2024.126975.In-situ monitoring of local corrosion process of scratched epoxy coated carbon steel in simulated pore solution containing varying percentage of chloride ions by localized electrochemical impedance spectroscopy
[J]. Electrochimica Acta, 2016, 199: 305-313. DOI: 10.1016/j.electacta.2016.02.034.The substituted 1, 3, 4-oxadiazoles: A new class of corrosion inhibitors of mild steel in acidic media
[J]. Corrosion Science, 2000, 42(1): 127-146. DOI: 10.1016/S0010-938X(99)00049-9.Amphiphilic amido-amine as an effective corrosion inhibitor for mild steel exposed to CO2 saturated solution: Polarization, EIS and PM-IRRAS studies
[J]. Electrochimica Acta, 2011, 56(8): 2990-2998. DOI: 10.1016/j.electacta. 2011.01.009.Ce-oxide quantum dots decorated graphene oxide (CeO-QDs-GO) nano-platforms synthesis and application in epoxy matrix for efficient anti-corrosion ability
[J]. Journal of Industrial and Engineering Chemistry, 2021, 101: 51-65. DOI: 10.1016/j.jiec.2021.06.024.One-step hydrothermal synthesis of reduced graphene oxide/aspartic acid intercalated layered double hydroxide for enhancing barrier and self-healing properties of epoxy coating
[J]. Reactive and Functional Polymers, 2019, 145: 104380. DOI: 10.1016/j.reactfunctpolym.2019.104380.Development of a nanocomposite coating with anti-corrosion ability using graphene oxide nanoparticles modified by Echium ammonium extract
[J]. Progress in Organic Coatings, 2022, 166: 106778. DOI: 10.1016/j.porgcoat. 2022.106778.FOROUZESH Shervin, JAFARI Hassan, and SADEGHZADEH Ahmad declare that they have no conflict of interest.
FOROUZESH Shervin, JAFARI Hassan, SADEGHZADEH Ahmad. Effect of reduced graphene oxide produced by plant extract on anti-corrosion behaviour of epoxy coating [J]. Journal of Central South University, 2025, 32(3): 820-836. DOI: https://doi.org/10.1007/s11771-025-5920-8.
.植物提取物制备还原氧化石墨烯对环氧涂层抗腐蚀性能的影响[J].中南大学学报(英文版),2025,32(3):820-836.

