岩石和混凝土界面之间的相互作用在土木、采矿和水利工程应用中很常见,例如隧道喷射混凝土[1]、混凝土大坝基础[2]、混凝土挡土墙、桥墩摩擦桩和悬索桥隧道式锚碇[3]等。在这类结构中,岩石与混凝土之间的界面通常被认为是最薄弱的环节,损伤在界面处扩展演化并最终发生剪切破坏。此外,在高水压隧洞中,高压水可穿透岩石与混凝土界面,在渗流和应力的耦合作用下,会进一步加剧支护结构的劣化。因此,对岩石-混凝土界面渗流应力耦合作用下的水力剪切特性进行研究具有重要的理论意义和工程价值。学者们对岩石-混凝土界面的力学性能进行了广泛研究,包括法向力学性质[4]、剪切力学性质[5]、抗拉强度[6]等。岩石-混凝土界面的直剪试验通常采用2种类型的边界条件:恒定法向荷载(CNL)或恒定法向刚度(CNS)。学者们亦采用CT扫描[7]、声发射(AE)[8]、扫描电子显微镜(SEM)[9]等先进技术研究了剪切条件下岩石-混凝土界面的损伤机理。基于试验结果,学者们提出了界面的剪切力学模型和数值模拟方法[10]。研究表明,对于两侧不同材料之间的界面,剪切行为由2种材料的综合特性决定。同时还取决于法向应力、界面内的填充材料以及岩石表面的粗糙度等。然而,考虑到界面的三维天然形态,特别是隧道工程爆破后的围岩界面形态,研究自然形态岩石与混凝土间接触面的剪切力学性能仍非常有限。在探讨岩石-混凝土界面剪切渗流耦合力学特性上,由于剪切试验过程中渗流介质的密封难以保证,因此相关研究甚少[11]。近年来,学者们自行研制了不同类型的剪切渗流装置,在裂隙岩体的剪切渗流特性方面开展了一定的研究[12]。学者们分析了渗流方式、法向应力、裂隙特征等对剪切渗流条件下单裂隙岩体渗透特性的影响[13-15]。上述研究大多采用立方体试样进行,尽管剪切位移可达到20 mm,但剪切密封手段的先天缺陷,使得试验的最大水压仅能达到1 MPa[16]。与单裂隙岩体的剪切渗流性质相比,岩石-混凝土界面的剪切渗流耦合特征还与界面的黏结及断裂特征有关,同时考虑到特高坝坝基、高水压隧洞等的高水压作用,目前关于水压对岩石-混凝土界面在渗流应力耦合作用下的剪切力学特性及渗流特征影响还鲜有报道。针对现有研究的不足,本文研制了高水压岩石-混凝土界面剪切力学特性测试系统,制备了含自然粗糙面的岩石-混凝土界面试件,开展了不同渗压下岩石-混凝土界面剪切渗流耦合试验,分析了渗压对岩石-混凝土界面剪切力学性质的影响,探讨了剪切过程中渗透率的演化规律。研究成果可为特高坝坝基稳定性计算、高水压隧洞初期支护设计等提供理论支撑。
1 试验方法
1.1 试验设备
本研究的剪切渗透耦合试验在广西科技大学的Rock Top-50 HT多场耦合三轴试验系统上进行。该试验系统设有温度、轴压、围压、渗透水压力4个独立加载系统。最高实时加载温度可达220 ℃,最大轴向压力500 MPa,最大围压60 MPa,最大渗透压力50 MPa。同时集成了2个轴向双通道LVDT传感器,在试验过程中精确测量试样的剪切位移,测量精度为0.001 mm,测量范围为12 mm。径向应变由安装在试样中间的径向LVDT传感器测量。
利用上述试验系统,开发了界面试件剪切渗流耦合试验方法,如图1所示。该方法的最大优势是可以克服立方体试样的密封难题,完成高水压作用下的剪切渗透测试。主要采用了一种特殊设计的阶梯状渗透钢垫片,垫片中均匀设置了孔道及刻槽,使得渗透水流可均匀入渗至试样端部。同时为了使圆柱形试样在加载过程中沿界面发生剪切变形,将垫片设计成沿圆形中心轴线划分的阶梯状形式,其半边厚度为10 mm,半边厚度为5 mm。同时采用5 mm厚的硅胶垫放置于较薄部分钢垫片下,以满足试样的剪切变形要求。根据文献研究[17],与界面处的剪切应力相比,摩擦和硅胶变形产生的阻力相对界面抗剪强度较小,可以忽略不计。实验表明,5 mm硅凝胶的变形足以满足界面试件的剪切变形要求。因此,施加在试件上的轴向力可视为剪力。

