锚固区作为预应力体系中传递预应力的关键部位,其受力特性直接关系到结构的安全[1-3]。扁型锚垫板作为预应力混凝土锚固区的重要装置,与圆型锚垫板相比对锚固截面厚度要求小,可避免设置锚固齿块、节约混凝土、减少造价、降低施工作业风险,在桥梁横向预应力锚固区、负弯矩预应力锚固区以及高层建筑的特殊部位中得到广泛应用[4]。此外,在预应力结构中,高孔位锚垫板相较于低孔位锚垫板可减少预应力管道和锚固区数量,从而提高施工效率、减少工程造价。然而,随着我国桥梁跨度增大、预应力提高,现有扁型锚垫板锚固能力不能完全满足工程需要,需要研究并开发高孔位扁型锚垫板以减少预应力管道、满足实际工程需求。以湖南某在建简支变连续梁桥的T梁为例,其设计负弯矩预应力约为 4 654 kN,若采用5孔扁型锚垫板进行锚固,每个锚垫板可锚固约967 kN预应力,因此,需设置5道预应力管道和锚固区。若能采用6孔扁型锚垫板,则可有效减少20%的预应力管道和锚固区数量,从而优化预应力布置,降低施工复杂度,提高施工效率。
国内外学者对预应力锚固区传力性能的研究主要采用试验研究、有限元分析和理论研究三类方法。其中,试验研究多采用钢承压板传递荷载[5-8],但其与锚下混凝土的实际受力情况存在一定差异,工程适用性较低。尽管有部分试验采用锚垫板传递荷载,但研究对象大多局限于圆型[9-12]和方型[13-15]锚垫板,对于扁型锚垫板的研究则仅限于1孔、3孔和5孔结构[16],目前尚未见到针对更高孔位结构的研究。有限元分析主要采用线弹性分析模型[17-20],虽能较好地模拟锚固区开裂以前的受力状态,但对于开裂后的裂缝扩展、变形行为以及极限承载力的预测能力不足。理论方面,LEI等[5]提出的不连续应力场模型、MARKIC等[6]提出的双锥和双楔应力场模型、SHEN等[20]提出的改进STM计算方法以及HE等[7]提出的锚固区开裂荷载计算公式等,为锚固区设计提供了较可靠的理论依据,但普遍忽略了锚垫板几何构造对锚固区受力性能的影响。
预应力锚固区通常由锚垫板、混凝土、螺旋筋和箍筋等构成,各组成部分在传力性能中的作用各有侧重。其中,锚垫板和混凝土直接影响锚固区的极限承载力和抗裂性能[21];螺旋筋主要提升锚固区的极限承载力[13],而箍筋在控制锚固区混凝土裂缝方面效果更好[14]。目前,提高预应力锚固区承载性能的研究多集中于材料更替方向,如将超高性能混凝土(UHPC)和纤维增强混凝土(FRC)应用于预应力锚固区[22-23]、使用铁基形状记忆合金(Fe-SMA)制成螺旋箍筋[24],或将传统铸造锚垫板改为焊接钢质锚垫板[10-11]。这些措施在提升承载性能和抗裂性能方面效果较好[25],但成本较高。而通过优化锚垫板的结构设计来改善锚固区的传力性能具有较大的经济效益。然而,目前关于锚垫板结构优化的研究较少,有待进一步深入探索。
针对以上问题,本文设计了6孔扁型锚垫板传力试件,采用ABAQUS建立非线性分析模型,从应力分布、承载能力及破坏形态等方面对其传力性能进行系统分析。结合试件试验验证有限元分析结果,评估采用现有6孔扁型锚垫板锚固6束预应力的可行性。在此基础上,进一步分析6孔扁型锚垫板喇叭管长度以及垫板的厚度与宽度对极限承载力的影响,以便为6孔扁型锚垫板的结构优化设计和工程化应用提供理论支持与技术指导。
1 有限元建模分析
1.1 传力试件设计
工程中广泛应用的扁型锚垫板(以下简称“扁锚”)最大孔数为5孔,现行规范尚未明确6孔扁锚的相关技术规格。通过大量调研发现,部分国内厂家基于经验设计了6孔扁锚结构,如图1所示。
2025年9期/10.11817j.issn.1672-7207.2025.09.023/alternativeImage/F9CE8FB3-657C-43a2-9D80-9E26DD32BFE3-F001.jpg)
根据现行规范,设计了图2所示的单端张拉形式的传力试件。试件长度h为800 mm、截面宽度a为420 mm、截面厚度b为200 mm。试件混凝土采用C50混凝土,箍筋、纵筋采用HRB400级钢筋,螺旋筋采用HPB300级钢筋,直径分别为12、12、8 mm。螺旋筋截面长×宽为210 mm×70 mm,共5圈。固定端锚固装置采用厚度为20 mm的Q235材质全截面钢板,张拉端锚固装置采用HT200材质铸造扁锚垫板(如图1所示),锚垫板嵌入混凝土中,喇叭管内径中心与试件截面中心重合。锚固6束1 860 MPa级预应力钢绞线,相应的预应力筋公称极限抗拉力2025年9期/10.11817j.issn.1672-7207.2025.09.023/alternativeImage/F9CE8FB3-657C-43a2-9D80-9E26DD32BFE3-M001.jpg)
2025年9期/10.11817j.issn.1672-7207.2025.09.023/alternativeImage/F9CE8FB3-657C-43a2-9D80-9E26DD32BFE3-F002.jpg)
1.2 模型建立与网格划分
基于ABAQUS建立有限元分析模型,见图3。综合考虑锚下混凝土、扁锚、纵向钢筋、箍筋和螺旋筋等部件。宋力等[26-27]采用嵌入区域(embedded region)方法模拟钢筋与混凝土的相互作用,得到了较精确结果,较好地模拟了钢筋与混凝土之间的实际相互作用,因此,钢筋与混凝土相互作用采用此方法模拟。而锚垫板与混凝土的接触行为较复杂,涉及摩擦作用、机械咬合力、化学胶结力等因素,完全模拟实际接触状态存在一定的困难。现有研究一般采用摩擦接触和Tie约束2种方式。经过对比这2种接触方式的模拟结果,最终选用与实际接触状态吻合度更高的Tie约束方法。加载采用位移控制、线性加载,作用区域为实际张拉时锚垫板与锚板接触部位。
