钢框架结构因其质量小、强度高、材质均匀、施工便捷,便于工厂化生产等优点已成为现代建筑结构的主要形式之一,但由于钢材耐火性能较差,钢框架结构在火灾、爆炸以及两者联合作用下易发生连续倒塌的情况,对此,学者们对钢框架的抗火抗爆性能展开了研究。
在钢框架火灾研究方面,李建等[1]利用ABAQUS有限元软件研究了带有不同失效柱的钢框架在不同局部火灾下的抗倒塌性能,发现在中柱失效的情况下的钢框架的抗倒塌能力比角柱失效、边柱失效情况下的强。阮诗鹏等[2]对一个足尺的两层钢框架进行蔓延火灾试验,发现与传统室内火灾相比,蔓延火灾扩大了火场范围会对结构安全和人员安全造成更大威胁。李治等[3]采用ABAQUS有限元软件研究了瞬间去柱的钢框架结构在不同受火温度下的抗连续倒塌动力响应,发现在火灾高温下,钢框架采用加强型节点时,框架柱更容易发生过度屈曲,从而更容易引发连续倒塌;温度越高,钢框架去柱后结构动力响应越明显,结构抗连续性倒塌能力也越小。ZHU等[4]采用ANSYS软件研究了钢框架结构在不同火灾温度下连续倒塌的动力机制,提出了一个单相指数衰减函数来定量描述结构最大位移的衰减趋势。MORADI等[5]对不同去柱工况的7层钢框架进行火灾试验,发现在火灾下,去柱会提高结构的破坏概率,减少结构的破坏和倒塌时间。
在钢框架爆炸研究方面,田力等[6]利用ANSYS/LS-DYNA研究了梁柱节点采用螺栓连接的钢框架在近爆冲击波和预制破片群复合作用下的抗爆抗倒塌性能,发现在冲击波与破片复合作用下,钢框架的破坏程度更严重;高强度摩擦型螺栓的数量和排布方式也会影响框架的抗爆抗倒塌性能,螺栓数量越多,结构越安全。陈能翔等[7]对比了流固耦合方法和解析爆炸边界方法在钢框架远距离爆炸数值模拟中的准确性和计算效率,发现解析爆炸边界方法可以合理地模拟远距离爆炸荷载作用下钢框架的动态响应且计算效率更高。张迪迪[8]对采用端板螺栓式连接节点和狗骨式连接节点的钢框架的抗爆性能进行了数值模拟研究,发现狗骨式连接有较强的耗能能力和延性。KOU等[9]利用ANSYS/LS-DYNA建立了钢框架节点的有限元模型,研究了不同梁柱节点的抗爆性能,发现栓焊连接的刚度最高,抗爆性能最好,焊接连的抗爆性能接次之,螺栓连接的抗爆性能最差。
