隧道修建时常遇到高地应力软岩、破碎断层、膨胀岩等不良地质环境,隧道型钢-喷射混凝土支护结构由于型钢表面与喷射混凝土间黏结性弱致使其在较大围岩压力荷载作用下二者接触界面极易发生相对滑移[1-4],会出现喷射混凝土开裂剥落、型钢扭曲变形等破坏问题,此时支护结构将无法协同承载[5-7]。因此,一些学者通过改变型钢混凝土的材料性能及其内部设置钢筋,对型钢混凝土结构的力学性能进行了理论分析与试验研究[8-10],研究得到:通过改变混凝土或型钢的材料性能参数,对型钢混凝土结构进行偏心受压试验,型钢混凝土结构的延性及其整体的承载能力得到了提升[11-13];通过改变型钢混凝土结构内部设置的纵筋及箍筋的配置参数,使其有效地约束核心区的混凝土能够与型钢共同承载,结合偏心受压加载试验分析,调整含钢率与箍筋间距可以提高试件整体的承载能力[14-17]。通过上述研究可知,提高了型钢与混凝土的材料性能、调整钢筋的配置参数等在一定程度上可以提高型钢与混凝土两者之间的黏结性能,但是由于型钢与混凝土界面之间相对滑移还是容易发生,结构共同承载的问题没有得到根本性的解决。为了从根本上解决隧道初期支护结构的共同承载问题,一些学者从结构形式上出发对带栓钉剪力件的型钢-混凝土组合结构进行了研究,赵军等[18-19]通过对带有栓钉剪力件的型钢混凝土组合结构进行轴心受压承载试验,发现栓钉剪力件的存在能极大提高型钢与混凝土之间的黏结强度,其组合界面具有良好的抗剪性能并且界面之间不再发生滑移;郑华海等[20]通过对带有栓钉的型钢混凝土组合结构进行推出试验,发现在型钢腹板设置栓钉试件的延性比翼缘设置栓钉试件的延性好,型钢腹板与翼缘同时设置时承载力将不出现下降,承载性能更好;YANG等[21]通过对带栓钉的预制型钢混凝土柱进行偏心受压实验,得到在偏心受力的条件下,材料性能对结构整体的承载力的影响逐渐减小,而栓钉剪力件的抗剪作用使得结构在加载时承载力有了明显的提高,型钢与混凝土能保持协同工作,并且在加载过程中型钢与混凝土截面应变能较好地满足平截面假定。通过上述研究发现现阶段带栓钉剪力件的型钢混凝土组合结构主要应用于工业与民用等地上建筑中,集中解决的是基于轴心受压试验的型钢与混凝土界面之间的黏结滑移性能问题[22-23],并且栓钉剪力件的抗剪作用对结构的承载性能有一定的提高,但添加栓钉剪力件的型钢混凝土组合结构在隧道初期支护领域并没有进行应用,对于隧道在偏心受压受力条件下型钢内部布设栓钉剪力件之后,型钢与混凝土是否能够更好地共同承载,结构整体承载性能是否会有提高还未有研究。因此,本文考虑隧道初期支护结构的受力特点,针对结构的承载性能问题,设计了布设不同形式栓钉剪力件的型钢-喷射混凝土组合结构,通过开展大偏心受压试验,研究型钢-喷射混凝土组合结构的承载力特性,并得到栓钉剪力件的最优布设形式,在此基础上推导出组合结构大偏心受压极限承载力理论计算公式,为隧道初期支护设计提供理论依据。
1 试验概况
1.1 试验构件设计
依据隧道支护结构受力特点,试验设计了3组型钢-喷射混凝土偏心受压柱构件,考虑130 mm(e0=0.5h)的加载偏心距及型钢腹板双排与梅花形布设栓钉2种布设形式,分为GK-1、GK-2、GK-33种工况,采用控制变量法对3组构件进行大偏心受压试验。构件尺寸均为1 180 mm×260 mm×180 mm,在构件端部设置牛腿,尺寸为220 mm×240 mm。构件的主要设计参数如表1所示。
试验 工况 | 加载偏 心距/mm | 栓钉规格/mm | 栓钉布 设形式 |
|---|---|---|---|
| GK-1 | 130 mm (e0 =0.5h) | 13×50 | 自然黏结(无栓钉) |
| GK-2 | 双排平行布设 | ||
| GK-3 | 梅花形布设 |
3种工况下的构件型钢腹板均布设栓钉剪力件,栓钉剪力件为等级为ML15、尺寸为13 mm×50 mm的圆柱形栓钉,横向布置间距为80 mm,纵向布置间距为100 mm,根据规范[24-25]选取型钢翼缘保护层厚度为40 mm,型钢腹板位置栓钉剪力件的保护层厚度为36.75 mm。试验构件尺寸及栓钉布置如图1所示。

