随着我国日益增长的交通需求,高速公路建设飞速发展,但同时也出现一系列质量问题[1]。路基路面工程质量直接影响公路工程的使用性能和工程造价。为确保结构强度和稳定性,需要严格控制路基路面压实质量[2]。若压实质量得不到保证,轻则易出现裂缝、坑洞、凹陷等病害,重则会造成巨大经济损失和人员伤亡。根据现有公路施工规范,压实质量主要通过施工过程中人工控制碾压参数来保证,并通过施工后随机抽样现场试验进行验证[3]。但常规检测方法属于有损检测,存在以下问题:1) 碾压参数受现场施工人员经验的影响,人为控制误差大,存在质量缺陷;2) 抽样点测量只能获得有限样本,整个区域压实质量易产生误差,且耗时耗力,无法满足机械化快速施工需求;3) 整个区域的压实质量无法实时记录和及时反馈控制。
目前,国内外已有一些关于公路压实质量连续检测与控制方面的研究,其中,压路机集成压实监控(roller-integrated compaction monitoring,RICM)技术正逐渐被应用到道路建设中[1-2]。RICM技术通过安装在压路机上的传感器监测振动信息,并将该信息转化为RICM指标来表征填筑材料(如土、骨料或沥青混合料)的实时压实状态[4-5]。其中,车载计算机通过空间定位系统确定振动轮的实时空间位置和相应位置的RICM指标[6]。当前,已有多种RICM指标被用以表征不同类型填筑料的压实质量,如单位体积压实功E[1]、压实计值(CMV)[7]、材料刚度ks[8]、机器净驱动功率(MDP)[9]、振动模量

但不同类型路基材料的物理性能、施工工艺和质量控制指标存在明显差异,为此,研究人员利用RICM技术进行了诸多针对性研究,获得上述不同指标的应用效果。BARMAN等[16]借助智能压实分析仪研究了粉煤灰-水泥窑粉尘混合料的压实质量控制措施。MEEHAN等[17]利用空间和回归分析方法研究了RICM数据与现场原位测试结果之间的关系,验证了高含量粉细砂的砂土用于建造道路路堤的可能性。SI[18]通过分析不同路基层的RICM指标,提出了一种新的用于评估土壤均匀性和路基压实质量的统计方法。针对石灰稳定路基,MA等[19]提出了一种基于加速度信号的压实质量检测指标

尽管研究人员提出了各类压实质量控制表征与指标,但由于振动轮与路基路面结构之间相互作用复杂,各类指标需建立在一定的假设基础上,导致其在实际的工程应用中存在一定的局限性[1, 6-7]。近年来,一些公路工程使用本地广泛分布的粉土作为路基填料。但目前缺乏对低黏土含量、低塑性指数、低强度的低液限粉土的RICM技术适用性研究,亟待开展针对性的物理力学特性与现场碾压试验研究[21-22]。ZHANG等[23]开展现场碾压试验验证了
基于此,本文以衡永高速公路第五标段路基路面工程为依托,通过理论分析、物理力学特性室内试验以及现场碾压试验,分析单个周期内振动轮与填料间能量转换规律,提出基于最大正向动能增量的压路机集成压实监控指标——动能压实值(kinetic energy compaction value, 




1 研究方法
本文研究分为室内试验、现场试验和数据分析三部分,其研究框架如图1所示。首先,通过室内试验对填料的物理力学特性进行研究,为选择合适的压实质量控制指标提供科学依据;然后,结合现场碾压试验和RICM技术,实现路基路面压实质量控制的系统研究;最后,通过分析所得的RICM指标、压实参数与路基路面压实质量之间的相关性,建立反映路基路面压实质量的回归模型,验证RICM指标的有效性。

1.1 RICM指标
1.1.1 动能压实值
根据振动理论[29],振动时振动轮竖直方向上的作用力P为

式中:


基于二自由度振动压实模型[30-31],在振动过程中,由于土体本身的阻尼效应而使变形和荷载之间存在相位差



式中:

研究表明[29, 32],当压路机激振频率与被压填料的固有频率相近时,相位差


研究发现[29, 33],振动轮振动加速度幅值和位移随着土体刚度增大而增大,即随着碾压遍数的增加,A和W均逐渐增大。在碾压过程中,实际激振力


土体被施加应力

式中:σ为应力幅值;
由相关研究可知[17, 37],含水率和压实度对土体黏度系数



在单个振动周期中,当振动轮竖向合力为零时,振动轮正向动能增量不再增大。


式中:


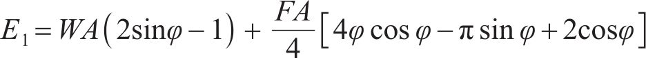
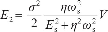
文献[38-41]表明,在动载冲击作用下,土、岩石等原生地质材料产生的声、光、热耗能可忽略不计,故在碾压过程中,压实功E1转化为土体被压缩吸收的能量E2和振动轮动能。根据能量守恒定律,三者之间的关系可描述为

随着碾压遍数增加,E1逐渐增大,E2逐渐减小,E3相应增大,因此,振动轮的动能变化可以反映土体刚度和压实质量的变化情况。
基于上述原理,本文将振动轮正向最大动能增量作为填筑材料的压实质量表征指标,即动能压实值(KECV)为


式中:C为动能压实值;



1.1.2 单位体积压实功E
根据振动理论[29]和式(1),振动轮在单个振动周期中所作的压实功可以表示为

将

碾压

式中:B为振动轮宽度;h为填筑层厚度;v为行车速度。
1.2 RICM系统
为实现高速公路压实质量连续检测与控制,将实时差分北斗定位系统应用于压路机集成正向动能增量检测系统(图1)。该系统主要分为定位系统、数据采集装置、分析模块三部分。定位系统由北斗卫星、北斗基准站和北斗接收机等组成,实时采集压路机高精度动态坐标。数据采集装置主要包括加速度传感器和数据同步采集仪两部分,实时捕捉振动轮的加速度信号,并将信号数据与压路机空间位置信息实时同步传输至分析模块。分析模块主要由机载控制器和机载显示终端两部分组成,即处理、分析和计算传输来的压实过程信息,绘制并显示当前碾压区域的压实质量信息(如KECV)以及压路机的碾压参数信息(如碾压遍数、压实轨迹),完成信息反馈。
2 填料的物理力学特性
衡永高速公路位于中国湖南省,从衡阳至永州全长106.227 km,路基宽度26.5 m,是湖南省“六纵七横”在建高速公路网之一。本文现场试验在衡永高速公路第五标段K52+800~K53+030处开展,其中,路基填料为低液限粉土;路面填料为水泥稳定碎石。
2.1 路基填料
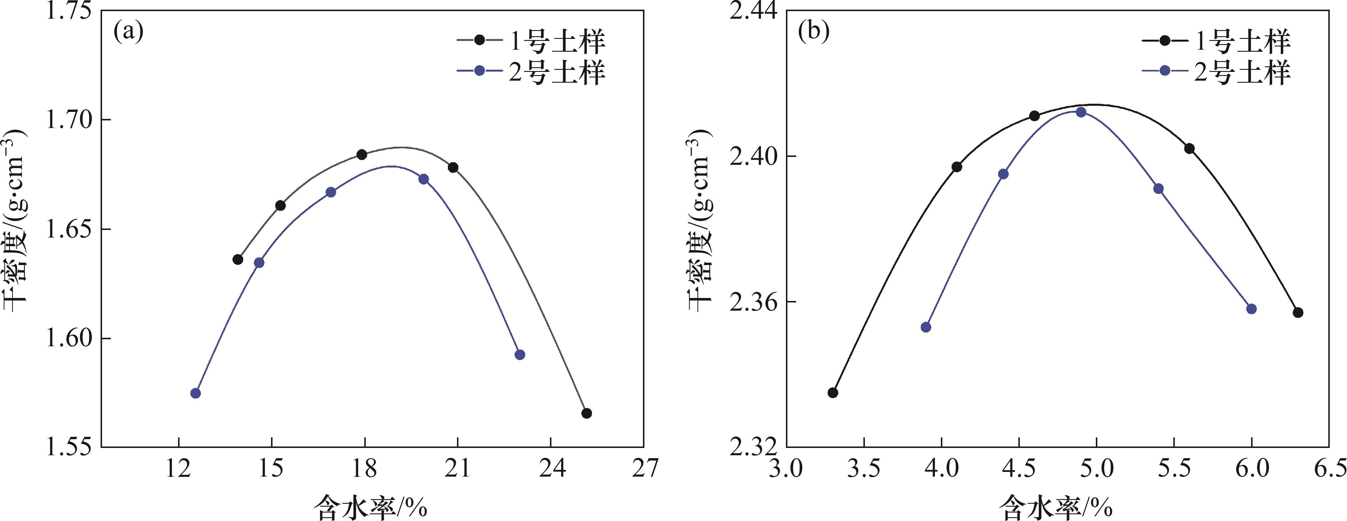
路基填料低液限粉土的颗粒主要为粉粒和砂粒,存在极少的黏粒,具有不同于砂土和黏土的独特物理性质。低液限粉土的颗粒级配曲线如图 3(a)所示。采用光电式液塑限联合测试仪测定土壤试样的液塑限,分别选取圆锥下沉深度为2.5 mm和20 mm所对应的含水量作为低液限粉土试样的塑限和液限,计算可得塑性指数IP分别为16.5和16.3。采用室内击实试验确定土样的最佳含水率和最大干密度,试样分5层击实,每层击实次数为27次。从上述试样中随机抽取低液限粉土1号和2号土样,其击实曲线如图4(a)所示。根据图4(a)可知,1号土样的最大干密度为1.69 g/cm3,最佳含水率为19.1%,而2号土样的最大干密度为1.68 g/cm3,最佳含水量为18.8%。综合液塑限联合测定和击实试验结果,得到低液限粉土样品的液塑限、最大干密度和最佳含水率,结果见表1。


