J.Cent.South Univ.(2025) 32: 806-819
1 Introduction
In the field of microelectronic packaging, ultrasonic bonding technology was the most important micro-connection method for semiconductor devices [1-3]. With the combined action of ultrasonic vibration and pressure, the metal wire was closely connected with the pad on the substrate, and the information exchange between the chip and the substrate was realized [4, 5]. In order to achieve high performance and reliability, Al and Al alloy wires played an important place in the use of wires due to their low cost and excellent properties, such as high conductivity, high tensile strength, high elastic modulus, etc. AlSi1 wire further improved toughness by adding Si, which could better meet the requirements of the development of integrated circuit (IC) industry towards high-density and integrated direction.
It is vital to understand the effect of the ultrasonic bonding parameters on the formation of the interface [6-9]. GEIßLER et al [10] investigated the influence of ultrasonic power on the microstructure of the interface between Al wire and Cu/Ni/Au metallized layer, and pointed out that the increase of ultrasonic power would lead to the decrease of microhardness inside the wire and the formation of recrystallized grains, and ultrasonic power activated the defect movement and diffusion process between heterogeneous metals, leading to forming a closed interface. GEISSLER et al [11] investigated the effect of bonding time on intermetallic compound (IMC) growth at the Al-Au interface and found that more than 80% of the Al-Au interface was covered by Au8Al3 after bonding. JI et al [12] studied the influence of ultrasonic power, bonding force and bonding time on the structure of the Al-Au interface and found that the actual connection area expanded from the periphery to the centre, and finally extended to the entire Al-Au interface. These studies lay a foundation for the formation of the Al-Au interface.
The evolution of the Al-Au interface also affected the properties of the ultrasonic bonding. The thickness of the diffusion layer and the integrity of the interface play an important role in the bonding strength. Within a certain range, the thicker the diffusion layer, the stronger the interface bonding and the greater the bonding strength [13-15]. The initiation of cracks at the Al-Au interface is not conducive to effective metallurgical bonding, resulting in a decrease in performance [16-18]. So, the ultrasonic bonding parameters had important significance for bonding strength. WANG et al [19] pointed out the change of shear strength of Al ultrasonic bonding with different ultrasonic powers and bonding times. PEDERSEN et al [20] investigated the influence of ultrasonic power and the initial microstructure of Al wires on the bonding quality. Therefore, it was of great significance to study the influence of ultrasonic bonding parameters on the Al-Au interface and reveal the formation mechanism of the Al-Au interface for further improving bonding quality [21, 22]. The influence of ultrasonic bonding parameters on the interface microstructure was qualitatively investigated, and it was further shown that the interface microstructure has a significant effect on the properties. Nerveless, the quantitative model of atomic diffusion rate, which was related to the ultrasonic bonding parameters, time and distance, wasn’t yet established to predict the atomic diffusion of the Al-Au interface.
The objective of this work is to quantify the influence of ultrasonic bonding parameters on Al-Au interfacial diffusion, analyze the mechanism of ultrasonic bonding, and optimize ultrasonic bonding parameters in combination with shear strength tests. Therefore, scanning electron microscopy (SEM), energy dispersive spectrometer (EDS) and transmission electron microscopy (TEM), finite element (FE) simulation and destructive shear test were performed at different ultrasonic bonding parameters.
2 Experimental material and methods
2.1 Sample preparation and observation
An Al wire was bonded to a metallization pad mounted on a silicon chip using an automatic ultrasonic silicon Al wire bonding machine FK64000. The wire was Al-1 wt.% Si with a diameter of 40 μm. The pad on the substrate consisted of three layers of Au/TiW/NiCr with thickness of 0.8 μm, 50 nm and 60 nm, respectively. The three layers were successively sputtered on the substrate by magnetron. The ultrasonic resonance frequency was about 60 kHz. The bonding was carried out at the bonding force in the range of 19-27 gf, the ultrasonic power in the range of 65-85 mW and the bonding time in the range of 17-35 ms.
In order to observe the atomic diffusion, the cross-sections of Al-Au ultrasonic bonding were obtained using Helios G4 CX focused ion beam (FIB). The specific processing scheme was shown in Figures S1(a) and (b). The Al-Au interface and atomic distribution were observed and measured by SEM with EDS equipment. The crystal structures were characterized by Talos F200X TEM. TEM samples were prepared by dual-beam FIB system. The destructive shear test was conducted on the CONDOR 70-3 tester at a speed of 300 μm/s, and shear strength was obtained by 10 samples for each bonding parameter.
2.2 Simulation procedures
3D FE model for wire bonding was shown in Figure S1(c). The wedge was applied to Al wire with an amount of bonding force, causing Al wire to deform and come into close contact with Au pad. At the same time, ultrasonic waves begin to act through the wedge. Due to the large size of Si chip and relatively small deformation, it was regarded as a rigid body, while the TiW and NiCr layers were ignored in order to simplify the calculation due to their very thin thickness. Compared with Al wire and Au pad, the stiffness of the wedge was so large that the wedge can be regarded as rigid materials. The material properties of Al and Au were given in Table 1 [23, 24].