构件制作所用混凝土强度等级为C20,按照隧道施工现场初期支护喷射混凝土配合比,水泥标号为P.O42.5,质量配合比例为C∶S∶G∶W=1∶2.46∶1.78∶0.45,砂模度系数为2.7,碎石粒径为5~10 mm进行制作,为保证构件质量,人工对其进行浇筑并在浇筑过程中不断振捣,制作完成后进行标准养护,型钢采用I18型钢强度等级Q235B,主要力学性能参数如表2所示。
| 混凝土 | |||
|---|---|---|---|
| 强度等级 | 抗压强度/MPa | 抗拉强度/MPa | 弹性模量/MPa |
| C20 | 18.2 | 1.60 | 1.98×104 |
| 型钢及栓钉 | |||
| 钢材 | 屈服强度/MPa | 极限强度/MPa | 弹性模量/MPa |
| 型钢翼缘 | 239.35 | 405.46 | 20.5×104 |
| 型钢腹板 | 243.48 | 410.59 | 20.4×104 |
| 栓钉 | 236.21 | 404.72 | 20.5×104 |
1.2 试验加载
试验加载采用YAE-10000电液伺服长柱压力机,加载装置如图2所示,构件两端设置铰支座,通过控制刀铰支座位置对构件进行偏心加载,并在铰支座与构件之间垫一块钢板保证构件受力均匀。试验采用单调静力加载,先预加载极限承载力估值的5%,再采用等速位移加载的方式以0.5 mm/min的速率持续进行加载,达到试件极限承载力后继续加载,直至试件受压侧喷射混凝土发生剥落后停止加载,便于观察其最终破坏形态。

为了有效获取构件的应变以及侧向挠度变化情况,在型钢中部位置腹板和翼缘表面以及构件中部混凝土表面设置应变片,在构件受拉侧混凝土表面按照5点法以200 mm为布设间距布设位移传感器,如图2(a)所示;并在试验加载过程中,采用如图2(b)所示的VIC-3D应变测量系统观察和记录构件的破坏特征演化过程。
2 试验破坏现象及模式
2.1 自然黏结工况
通过VIC-3D测量得到型钢与混凝土在自然黏结工况下构件的破坏特征演化情况如图3所示。

由图3分析可知,构件处于弹性阶段时,中部表面应变随荷载增大呈线性增长且未出现裂缝,加载至0.17Nu时,构件中部截面受拉侧混凝土表面出现横向微裂缝(a);加载至0.62Nu时,构件处于裂缝发展阶段,受拉侧裂缝不断向受压侧水平向发展(b),宽度与深度也在不断增加;加载至0.82Nu时,受压侧混凝土表面出现竖向受压破坏裂缝(c),此时型钢受拉翼缘已屈服,符合大偏心受压破坏特征。
型钢与混凝土在自然黏结工况下构件大偏心加载的最终破坏形态及模式如图4所示。