2025年9期/10.11817j.issn.1672-7207.2025.09.023/alternativeImage/F9CE8FB3-657C-43a2-9D80-9E26DD32BFE3-F003.jpg)
混凝土和锚垫板的形状复杂且不规则,使用四面体网格进行计算时,往往存在收敛性差和计算精度难以保证的问题[28]。而六面体网格能够提高计算精度和稳定性,尤其在模拟材料的非均匀分布和复杂应力状态时效果更好。因此,本研究将混凝土和锚垫板划分为六面体网格进行计算,以提高模型的精度和稳定性。
在网格尺寸的选择上,网格尺寸越小,计算精度越高,但计算效率会随之下降。对于薄壁结构的扁型锚垫板,其厚度方向至少应保证有2层实体单元。经过试算,当网格尺寸设定为3 mm时,计算精度较高,进一步降低网格尺寸,计算结果基本保持不变,表明网格尺寸3 mm可足够保证 计算精度。对于混凝土,当网格尺寸在10~20 mm范围内时,计算结果基本一致;当网格尺寸低于10 mm时,模型的计算难以收敛。因此,最终确定混凝土的网格尺寸为15 mm。
在钢筋的模拟中,由于钢筋为细长结构,采用三维杆单元(T3D2)能够有效地模拟其轴向行为,进而提高计算效率。为了保证计算一致性,钢筋的网格尺寸设置为15 mm。
最终划分完成的混凝土部件网格尺寸为15 mm,共计21 494个节点、18 284个C3D8R单元;扁锚部件网格尺寸为3 mm,共计33 063个节点、 22 684个C3D8R单元,纵向钢筋、箍筋及螺旋筋网格尺寸为15 mm,共计1 450个节点、1 546个T3D2单元。
1.3 材料本构模型
钢筋、混凝土、锚垫板材料的密度、弹性模量和泊松比等均按规范JTG 3362—2018和GB/T 9439—2023取值。钢筋、锚垫板材料采用理想弹塑性本构模型,混凝土引入考虑塑性破坏阶段的损伤塑性本构模型,见图4。基本参数参照文献[27]取值,膨胀角为30°,偏心率为0.1,混凝土双轴抗压强度与单轴抗压强度的比值为1.16,混凝土屈服形态的影响参数为0.667,黏性参数为5×10-5。这些参数是混凝土结构在进行损伤塑性非线性分析时的常用值,且文献[27]按此参数得到的锚固区局部承压性能理论分析结果与试验结果较吻合,证明了采用该参数进行锚固区局部承压性能分析的适用性。采用GB 50010—2010中C.2.3节与C.2.4节中推荐的混凝土应力-应变关系公式,代入实测的立方体抗压强度,得到混凝土拉压应力-应变关系曲线。混凝土损伤参数D按2025年9期/10.11817j.issn.1672-7207.2025.09.023/alternativeImage/F9CE8FB3-657C-43a2-9D80-9E26DD32BFE3-M002.jpg)
2025年9期/10.11817j.issn.1672-7207.2025.09.023/alternativeImage/F9CE8FB3-657C-43a2-9D80-9E26DD32BFE3-M003.jpg)
2025年9期/10.11817j.issn.1672-7207.2025.09.023/alternativeImage/F9CE8FB3-657C-43a2-9D80-9E26DD32BFE3-M004.jpg)
2025年9期/10.11817j.issn.1672-7207.2025.09.023/alternativeImage/F9CE8FB3-657C-43a2-9D80-9E26DD32BFE3-F004.jpg)
1.4 计算结果分析
加载至773 kN时,混凝土开裂,混凝土的主拉应力分布如图5(a)所示,开裂位置位于宽侧表面中部,距加载端约试件一半厚度处。
2025年9期/10.11817j.issn.1672-7207.2025.09.023/alternativeImage/F9CE8FB3-657C-43a2-9D80-9E26DD32BFE3-F005.jpg)
图5(b)所示为极限荷载下混凝土的受拉损伤云图。从图5(b)可见:当模型加载至极限荷载时,距加载端2025年9期/10.11817j.issn.1672-7207.2025.09.023/alternativeImage/F9CE8FB3-657C-43a2-9D80-9E26DD32BFE3-M005.jpg)
图5(c)所示为加载过程中的轴向压缩-荷载变化曲线。从图5(c)可见:在混凝土开裂前,荷载与轴向压缩变形呈近似线性关系;开裂后,试件进入弹塑性阶段;当荷载达到1 090.16 kN时,随着轴向压缩变形进一步增加,荷载开始下降。有限元计算的极限承载力2025年9期/10.11817j.issn.1672-7207.2025.09.023/alternativeImage/F9CE8FB3-657C-43a2-9D80-9E26DD32BFE3-M006.jpg)
在加载过程中,钢筋应力随荷载上升逐步增大,螺旋筋和箍筋主要受拉,纵筋主要受压,且螺旋筋应力高于箍筋和纵筋应力;距离加载端约2025年9期/10.11817j.issn.1672-7207.2025.09.023/alternativeImage/F9CE8FB3-657C-43a2-9D80-9E26DD32BFE3-M007.jpg)
极限荷载下锚垫板主拉、主压应力分布分别见图5(f)和图5(g),最大主拉应力出现在锚垫板承压面边缘区域,在喇叭管上主要表现为压应力,且越靠近加载端,应力越高。HT200属于脆性材料,其抗压强度为抗拉强度的数倍,其失效行为依据第一强度理论进行判定。在极限荷载作用下,垫板承压面边缘处最大拉应力显著超过HT200材料的允许拉应力,表明该部位已经开裂。同时,喇叭管也出现了向管道内侧的凹陷变形。
2 循环加载试验
按1.1节中试件尺寸和构造制作编号分别为A-1、A-2和A-3的3个传力试件进行循环加载试验。