3 Results and discussion
3.1 Al-Au interface and atomic diffusion at interface
3.1.1 Effect of ultrasonic bonding parameters
The three positions, including the bond heel, intermediate and bond toe areas, are selected to observe the Al-Au interface shown in Figure S1(b). Figure 1 shows the effect of bonding force on the cross-section interface of the Al-Au ultrasonic bonding at an ultrasonic power of 75 mW and a bonding time of 21 ms. From Figure 1, it is seen that no obvious unbonded region is found at the suitable bonding forces of 21 gf and 23 gf shown in Figures 1(b) and (c). But, when the bonding force of 19 gf is too small (Figure 1(a)), there is a few holes in the intermediate area because relative sliding easily occurs at this position, which is resulted from the combined effect of ultrasonic vibration sliding and lower pressure stress. As can be confirmed from the results of FE simulation (Figure 2(a)), higher stresses are concentrated at the periphery of the Al-Au ultrasonic bonding compared to the intermediate area. In addition, when the bonding forces of 25 gf and 27 gf are too high, the holes are found in the bond heel (Figure 1(d)), the intermediate and the bond toe areas (Figures 1(e) and (f)). Especially, more unbonded regions are observed at a bonding force of 27 gf, and the overall Al-Au interface is poor. As the bonding force increases, the contact between the Al wire and the Au pad becomes closer, and the diffusion process is rapidly activated and a connection forms between Al and Au. At this time, to a certain extent, the bonding force plays a role in promoting the diffusion. ZHOU et al [25] pointed out the bonding force was conductive to removing the surface oxides during Au wire bonding process, which contributed to the metal contact and atomic diffusion. However, with the continuous increase of bonding force, on the one hand, excessive force will cause damage to the interface due to the combined effect of higher bonding force and ultrasonic vibration sliding. From Figure 2(b), it is also confirmed that the stress along section line of Al wire keeps increasing with increasing bonding force. According to the above-mentioned observation of the Al-Au interface and the calculated stress distribution, it is concluded that the bonded quality of the Al-Au interface is poor at lower and higher bonding forces. Especially, the bonded interface is easy to be destroyed and cannot effectively form the stable area at higher bonding forces [26].
_Xml/alternativeImage/1A12AE9E-E8DA-4932-845D-257B91CFCDE5-F001.jpg)
_Xml/alternativeImage/1A12AE9E-E8DA-4932-845D-257B91CFCDE5-F002.jpg)
Figure 3 shows the effect of ultrasonic power on the cross-section interface of the Al-Au ultrasonic bonding at a bonding force of 23 gf and bonding time of 21 ms. From Figure 3(a), it is seen that there are only sporadic unbonded regions near the bond heel area at an ultrasonic power of 65 mW. At the ultrasonic powers of 70 mW and 75 mW (Figures 3(b) and 1(c)), no obvious unbonded region is found at the entire Al-Au interface. When the ultrasonic power reaches 80 mW (Figure 3(c)), some small unbonded regions exist near the bond toe area. When the ultrasonic power is up to 85 mW (Figure 3(d)), the intermediate areas are also found some holes. According to the above-mentioned observation, it is concluded that the ultrasonic power has some effect on the Al-Au interface morphology, the bonded quality of the Al-Au interface is poor at lower and higher ultrasonic powers. The main reason is that the ultrasonic energy is applied alternately to Al wire in the form of sinusoidal waves, and the energy will generate relative motion between Al wire and Au pad, which exists in the form of microslip or gross sliding, and the mechanism depends on the ultrasonic power and bonding force [27]. In the process of ultrasonic bonding, on the one hand, the relative movement at the Al-Au interface can promote the atomic diffusion through intensifying the plastic deformation of Al wire and Au pad. On the other hand, the sliding is in competition with the interface strength, which affects the formation of the interface. When the ultrasonic power increases to 80 mW, the excessive ultrasonic power intensifies the relative movement between Al wire and Au pad, and the bond strength of the interface is not enough to inhibit the relative movement, resulting in a formation of some holes. Similarly, LUM et al [28] studied the footprint of Al-Cu wire bonding and found that the footprint morphology changed from microslip to gross sliding with increasing ultrasonic power, resulting in an increase in bonding area. However, TIAN et al [29] pointed out that excessive ultrasonic power damaged the forming bonding area due to over bonding. In addition, the increase of ultrasonic power can also lead to the accumulation of interface oxides, promoting the formation of holes and making the interface quality worse, which will be discussed in detail in the Section 3.2.