由图4分析可知,在加载过程中,随着荷载的不断增加,构件受拉侧型钢翼缘保护层混凝土中部截面出现横向裂缝及竖向的贯通裂缝,混凝土与型钢之间发生滑移,造成其大面积脱落,而受压侧型钢受压翼缘保护层混凝土表面出现竖向贯通裂缝,型钢腹板侧表面受压区混凝土出现明显的压溃及贯通裂缝,加载后期,由于受拉侧、受压侧混凝土的滑移分离导致其已无法与型钢共同承载。
2.2 栓钉双排形布设工况
通过VIC-3D测量得到型钢腹板双排布设栓钉工况下构件的破坏特征演化情况如图5所示。

由图5分析可知,在加载初期构件受拉侧未出现裂缝,加载至0.23Nu时,构件中部截面受拉侧混凝土表面出现横向微裂缝(a),此时构件处于弹性阶段;随着荷载的持续增加,受拉侧混凝土不断出现新的水平裂缝,加载至0.72Nu时,受拉侧裂缝快速发展并向受压区延伸(b);加载至0.87Nu时,受压侧应力集中,混凝土截面出现竖向压溃裂缝(c),此时型钢受拉翼缘已屈服,符合大偏心受压破坏特征。
型钢腹板双排布设栓钉工况下构件大偏心加载的最终破坏形态及模式如图6所示。

由图6分析可知,相比自然黏结工况,双排布设栓钉工况下的构件在加载过程中受拉侧型钢翼缘保护层混凝土表面出现多条沿中部截面对称分布的横向裂缝,由于栓钉剪力件在一定程度上限制了型钢与混凝土界面之间发生滑移,裂缝没有更深入的发展,随着荷载的持续增大,构件受压侧型钢翼缘保护层混凝土表面出现竖向裂缝,而腹板侧表面靠近受压区混凝土出现压溃裂缝,但裂缝扩展范围小于自然黏结状态,加载后期由于栓钉剪力件的作用混凝土没有发生太大的侧向分离使得其与型钢仍能共同承载。
2.3 栓钉梅花形布设工况
通过VIC-3D测量得到型钢腹板梅花形布设栓钉工况下构件的破坏特征演化情况如图7所示。

由图7分析可知,加载初期构件未发生变化,受拉侧混凝土未出现裂缝,当加载至0.24Nu时,构件中部截面受拉侧混凝土表面出现横向微裂缝(a);随着荷载的持续增加,受拉裂缝不断水平向发展,并且其宽度和深度不断增加,加载至0.74Nu时,出现应力集中(b);加载至0.89Nu时,受拉侧中部混凝土出现滑移(c),构件整体的抗弯刚度减小,侧向挠度变形速度加快,而受压侧混凝土开始出现竖向受压破坏裂缝,应力集中在受压侧表面的中部区域,最终型钢受拉翼缘屈服,符合大偏心受压破坏特征。
型钢腹板梅花形布设栓钉工况下构件大偏心加载的最终破坏形态及模式如图8所示。

由图8分析可知,梅花形布设栓钉工况下的构件加载至最终受拉侧型钢翼缘保护层混凝土表面出现2条横向裂缝,由于型钢腹板区域梅花形布设栓钉增强了型钢受压翼缘至型钢腹板中心区域混凝土与型钢黏结性能,阻碍了受拉裂缝的水平发展,混凝土压溃裂缝没有发展至型钢腹板中部,相比自然黏结工况,混凝土与型钢协同工作的能力大幅提升,与双排布设栓钉构件的承载性能相比,梅花形布设栓钉的形式更为合理,构件整体的承载性能更好。
3 试验结果及分析
3.1 荷载-竖向位移曲线
3种工况下构件偏心受压加载的荷载-竖向位移曲线如图9所示。

