混凝土具有良好的力学性能,成本低廉,被广泛应用于桥梁、隧道等多个领域中[1]。混凝土结构在浇筑以及使用过程中,受到荷载作用和环境因素的共同影响,其内部会出现裂缝、空洞等[2-3]缺陷,导致混凝土结构的耐久性与承载能力下降,甚至引发严重的安全事故。因此,在不破坏混凝土结构的前提下,准确地检测出其结构内部缺陷,有着重要意义。常规混凝土结构无损检测方法主要有红外成像法、冲击回波法以及超声波检测法等[4-5]。其中,超声波具有传播能量大、穿透力强、灵敏度高等优点,在混凝土检测方面有显著优势。混凝土作为三相材料,内部声学特性复杂,高频超声波在混凝土中传播时,能量衰减很大。而低频超声有着绕射大、衰减小、穿透力强的特点,因此,往往采用100 kHz以内的低频超声波[6-7]来检测混凝土结构内部缺陷。全聚焦方法[8](total focus method, TFM)有着较高的检测精度,但在成像过程中会受到回波数据影响导致产生伪像。王冠等[9]对回波信号进行卷积滤波与锐化处理,将处理后的信号进行全聚焦成像,该方法与合成孔径聚焦[10] (synthetic aperture focusing technique, SAFT)相比能显著提高信噪比与图像分辨率。POTTER等[11]利用格林函数对全矩阵数据进行重建,重建后的矩阵成像噪声与伪影明显减少。LIN等[12]将多层延迟求和法应用到合成孔径成像中,明显改善了多层混凝土结构的成像效果。CARCREFF等[13]提出迁移算法加速全聚焦成像效率,并且有效提升了信噪比,抑制了伪像;全聚焦方法主要利用信号的幅值信息进行延迟叠加成像,但是信号的相位信息在成像过程中也十分重要。陈尧等[14]通过增强孔径波束指向性,提高后处理图像的虚拟聚焦效果,使横向分辨力明显提升,更有利于精确定位缺陷。CAMACHO等[15]对阵列信号添加相干因子,再通过动态加权的方式提高相位分布对图像像素幅值的影响,提升了成像分辨率。由于在混凝土中采用低频超声检测,超声波长大,在成像过程中,会对声时计算产生影响,导致成像位置向下偏移。葛璐璐等[16]利用时间反转算法接收信号进行处理,实现了超声波束的自适应增强,并根据信号初始幅值与波峰之间的时间间隔对缺陷位置进行矫正,提高了成像质量。王冠等[17]针对低频探头造成信号失真的问题,提出利用数字补偿滤波对检测信号进行矫正,并根据信号特征矫正了缺陷位置,提高了成像信噪比以及缺陷定位精度。低频超声阵列在检测混凝土结构缺陷时存在挑战,一方面,由于超声信号在混凝土内部传播时衰减大,且骨料散射信号复杂,导致成像信噪比低;另一方面,又因为低频超声波长很长,导致声时计算误差大,成像位置向下发生偏移。本文针对低频超声成像分辨率低,伪像多,定位不准的问题,在全聚焦成像的基础上,充分利用信号的幅值以及相位信息构建SCF方法,来提升成像的分辨率;然后,引入脉冲峰值延迟PPD对超声波声时进行矫正,提出PPD-SCF方法,实现混凝土缺陷的高分辨率成像及精确定位。
1 成像方法研究
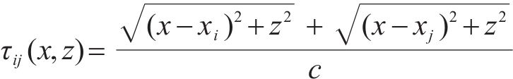
1.1 TFM成像方法
超声线性阵列的阵元数量为



式(1)中:







1.2 SCF成像方法
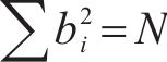
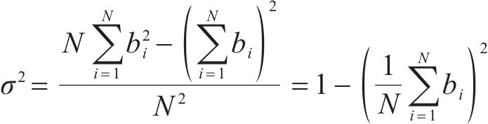
由于全聚焦方法主要利用回波信号的幅值信息进行成像,相位信息利用不充分,导致成像图中有很多伪像,检测分辨率低。针对该问题,本文通过从全矩阵数据中提取相位信息来构建符号相干因子,在此基础上对缺陷的散射信号进行加权运算,构建SCF成像方法,具体过程如下:
采用一种特殊相位量化方式将




其中,




可以通过回波信号符号的平均值计算出方差





在空间点





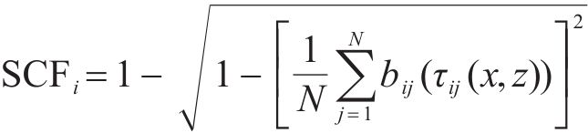
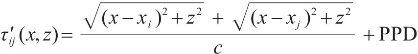
1.3 PPD-SCF成像方法
低频超声脉冲信号持续时间长(如图1所示),会因为声时的误差导致TFM与SCF成像位置向下发生偏移。因此,在计算旅行时间时应考虑通过添加脉冲峰值延迟项对声时进行矫正,提升缺陷成像定位精度,基于全矩阵数据的PPD-SCF成像原理如图2所示。利用脉冲峰值延迟校正过后的成像公式如下:


其中,



在本文中,使用SNR(signal-to-noise ratio)作为评价指标定量评估成像方法的性能,图像质量与SNR数值成正比。数学公式如下:

式中:

2 仿真研究
2.1 有限元模型
利用COMSOL有限元软件建立单层轨道板单孔洞、多孔洞、以及地铁衬砌脱空缺陷二维有限元仿真模型。单孔洞、多孔洞轨道板模型大小为500 mm×200 mm,其中单孔洞模型在中心位置设置直径为40 mm,距表面深度100 mm的圆孔缺陷,多孔洞模型在距离表面100 mm处横向设置直径大小分别为50、50、40 mm的圆孔,间距分别为175 mm与125 mm,如图3所示。某地铁隧道衬砌结构[18]如图4(a)所示,为减小模型计算量,取道床板与管片[19]粘接部分,建立大小为600 mm×800 mm脱空缺陷模型如图4(b)和图4(c)所示。其中,脱空缺陷的长度分别为200 mm(强脱空)与100 mm(弱脱空)。在模型表面放置12个中心间距为30 mm的传感器。由于外界载荷对超声波在结构内部的旅行时间影响极小,因此,可以忽略载荷对超声成像检测结果的影响。故在数值模型中未将外界载荷考虑进来;此外,为了削弱来自模型边界反射波的影响,将模型的各边界均设置为吸收边界。具体仿真模型参数如表1所示。


| 模型结构 | 模型尺寸/mm2 | 杨氏模量/GPa | 泊松比 | 密度/(kg∙mm-3) | |
|---|---|---|---|---|---|
| 单层轨道板 | 500×200 | 36.5 | 0.2 | 2 500 | |
| 地铁隧道 | 道床板 | 600×800 | 36.5 | 0.2 | 2 500 |
| 管片 | 34.5 | 0.167 | 2 500 | ||
2.2 瞬态声场和散射信号
激励信号为汉宁窗调制的3个周期正弦脉冲信号,中心频率为50 kHz,其时域波形及频谱如图5所示。利用COMSOL进行声场仿真,得到4种模型的瞬态声场分布。图6(a)~图6(d)分别显示入射波到达缺陷处产生散射波。图7(a)为单孔洞有限元模型的第1个传感器发射,12个传感器同时接收的信号,包含有表面波和缺陷散射波,其中散射波被表面波严重干扰,影响成像结果。因此,将缺陷模型和健康模型下的接收信号进行对应相减和滤波后,即可实现表面波的去除,得到图7(b)所示的多通道散射波形。



2.3 仿真结果
对孔洞缺陷仿真模型进行TFM、SCF、PPD-SCF成像,根据纵向强度曲线和信噪比定量评估成像定位精度和噪声抑制效果。图8(a)~图8(c)、图8(g)~图8(i)为超声图像,图8(d)~图8(f)、图8(j)~图8(l)为纵向强度曲线。