_Xml/alternativeImage/1A12AE9E-E8DA-4932-845D-257B91CFCDE5-F003.jpg)
3.1.2 Quantitative model of atomic diffusion
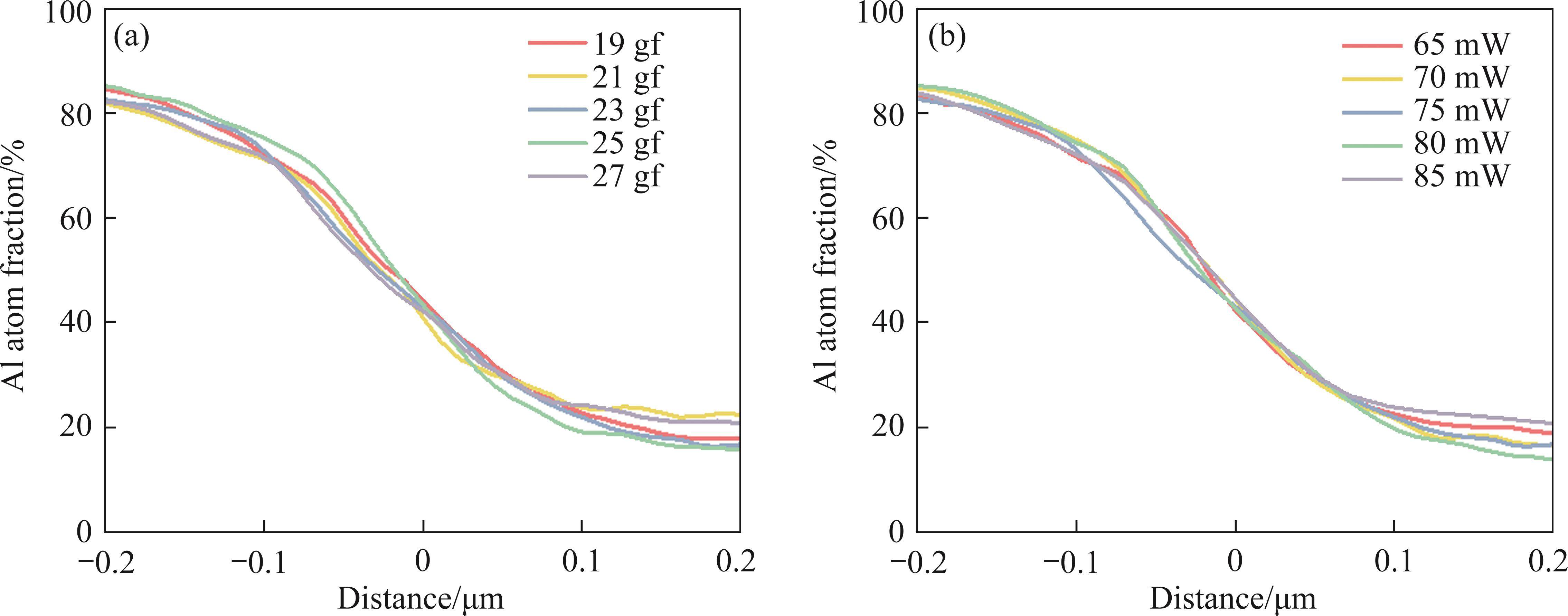
Figure 4 shows the concentration of Al atom at the Al-Au interface at different bonding forces and ultrasonic powers using EDS measurement. At different bonding forces or ultrasonic powers, there is no obvious pattern in the distribution of Al atom. From Al wire to Au pad, the concentration of Al atom decreases, indicating significant atomic diffusion during the bonding process. The external loads such as ultrasound and pressure cause the atomic diffusion at the Al-Au interface, thus forming a stable connection [30].
_Xml/alternativeImage/1A12AE9E-E8DA-4932-845D-257B91CFCDE5-F004.jpg)
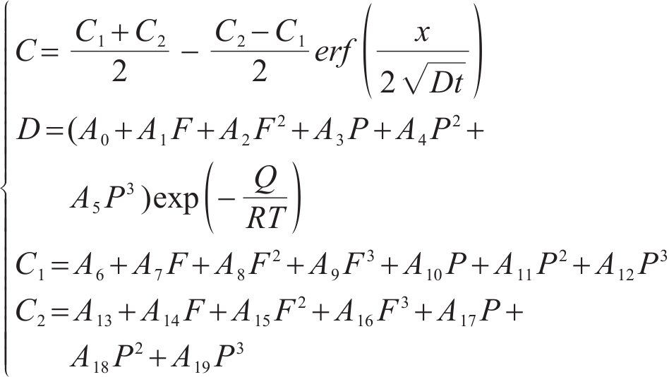
For the Al-Au bonding system, the driving force of Al and Au atom movement comes from the concentration gradient of the interfacial atoms, which is subject to Fick’s second law. The diameter of Al wire is 40 μm and the thickness of Au layer is about 0.8 μm, which is large enough to provide enough atoms in the diffusion process. Therefore, Fick’s second law in the one-dimensional case can be used to describe the diffusion process of Al atoms near the Al-Au interface. The model is expressed as [31]:
_Xml/alternativeImage/1A12AE9E-E8DA-4932-845D-257B91CFCDE5-M001.jpg)
where D is the diffusion coefficient (m2/s); C represents the volume concentration of the diffused element (g/m3 or mol/m3); t is the time (s) and x is diffusion distance (m). And there are two boundary conditions. When t=0, the initial condition is described as:
_Xml/alternativeImage/1A12AE9E-E8DA-4932-845D-257B91CFCDE5-M002.jpg)
When t_Xml/alternativeImage/1A12AE9E-E8DA-4932-845D-257B91CFCDE5-M003.jpg)
_Xml/alternativeImage/1A12AE9E-E8DA-4932-845D-257B91CFCDE5-M004.jpg)
Therefore, combined with Eqs. (1)-(3), the concentration distribution equation of Al atom in the diffusion process is obtained as:
_Xml/alternativeImage/1A12AE9E-E8DA-4932-845D-257B91CFCDE5-M005.jpg)
where C1 is the concentration of Al atom at the beginning of diffusion; C2 is the concentration of Al atom at the end of diffusion; and erf is the Gaussian error function. The diffusion coefficient D is obtained by:
_Xml/alternativeImage/1A12AE9E-E8DA-4932-845D-257B91CFCDE5-M006.jpg)
where D0 is the diffusion constant; Q is the diffusion activation energy (kJ/mol); R is the gas constant (8.3145 J/(mol·K)), and T is the temperature at diffusion process (K).