2.1 加载方案
规范GB/T 14370—2015要求混凝土锚固区的传力性能试验采用循环加载方式加载,并规定加载速率不得超过100 MPa/min。本试验采用智能整体张拉设备进行分级循环加载。分级循环加载曲线见图6,其中,Fi为某级循环荷载上限,n为循环次数,加载速率取1.35 kN/s。规范要求6束预应力筋循环荷载上限为1 241 kN,由于在前期的有限元分析结果中试件极限承载力未达到此上限,为了更好地测量不同荷载下试件的应力分布,采用五级循环加载,荷载上限Fi(i=1,2,…,5)分别设为2025年9期/10.11817j.issn.1672-7207.2025.09.023/alternativeImage/F9CE8FB3-657C-43a2-9D80-9E26DD32BFE3-M008.jpg)
2025年9期/10.11817j.issn.1672-7207.2025.09.023/alternativeImage/F9CE8FB3-657C-43a2-9D80-9E26DD32BFE3-M009.jpg)
2025年9期/10.11817j.issn.1672-7207.2025.09.023/alternativeImage/F9CE8FB3-657C-43a2-9D80-9E26DD32BFE3-M010.jpg)
2025年9期/10.11817j.issn.1672-7207.2025.09.023/alternativeImage/F9CE8FB3-657C-43a2-9D80-9E26DD32BFE3-M011.jpg)
2025年9期/10.11817j.issn.1672-7207.2025.09.023/alternativeImage/F9CE8FB3-657C-43a2-9D80-9E26DD32BFE3-M012.jpg)
2025年9期/10.11817j.issn.1672-7207.2025.09.023/alternativeImage/F9CE8FB3-657C-43a2-9D80-9E26DD32BFE3-F006.jpg)
2.2 测点布置与测试内容
由于混凝土在受力过程中具有较强的非线性特征,传统的试验方法难以直接测量混凝土内部的应力分布,在试件内部布置过多测试点会影响其承载能力,因此,在试验过程中,主要测量各级循环荷载作用下试件侧面的裂缝宽度和长度以及螺旋筋、箍筋、纵筋和锚垫板部分位置的应变。测点位置如图7所示。同时,记录试件的开裂荷载、破坏位置、破坏形态及极限承载力2025年9期/10.11817j.issn.1672-7207.2025.09.023/alternativeImage/F9CE8FB3-657C-43a2-9D80-9E26DD32BFE3-M013.jpg)
2025年9期/10.11817j.issn.1672-7207.2025.09.023/alternativeImage/F9CE8FB3-657C-43a2-9D80-9E26DD32BFE3-F007.jpg)
2.3 试验结果
在试验加载过程中,试件从裂缝初始形成到逐步扩展直至破坏,大致经历以下几个阶段。
1) 在荷载低于800 kN循环阶段,在试件表面未观察到可见裂缝,结构整体呈弹性状态,试件能够承受荷载而未发生明显损伤。
2) 在800 kN荷载循环阶段,试件左或右侧表面开始出现裂缝,主要表现为垂直于加载面出现竖向劈裂裂缝,裂缝位置大多集中在左、右侧表面中心距加载端面2025年9期/10.11817j.issn.1672-7207.2025.09.023/alternativeImage/F9CE8FB3-657C-43a2-9D80-9E26DD32BFE3-M007.jpg)
3) 在1 000 kN荷载循环阶段,试件上侧表面和加载端面开始出现裂缝。试件侧表面的裂缝逐渐与加载端面的裂缝连通,加载端面主要出现平行加载面的横向裂缝、次生竖向裂缝及斜裂缝,其中,斜裂缝宽度显著高于其他类型裂缝的宽度。试件开始出现沿左或右侧面方向的剥裂破坏形态。
4) 在1 100 kN荷载循环阶段,试件发生破坏,主要破坏特征见图8、图9。从图8和图9可见试样主要破坏包括:试件左、右侧面出现竖向劈裂裂缝、斜向剥裂裂缝;加载端面出现斜裂缝和端部横向裂缝;右侧面距加载端2025年9期/10.11817j.issn.1672-7207.2025.09.023/alternativeImage/F9CE8FB3-657C-43a2-9D80-9E26DD32BFE3-M015.jpg)
2025年9期/10.11817j.issn.1672-7207.2025.09.023/alternativeImage/F9CE8FB3-657C-43a2-9D80-9E26DD32BFE3-F008.jpg)
2025年9期/10.11817j.issn.1672-7207.2025.09.023/alternativeImage/F9CE8FB3-657C-43a2-9D80-9E26DD32BFE3-F009.jpg)
规范JTG 3362—2018给出的锚固区极限承载力2025年9期/10.11817j.issn.1672-7207.2025.09.023/alternativeImage/F9CE8FB3-657C-43a2-9D80-9E26DD32BFE3-M016.jpg)
2025年9期/10.11817j.issn.1672-7207.2025.09.023/alternativeImage/F9CE8FB3-657C-43a2-9D80-9E26DD32BFE3-M017.jpg)
2025年9期/10.11817j.issn.1672-7207.2025.09.023/alternativeImage/F9CE8FB3-657C-43a2-9D80-9E26DD32BFE3-M018.jpg)