在钢框架火灾爆炸联合作用研究方面,齐宝欣[10]通过建立综合考虑高温和高应变率的钢材本构关系方程,提出了轻钢柱在爆炸和火灾共同作用下损伤程度的评估方法,并对轻钢框架在火灾和爆炸作用下的倒塌机理和过程进行了研究。陈晔[11]研究了室内爆炸波传播、与结构相互作用及爆炸诱发火灾发展过程的模拟方法,提出了作用于建筑结构的爆炸荷载及温度作用预测公式,并对钢柱和钢框架结构在爆炸与火灾联合作用下的连续倒塌进行了分析。RICHARD LIEW等[12]给出了在爆炸造成钢框架结构局部损伤后发生火灾情况时的分析模型,模型采用混合单元来模拟大尺度的框架结构,并对高应变率和火灾高温作用下的构件和结构的稳定性进行了分析,发现钢框架结构在爆炸造成局部损伤情况下极易在随后发生的火灾作用下发生破坏。
综上可知,研究者对钢框架在火灾或爆炸单独作用下的结构响应研究较多,但对其在火灾爆炸联合作用下的研究较少,此外,我国目前尚未有针对火灾爆炸联合作用的防火防爆规范,因此,本文对钢框架在火灾和爆炸联合作用下的破坏倒塌机理进行研究,利用ANSYS/LS-DYNA建立钢框架有限元模型,分析钢框架在火灾下的温度场分布和力学响应,重点研究在单室火灾爆炸工况下,爆炸时火灾燃烧时间、迎爆柱位置和柱迎爆面类型对钢框架抗爆抗倒塌性能的影响,以及多室火灾工况下发生爆炸时钢框架的破坏倒塌机理。
1 钢框架有限元模型及数值分析方法
1.1 钢框架有限元模型
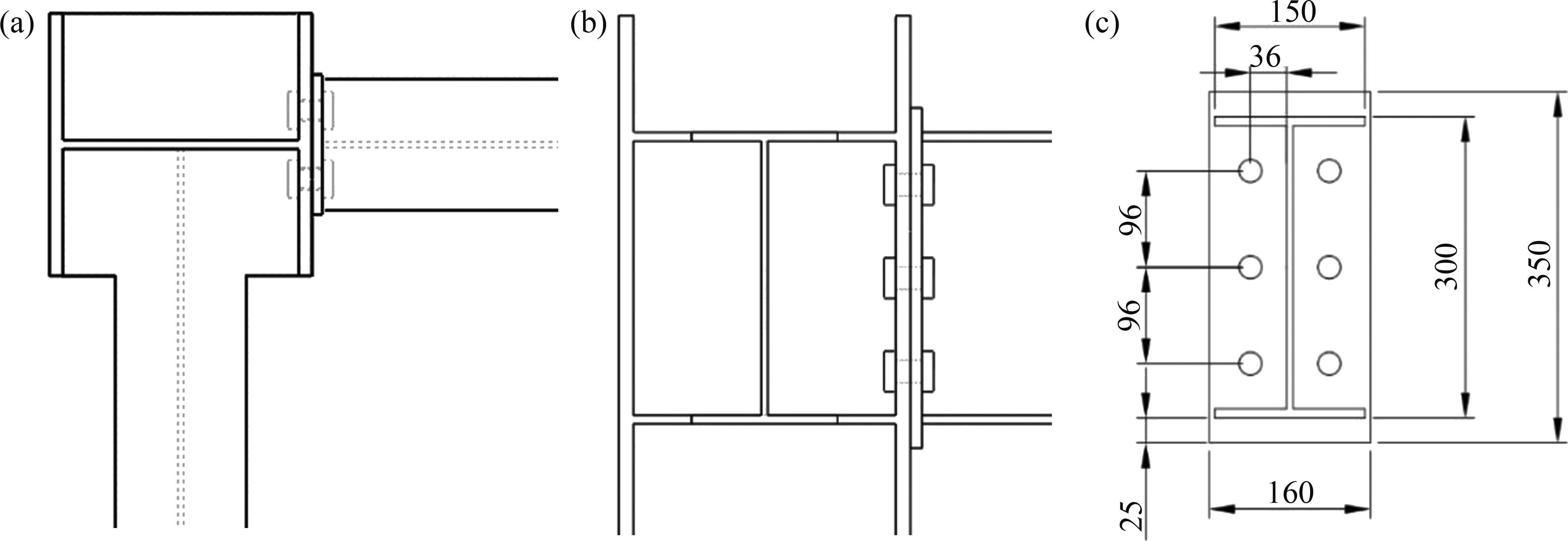
使用ANSYS/LS-DYNA有限元软件建立5层2跨的钢框架有限元模型,钢材采用Q345钢,框架层高为3 m,跨度为6 m,有限元模型如图1所示,其中,钢梁钢柱均采用H型钢,钢梁截面高度×钢梁截面宽度×腹板厚度×翼缘厚度为300 mm×150 mm×6.5 mm×9 mm,钢柱截面高度×钢柱截面宽度×腹板厚度×翼缘厚度为300 mm×300 mm× 10 mm×15 mm。梁设置横向加劲肋,加劲肋与梁共节点,厚度为8 mm,间隔为560 mm。在柱与梁翼缘相对处和柱高1 500 mm处设置厚度为13 mm的加劲肋。首层钢框架梁柱节点处梁与柱翼缘采用端板式螺栓连接,端板与梁采用共节点连接,螺栓采用10.9级M22螺栓,梁与柱腹板采用共节点连接,详细的梁柱节点形式如图2所示,其余楼层的框架梁柱节点均采用共节点连接。钢筋混凝土楼板采用φ8@200双层配筋,混凝土强度等级为C30,板厚取120 mm。柱脚的边界条件为固定约束,限制其竖向位移、水平位移及转角。建模时未建立框架间填充墙的模型,其自重以分布荷载的形式加载到下面的支撑梁上,填充墙荷载设为40 kN/m3[13],楼面恒载取5.1 kN/m2[14],楼面活载取3.0 kN/m2[14]。