The concentration of atoms at different positions of the Al-Au interface extracted from Figure 4 is shown in Figure S2. Bonding force has an approximate quadratic function relationship with the concentration of Al atoms at different positions, while the relationship between ultrasonic power and Al atomic concentration is approximately cubic polynomial (Figures S2(a) and (b)). The modified diffusion coefficient is obtained by substituting the bonding force and ultrasonic power into Eq. (5), and is expressed as:
_Xml/alternativeImage/1A12AE9E-E8DA-4932-845D-257B91CFCDE5-M007.jpg)
where F is the bonding force (gf); P is the ultrasonic power (mW); A1, A2, A3, A4 and A5 are material constants.
Figures S2(c) and (d) show the relationship between the bonding parameters and the Al atomic diffusion starting concentration and Al atomic diffusion ending concentration. These results indicate that the relationships between bonding parameters and C1 and C2 are both approximately cubic function. The corrected C1 and C2 can be obtained as:
_Xml/alternativeImage/1A12AE9E-E8DA-4932-845D-257B91CFCDE5-M008.jpg)
_Xml/alternativeImage/1A12AE9E-E8DA-4932-845D-257B91CFCDE5-M009.jpg)
where A6, A7, A8, A9, A10, A11, A12, A13, A14, A15, A16, A17, A18 and A19 are material constants.
In summary, an atomic diffusion model associated with ultrasonic bonding parameters, time and distance at the Al-Au interface is established as:
_Xml/alternativeImage/1A12AE9E-E8DA-4932-845D-257B91CFCDE5-M010.jpg)
According to previous EDS results, the fraction of Al atomic at different ultrasonic bonding parameters are used as the sample data for the optimization of model parameters. The genetic algorithm toolbox in MATLAB is applied for optimizing the model parameters. Then, the material parameters are shown in Table 2.
| Parameter | Value | Parameter | Value |
|---|---|---|---|
| A0 | -101.6 | A1 | -18.4 |
| A2 | 5.7 | A3 | 52.1 |
| A4 | -1.2 | A5 | -0.2 |
| A6 | 0.4 | A7 | -398.8 |
| A8 | 17.5 | A9 | 6.8 |
| A10 | 1200.2 | A11 | 152.8 |
| A12 | -4.3 | A13 | 0.5 |
| A14 | 126.6 | A15 | 1.2 |
| A16 | -3.5 | A17 | -48.4 |
| A18 | -48.5 | A19 | -1.5 |
The comparison between the calculated and experimental fraction of Al atomic is shown in Table 3. The maximum relative error is 7.35%, which indicates that the model has good predictability. The accurate model lays the foundation for understanding the evolution of the Al-Au interface in the further study.