| 最大干密度ρmax/(g·cm-3) | 天然含水率![]() | 最佳含水率![]() | 液限![]() | 塑限![]() | 塑性指数![]() |
|---|---|---|---|---|---|
| 1.68 | 27.0 | 19.0 | 49.3 | 32.7 | 16.6 |
2.2 水稳层填料
路面填料水泥稳定碎石的水泥质量分数为5%,其配合比如表2所示。水泥稳定碎石土的颗粒级配曲线如图3(b)所示。从室内击实试验试样中随机抽取水泥稳定碎石1号和2号土样,其击实曲线如图4(b)所示。从图4(b)可见:水泥稳定碎石1号土样的最大干密度和最佳含水率分别为 2.412 g/cm3和4.8%,而2号土样的最大干密度和最佳含水量分别为2.411 g/cm3和4.6%。由此可以得到水稳层填料的最大干密度为2.411 g/cm3,最佳含水率为4.7%。
| 碎石/石屑粒度 | [19,26.5) mm | [9.5,19) mm | [4.75,9.5) mm | [0,4.75) mm |
|---|---|---|---|---|
| 质量分数/% | 25 | 31 | 12 | 32 |
3 试验方案
3.1 高速公路路基压实试验方案
为了研究RICM指标与不同碾压参数间的关系以及验证RICM指标对低液限粉土路基压实质量的表征效果,按2种激振力状态(低频高幅和高频低幅)以及3种行车速度(0.56、0.83和1.43 m/s)设计不同压实工况,每种工况碾压次数相同,路基压实现场试验方案如表3所示。将试验区域划分为各个试验条带,每条带宽度为3 m,有效长度为10 m,条带之间设置足够大的调整区域,并沿长度方向均匀布置5个压实度抽样试坑点,分别距起点1、3、5、7、9 m,如图5(a)所示。采用三一重工单钢轮振动压路机对低液限粉土试验区进行碾压,振动轮宽度和直径分别为2 130 mm和1 600 mm,振动频率分别为29 Hz和35 Hz,激振力分别为410 kN和300 kN。
| 工况 | 激振力状态 | 碾压速度/ (m·s-1) | 静碾碾压遍数 | 振碾碾压遍数 |
|---|---|---|---|---|
| 1 | 低频高幅 | 0.56 | 2 | 1~8 |
| 2 | 0.83 | 2 | 1~8 | |
| 3 | 1.43 | 2 | 1~8 | |
| 4 | 高频低幅 | 0.56 | 2 | 1~8 |
| 5 | 0.83 | 2 | 1~8 | |
| 6 | 1.43 | 2 | 1~8 |

低液限粉土路基现场试验分为振动碾压前、碾压中和碾压后(图5(b))。振动碾压前,填筑厚度为40 cm的路基及试验条带划分;在碾压过程中,选定相应的碾压参数,实时采集RICM指标、碾压参数及其他信息(如压路机实时空间位置信息);振动碾压后,采用灌砂法测量抽样点试坑的低液限粉土的压实度。压实度的计算公式为