在单孔洞缺陷仿真结果中,TFM、SCF、PPD-SCF方法所得缺陷纵向深度位置分别为117.5、121、101 mm。信噪比分别为19.59、35.47、33.53 dB。在多孔洞缺陷仿真结果中,TFM、SCF、PPD-SCF方法所得缺陷纵向深度3个孔(左侧孔、中间孔、右侧孔)位置分别为108、107、109 mm;111、111、112 m;99、105、104 mm。图像信噪比分别为13.72、22.25、22.22 dB。
对衬砌脱空仿真模型进行TFM、SCF、PPD-SCF成像,根据纵向强度曲线和信噪比定量评估成像定位精度和噪声抑制效果。图9(a)~图9(b)、图10(a)~图10(d)为超声图像。图9(c)和图10(e)为横向强度曲线,图9(d)和图10(f)为纵向强度曲线。由TFM成像可知,强、弱脱空模型中的脱空缺陷长度分别为202 mm、97 mm,纵向深度分别为638 mm、638 mm,图像信噪比为27.43 dB、33.54 dB。由SCF成像可知,强、弱脱空模型中的脱空缺陷长度分别为169 mm、87 mm,纵向深度分别为634 mm、633 mm。图像信噪比分别为30.76 dB、36.97 dB。由 PPD-SCF成像可知,强、弱脱空模型中的脱空缺陷长度分别为164 mm、79 mm,纵向深度分别为603 mm、598 mm,图像信噪比分别为30.93 dB、37.56 dB。


3 实验研究
3.1 实验系统
本文仅使用ACSYS公司生产的MIRA-A1040混凝土断层超声成像仪采集超声回波信号,基于本文的研究方法在Matlab软件中进行信号处理与成像检测。该仪器共有48个干点接触式(dry point contact, DPC)发射和接收换能器,呈4行12列的阵列式排布,具体参数见表2。该仪器在执行信号的发射与接收时,遵循了声学互易性原理,共有66组接收信号。采样频率为1 MHz,激励信号中心频率为50 kHz。
| 名称 | 参数或特性 |
|---|---|
| 探头与被检测物体接触类型 | 干点接触(无需耦合剂) |
| 探头数量 | 12列*4个/列=48个 |
| 激发信号中心频率/kHz | 50 |
| 采样频率/kHz | 1 000 |
| 接收信号个数 | 66 |
单层轨道板[20]如图11(a)和图11(b)所示,某地铁隧道衬砌如图11(c)和图11(d)所示。试样1:在单层轨道板深100 mm处、仪器正下方设置直径为40 mm的圆孔缺陷,试样2:在单层轨道板深100 mm处,从左往右依次设置直径为50、50、40 mm的圆孔缺陷。隧道衬砌结构的道床板与管片之间易在600 mm粘接处产生脱空缺陷。

3.2 实验结果
3.2.1 轨道板孔洞缺陷超声成像
对单层轨道板圆孔缺陷进行了TFM、SCF、PPD-SCF成像,图12(a)~图12(c)、图12(g)~图12(i)为超声图像。在此基础上,提取图像的强度曲线并计算图像的信噪比,以此来定量评估成像定位精度以及噪声抑制效果。图12(d)~图12(f)、图12(j)~图12(l)为纵向强度曲线。在试样1成像结果中,TFM、SCF和PPD-SCF方法所得缺陷的纵向深度分别为123、127、104 mm。信噪比分别为13.04、33.22、30.09 dB。在试样2成像结果中,TFM、SCF和PPD-SCF方法所得缺陷(左侧孔、中间孔、右侧孔)的深度分别为123、123、124;123、127、127 mm;106、106、107 mm。图像信噪比分别为12.18、24.30、23.17 dB。