钢框架除了钢筋采用beam161单元外,其余均采用solid164单元。为了既能准确模拟火灾爆炸作用又能节约时间,取首层梁、柱、端板单元网格尺寸为24 mm,螺栓网格尺寸为10 mm,混凝土网格尺寸为30 mm;其余层梁柱单元网格尺寸为 40 mm,混凝土单元网格尺寸为120 mm。钢筋与混凝土采用分离式建模,两者间采用共节点连接,不考虑相对滑移。螺栓、端板和柱翼缘通过关键字*CONTACT_AUTOMATIC_SURFACE_TO_SURFACE设置面面接触,梁上表面与混凝土下表面通过关键字*CONTACT_TIED_SURFACE_TO_SURFACE设定绑定接触。
1.2 数值分析方法
火灾和爆炸对钢框架的联合作用可分为先火灾后爆炸与先爆炸后火灾。先火灾后爆炸是指结构发生火灾后,易爆物品受高温影响而发生爆炸,在此情况下,主要研究钢材的强度和刚度因火灾高温而降低后,钢框架结构在爆炸荷载作用下的抗爆抗倒塌能力;先爆炸后火灾是指爆炸产生的高温气体与可燃物接触从而引发火灾,由于爆炸作用时间极短,在此情况下主要研究带有爆炸损伤的钢框架在火灾作用下的抗倒塌性能。本文对先火灾后爆炸的工况展开研究,钢框架动力响应数值模拟分为4个阶段。
1) 螺栓预紧阶段。钢框架采用端板式螺栓连接。在实际工程中,钢框架没有施加螺栓预紧力时还未投入使用,因此,这一阶段只对框架施加螺栓预紧力,结构自重和竖向荷载在下一阶段施加。螺栓预紧力采用降温法实现,对10.9级M22螺栓通过*LOAD_THERMAL_LOAD_CURVE施加预紧力195 kN[15]。
2) 热分析阶段。利用关键字*INCLUDE和关键字*INTERFACE_SPRINGBACK_LSDYNA将钢框架螺栓预紧阶段产生的应力应变及位移引入后续的分析中,对结构施加重力和竖向荷载。设置环境升温曲线和热边界条件,对钢框架进行热结构耦合分析,得到在火灾作用下钢框架的温度场分布情况以及钢框架的结构响应随着时间变化的规律。
3) 爆炸分析阶段。利用关键字*INCLUDE将钢框架热分析阶段产生的应力、应变作为爆炸起始时刻的初始应力、应变,并根据最终燃烧时间、各钢框架构件的温度对其弹性模量、屈服强度进行折减。爆炸阶段采用ALE流固耦合算法。因爆炸过程非常迅速,故爆炸阶段时间设为0.02 s。
4) 钢框架破坏倒塌阶段。采用完全重启动删除空气和炸药单元,利用关键字*STRESS_INITIALIZATION获得第3阶段的应力应变,研究钢框架爆炸后在自重和竖向荷载作用下的整体响应。
2 钢框架火灾温度场及结构响应分析
2.1 火灾作用下钢框架温度场模拟结果
2.1.1 火灾升温曲线和火灾场景的确定
火灾升温曲线采用ISO834标准升温曲线,火灾场景设置为钢框架一层单室火灾,其中,钢柱四面受火,钢梁三面受火,混凝土板单面受火。高温空气和构件之间以热辐射和热对流的形式进行热量交换,而构件内部以热传导的形式进行热量传递。端板、螺栓、柱之间以及梁与混凝土之间设置热接触,火场中空气对流系数取25 W/(m2·℃)[16],斯忒藩-玻耳兹曼常数取5.67×10-8 W/(m2·℃4)[16],钢材表面热辐射系数取0.7[16],混凝土板表面热辐射系数取0.5[16],火灾燃烧时间为1 200 s。混凝土的导热系数参照LIE等[17]提出的热传导公式计算,比热容采用欧洲规范EC2[18]中的建议值,钢材的导热系数和比热容均按照欧洲规范EC3[19]取值。在ANSYS/LS-DYNA中利用关键字*BOUNDARY_CONVECTION_SET和BOUNDARY_RADIATION_SET为钢框架施加热对流和热辐射边界条件。
2.1.2 钢框架温度场计算结果
单室火灾下钢框架各构件的温度时程曲线如图3所示。从图3可见:各构件温度均随着受火时间的延长而升高,各构件间温度也存在明显差异;燃烧1 200 s时,钢构件中的最低温度为547 ℃,最高温度为691 ℃,而混凝土板温度仅为232 ℃,这是因为混凝土材料的比热容更大且导热系数更低,此时,厚度分别为6.5、8、9和9 mm的钢梁腹板、钢梁横向加劲肋、钢梁下翼缘和钢梁上翼缘的温度分别为691、675、663和583 ℃,可见构件厚度越小传热路径越短,升温越快。虽然钢梁上下翼缘厚度相同,但是1 200 s时钢梁上翼缘温度比下翼缘温度低80 ℃,这是因为钢梁上翼缘顶面与混凝土板底面绑定,不受热辐射热对流的影响,而且在升温过程中,上翼缘的热量还会向混凝土板传递。由此可见,各构件间的温度差异是由材料的热工性能、构件厚度和热边界条件引起的。