Bonding force/gf | Ultrasonic power/mW | Bonding time/ms | Position/μm | Calculated atom fraction/% | Experimental atom fraction/% | Relative error/% |
|---|---|---|---|---|---|---|
| 23 | 80 | 21 | -0.15 | 79.32 | 74.99 | 5.77 |
| 23 | 80 | 21 | -0.10 | 73.44 | 68.78 | 6.79 |
| 23 | 80 | 21 | -0.05 | 65.48 | 63.81 | 2.61 |
| 23 | 80 | 21 | 0 | 52.80 | 54.49 | -3.10 |
| 23 | 80 | 21 | 0.05 | 39.91 | 37.94 | 5.18 |
| 23 | 80 | 21 | 0.10 | 32.15 | 30.29 | 6.12 |
| 23 | 80 | 21 | 0.15 | 26.28 | 24.70 | 6.38 |
| 25 | 75 | 21 | -0.15 | 79.87 | 82.40 | -3.07 |
| 25 | 75 | 21 | -0.10 | 77.59 | 79.56 | -2.47 |
| 25 | 75 | 21 | -0.05 | 66.40 | 68.60 | -3.22 |
| 25 | 75 | 21 | 0 | 52.53 | 43.84 | 4.20 |
| 25 | 75 | 21 | 0.05 | 38.67 | 41.74 | -7.35 |
| 25 | 75 | 21 | 0.10 | 27.48 | 28.98 | -5.19 |
| 25 | 75 | 21 | 0.15 | 23.78 | 23.07 | 3.06 |
3.2 Mechanism of Al-Au ultrasonic bonding
Figure 5 exhibits the TEM observations of the Al-Au interface at a bonding force of 23 gf, ultrasonic power of 75 mW and bonding time of 21 ms. In Figure 5(b), an IMC layer between the Al and Au layers is formed, with a thickness of approximately 200 nm. And there is a transition layer of about 55 nm between the Al layer and the IMC layer, as shown in Figure 5(c). Fast-Fourier transform (FFT) pattern in Figure 5(f) reveal that the crystal zone axis of IMC layer is [772]. Meanwhile, from the IFFT diagram (Figure 5(e)), the interplanar crystal spacing is 0.2183 nm, which is consistent with the crystal structure of Au8Al3. Combined with EDS results in Figure 5(b), it is further explained that IMC is Au8Al3. During diffusion process, when the content of solute exceeds the solubility of the solid solution, based on forming the solid solution, IMC with crystal structure different from Al and Au is also formed.
_Xml/alternativeImage/1A12AE9E-E8DA-4932-845D-257B91CFCDE5-F005.jpg)
Figure 6 shows the TEM observations of the Al-Au interface at a bonding force of 27 gf, ultrasonic power of 75 mW and bonding time of 21 ms. From Figures 6(c)-(e), there is a region lacking Al, Au and O elements at the Al-Au interface, indicating that the region is a nanoscale hole. In the process of ultrasonic bonding, the Al-Au interface is subjected to external loads in two directions. One of loads is the bonding force, which is from the static load with the wedge in the vertical direction, and the other is the periodic dynamic loads from ultrasound along the horizontal direction. The stress at the Al-Au interface is equivalent to the vector synthesis of the two loads. As the bonding force increases, the stress along the vertical direction increases, inhibiting the relative movement of the Al-Au interface. Therefore, when the bonding force increases, on the one hand, it promotes the Al wire and the Au pad to form a better metallurgical connection. But on the other hand, it causes that the regions completing the connection are subjected to excessive stress, thus breaking the weak region and forming holes, as discussed in Section 3.1.1 (Figure 1). EDS results in Figure 6(f) indicates that alumina particles present at the Al-Au interface. The crystal structure of IMC is determined by FFT, as shown in Figure 6(i). The results show that the phase transformation of IMC is not caused by the increase of bonding force, and Au8Al3 is still formed first in the Al-Au interface as the preferred phase.
_Xml/alternativeImage/1A12AE9E-E8DA-4932-845D-257B91CFCDE5-F006.jpg)
Figure 7 shows the TEM observations of the Al-Au interface at a bonding force of 23 gf, ultrasonic power of 85 mW and bonding time of 21 ms. Compared to Figure 5, the Al-Au interface still presents a multi-layer structure with increasing ultrasonic power, forming a solid solution and IMC between Al and Au, and the IMC is determined to be Au8Al3 by FFT, as shown in Figures 7(b)-(d). In addition, the EDS results in Figures 7(g)-(i) show that Al and O elements are enriched in region D but Au element is less abundant, indicating that there are residual alumina particles in the Al-Au interface. Meanwhile, the thickness of the IMC layer is about 200 nm in the region where alumina particles are present, while the thickness of the IMC is about 330 nm in the region without alumina particles. Excessive ultrasonic power is not conducive to the removal of oxides, resulting in residual alumina particles at the bonding interface, which significantly inhibits the mutual diffusion of Al and Au atoms and prevents the effective connection of the Al-Au interface. During the process of ultrasonic bonding, the surface of the Al wire contains a dense layer of alumina film, which hinders the inter-diffusion between the Al-Au atoms, so the removal of the alumina film is the premise of the interface connection. Cracks occur on the alumina under the effect of bonding force, and then the oxide is separated from the surface of Al wire under the action of ultrasound. The separated oxide is ground into small particles under the reciprocating sliding effect of bonding force and ultrasound. Small particles of oxide are then transported to the peripheral contact area. However, the higher ultrasonic power can’t completely remove the oxide particles from the Al-Au interface, as mentioned in Section 3.1.1 (Figure 3). XU et al [32] found in Au wire bonding that the residual alumina in Al pad would provide oxygen atoms, leading to the oxidation of IMC at the interface between IMC and alumina, and the migration of oxygen led to the growth of hole. Therefore, the accumulated alumina in the periphery caused by excessive ultrasonic power is not only unfavourable to the atomic diffusion, but also accelerates the formation of holes and further damage the Al-Au interface.