式中:K为压实度,%;
3.2 高速公路水稳层压实试验方案
为研究对水泥稳定碎石的表征效果,类比低液限粉土,现场试验也规划了试验场地,但抽样试坑点布置与低液限粉土的不同,即沿长度方向依次布置3个抽样试坑点,分别距起点2、5、 8 m,现场区域布置和碾压流程如图6所示;试验工况类别少于低液限粉土的试验工况类别。按照施工规范要求,水稳层施工只进行“小振”,且速度无法分档控制,故采用碾压遍数工况进行试验,速度保持在1.43 m/s,静碾2遍,振碾1~8遍;使用三一重工单钢轮振动压路机进行碾压,其振动轮宽度和直径分别为2 170 mm和1 700 mm,激振力状态为高频低幅,振动频率为32 Hz,激振力为295 kN。原位试验设计与低液限粉土的设计相同,但室内试验除测量最大干密度之外,还需测量最小干密度,依此获得相对密度[1]。相对密度的计算公式如下:


式中:
4 结果分析
4.1 路基压实试验结果分析
基于现场碾压试验结果,分析碾压参数与RICM指标、RICM指标与低液限粉土路基压实质量的相关关系,建立相应的线性回归模型,验证RICM指标对低液限粉土路基的表征效果。
4.1.1 碾压遍数与RICM指标的关系
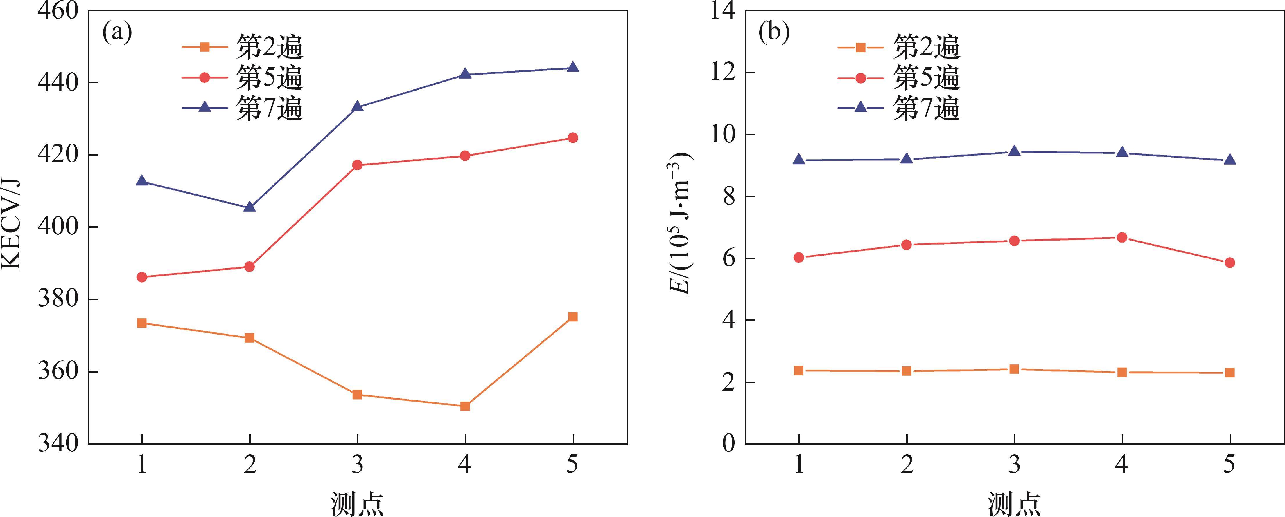
碾压遍数是施工作业中重要控制参数之一,对粉质黏土路基的压实具有重要影响。为避免含水率和级配差异引起的误差,分别选取低液限粉土1组土料性质基本均匀的试验条带进行振动碾压。按照试验方案在试验条带设置抽样点测量试坑,低液限粉土共5个,并以工况2和工况5进行碾压,即先静碾2遍平整土料,再以0.83 m/s的行车速度分别匀速振碾1~8遍,记录碾压试验过程的RICM指标值。
图7所示为不同测点处RICM指标值与碾压遍数的关系。由图7可知:低液限粉土在同一测点的KECV、