2.2 钢框架火灾下力学响应分析
将2.1节中得到的钢框架温度场以温度荷载施加到钢框架有限元模型,进而分析火灾作用下钢框架的结构响应。混凝土的弹性模量采用LAWSON[20]提出的随温度变化的折减系数公式,抗压强度采用欧洲规范EC2[18]建议的折减值,热膨胀系数采用侯晓萌[21]提出的折减系数公式。螺栓的弹性模量、屈服强度折减系数采用KIRBY[22]提出的值,螺栓热膨胀系数采用欧洲规范EC3[19]所规定的折减值;其他钢材的弹性模量、屈服强度和热膨胀系数均参照欧洲规范EC3[19]取值。
图4所示为钢框架受火区和常温区钢柱的柱顶竖向位移时程曲线。从图4可以看出,受火区钢柱的柱顶竖向位移是竖向荷载、钢材的高温软化效应和钢材的热膨胀效应共同作用的结果。钢柱承受从相连梁传递来的荷载,受4根梁约束的中柱承受的荷载最大,受2根梁约束的角柱承受的荷载最小,边中柱所承受的荷载介于两者之间。火灾升温初期,钢材的高温软化效应不明显,受火区钢柱在热膨胀效应下产生向上的竖向位移,因为角柱承受的荷载最小,所以其柱顶竖向位移上升速度最快。火灾升温后期,钢柱的极限承载力因火灾高温软化效应而降低,当柱所承受的竖向荷载大于自身火灾下的极限承载力时,钢柱会发生屈曲,因为中柱承受的荷载最大,所以其于1 060 s发生屈曲,柱顶竖向位移从由9.20 mm下降到-97.20 mm,角柱和边中柱所承受的荷载未超过自身火灾下的极限承载力,两者均未发生屈曲。常温区钢柱不受火灾高温软化效应和热膨胀效应的影响,不产生向上的竖向位移。图5所示为火灾燃烧1 200 s时钢框架有效塑性应变云图。从图5可知:钢框架塑性变形集中在中柱柱身和梁柱节点处,中柱因发生屈曲而产生明显塑性变形,梁柱节点处因柱对钢梁热膨胀的约束而产生应力集中,边中柱梁柱节点处的塑性变形主要集中在梁端下翼缘,这是因为中柱屈曲后陡然下沉,与中柱相连的梁端随中柱一同下降,而与边中柱相连的梁端由于约束还保持原来的高度,这使得边中柱节点处梁端下翼缘受压。角柱处的塑性变形小于中柱和边中柱处的塑性变形,这是因为角柱承受的竖向荷载最小且约束角柱的两根钢梁不与中柱连接,不受中柱竖向位移的影响。