由图9分析可知,3种工况下的构件在加载过程中其荷载-位移曲线常分为弹性变形阶段(OA段)、裂缝发展阶段(AB段)以及荷载下降阶段(BC段)。在弹性变形阶段时,3种工况下的荷载-位移均呈线性变化;而当构件进入裂缝发展阶段时,曲线的斜率都开始减小;当构件进入荷载下降阶段时,自然工况下与型钢腹板布设栓钉剪力件时下降趋势出现了不同。自然黏结工况下的构件由于混凝土与型钢之间发生大面积滑移,在达到极限承载力(B点)后,承载力的突然下降表明此时混凝土与型钢无法共同承载,后续加载过程中只有型钢单独承载使得承载力只有极限承载力的78%左右,并且承载力在持续降低,与实际隧道初期支护受力状况一致;而型钢腹板布设栓钉剪力件的构件,栓钉的存在极大增强了型钢腹板与混凝土接触界面抵抗滑移的能力,使得构件的整体承载力得到了提升,双排布设栓钉的构件加载后期的极限承载能力能维持在极限荷载的88%,而梅花形布设栓钉的构件后期的极限承载能力超过了极限荷载的90%,构件表现出较好的延性,整体承载力损失较小。
表3所示为试验所得3种工况下构件的极限承载力。分析可知相比自然黏结工况,型钢腹板双排及梅花形布设栓钉剪力件时极限承载力分别提升了14.83%和27.63%,因此布设栓钉剪力件后组合结构的整体承载性能得到了提升,作为隧道初期支护能更好地协同承载,其中根据构件的极限承载力的提升以及加载后期承载力的维持情况可知,隧道支护中型钢腹板栓钉剪力件采用梅花形布设方式承载性能更好。
试验 工况 | 栓钉布 设形式 | 试验极限承载力Nut/kN | 相比自然黏结/% |
|---|---|---|---|
| GK-1 | 自然黏结(无栓钉) | 442.21 | |
| GK-2 | 双排平行布设 | 507.83 | 14.83 |
| GK-3 | 梅花形布设 | 564.42 | 27.63 |
3.2 侧向挠度分析
3种工况下构件的侧向挠度曲线如图10所示,构件的最大侧向挠曲均发生在其中部位置。由图10(a)、图10(b)、图10(c)分析可知,在加载至极限荷载时,型钢与混凝土自然黏结时侧向挠度为12.857 mm,由于布设栓钉剪力件使型钢与混凝土接触界面抗剪性能得到了提升,栓钉双排布设与梅花形布设时侧向挠度分别为9.737 mm和8.373 mm,相比自然黏结工况侧向挠度分别减少了24.27%、34.81%。

由图10(d)分析可知,3种工况下构件的侧向挠度变化为GK-3<GK-2<GK-1,相同之处在于当荷载低于0.5Nu时,3种工况下的构件侧向变形随着荷载的增加呈线性增长,且变形较小;当荷载高于0.5Nu时,侧向挠度不再随着荷载的增加而线性变化,这时自然黏结工况下的型钢-混凝土构件受拉侧混凝土已开裂剥落,其侧向挠度迅速增长,型钢与混凝土已无法共同承载,当型钢腹板布设栓钉剪力件时,栓钉剪力件能够有效限制混凝土与型钢之间的黏结滑移,构件侧向挠度值相比自然黏结增长较慢,由于混凝土与型钢之间相对滑移较小,两者依然保持协同变形,当栓钉剪力件梅花形布设时能更好地约束腹板区域混凝土,其侧向挠度变化趋势相比栓钉剪力件双排布设减小。
3.3 混凝土与型钢截面应变分布
型钢与混凝土在自然黏结及型钢腹板双排、梅花形布设栓钉剪力件工况下结构截面应变με沿截面高度的变化情况如图11~图13所示。