2025年9期/10.11817j.issn.1672-7207.2025.09.023/alternativeImage/F9CE8FB3-657C-43a2-9D80-9E26DD32BFE3-M019.jpg)
2025年9期/10.11817j.issn.1672-7207.2025.09.023/alternativeImage/F9CE8FB3-657C-43a2-9D80-9E26DD32BFE3-M020.jpg)
式中:2025年9期/10.11817j.issn.1672-7207.2025.09.023/alternativeImage/F9CE8FB3-657C-43a2-9D80-9E26DD32BFE3-M021.jpg)
2025年9期/10.11817j.issn.1672-7207.2025.09.023/alternativeImage/F9CE8FB3-657C-43a2-9D80-9E26DD32BFE3-M022.jpg)
2025年9期/10.11817j.issn.1672-7207.2025.09.023/alternativeImage/F9CE8FB3-657C-43a2-9D80-9E26DD32BFE3-M023.jpg)
2025年9期/10.11817j.issn.1672-7207.2025.09.023/alternativeImage/F9CE8FB3-657C-43a2-9D80-9E26DD32BFE3-M024.jpg)
2025年9期/10.11817j.issn.1672-7207.2025.09.023/alternativeImage/F9CE8FB3-657C-43a2-9D80-9E26DD32BFE3-M025.jpg)
2025年9期/10.11817j.issn.1672-7207.2025.09.023/alternativeImage/F9CE8FB3-657C-43a2-9D80-9E26DD32BFE3-M026.jpg)
2025年9期/10.11817j.issn.1672-7207.2025.09.023/alternativeImage/F9CE8FB3-657C-43a2-9D80-9E26DD32BFE3-M027.jpg)
2025年9期/10.11817j.issn.1672-7207.2025.09.023/alternativeImage/F9CE8FB3-657C-43a2-9D80-9E26DD32BFE3-M028.jpg)
2025年9期/10.11817j.issn.1672-7207.2025.09.023/alternativeImage/F9CE8FB3-657C-43a2-9D80-9E26DD32BFE3-M029.jpg)
2025年9期/10.11817j.issn.1672-7207.2025.09.023/alternativeImage/F9CE8FB3-657C-43a2-9D80-9E26DD32BFE3-M030.jpg)
2025年9期/10.11817j.issn.1672-7207.2025.09.023/alternativeImage/F9CE8FB3-657C-43a2-9D80-9E26DD32BFE3-M031.jpg)
2025年9期/10.11817j.issn.1672-7207.2025.09.023/alternativeImage/F9CE8FB3-657C-43a2-9D80-9E26DD32BFE3-M032.jpg)
2025年9期/10.11817j.issn.1672-7207.2025.09.023/alternativeImage/F9CE8FB3-657C-43a2-9D80-9E26DD32BFE3-M033.jpg)
2025年9期/10.11817j.issn.1672-7207.2025.09.023/alternativeImage/F9CE8FB3-657C-43a2-9D80-9E26DD32BFE3-M034.jpg)
规范GB/T 14370—2015要求需达到的极限承载力2025年9期/10.11817j.issn.1672-7207.2025.09.023/alternativeImage/F9CE8FB3-657C-43a2-9D80-9E26DD32BFE3-M035.jpg)
2025年9期/10.11817j.issn.1672-7207.2025.09.023/alternativeImage/F9CE8FB3-657C-43a2-9D80-9E26DD32BFE3-M036.jpg)
式中:2025年9期/10.11817j.issn.1672-7207.2025.09.023/alternativeImage/F9CE8FB3-657C-43a2-9D80-9E26DD32BFE3-M037.jpg)
2025年9期/10.11817j.issn.1672-7207.2025.09.023/alternativeImage/F9CE8FB3-657C-43a2-9D80-9E26DD32BFE3-M038.jpg)
各试件混凝土强度2025年9期/10.11817j.issn.1672-7207.2025.09.023/alternativeImage/F9CE8FB3-657C-43a2-9D80-9E26DD32BFE3-M037.jpg)
2025年9期/10.11817j.issn.1672-7207.2025.09.023/alternativeImage/F9CE8FB3-657C-43a2-9D80-9E26DD32BFE3-M040.jpg)