1.2 岩石-混凝土界面试样
岩石-混凝土界面试样中的岩石为取自山东济宁的花岗岩。完整的岩石呈灰白色,含有黑色斑驳结构。其平均密度为2.60 g/cm3,纵波速度在3 500~3 640 m/s之间。该花岗岩具有高强度(单轴压应力(UCS)=126.48 MPa)和超低渗透性(10-20 m2)的特点。根据X射线衍射矿物组成鉴定,花岗岩矿物组成由微斜长石(34.8%)、钠长石(35.4%)、石英(2.0%)和黑云母(0.6%)组成。为了减少研究中岩石样本的离散性,所有岩石试样均取自同一岩块。
本研究采用的混凝土配合比如表1所示。水泥采用普通硅酸盐水泥P·O 42.5,表观密度为2.68 g/cm³。混凝土细骨料为机制砂,细度模量为2.9,按分级标准分级为Ⅱ区。粗集料由连续分级的砾石组成,粒径5~10 mm不等。该混凝土制剂含有高性能聚羧酸基减水剂,减水率为34%。
| 材料 | P·O 42.5水泥 | 减水剂 | 细骨料 | 粗骨料 | 水 |
|---|---|---|---|---|---|
质量占比/ (kg∙m-3) | 500 | 5.5 | 904 | 781 | 186 |
岩石-混凝土界面试样的制备如下:
1) 制备含自然粗糙面的岩石试样。利用Trimble X5三维激光扫描仪对某隧道围岩进行三维扫描,根据三维点云数据,采用重型石材雕刻机雕刻含自然粗糙表面的岩石试样,自然粗糙表面雕刻完成后制成Φ50的半圆柱。再对雕刻好的试样粗糙面进行三维激光扫描,经检验,制备的所有试样的形态特征与现场获取的岩壁粗糙特征一致。不仅保证了岩石与混凝土的有效黏合,且保证了试样粗糙特征的一致性。流程图如图2所示。

2) 混凝土养护。按照表1所示的混凝土配合比称量物料。在高×直径=100 mm×50 mm的模具内进行浇筑混凝土。浇筑前把石头固定在模具一侧,拌匀的混凝土直接倒入模具中。采用混凝土振动台对混凝土表面进行振动找平。完成混凝土的浇筑,浇筑完成后放入标准养护箱进行养护,温度为(20±0.5) ℃,湿度≥95%,养护24 h后取出脱模,脱模后立即放入养护箱继续养护,总养护龄期28 d。
3) 圆柱形试样制备。为保证所有试样粗糙表面平整度,圆柱形试样两端抛光打磨,误差0.03 mm,最终形成直径×高度=50 mm×90 mm的圆柱形试样。试样如图3所示。