由图11可知,自然黏结情况下的构件在加载初期型钢与混凝土截面应变沿高度方向基本呈线性分布,符合平截面假定,当荷载加到0.4Nu~0.5Nu时,截面应变不再线性变化,此时,型钢与混凝土接触界面已发生滑移,二者不再协同变形;由图12、图13分析可知,在型钢腹板布设栓钉剪力件后,一定程度上阻止了型钢与混凝土界面间的相对滑移,构件整体的承载能力得到加强,双排布设栓钉剪力件工况下加载至0.7Nu~0.8Nu时,型钢与混凝土截面应变沿高度方向仍为线性分布,表明其仍较好地满足平截面假定,而型钢腹板梅花形布设栓钉剪力件时构件加载至0.9Nu二者依然能协同变形,栓钉剪力件梅花形布设形式相较双排布设对组合结构整体承载能力的提高具有更好的效果。
4 极限承载力理论公式推导及验证
4.1 结构大偏心受压极限承载力计算
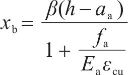
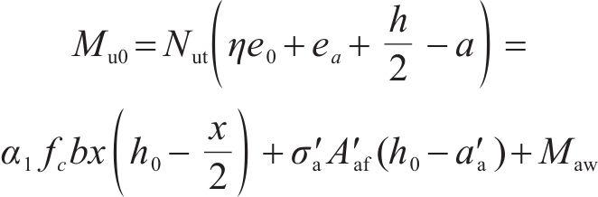
由于布设栓钉剪力件的型钢-混凝土构件在加载至0.90Nu时,型钢与混凝土仍能够保持协同变形,因此,为简化计算,认为在极限承载力计算过程中构件的截面应变始终符合平截面假定。基于平截面假定,分别考虑受压侧混凝土、型钢对构件正截面承载力的贡献,由于受拉区的混凝土及早地出现破坏,故不考虑其对承载力的贡献,确定型钢-混凝土组合结构破坏形态为大偏心受压破坏时,受拉区型钢翼缘屈服,受压区表面混凝土达到极限压应变,界面应变及应力分布如图14所示。其中εa为型钢翼缘应变,xb0为界限破坏时混凝土受压区高度,计算得到界限相对受压区高度xb为:


因此,当受压区高度x<xb时,型钢-混凝土组合结构发生大偏心受压破坏。
由于布设栓钉剪力件不会对极限承载力的计算产生影响,但能提高型钢与混凝土之间的黏结滑移性能,使二者在加载过程中能较好地保持协同工作,因此,在进行极限承载力计算公式推导时,引入栓钉剪力件布设形式对中和轴以上受压区混凝土承载性能的影响系数k1。
型钢-混凝土组合结构大偏心受压极限承载力计算简图如图15所示。

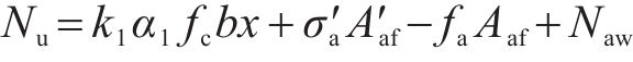
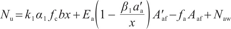
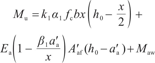
根据规范[26]可知,由力平衡、力矩平衡可得型钢-混凝土组合结构大偏心受压极限承载力计算公式为:


式中:k1为栓钉剪力件布设形式对中和轴以上受压区混凝土承载性能的影响系数;α1为受压区混凝土压应力影响系数;fc为混凝土轴心抗压强度设计值;fa为型钢抗拉强度设计值;Aaf、Aaf′分别为型钢受拉、受压翼缘的截面面积;Naw为型钢腹板承受的轴向合力;η为偏心距增大系数;e0为荷载偏心矩;ea为附加偏心距;h0为截面有效高度;Maw为型钢腹板承受的轴向合力对受拉或受压较小边型钢翼缘合力点的力矩。
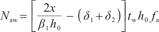
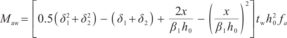
当中和轴位于型钢腹板之间,即δ1h0<x/β1<δ2h0且x<xb时,Naw与Maw的计算公式为:


式中:δ1和δ2分别为型钢腹板上端、下端至截面上边的距离与h0的比值;tw为型钢腹板厚度。
当型钢-混凝土组合结构受拉侧型钢翼缘屈服时,受压侧型钢分为屈服和未屈服2种情况,当受压侧型钢翼缘刚好达到屈服时,中轴位置
当