3 火灾爆炸联合作用下钢框架破坏倒塌的影响因素
3.1 材料本构模型及其验证
3.1.1 综合考虑高温软化效应和高应变率效应的钢材本构模型
钢材材料性能在火灾高温下会发生退化,在爆炸高应变率下会得到强化,要研究钢框架在火灾爆炸联合作用下的破坏倒塌因素,在选择钢材本构模型时需综合考虑高温和应变率的影响。本文在Cowper-Symonds模型基础上乘以高温折减系数K对模型进行修正,K在不同温度下的取值参照欧洲规范EC3[19],修正后的屈服强度计算公式如下:

式中:



将准静态屈服强度



该本构模型在LS-DYNA中通过关键字*MAT_PLASTIC_KINEMATIC来描述。
3.1.2 本构模型验证
SUN等[24]对Q345B圆形钢管在火灾爆炸联合作用下的破坏进行了试验研究。试验共包括15个工况,这里选择工况TZ13进行火灾爆炸的数值模拟,以验证建模方式和修正后的Cowper-Symonds模型的可靠性。在TZ13工况下,钢管长度为 1 200 mm,外径为114 mm,壁厚为6 mm;装药为圆柱形TNT炸药,底面直径为75 mm,高度为 70 mm,装药底部距离钢管顶部垂直距离为 120 mm。因为试验构件为对称结构且承受对称荷载,所以在建立有限元模型时,按原结构的1/4建模并在对称面上设置对称约束,具体的试验装置和有限元模型如图6所示。在TZ13工况下,常温的钢材弹性模量取206 GPa,屈服强度取345 MPa,根据试验实测的圆钢管在火灾作用下的温度场结果,结合欧洲规范EC3[19]对相应区域的钢材弹性模量和屈服强度进行折减,未受火焰影响的区域取常温下钢材的弹性模量和屈服强度。圆钢管、TNT炸药和空气均使用solid164单元,炸药和空气本构及参数根据文献[25]选择。在模型*MAT_HIGH_EXPLOSIVE_BURN中,炸药密度 ρ0为1 610 kg/m3;爆速D为6 950 m/s,爆炸压力PCJ取21 GPa。TNT炸药选用*MAT_HIGH_EXPLOSIVE_BURN材料模型及状态方程*EOS_JWL来描述,其表达式如下:

式中:PT为爆轰产物的压力;A1、B1为爆炸物的材料常数,A1取670 GPa,B1取9.40 GPa;R1、R2、ω均为试验参数,R1取4.50,R2取0.95,ω取0.35;V为爆轰产物的相对体积,其初始值V0取1;ET为炸药单位体积的内能,其初始值取8.0 GJ/m3。

空气采用*EOS_LINEAR_POLYNOMIAL状态方程及*MAT_NULL材料模型来描述,其表达式为:

式中:P为压强;C0~C6为实常数,C0取-0.1 MPa,C1=C2=C3=C6=0,C4=C5=0.4;E为空气单位体积的初始内能,取253 kJ/m3;
图7所示为TZ13工况下圆钢管表面的塑性变形区域和钢管上表面的下凹深度。圆钢管在爆炸作用下的塑性变形区域为椭圆形,塑性变形区域的长轴和短轴分别用r1和r2表示,上表面的下凹深度用δlocal表示。表1所示为TZ13工况下数值模拟结果和试验结果的对比。从表1可见:数值模拟得到的塑性变形区域的长轴r1和短轴r2与试验结果偏差分别为7.16%和7.63%;上表面的下凹深度与试验结果的偏差为4.08%,这在一定程度上证明了采用修正后的Cowper-Symonds模型模拟高温下Q345钢材抗爆性能的可靠性。