3.2.2 衬砌脱空超声成像
对隧道衬砌道床与管片粘接处的脱空缺陷进行TFM、SCF、PPD-SCF成像,图13(a)~图13(b)、图14(a)~图14(d)为超声图像。在此基础上,提取图像的强度曲线并计算图像的信噪比,以此来定量评估脱空长度、成像定位精度以及噪声抑制效果。图13(c) 和图14(e)为横向强度曲线,图13(d)和图14(f)为纵向强度曲线。道床与管片强、弱脱空处TFM成像结果中脱空缺陷长度分别为197 mm、158 mm,纵向深度位置分别为647 mm、642 mm,图像信噪比分别为20.32 dB、18.26 dB。SCF成像结果中脱空缺陷长度分别为150 mm、110 mm,纵向深度位置分别为650 mm、642 mm。图像信噪比为32.14 dB、35.14 dB。PPD-SCF成像结果中脱空缺陷长度分别为143 mm、107 mm,纵向深度位置为610 mm、606 mm,图像信噪比为32.05 dB、34.64 dB。


4 讨论
4.1 圆孔缺陷成像性能对比分析
由仿真与实验结果可知:1) 在图像信噪比方面,单孔图像信噪比优于多孔图像信噪比,SCF图像信噪比优于TFM图像信噪比,在单孔的仿真实验中信噪比提升分别为15.88 dB、8.53 dB,多孔的仿真实验中信噪比提升分别为20.18 dB、12.12 dB;PPD-SCF图像信噪比与SCF图像信噪比趋近,相比于TFM图像信噪比,PPD-SCF在单孔的仿真实验中信噪比提升分别为13.94 dB、8.50 dB,多孔的仿真实验中信噪比提升分别为17.05 dB、10.99 dB。2) 在缺陷深度定位方面,TFM与SCF的定位深度趋近。PPD-SCF对缺陷深度的定位显著优于TFM与SCF。在单孔仿真与实验中,PPD-SCF相比于TFM,位置精度分别提升94.4%、82.6%;在多孔仿真中,对左孔、中孔、右孔的深度定位精度分别提高87.5%、28.6%、55.5%;在多孔实验中,对左孔、中孔、右孔的深度定位精度分别提高73.9%、75.0%、70.1%。PPD-SCF相较于TFM与SCF有着更高的SNR以及更准确的深度定位。
数据来源及 缺陷类型 | TFM | SCF | PPD-SCF | ||||||||||
|---|---|---|---|---|---|---|---|---|---|---|---|---|---|
| SNR/dB | 深度位置/mm | SNR/dB | 深度位置/mm | SNR/dB | 深度位置/mm | ||||||||
仿真 结果 | 单孔 | 19.59 | 118 | 35.47 | 121 | 33.53 | 101 | ||||||
| 多孔 | 13.72 | 左孔 | 中孔 | 右孔 | 22.25 | 左孔 | 中孔 | 右孔 | 22.22 | 左孔 | 中孔 | 右孔 | |
| 108 | 107 | 109 | 111 | 111 | 112 | 99 | 105 | 104 | |||||
实验 结果 | 单孔 | 13.04 | 123 | 33.22 | 127 | 30.09 | 104 | ||||||
| 多孔 | 12.18 | 左孔 | 中孔 | 右孔 | 24.30 | 左孔 | 中孔 | 右孔 | 23.17 | 左孔 | 中孔 | 右孔 | |
| 123 | 124 | 124 | 123 | 127 | 127 | 106 | 106 | 107 | |||||
4.2 脱空缺陷成像性能对比分析