2025年9期/10.11817j.issn.1672-7207.2025.09.023/alternativeImage/F9CE8FB3-657C-43a2-9D80-9E26DD32BFE3-M013.jpg)
2025年9期/10.11817j.issn.1672-7207.2025.09.023/alternativeImage/F9CE8FB3-657C-43a2-9D80-9E26DD32BFE3-M042.jpg)
| 编号 | fcm,e/MPa | Fcr/kN | ![]() | ![]() | Fcr/S | ![]() | ![]() | 裂缝宽度/mm | |||
|---|---|---|---|---|---|---|---|---|---|---|---|
| 800 kN | 900 kN | 1 000 kN | 1 100 kN | ||||||||
| A-1 | 37.1 | 800 | 765 | 900 | 0.63 | 0.60 | 0.71 | 0.10 | 0.30 | — | — |
| A-2 | 45.9 | 800 | 880 | 1 100 | 0.51 | 0.56 | 0.70 | 0.06 | 0.08 | 0.15 | — |
| A-3 | 45.9 | 800 | 880 | 1 100 | 0.51 | 0.56 | 0.70 | 0.01 | 0.11 | 0.25 | 0.45 |
分析表1试验结果并结合有限元计算结果可知:1) A-1试件因混凝土强度较低,其极限承载力显著比其他试件的低;2) 有限元分析计算的极限承载力相较于试验结果偏低约0.9%,两者均高于规范公式计算值;3) 有限元分析计算的开裂荷载与试验结果相比偏低约3.4%;4) 3个试件的极限承载力仅达到规范要求的70%,无法满足6束预应力筋张拉的要求;5) 随着荷载逐级增加,裂缝宽度迅速增大,试件表现出脆性破坏特征;6) 试验中,3个传力试件破坏模式一致,且极限承载力试验值2025年9期/10.11817j.issn.1672-7207.2025.09.023/alternativeImage/F9CE8FB3-657C-43a2-9D80-9E26DD32BFE3-M043.jpg)
选取A-3试件实测应变与模拟计算曲线进行对比,结果如图10所示。图10中,试验应变为对应荷载级下历次循环峰值应变。从图10可见:混凝土开裂以前,各测点处应变随荷载上升基本呈现线性增大;混凝土开裂以后,应变随荷载上升非线性变化特征,且在同一荷载等级下,随着荷载循环次数增加,应变增量逐步增大。有限元分析和试验测试的应变发展、分布规律基本一致;锚垫板上S3测点处应变较高,在达到HT200材料屈服应变之前,该位置处应变有限元计算值与试验测试值较吻合;达到屈服应变之后,实测应变相比于有限元分析结果偏大。由于锚垫板与混凝土紧密贴合,锚垫板达到屈服应变到试件发生整体破坏之前,屈服点处仍具有一定的塑性变形能力,而在有限元模拟中,未考虑锚垫板材料塑性本构,这是导致两者在塑性阶段应变产生误差的主要原因,但对整体结果影响不大。
2025年9期/10.11817j.issn.1672-7207.2025.09.023/alternativeImage/F9CE8FB3-657C-43a2-9D80-9E26DD32BFE3-F010.jpg)
综上所述,有限元分析结果与试验结果相比,极限承载力偏低约0.9%,开裂荷载偏低约3.4%,应变发展与分布规律基本一致。有限元模型的误差可能源于未考虑锚垫板材料的塑性本构关系、模型中未考虑加劲肋和灌浆孔的影响,也未考虑混凝土材料性能的空间不均匀性等因素。但整体上,有限元分析结果误差较小,验证了该有限元分析模型的准确性。
3 6孔扁锚锚固区极限承载力修正
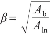
由表1可知,现行规范公式(1)计算的6孔扁锚锚固区极限承载力相较于试验结果偏于保守,在实际工程中可能导致过度冗余设计,对单个锚固区锚固能力估计不足而增加锚固区和预应力管道数量,显著降低工程经济性。现行规范中的锚固区极限承载力计算公式是基于普通垫板加载试验和工程经验建立的,对于设置有喇叭管的锚垫板,并未充分考虑垫板厚度、宽度和喇叭管高度的影响。此外,锚孔间距的变化可能会影响应力分布,从而改变锚固区的受力状态;喇叭管的形状也可能影响荷载的传递路径并导致局部应力集中。本研究主要针对既有6孔扁型锚垫板进行研究,其锚孔间距一般是固定不变的,喇叭管形状也与工程中广泛使用的扁型锚垫板形状相一致,因此,对垫板的宽度、厚度及喇叭管高度等主要参数对锚固区承载性能的影响进行研究。
在实际工程中,锚垫板承受由锚板传来的荷载并将其传递到混凝土中。应力扩散如图11所示。锚垫板承载面在其垫板厚度2025年9期/10.11817j.issn.1672-7207.2025.09.023/alternativeImage/F9CE8FB3-657C-43a2-9D80-9E26DD32BFE3-M048.jpg)
2025年9期/10.11817j.issn.1672-7207.2025.09.023/alternativeImage/F9CE8FB3-657C-43a2-9D80-9E26DD32BFE3-M049.jpg)
2025年9期/10.11817j.issn.1672-7207.2025.09.023/alternativeImage/F9CE8FB3-657C-43a2-9D80-9E26DD32BFE3-M050.jpg)
2025年9期/10.11817j.issn.1672-7207.2025.09.023/alternativeImage/F9CE8FB3-657C-43a2-9D80-9E26DD32BFE3-M051.jpg)