| 结果 | r1/mm | r2/mm | δlocal/mm |
|---|---|---|---|
| 相对误差/% | 7.16 | 7.63 | 4.08 |
| 试验结果 | 197.00 | 93.10 | 63.80 |
| 数值模拟 | 182.90 | 100.20 | 61.20 |
为研究不同温度下钢框架的抗爆抗倒塌性能,分别对火灾燃烧0、900和1 200 s时的钢框架施加爆炸荷载。火灾爆炸联合作用下有限元模型由钢框架、刚性地面、空气和炸药组成,钢框架的建模方式和采用的单元类型以及网格尺寸与1.1节描述的一致,刚性地面通过*RIGID_WALL_PLANER 设置,TNT及空气采用solid164单元建模,炸药选用边长为280 mm的正方体TNT炸药,质量为35.34 kg,炸药形心距离刚性地面为600 mm,爆心距柱的垂直距离为300 mm,爆炸方式采用中心起爆。考虑到钢框架的尺寸以及爆炸的局部性和弱传递性,角柱处空气域长×宽×高为2 000 mm× 2 000 mm×3 500 mm,边中柱处空气域长×宽×高为4 000 mm×2 000 mm×3 500 mm,中柱处空气域长×宽×高为4 000 mm×4 000 mm×3 500 mm,空气表面设置无反射边界条件,炸药和空气的网格尺寸均为35 mm,炸药位置和空气域范围如图8所示。

3.2 火灾燃烧时间和钢柱迎爆面的影响
H型钢柱存在强轴惯性矩和弱轴惯性矩,两者的抗弯性能不同,以角柱为例研究其对钢框架抗爆抗倒塌性能的影响,炸药分别正对柱腹板和柱翼缘起爆,火灾工况选用2.1节的单室火灾,爆炸时火灾燃烧时长分别为0、900和1 200 s。图9所示为不同火灾燃烧时间下炸药正对角柱翼缘爆炸钢框架的有效塑性应变云图。从图9可知:在常温下(0 s)发生爆炸,钢框架破坏体现为角柱中部加劲肋以下迎爆面翼缘发生剪切破坏,角柱腹板靠近炸药部分的单元失效,角柱整体保持完好,炸药正上方钢梁下翼缘发生剪切破坏,梁上方混凝土在爆炸冲击下破损并与钢梁分离;分别在火灾燃烧900 s和1 200 s时发生爆炸,爆炸时火灾燃烧时间越长,角柱柱脚发生剪切破坏及角柱腹板受爆炸作用的损伤程度越严重,角柱沿爆炸方向产生更大的侧向位移,炸药上方钢梁柱翼缘和腹板均发生剪切破坏。图10所示为不同火灾燃烧时间下炸药正对角柱腹板爆炸钢框架的有效塑性应变云图。从图10可见:在常温下(0 s)发生爆炸,角柱中部加劲肋以下的腹板在爆炸冲击波作用下发生剪切破坏,翼缘向两侧鼓曲,角柱下部分呈“O型”,柱脚部分未发生破坏,炸药上方钢梁下翼缘出现局部屈曲,梁上混凝土板部分失效并与钢梁分离;火灾燃烧900 s时发生爆炸,柱脚发生剪切破坏,钢柱下部分呈现“倒V型”;火灾燃烧1 200 s时爆炸,除了腹板和柱脚剪切破坏外,角柱翼缘在炸药高度处也出现断裂。