_Xml/alternativeImage/1A12AE9E-E8DA-4932-845D-257B91CFCDE5-F007.jpg)
Figure 8 shows the TEM observations of the Al-Au interface at a bonding force of 23 gf, ultrasonic power of 75 mW and bonding time of 35 ms. Combined with Figures 5(b) and 8(b), when the bonding time is 21 ms, the concentration of Al atom in the IMC layer is 45.65 at.% and the concentration of Au atom is 54.35 at.%. With increasing bonding time to 35 ms, the concentration of Al atom in IMC layer is 30.82 at.%, and the concentration of Au atom rises to 69.18 at.%, which indicates that Au is the main diffusion element in diffusion process. Therefore, with the extension of bonding time, the concentration of Au atoms in IMC layer increases significantly. As bonding time increases from 21 ms to 35 ms, the Al grains near the Al-Au interface are refined to 250 nm, indicating that the recrystallization of Al grains is intensified with the extension of bonding time. At the same time, the further diffusion of Al and Au atoms leads to the growth of IMC layer thickness from 195 nm to 330 nm. It can be seen from Figure 8(c) that there is a transition layer with a thickness of about 60 nm between the Al layer and the IMC layer, and the atomic arrangement in the Al-IMC transition layer is distorted in Figure 8(d), indicating that there are a large number of defects in the transition layer. In addition, there are also local highly ordered structures in the transition layer. FFT result in Figure 8(e) shows that Au8Al3 exists in the Al-IMC transition layer, which is also the composition of IMC layer (Figures 8(f)-(h)). This phenomenon indicates that when the solute exceeds the solid solubility, Au8Al3 is first formed. Meanwhile, there are residual alumina particles in the transition layer, as shown in Figure 8(i). Moreover, the thickness of IMC-Au transition layer near the alumina particles is obviously reduced, which directly illustrates that the residual alumina particles inhibit the inter-diffusion between Al and Au atoms. As shown in Figure 8(j), there is a poor periodic arrangement of atoms in the IMC-Au transition layer, and Au atoms are relatively easy to be activated, thus providing a fast diffusion channel for the inter-diffusion of Al and Au atoms.
_Xml/alternativeImage/1A12AE9E-E8DA-4932-845D-257B91CFCDE5-F008.jpg)
According to TEM observations, the process of Al-Au ultrasonic bonding is shown in Figure 9. First, with the effect of rapid and periodic ultrasound, the dense alumina film on the surface of the Al wire is removed, so that Al wire and Au pad are in close contact, which is the premise of the Al-Au interface connection. Subsequently, Al wire happens severe plastic deformation and the number of dislocations increases. At the same time, along with the recrystallization of Al grains near the interface, the number of grain boundaries increases. The diffusion between the elements is promoted, because there are a large number of grain boundaries and dislocations. Therefore, the activation energy required for diffusion is reduced, which contributes to promoting the formation of IMC layer. Among Al-Au IMCs, Au8Al3 has the lowest effective heat of formation [33], so it is preferred to be formed.
_Xml/alternativeImage/1A12AE9E-E8DA-4932-845D-257B91CFCDE5-F009.jpg)
3.3 Shear strength of Al-Au ultrasonic bonding
Figure 10 exhibits the effect of ultrasonic bonding parameters on the shear strength of Al-Au ultrasonic bonding. As the bonding force increases, the shear strength becomes larger (Figure 10(a)). Under the condition of low bonding force, the shear strength of Al-Au ultrasonic bonding is small because of the thin diffusion layer thickness. When the bonding force increases to 23 gf, the shear strength of Al-Au ultrasonic bonding increases, because the diffusion layer became thicker. When the bonding force is up to 27 gf, the thickness of IMC layer increases, and the Al grain size near the Al-Au interface is further refined, which is beneficial to the improvement of the interface strength. From Figure 10(b), it is seen that the shear strength of Al-Au ultrasonic bonding presents a small upward trend with increasing ultrasonic power. When the ultrasonic power is small, the shear strength is lower due to the thin diffusion layer thickness at the Al-Au interface. With increasing ultrasonic power, the thickness of the Al-Au interface diffusion layer increases, and the Al grain size near the interface is further refined, which is beneficial to the improvement of interface strength. However, the residual alumina particles at the Al-Au interface only lead to a small growth in bond strength at an ultrasonic power of 85 mW. As shown in Figure 10(c), with the extension of bonding time, the shear strength increases slightly. When the bonding time is small, the thickness of diffusion layer at the Al-Au interface is thin, so the shear strength is lower. While the bonding time reaches 35 ms, the thickness of the diffusion layer at the Al-Au interface is higher, the grain size of Al near the interface is further reduced, and the shear strength is further increased.
_Xml/alternativeImage/1A12AE9E-E8DA-4932-845D-257B91CFCDE5-F010.jpg)
According to above-mentioned analysis, it is concluded that the shear strength of Al-Au ultrasonic bonding increases with increasing bonding force, ultrasonic power and bonding time. However, excessive bonding force and ultrasonic power promote the formation of holes at the Al-Au interface, and holes will induce the initiation and development of cracks in practical applications. For instance, NOOLU et al [34, 35] investigated that in the process of high temperature, holes at the bonding interface continue to form and aggregate into void lines, resulting in continuous crack propagation and degradation of ultrasonic bonding performance. Therefore, the optimal ultrasonic bonding parameter is confirmed to be a bonding force of 23 gf, ultrasonic power of 75 mW and bonding time of 21 ms.