2025年9期/10.11817j.issn.1672-7207.2025.09.023/alternativeImage/F9CE8FB3-657C-43a2-9D80-9E26DD32BFE3-M052.jpg)
2025年9期/10.11817j.issn.1672-7207.2025.09.023/alternativeImage/F9CE8FB3-657C-43a2-9D80-9E26DD32BFE3-M053.jpg)
2025年9期/10.11817j.issn.1672-7207.2025.09.023/alternativeImage/F9CE8FB3-657C-43a2-9D80-9E26DD32BFE3-M028.jpg)
2025年9期/10.11817j.issn.1672-7207.2025.09.023/alternativeImage/F9CE8FB3-657C-43a2-9D80-9E26DD32BFE3-M050.jpg)
2025年9期/10.11817j.issn.1672-7207.2025.09.023/alternativeImage/F9CE8FB3-657C-43a2-9D80-9E26DD32BFE3-M056.jpg)
2025年9期/10.11817j.issn.1672-7207.2025.09.023/alternativeImage/F9CE8FB3-657C-43a2-9D80-9E26DD32BFE3-M057.jpg)
2025年9期/10.11817j.issn.1672-7207.2025.09.023/alternativeImage/F9CE8FB3-657C-43a2-9D80-9E26DD32BFE3-M051.jpg)
2025年9期/10.11817j.issn.1672-7207.2025.09.023/alternativeImage/F9CE8FB3-657C-43a2-9D80-9E26DD32BFE3-M059.jpg)
2025年9期/10.11817j.issn.1672-7207.2025.09.023/alternativeImage/F9CE8FB3-657C-43a2-9D80-9E26DD32BFE3-F011.jpg)
2025年9期/10.11817j.issn.1672-7207.2025.09.023/alternativeImage/F9CE8FB3-657C-43a2-9D80-9E26DD32BFE3-F012.jpg)
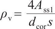
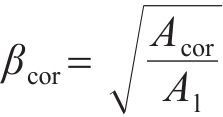
由式(1)可知,混凝土对锚固区极限承载力的贡献值为2025年9期/10.11817j.issn.1672-7207.2025.09.023/alternativeImage/F9CE8FB3-657C-43a2-9D80-9E26DD32BFE3-M060.jpg)
2025年9期/10.11817j.issn.1672-7207.2025.09.023/alternativeImage/F9CE8FB3-657C-43a2-9D80-9E26DD32BFE3-M061.jpg)
2025年9期/10.11817j.issn.1672-7207.2025.09.023/alternativeImage/F9CE8FB3-657C-43a2-9D80-9E26DD32BFE3-M062.jpg)
2025年9期/10.11817j.issn.1672-7207.2025.09.023/alternativeImage/F9CE8FB3-657C-43a2-9D80-9E26DD32BFE3-M063.jpg)
| 编号 | 6孔扁锚参数 | ![]() | ![]() | ![]() | ||||
|---|---|---|---|---|---|---|---|---|
| bs/mm | t/mm | hb/mm | ![]() | ![]() | ||||
| A0 | 70 | 12 | 180 | 1.00 | 3.6 | 880 | 1 090 | 1.33 |
| A1 | 80 | 12 | 180 | 0.93 | 3.6 | 1 032 | 1 243 | 1.28 |
| A2 | 90 | 12 | 180 | 0.82 | 3.6 | 1 184 | 1 406 | 1.26 |
| A3 | 100 | 12 | 180 | 0.74 | 3.6 | 1 336 | 1 545 | 1.22 |
| A4 | 80 | 15 | 180 | 1.00 | 3.6 | 1 032 | 1 279 | 1.33 |
| A5 | 90 | 20 | 180 | 1.00 | 3.6 | 1 184 | 1476 | 1.34 |
| A6 | 100 | 25 | 180 | 1.00 | 3.6 | 1 336 | 1 683 | 1.36 |
| A7 | 70 | 12 | 0 | 1.00 | 0.0 | 880 | 873 | 0.99 |
| A8 | 70 | 10 | 0 | 1.00 | 0.0 | 880 | 869 | 0.98 |
| A9 | 80 | 12 | 0 | 0.93 | 0.0 | 1 032 | 993 | 0.95 |
| A10 | 90 | 12 | 0 | 0.82 | 0.0 | 1 184 | 1 122 | 0.93 |