为验证RICM指标与碾压遍数之间的关联性和空间变异性,通过式(16)进行F检验,结果如表4所示。由表4可知:在

式中:n为自变量个数;m为样本容量;EESS为模型的回归平方和;ERSS为模型的残差平方和。
| RICM指标 | 回归模型 | R2 | 变异系数/% |
|---|---|---|---|
| KECV | y=11.673x+345.068 | 0.980 | 7.266 |
![]() | y=1.982x×105-0.074×105 | 0.987 | — |
4.1.2 行车速度与RICM指标的关系
为分析压实过程中压路机行车速度与RICM指标之间的相关关系,选择3组土料性质基本相同的试验条带,按照试验方案分别以0.56、0.83和 1.43 m/s的行车速度进行振动碾压,获取RICM指标值并分析二者的相关关系。图9所示为KECV和E随行车速度的变化趋势。从图9可见:随着行车速度的增加,KECV变大,而E均变小。这是因为随着行车速度的增加,单位时间内土体压缩所吸收的能量减小,E减小,由能量守恒可知在振动周期中KECV变大。因此,KECV与行车速度之间存在正相关关系,而E与行车速度之间存在负相关关系。

4.1.3 激振力状态与RICM指标的关系
低频高幅(LFHA)和高频低幅(HFLA)状态的激振力和频率不相同,所产生的振动能量也存在差异,因此,在这2种状态下,压路机对于路基的压实效果存在区别。为研究激振力状态与RICM指标的相关性,选择2组土料性质基本相同的试验条带根据工况2和工况5进行碾压试验。图10所示为第8遍振碾下KECV和


4.1.4 RICM指标与低液限粉土路基压实度的关系
由以上分析可知,RICM指标与碾压参数之间存在相关关系,因此,需要验证RICM指标与压实质量的相关性,以判断RICM指标作为填料压实质量的表征指标的有效性。按照试验方案对低液限粉土采取相应的振动碾压后,采用灌砂法测量试坑点处压实度K,并对RICM指标与试坑点样本压实度进行相关性分析,构建压实质量线性回归模型,从而对比分析RICM指标对低液限粉土路基压实质量的表征效果。值得注意的是,受料场、工期和湖南当地梅雨天气的影响,现场碾压试验所用低液限粉土的天然含水量略高于最佳含水量[42]。此外,本次现场碾压试验方案与现场实际使用的施工工艺有所区别,这也引起本次碾压试验检测的压实度略低于规范标准要求。图11所示为KECV和








| RICM指标 | 回归模型 | ![]() | 变异系数/% |
|---|---|---|---|
| KECV | y=283.204x+276.388 | 0.870 | 0.784 |
![]() | y=21.553×105x-11.705×105 | 0.768 | 4.706 |
综上所述,RICM指标和压实度K之间存在一致的相关性,且KECV与压实度


4.2 路面压实试验结果分析
4.2.1 碾压遍数与RICM指标的关系
水稳层在同一测点的KECV、











RICM 指标 | 回归模型 | R2 | 变异系数/% |
|---|---|---|---|
| KECV | y=72.909x+1 568.395 | 0.822 | 10.385 |
![]() | y=0.541×105x-0.193×105 | 0.974 | — |
4.2.2 相对密度与RICM指标的关系
按照试验方案对采取相应的振动碾压后,分别测量试坑点处压实度K及最大、最小干密度,并对RICM指标与试坑点样本相对密度作相关性进行分析,构建压实质量线性回归模型,从而对比分析RICM指标对水泥稳定碎石压实质量的表征效果。图13所示为KECV和








| RICM指标 | 回归模型 | ![]() | 变异系数/% |
|---|---|---|---|
| KECV | y=11 704.845x-10 132.436 | 0.766 | — |
![]() | y=12.700×105x-11.705×105 | 0.702 | 8.284 |
5 结论
1) 在路基路面压实过程中,随着碾压遍数的增加,填料由松散变为密实,振动轮的最大正向动能增量呈现逐渐增大趋势。根据能量守恒定律,分析单个周期内振动轮与填料间能量转换规律,以正向动能的变化特性来反映整个碾压过程中的能量交换,利用最大正向动能增量的能量形式量化计算路基路面压实状态,并以此作为压路机集成压实监控指标,提出基于最大正向动能增量的高速公路压路机集成压实监控指标KECV。
2) KECV与碾压参数之间存在显著的相关性。对于路基低液限粉土,KECV随着碾压遍数的增加而增加,决定系数



3) KECV与低液限粉土压实度







杨贤, 张庆龙, 吴初平, 等. 基于振动能量的新型高速公路压路机集成压实监控指标研究[J]. 中南大学学报(自然科学版), 2025, 56(2): 660-673.
YANG Xian, ZHANG Qinglong, WU Chuping, et al. Research on new roller-integrated compaction monitoring index of highway based on maximum positive kinetic energy increment[J]. Journal of Central South University(Science and Technology), 2025, 56(2): 660-673.