当


式中:fa、
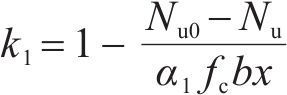
当考虑栓钉布设形式对中和轴以上受压区混凝土承载性能的影响时,将考虑k1的型钢-混凝土组合结构大偏心受压极限承载力Nu计算公式(2)与不产生黏结滑移受压理论极限承载力Nu0计算公式(10)联立,可推导出k1计算公式为:



通过对k1进行计算分析,确定在自然黏结工况下,k1取值为0.72;栓钉剪力件双排布设时,k1取值为0.84;栓钉剪力件梅花形布设时,k1取值为0.94。
4.2 极限承载力公式验证
将自然黏结以及型钢腹板双排形与梅花形布设栓钉工况下构件的试验参数代入公式(2)和公式(3),计算得到各组构件的极限承载力如表4所示。
| 试验工况 | 栓钉布设形式 | Nut/kN | Nu/kN | Nu/Nut | (Nu-Nut)/Nut/% |
|---|---|---|---|---|---|
| GK-1 | 自然黏结(无栓钉) | 442.21 | 454.676 | 1.028 | 2.8 |
| GK-2 | 双排平行布设 | 507.83 | 510.731 | 1.006 | 0.5 |
| GK-3 | 梅花形布设 | 564.42 | 571.135 | 1.011 | 1.2 |
由表4分析可知,各组构件的极限承载力理论计算结果略高于试验结果,计算值与实测值之比的平均值为 1.015,变异系数为0.01,且误差不超过5%,说明理论计算结果与实测值吻合度较好,所推导的极限承载力理论公式的计算精度较高。
5 结论
1) 自然黏结状态下的型钢-混凝土构件偏心加载时受拉、受压侧均会出现裂缝,混凝土与型钢界面发生相对滑移,混凝土剥落分离,构件整体协同工作性能较差;当型钢腹板布设栓钉剪力件时,阻止了型钢与混凝土界面的相对滑移,混凝土开裂及脱落得到了有效抑制,栓钉梅花形布设相比双排布设更是阻止了受拉侧裂缝向受压侧的延伸,型钢-混凝土组合构件的整体承载能力得到了较大提升。
2) 型钢与混凝土在自然黏结工况下其接触界面发生相对滑移,加载至极限荷载后承载力急剧下降,型钢与混凝土不能共同承载;当型钢腹板布设栓钉剪力件时,构件表现出较好的延性,相比自然黏结工况,构件的极限承载力提高且侧向挠度增长缓慢,构件栓钉双排布设与梅花形布设构件极限承载力分别提升了14.83%与27.63%,侧向挠度值分别减少了24.27%与30.21%,加载后期栓钉双排布设的构件承载力能维持在极限荷载的88%左右,而栓钉梅花形布设的构件承载力超过了极限荷载的90%。
3) 自然黏结工况下,当荷载达到0.4Nu时,构件中部截面型钢与混凝土不再满足平截面假定;型钢腹板双排布设栓钉剪力件时,加载至0.8Nu构件中部截面型钢与混凝土仍能较好地满足平截面假定,栓钉梅花形布设相比双排布设效果更好,加载至0.9Nu混凝土与型钢仍保持协同变形。通过试验分析可知栓钉剪力件梅花形布设时对于型钢-混凝土组合结构承载性能提升最优。
4) 基于平截面假定,推导极限承载力的理论计算公式,验证得到其具有较高的计算精度,可为隧道初期支护的设计提供参考。
王明胜,王奎,路军富等.隧道支护组合结构大偏心受压性能试验研究[J].铁道科学与工程学报,2025,22(03):1188-1201.
WANG Mingsheng,WANG Kui,LU Junfu,et al.Experimental study on large eccentric compression performance of tunnel support composite structure[J].Journal of Railway Science and Engineering,2025,22(03):1188-1201.