| A11 | 100 | 12 | 0 | 0.74 | 0.0 | 1 336 | 1 235 | 0.89 |
| A12 | 70 | 12 | 50 | 1.00 | 1.0 | 880 | 936 | 1.09 |
| A13 | 70 | 12 | 100 | 1.00 | 2.0 | 880 | 993 | 1.18 |
| A14 | 70 | 12 | 150 | 1.00 | 3.0 | 880 | 1 057 | 1.28 |
| A15 | 70 | 12 | 200 | 1.00 | 4.0 | 880 | 1 112 | 1.37 |
| A16 | 70 | 12 | 250 | 1.00 | 5.0 | 880 | 1 235 | 1.56 |
| A17 | 70 | 12 | 300 | 1.00 | 6.0 | 880 | 1 285 | 1.64 |
从表2可见:锚固区极限承载力随着垫板宽度、厚度和喇叭管高度的增大而增大;当不设置喇叭管时,锚固区极限承载力的规范计算值与有限元计算值相差不大,但当2025年9期/10.11817j.issn.1672-7207.2025.09.023/alternativeImage/F9CE8FB3-657C-43a2-9D80-9E26DD32BFE3-M069.jpg)
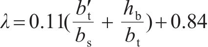
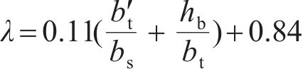
为进一步研究垫板宽度、厚度、喇叭管高度对锚固区极限承载力的影响,将表2中的数据进行线性拟合,结果如图13所示。2025年9期/10.11817j.issn.1672-7207.2025.09.023/alternativeImage/F9CE8FB3-657C-43a2-9D80-9E26DD32BFE3-M070.jpg)
2025年9期/10.11817j.issn.1672-7207.2025.09.023/alternativeImage/F9CE8FB3-657C-43a2-9D80-9E26DD32BFE3-M071.jpg)
2025年9期/10.11817j.issn.1672-7207.2025.09.023/alternativeImage/F9CE8FB3-657C-43a2-9D80-9E26DD32BFE3-M072.jpg)
式中:系数0.11和常数0.84均为线性拟合常数。
2025年9期/10.11817j.issn.1672-7207.2025.09.023/alternativeImage/F9CE8FB3-657C-43a2-9D80-9E26DD32BFE3-M073.jpg)
2025年9期/10.11817j.issn.1672-7207.2025.09.023/alternativeImage/F9CE8FB3-657C-43a2-9D80-9E26DD32BFE3-M074.jpg)
2025年9期/10.11817j.issn.1672-7207.2025.09.023/alternativeImage/F9CE8FB3-657C-43a2-9D80-9E26DD32BFE3-F013.jpg)
2025年9期/10.11817j.issn.1672-7207.2025.09.023/alternativeImage/F9CE8FB3-657C-43a2-9D80-9E26DD32BFE3-M076.jpg)
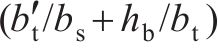
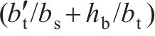
定义2025年9期/10.11817j.issn.1672-7207.2025.09.023/alternativeImage/F9CE8FB3-657C-43a2-9D80-9E26DD32BFE3-M077.jpg)
2025年9期/10.11817j.issn.1672-7207.2025.09.023/alternativeImage/F9CE8FB3-657C-43a2-9D80-9E26DD32BFE3-M078.jpg)
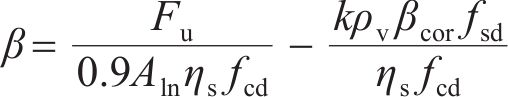
将式(1)与式(7)、式(8)联立可得6孔扁锚锚固区极限承载力修正计算公式为
2025年9期/10.11817j.issn.1672-7207.2025.09.023/alternativeImage/F9CE8FB3-657C-43a2-9D80-9E26DD32BFE3-M079.jpg)
式(9)为考虑6孔扁锚垫板厚度、垫板宽度以及喇叭管高度影响的锚固区极限承载力修正计算公式。式中除本文所定义的参数外,其余参数均按照现行规范JTG 3362—2018的取值要求确定。
式(9)中,2025年9期/10.11817j.issn.1672-7207.2025.09.023/alternativeImage/F9CE8FB3-657C-43a2-9D80-9E26DD32BFE3-M023.jpg)
| 编号 | fcm,e/MPa | 6孔扁锚试验试件参数 | 极限承载力/kN | ||||||
|---|---|---|---|---|---|---|---|---|---|
| bs/mm | t/mm | hb/mm | ![]() | ![]() | 试验测试值 | 规范计算值 | 修正公式计算值 | ||
| A-1 | 37.1 | 70 | 12 | 180 | 1.00 | 3.6 | 900 | 765 | 948 |
| A-2 | 45.9 | 70 | 12 | 180 | 1.00 | 3.6 | 1 100 | 880 | 1 103 |