1.3 剪切渗流试验方法
剪切渗流试验在恒定室温为25 ℃条件下进行。设定围压为8 MPa,渗透上下游水位差分别为1、3和5 MPa,试验过程中保持渗流出口与大气相连通。试验步骤如下:
1) 采用热缩套管将由半圆形橡胶垫和钢垫片组成的剪切压头与饱水后的试件对准后安全封装。然后将该组件放置于压力室中,连接轴向和侧向LVDT位移传感器以及用于渗透的渗流通道。
2) 以1 MPa/min的加载速率将围压从0 MPa逐步升高至8 MPa。随后,稳定30 min使试样在静水压力下变形恒定。
3) 保持下游与大气连通,上游以0.5 MPa/min的速率逐步将进水端水压升高至设定目标值后稳定30 min。在此过程中,上、下游的渗透水压差保持恒定,保证了在规定压力梯度下试样内部形成稳态渗流。
4) 采用位移控制方法施加剪切应力,剪切速率为0.005 mm/min。当剪切应力达到残余水平或总位移达到3 mm时,停止加载,试验结束。
1.4 参数计算
剪切过程中,作用在岩石-混凝土界面试样上的剪应力τ可表示为:

其中,
岩石-混凝土复合材料的实测侧向应变是界面与相邻岩石基体和混凝土部分的膨胀孔径的组合。由于在剪切试验前已预加载围压和渗压使得岩石和混凝土变形达到平衡,因此可忽略试验过程中花岗岩和混凝土基体的变形。安装在试样中部的径向应变传感器测量值可近似表示剪切作用下界面的张开和闭合量:

其中,


尽管花岗岩-混凝土界面为该复合材料中最薄弱的部分[18],但复合材料试样在经历剪切破坏之前仍可被视为多孔介质。因此,可采用传统的岩石渗透率评估技术来确定剪切过程中的渗透率[19-20]。本研究采用稳态方法计算花岗岩-混凝土界面处的渗透率。为了有效地测试和分析界面的渗透性,做出如下假设:1) 水为不可压缩流体;2) 出口处测得的流量为沿界面和界面过渡带发生的渗透,而对渗透到岩石和混凝土相中的微量水量忽略不计;3) 界面处的微裂纹、气孔等缺陷特征在试样内以随机方式均匀分布;4) 试样内部的稳态恒压渗透符合连续渗透原理。
因此,在剪切渗流耦合的影响下,试件变形损伤过程中渗流符合达西定律。试样的表观渗透率可通过单位时间内进入试样内部的流量来确定,表达式如下[19]:

其中,




2 剪切渗流耦合试验结果与分析
2.1 应力-应变曲线
不同工况下的剪切渗流耦合全过程应力-应变曲线如图4所示。其中黑色为剪切应力-应变曲线,红色为法向张开变形与剪应变关系曲线,应变正负值代表的分别是压缩、扩容。

全过程剪应力-应变曲线可分为典型的4个阶段。第1阶段,随着剪应力的增大,界面试样发生了裂纹的错动闭合,曲线有些许的上凹,刚度增加。第2阶段,界面试样的界面过渡区(ITZ)主要发生弹性变形。剪切应力-应变曲线的斜率保持不变。通过该阶段的斜率可确定剪切刚度。第3阶段,岩石-混凝土界面发生错动断裂,分离成岩石部分和混凝土部分。黏结部分的错动断裂造成了曲线中出现明显的应力降,但幅度不大。分离后的试样依然具有较高的抗剪强度,在剪应力作用下发生了微凸体劈裂、磨粒与迁移,因此试样此后主要发生剪切应变硬化变形[21]。第4阶段,破坏阶段,当微凸体部分被磨平甚至根部被剪断后,试样失去承载能力后发生破坏。然而试样在局部磨平后会在正应力作用下发生局部调整,岩石与混凝土的非光滑表面亦能承受一定的剪切力,试样达到残余强度。
不同工况下的法向应变的演化规律非常相似。在第1阶段和第2阶段,界面试样以线性扩容为主。试样断裂瞬间,发生了法向的瞬间扩容变形,且渗压越小,脆性扩容越明显。第3阶段,由于凹凸不平的滑动和损坏,扩容速率随着应力的增加逐渐增加。试样破坏后,法向再次发生了瞬间张开变形,且渗压越大瞬时裂隙张开也更迅速。在残余变形阶段,扩容速率降低并趋于常数。
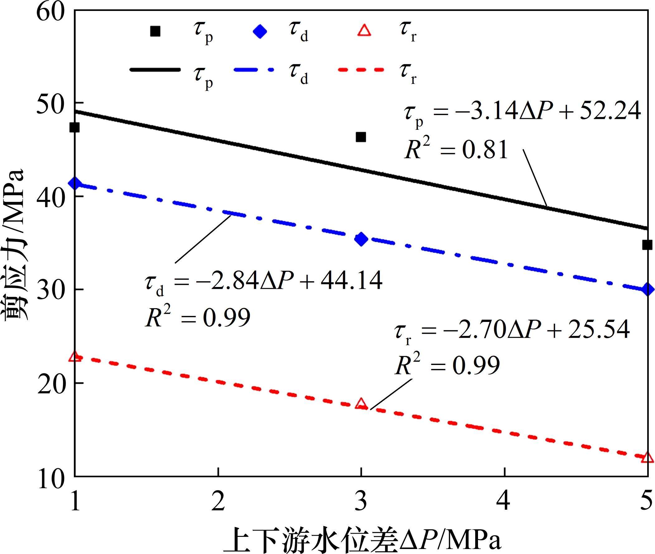
2.2 强度与变形
岩石-混凝土界面试样剪应力与渗透压力的关系如图5所示。假设岩石-混凝土界面剪切强度满足库伦准则:

其中,有效应力为






渗压对岩石-混凝土界面剪切刚度的影响如图6所示。岩石-混凝土界面刚度随着渗压的增加而线性降低。推测一方面是由于渗压越大,有效应力越低,进而降低了混凝土与花岗岩的粘合效应。另一方面,水-岩(混凝土)软化作用会降低ITZ岩石颗粒和混凝土材料强度,降低其刚度。

2.3 渗透率演化规律
全应力-应变过程中的渗透率演化曲线如图7所示。由于岩石-混凝土的界面是相对粗糙的天然界面,导致界面的渗透特性不仅受应力渗流耦合作用影响,还取决于界面剪切过程中的破损情况、磨损物的堆积堵塞效应及天然粗糙面的几何特征演化(开度和接触域演化)。因此,剪切渗流耦合过程渗透率演化较复杂。本文对试验结果给出初步解释。

从图7可以看出,全过程渗透率演化曲线明显表现为先降低后增加的趋势。第1阶段,随着初始孔隙、裂纹的压密,复合材料的渗透率随着剪应力的增加逐渐降低。渗压越小,渗透率的变化越大。同时,渗透率的降低段持续得越久。例如,上下游水位差1 MPa下渗透率的最小值是初始值的43.5%,而上下游水位差5 MPa下渗透率最小值则达初始值的83.14%。1 MPa上下游水位差下,当剪应力增加到峰值应力的44.83%时,渗透率达到最低值。而3 MPa和5 MPa上下游水位差下,剪应力则是在增加到峰值应力的24.78%和18.75%时,渗透率即降低至最小值。
第2阶段,试样逐渐进入弹性变形阶段与微裂纹稳定扩展阶段,此阶段内,大部分初始裂纹已经闭合,随着剪切应力的逐渐增大,试样界面处逐渐出现与剪切力加载方向平行的微裂纹,渗透率随着应变的增加有缓慢增大的趋势。
第3阶段,试样进入裂纹非稳定扩展阶段,随着剪应力的增大,试样界面处裂纹快速扩展,部分裂纹贯通形成渗流通道,导致渗透率随着剪切应力的增加迅速增大。在试样发生断裂前,渗透率均发生了突变。而断裂后,尽管剪应力有一定程度地降低,但渗透率变化并不大。
第4阶段,试样界面处裂纹继续扩展导致试样断裂后进入破坏阶段,渗透率也由于宏观裂缝的贯通形成渗流通道而迅速增大到最大值。同时渗透率的最大值滞后于峰值强度取得。这与常规三轴压缩渗流应力耦合的试验结果相一致[22]。
第5阶段,残余变形阶段,低渗压下(
外荷载作用会改变岩石的孔隙结构,进而影响岩石的渗透率。通过大量静水压缩下的渗透率测试,学者们总结了岩石渗透率与有效应力的关系可采用指数函数表示[23]:

其中,

采用上述方程对岩石-混凝土界面试样在剪切渗流耦合条件下的渗透率与上下游水位差的关系进行拟合,结果如图8所示。尽管天然粗糙面的岩石-混凝土界面在剪切渗流耦合过程中的影响因素较多,但其断裂时的渗透率和渗透率最大值均表现出与静水压缩下类似的演化规律,即随着上下游水位差的增加渗透率均呈现指数级增加的现象。这可能是由于在界面发生断裂后形成主渗流通道的情况下,其有效水力开度是控制渗透率的主要因素引起的。渗压越大,有效应力越小,则界面的开度越大。

国内外学者针对裂隙的开度与渗透率的关系已进行了一定的研究。法向应力作用下,裂隙的水力耦合特征除了与开度有关外,裂隙充填物特性与分布、裂隙长度及方位等都会对裂隙渗流规律产生影响。图7表明,剪切应力作用下渗透率的演化复杂,前述分析已表明,岩石-混凝土界面渗透率中的控制因素是法向水力开度。本文以压缩为正,研究渗透率随界面开度的演化规律,典型的渗透率随法向应变的变化曲线如图9所示。与剪切应变相比,渗透率随法向开度的演化则仅分为4个阶段。在初始压密阶段,岩石-混凝土界面试样在剪切方向以初始缺陷的压密闭合为主,渗透率逐渐降低。从渗透率演化也进一步看出,界面的渗透率比剪切变形对外界扰动更敏感。随后随着法向开度的增加,渗透率迅速增加。当试样破坏后,渗透率的增加随着开度的增加逐渐变缓。残余变形阶段,低渗压下,界面渗透率迅速降低;而高渗压下,渗透率维持恒定,趋于稳定。

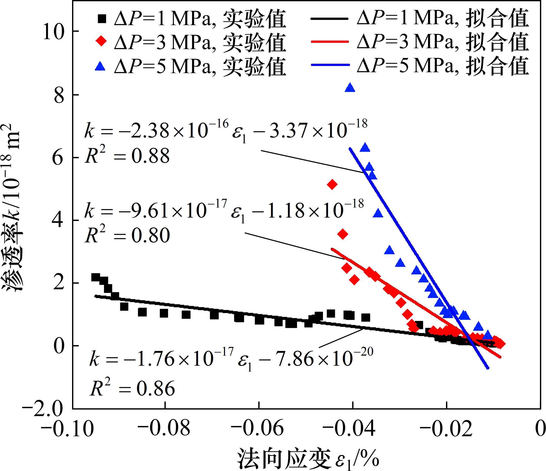
为进一步分析峰前迅速增加段渗压对渗透率的影响,绘制破坏前岩石-混凝土界面试样的开度与渗透率的关系如图10所示。从图10可以看出,不同渗压下岩石-混凝土界面试样的渗透率均随着法向应变的增加而线性增加。渗透率的增长速率分别为1.76×10-17、9.61×10-17和2.38×10-16 m2,相关系数

其中,






试样破坏后缓慢增加段,岩石-混凝土界面发生分离,渗透水主要从宏观裂隙渗透。从孔隙渗流转变为裂隙流,导致岩石-混凝土界面试样的渗透率产生了指数级上升。界面试样的渗透率在破坏后的渗透率与法向开度的关系如图11所示。