4 Conclusions
In the present study, the Al-Au interface, atomic diffusion and the shear strength of Al-Au ultrasonic bonding were investigated at different ultrasonic bonding parameters. The atomic diffusion model considering ultrasonic bonding parameters, time and distance was established. The mechanism of Al-Au ultrasonic bonding was clarified. On the basis, the ultrasonic bonding parameters were optimized. The main conclusions are as follows:
1) When the bonding force and ultrasonic power are either too low or too high, the holes are presented at the Al-Au interface and the bonded quality of the Al-Au interface is poor.
2) The maximum relative error between the calculated and experimental fraction of Al atom is 7.35%, indicating that the established model has a high prediction accuracy.
3) During Al-Au ultrasonic bonding, Au8Al3 is preferentially formed at the Al-Au interface. With the higher bonding force, larger ultrasonic power and longer bonding time, it is more difficult to remove the oxide particles from the Al-Au interface, which hinders the atomic diffusion and promotes the formation of holes.
4) The shear strength of Al-Au ultrasonic bonding increases with increasing bonding force, ultrasonic power and bonding time. However, considering that the holes may exist under either excessive or insufficient bonding force, ultrasonic power and bonding time, the optimal ultrasonic bonding parameter is confirmed to be a bonding force of 23 gf, ultrasonic power of 75 mW and bonding time of 21 ms.
Corrosion-induced degradation and its mechanism study of Cu–Al interface for Cu-wire bonding under HAST conditions
[J]. Journal of Alloys and Compounds, 2020, 825: 154046. DOI: 10.1016/j.jallcom.2020.154046.A review on the mechanisms of ultrasonic wedge-wedge bonding
[J]. Journal of Materials Processing Technology, 2017, 245: 241-258. DOI: 10.1016/j.jmatprotec.2017.02.012.Lifetime prediction of thick aluminium wire bonds for mechanical cyclic loads
[J]. Microelectronics Reliability, 2014, 54(2): 417-424. DOI: 10.1016/j.microrel.2013.10.009.Real time contact resistance measurement to determine when microwelds start to form during ultrasonic wire bonding
[J]. Microelectronic Engineering, 2013, 104: 114-119. DOI: 10.1016/j.mee.2012.12.003.A brief review of selected aspects of the materials science of ball bonding
[J]. Microelectronics Reliability, 2010, 50(1): 1-20. DOI: 10. 1016/j.microrel.2009.08.003.Effects of superimposed high-frequency vibration on deformation of aluminum in micro/meso-scale upsetting
[J]. Journal of Materials Processing Technology, 2012, 212(3): 640-646. DOI: 10.1016/j.jmatprotec.2011.10.017.Comparison and mechanism of electromigration reliability between Cu wire and Au wire bonding in molding state
[J]. Journal of Materials Science: Materials in Electronics, 2020, 31(4): 2967-2975. DOI: 10.1007/s10854-019-02840-6.Microstructures and mechanical properties of ultrasonic-welded Cu–Cu joints for power module terminals in electric vehicles
[J]. Journal of Materials Science: Materials in Electronics, 2023, 34(29): 1997. DOI: 10.1007/s10854-023-11432-4.Ultrasonic power features of wire bonding and thermosonic flip chip bonding in microelectronics packaging
[J]. Journal of Central South University of Technology, 2008, 15(5): 684-688. DOI: 10. 1007/s11771-008-0127-3.Investigation of microstructural processes during ultrasonic wedge/wedge bonding of AlSi1 wires
[J]. Journal of Electronic Materials, 2006, 35(1): 173-180. DOI: 10.1007/s11664-006-0201-2.Interface formation in the US-wedge/wedge-bond process of AlSi1/CuNiAu contacts
[J]. Journal of Electronic Materials, 2011, 40(2): 239-246. DOI: 10.1007/s11664-010-1439-2.Evolution of the bond interface during ultrasonic Al–Si wire wedge bonding process
[J]. Journal of Materials Processing Technology, 2007, 182(1-3): 202-206. DOI: 10.1016/j.jmatprotec.2006.07.033.Role of intermetallics on the mechanical fatigue behavior of Cu-Al ball bond interfaces
[J]. Journal of Alloys and Compounds, 2015, 646: 803-809. DOI: 10.1016/j.jallcom.2015.05.282.Diffusion kinetics in aluminium-gold bond contacts from first-principles density functional calculations