| A-3 | 45.9 | 70 | 12 | 180 | 1.00 | 3.6 | 11 00 | 880 | 1 103 |
在使用式(9)进行6孔扁锚结构设计时,应在垫板上增设加劲肋,以有效扩散承载面集中应力,提升锚固区的安全应力储备。加劲肋设置位置可参照有限元分析结果中的锚垫板主拉应力云图,在垫板上主拉应力集中处按平行于垫板长度方向设置,与喇叭管管壁连接。加劲肋高度和厚度不宜过大(高度不超过灌浆孔高度,厚度一般为5~ 10 mm),以免影响锚固区混凝土浇筑质量。
在实际施工中,振捣不充分、养护不到位等因素可能会影响混凝土的密实性、强度发展以及裂缝控制,从而间接影响锚垫板的传力性能和极限承载力。因此,必须重视混凝土的浇筑质量和养护过程,以确保其性能的充分发挥。
4 结论
1) 6孔扁型锚垫板传力试件的有限元分析结果与试验结果较吻合,开裂荷载和极限承载力分别低于试验结果约3.4%和0.9%,建立的有限元分析模型能较好地模拟试件的实际受力状态。
2) 采用既有6孔扁型锚垫板制作的传力试件,其极限承载力仅达到规范GBT 14370—2015要求的70%,不满足6束预应力整体张拉的要求,锚垫板结构需进一步优化。
3) 6孔扁锚锚固区极限承载力随着垫板宽度、垫板厚度和喇叭管高度的增大而增加。当不设置喇叭管时,锚固区极限承载力的规范计算值与有限元计算值相差不大,但当混凝土承载面宽度2025年9期/10.11817j.issn.1672-7207.2025.09.023/alternativeImage/F9CE8FB3-657C-43a2-9D80-9E26DD32BFE3-M083.jpg)
2025年9期/10.11817j.issn.1672-7207.2025.09.023/alternativeImage/F9CE8FB3-657C-43a2-9D80-9E26DD32BFE3-M084.jpg)
4) 考虑6孔扁锚垫板宽度、厚度和喇叭管高度的锚固区极限承载力修正系数为2025年9期/10.11817j.issn.1672-7207.2025.09.023/alternativeImage/F9CE8FB3-657C-43a2-9D80-9E26DD32BFE3-M085.jpg)
潘权, 代东明, 白雪, 等. 6孔扁型锚垫板传力性能及其锚固区极限承载力研究[J]. 中南大学学报(自然科学版), 2025, 56(9): 3835-3846.
PAN Quan, DAI Dongming, BAI Xue, et al. Study on load transfer performance of six-hole flat anchorage plates and ultimate bearing capacity of their anchorage zones[J]. Journal of Central South University(Science and Technology), 2025, 56(9): 3835-3846.
http://dx.doi.org/10.11817/j.issn.1672-7207.2025.09.023


2025年9期/10.11817j.issn.1672-7207.2025.09.023/alternativeImage/F9CE8FB3-657C-43a2-9D80-9E26DD32BFE3-M044.jpg)
2025年9期/10.11817j.issn.1672-7207.2025.09.023/alternativeImage/F9CE8FB3-657C-43a2-9D80-9E26DD32BFE3-M045.jpg)
2025年9期/10.11817j.issn.1672-7207.2025.09.023/alternativeImage/F9CE8FB3-657C-43a2-9D80-9E26DD32BFE3-M046.jpg)
2025年9期/10.11817j.issn.1672-7207.2025.09.023/alternativeImage/F9CE8FB3-657C-43a2-9D80-9E26DD32BFE3-M047.jpg)
2025年9期/10.11817j.issn.1672-7207.2025.09.023/alternativeImage/F9CE8FB3-657C-43a2-9D80-9E26DD32BFE3-M064.jpg)
2025年9期/10.11817j.issn.1672-7207.2025.09.023/alternativeImage/F9CE8FB3-657C-43a2-9D80-9E26DD32BFE3-M065.jpg)
2025年9期/10.11817j.issn.1672-7207.2025.09.023/alternativeImage/F9CE8FB3-657C-43a2-9D80-9E26DD32BFE3-M066.jpg)
2025年9期/10.11817j.issn.1672-7207.2025.09.023/alternativeImage/F9CE8FB3-657C-43a2-9D80-9E26DD32BFE3-M067.jpg)
2025年9期/10.11817j.issn.1672-7207.2025.09.023/alternativeImage/F9CE8FB3-657C-43a2-9D80-9E26DD32BFE3-M068.jpg)
2025年9期/10.11817j.issn.1672-7207.2025.09.023/alternativeImage/F9CE8FB3-657C-43a2-9D80-9E26DD32BFE3-M080.jpg)