尽管破坏后岩石-混凝土界面的渗透率有较大提高,但是渗透率随着开度的变化依然满足线性增加的规律。不同渗压下的渗透率增长速率分别为1.67×10-17、2.00×10-17和7.10×10-17 m2,表明渗压越大,渗透率的增加速率越大。采用式(6)对破坏后的渗透率演化速率与渗压的关系进行拟合,渗透率演化速率随渗压的增加也呈指数型增加,破坏后的


2.4 破坏模式
喷射混凝土-花岗岩界面在不同耦合条件下破坏的断面形态如图12所示。其中图12(a)为花岗岩界面,图12(b)为混凝土界面。可以看出,破坏面大部分呈沿喷射混凝土与花岗岩胶结面的剪切破坏状态,试件较完整,无明显集中压碎带,属于脆性破坏。破坏的岩石表面附着的混凝土残屑较少,说明混凝土的强度较高,完整性更好。岩石在试样沿剪切方向末端靠近压头附近发生了部分剪切破坏,附着于混凝土侧,这与界面为粗糙起伏的曲面,沿剪切方向末端试样的圆形横截面岩石比例稍大于混凝土比例,而非1∶1,该侧剪切压头作用在了界面接触附近的少部分岩石上,导致压头附近的少部分岩石被剪坏有关,同时也与该配比下的混凝土强度较高有关,但整体上破坏形式表现为明显的沿胶结面的剪切破坏,岩石侧附着的混凝土较少。随着渗压的增大,附着于喷射混凝土侧的岩石减少,这是由于渗压越大,界面处水力“楔入”作用越强,导致界面更易分离,试件更易破坏,造成剪切强度降低,剪切压头处作用的少部分岩石在较小的剪切压力下剪切破损量减少导致的。综上所述,喷射混凝土-花岗岩界面抗剪强度同时受花岗岩和混凝土的力学性质影响。

为更进一步揭示界面剪切渗流耦合磨损的局部微观特征,采用三维激光扫描仪对破坏后的岩石裂隙表面进行扫描,提取三维点云数据。为了较全面获取破坏后的裂隙面粗糙特征,沿剪切方向取3条轮廓线,结果如图13所示。总体上看,界面的磨损主要发生在剪切的起始位置,这主要是由花岗岩界面的几何特征决定。剪切起始位置的微凸体起伏角更大,岩石与混凝土的接触域更大,特别是y=40 mm处的迂曲度更大,形成局部的凸起,起到控制界面剪切强度的作用。在剪应力作用下发生了局部的根部断裂。此外,界面的渗流会冲刷已经断裂磨损的填充物,使得断裂松动的区域在法向应力作用下进一步磨损破坏,从提取的轮廓来看,部分区域磨损甚至达到6 mm。

3 结论
1) 剪切应力-应变曲线可分为压密闭合、线性变形、错动断裂非线性变形及峰后破坏4个阶段。特别是高渗压会抑制剪切断裂瞬间试样的膨胀变形。
2) 花岗岩-混凝土界面试样的断裂强度、峰值强度和残余强度均随渗压增加而线性降低,剪切刚度亦随渗压增加而线性降低。
3) 渗透率随着应变的增加先降低后增加,且最大渗透率滞后于峰值强度取得;最大渗透率和断裂点渗透率均随渗压增加而呈指数型增加;峰值强度前及破坏后,岩石-混凝土界面渗透率均呈随开度的增加而线性增加。
4) 界面的抗剪强度同时受花岗岩和混凝土的力学性质影响,随着渗压的增加,花岗岩的磨损改善;破坏前后试样界面面粗糙特征对比分析表明,界面的磨损主要发生在剪切的起始位置,这主要是由花岗岩界面的几何特征决定。
贾朝军,庞锐锋,张升等.不同渗压下岩石-混凝土界面剪切渗流耦合初探[J].铁道科学与工程学报,2025,22(03):1100-1111.
JIA Chaojun,PANG Ruifeng,ZHANG Sheng,et al.Experimental investigation on rock-concrete interface shear permeability properties under different pore pressures[J].Journal of Railway Science and Engineering,2025,22(03):1100-1111.