[J]. Acta Materialia, 2011, 59(20): 7634-7644. DOI: 10.1016/j.actamat.2011.08.021.Effect of adding Ce on interfacial reactions between Sn-3.0Ag-0.5Cu solder and Cu substrate
[J]. Journal of Central South University of Technology, 2008, 15(3): 313-317. DOI: 10.1007/s11771-008-0059-y.Formation mechanisms of high quality diffusion bonded martensitic stainless steel joints
[J]. Science and Technology of Welding and Joining, 2015, 20(2): 115-122. DOI: 10.1179/1362171814y.0000000258.Influence of shear strength on long term biased humidity reliability of Cu ball bonds
[J]. Journal of Materials Science: Materials in Electronics, 2014, 25(11): 4786-4792. DOI: 10.1007/s10854-014-2234-2.Effect of ultrasonic power on wedge bonding strength and interface microstructure
[J]. Transactions of Nonferrous Metals Society of China, 2007, 17(3): 606-611. DOI: 10.1016/S1003-6326(07)60142-3.Interface structure and strength of ultrasonically wedge bonded heavy aluminium wires in Si-based power modules
[J]. Journal of Materials Science: Materials in Electronics, 2014, 25(7): 2863-2871. DOI: 10.1007/s10854-014-1953-8.Behavior of intermetallics formation and evolution in Ag-8Au-3Pd alloy wire bonds
[J]. Journal of Alloys and Compounds, 2014, 588: 622-627. DOI: 10.1016/j.jallcom.2013.11.140.Behavior of aluminum oxide, intermetallics and voids in Cu-Al wire bonds
[J]. Acta Materialia, 2011, 59(14): 5661-5673. DOI: 10.1016/j.actamat.2011.05.041.Lifting-off of Al bonding wires in IGBT modules under power cycling: Failure mechanism and lifetime model
[J]. IEEE Journal of Emerging and Selected Topics in Power Electronics, 2020, 8(3): 3162-3173. DOI: 10.1109/JESTPE.2019.2924241.Characterization of plastic and creep behavior in thick aluminum wire for power modules
[J]. Microelectronics Reliability, 2021, 123: 114185. DOI: 10.1016/j.microrel. 2021.114185.A footprint study of bond initiation in gold wire crescent bonding
[J]. IEEE Transactions on Components and Packaging Technologies, 2005, 28(4): 810-816. DOI: 10.1109/TCAPT.2005.848585.Initial bond formation in thermosonic gold ball bonding on aluminium metallization pads
[J]. Journal of Materials Processing Technology, 2010, 210(8): 1035-1042. DOI: 10.1016/j.jmatprotec.2010.02.012.A micromechanism study of thermosonic gold wire bonding on aluminum pad
[J]. Journal of Applied Physics, 2010, 108(11): 113517. DOI: 10.1063/1.3514005.Footprint study of ultrasonic wedge-bonding with aluminum wire on copper substrate
[J]. Journal of Electronic Materials, 2006, 35(3): 433-442. DOI: 10.1007/BF02690530.Investigation of ultrasonic copper wire wedge bonding on Au/Ni plated Cu substrates at ambient temperature
[J]. Journal of Materials Processing Technology, 2008, 208(1-3): 179-186. DOI: 10.1016/j.jmatprotec.2007.12.134.Microstructural evaluation of interfacial intermetallic compounds in Cu wire bonding with Al and Au pads
[J]. Acta Materialia, 2014, 64: 356-366. DOI: 10.1016/j.actamat.2013.10.049.High-throughput determination of the composition-dependent interdiffusivities in Cu-rich FCC Cu-Ag-Sn alloys at 1073 K
[J]. Journal of Alloys and Compounds, 2015, 644: 687-693. DOI: 10.1016/j.jallcom.2015.05.030.New mechanisms of void growth in Au-Al wire bonds: Volumetric shrinkage and intermetallic oxidation
[J]. Scripta Materialia, 2011, 65(7): 642-645. DOI: 10.1016/j.scriptamat.2011. 06.050.Growth behavior of Cu/Al intermetallic compounds and cracks in copper ball bonds during isothermal aging
[J]. Microelectronics Reliability, 2008, 48(3): 416-424. DOI: 10.1016/j.microrel. 2007.06.008.Phase transformations in thermally exposed Au-Al ball bonds
[J]. Journal of Electronic Materials, 2004, 33(4): 340-352. DOI: 10.1007/s11664-004-0141-7.Degradation and failure mechanisms in thermally exposed Au-Al ball bonds
[J]. Journal of Materials Research, 2004, 19(5): 1374-1386. DOI: 10.1557/JMR.2004.0184.ZHANG Wei-xi, LUO Jiao, CHEN Xiao-hong, WANG Bo-zhe, and YUAN Hai declare that they have no conflict of interest.
ZHANG Wei-xi, LUO Jiao, CHEN Xiao-hong, WANG Bo-zhe, YUAN Hai. Interface evolution mechanism and model of atomic diffusion during Al-Au ultrasonic bonding [J]. Journal of Central South University, 2025, 32(3): 806-819. DOI: https://doi.org/10.1007/s11771-025-5910-x.
张未希,罗皎,陈肖宏等.Al-Au超声键合界面演化机理及原子扩散模型[J].中南大学学报(英文版),2025,32(3):806-819.