由仿真与实验结果可知:1) 在图像信噪比方面,SCF图像信噪比优于TFM图像信噪比,在强脱空缺陷仿真与实验中信噪比的提升分别为3.33 dB、11.82 dB,在弱脱空的仿真与实验中信噪比的提升分别为3.43 dB、16.88 dB;PPD-SCF图像信噪比与SCF图像信噪比趋近,相比于TFM图像信噪比,PPD-SCF在强脱空缺陷仿真与实验中信噪比的提升分别为3.50 dB、11.73 dB,在弱脱空的仿真与实验中信噪比的提升分别为4.02 dB、16.38 dB。2) 在缺陷深度定位方面,TFM与SCF的定位深度趋近,PPD-SCF对缺陷深度的定位显著优于TFM与SCF。在强脱空的仿真与实验中,PPD-SCF相比于TFM,位置精度分别提升92.1%、78.7%。在弱脱空的仿真与实验中,PPD-SCF相比于TFM,位置精度提升分别为94.7%、85.7%。在横向分辨率评估方面,TFM、SCF、PPD-SCF这3种方法均能对强、弱脱空缺陷进行区分。
数据来源及 缺陷类型 | SNR/dB | 深度位置/mm | 脱空长度/mm | |||||||
|---|---|---|---|---|---|---|---|---|---|---|
| TFM | SCF | PPD-SCF | TFM | SCF | PPD-SCF | TFM | SCF | PPD-SCF | ||
仿真 结果 | 强脱空 | 27.43 | 30.76 | 30.93 | 638 | 634 | 603 | 202 | 169 | 164 |
| 弱脱空 | 33.54 | 36.97 | 37.56 | 638 | 633 | 598 | 97 | 87 | 79 | |
实验 结果 | 强脱空 | 20.32 | 32.14 | 32.05 | 647 | 650 | 610 | 197 | 150 | 143 |
| 弱脱空 | 18.26 | 35.14 | 34.64 | 642 | 642 | 606 | 158 | 110 | 107 | |
5 结论
1) 针对低频超声阵列成像分辨率低的问题,从全矩阵接收信号中提取符号相干因子,充分利用缺陷散射信号的幅值和相位信息构建了SCF成像方法。仿真与实验结果表明,SCF与TFM在缺陷纵向定位精度上性能一致,但SCF能够有效抑制噪声,可显著提高圆孔缺陷以及脱空缺陷的成像分辨率。SCF与TFM相比,在单孔缺陷的仿真与实验中信噪比的提升分别为15.88 dB、8.53 dB,在多孔缺陷的仿真与实验中信噪比的提升分别为20.18 dB、12.12 dB。在强脱空缺陷仿真与实验中信噪比的提升分别为3.33 dB、11.82 dB,在弱脱空的仿真与实验中信噪比的提升分别为3.43 dB、16.88 dB。
2) 针对低频超声阵列成像定位不准的问题,引入脉冲峰值延迟进行声时矫正,构建PPD-SCF方法。仿真与实验结果表明,PPD-SCF与SCF成像信噪比相近,但PPD-SCF在缺陷纵向定位精度上显著优于SCF和TFM。PPD-SCF与TFM相比,在单孔缺陷仿真与实验中纵向位置精度提升分别为94.4%、82.6%。在多孔缺陷仿真中,左孔、中孔、右孔纵向位置精度分别提高87.5%、28.6%、55.5%。在多孔缺陷实验中,左孔、中孔、右孔纵向位置精度分别提高73.9%、75.0%、70.1%。在强脱空缺陷的仿真与实验中,纵向位置精度提升分别为92.1%、78.7%。在弱脱空缺陷的仿真与实验中,位置精度提升分别为94.7%、85.7%。
3) 针对成像横向分辨率精度的问题,TFM、SCF、PPD-SCF均能对强、弱脱空缺陷进行区分。本文在混凝土结构低频超声成像分辨率以及定位方面展开研究,后续将在满足高分辨率检测的同时,优化波束形成算法,显著提升成像效率,更好地满足工程应用。
刘昊,李再帏,范国鹏等.混凝土结构缺陷低频超声阵列成像方法研究[J].铁道科学与工程学报,2025,22(10):4712-4725.
LIU Hao,LI Zaiwei,FAN Guopeng,et al.Study on low frequency ultrasonic array imaging method for defects of concrete structures[J].Journal of Railway Science and Engineering,2025,22(10):4712-4725.