比较图9和图10可知:炸药正对角柱翼缘爆炸时,爆炸发生时火灾燃烧时间越长,角柱侧向位移越大,爆炸对钢框架的损伤越严重;炸药正对角柱腹板发生爆炸时,钢框架的破坏程度也随火灾燃烧时间的延长而增加。这是因为钢材的弹性模量和屈服强度随着温度的升高而降低,在相同的爆炸荷载作用下会产生更大的动力响应。在相同火灾燃烧时间下,炸药正对腹板爆炸造成的损伤大于正对翼缘爆炸造成的损伤,这是因为爆炸冲击波到达腹板位置时会在翼缘和腹板之间的半封闭空间内形成冲击波的涡流,从而使得翼缘和腹板连接处的受力较大,更易发生剪切破坏。
利用完全重启动技术删除空气和炸药,分析钢框架在爆炸后的整体响应。图11所示为不同迎爆面不同火灾燃烧时间下发生爆炸时角柱的柱顶竖向位移时程曲线,柱顶位移以向上为正,向下为负。从图11(a)可见,火灾燃烧0 s时发生爆炸,柱顶竖向位移维持在-11.94 mm,角柱几乎没有下沉,钢框架没有倒塌;火灾燃烧900 s时发生爆炸,角柱在0.172 s时竖向位移达到最大值-173.6 mm,随后在相连梁的约束下,角柱停止下降并维持稳定,钢框架也没有发生倒塌;火灾燃烧1 200 s时发生爆炸,角柱迅速下沉并在0.18 s后下降速度进一步提高,最终钢框架发生倒塌。比较这3条曲线发现,爆炸发生时火灾燃烧时间越长,角柱柱顶竖向位移下降越快,这是因为高温下钢材的弹性模量和屈服强度下降,而且角柱翼缘受到爆炸作用后柱产生更大的侧向位移,使得上方竖向荷载引起的二阶效应更严重。对于火灾燃烧1200 s角柱翼缘发生爆炸这一工况,钢框架倒塌是因为角柱的失效引起上部竖向荷载的重新分配,而火灾燃烧1 200 s时中柱已经屈曲,因此,上方荷载会向2个受火边中柱分配,当荷载超过边中柱高温下的极限承载力时,边中柱发生破坏并使钢框架失去承重柱而倒塌。从图11(b)可见:火灾燃烧0 s和900 s的柱顶竖向位移时程曲线相近且钢框架均未倒塌,这是因为这2种工况下角柱破损情况相近,框架没有倒塌是因为中柱没有屈曲并和2个边中柱承受从角柱分配来的荷载,在梁悬链线效应作用下,角柱回升随后趋于稳定。在火灾燃烧1 200 s、角柱腹板发生爆炸的工况下,钢框架发生倒塌,这也是由于角柱和中柱失效,边中柱承受更大的荷载并超过火灾高温下自身极限承载力,钢框架因接连失去承重柱而倒塌。比较图11(c)、(d)和(e)可见:当腹板作为迎爆面时,角柱柱顶竖向位移下降更大,下降速度更快;随着火灾燃烧时间的延长,腹板、翼缘作为迎爆面的柱顶竖向位移曲线趋于相同,迎爆面类型对钢框架抗爆抗倒塌性能的影响减小。

综上所述可见:1) 无论是腹板还是翼缘作为迎爆面,发生爆炸时火灾燃烧时间越长,构件温度越高,钢框架越易发生倒塌;2) 在相同火灾燃烧时间下发生爆炸,腹板作为迎爆面比翼缘作为迎爆面会给柱造成更多损伤;3) 迎爆面类型对钢框架抗爆抗倒塌性能的影响随结构温度的上升而减小;4) 承受爆炸荷载的柱失效会使其上方荷载传递到其相邻柱,若相邻柱因高温材性退化和荷载增加也发生破坏,则钢框架会因失去承重柱而发生连续倒塌。
3.3 火灾燃烧时间和钢柱处爆炸的影响
本节研究单室火灾下燃烧0、900和1 200 s时,角柱、边中柱和中柱分别发生爆炸后对钢框架整体响应的影响。由3.2节可知炸药正对腹板爆炸对钢柱损伤较大,所以,本节均采用柱腹板作为迎爆面。
3.3.1 不同火灾燃烧时间下边中柱和中柱处爆炸的影响
在不同火灾燃烧时间下,爆炸边中柱和中柱柱顶竖向位移时程曲线如图12所示。从图12(a)可以看出:对于边中柱腹板爆炸的工况,在0~0.10 s时,火灾燃烧0 s和900 s爆炸工况下的边中柱柱顶的竖向位移曲线基本重合,这是因为这2种工况下柱的破坏程度相近;在0.10 s后,火灾燃烧0 s爆炸工况下,柱顶竖向位移在0.16 s达到最大值-394.2 mm,随后,柱在相邻梁的悬链线作用和钢材的弹性变形下竖向位移发生回升;在0.10 s时,在火灾燃烧900 s爆炸工况下,柱的竖向位移下降更快,在0.15~0.22 s基本维持在-380 mm,在 0.22 s后下降速度陡然提高,这是因为边中柱失效导致上方竖向荷载传力路径发生改变,中柱承受荷载不断增加,伴随着高温下钢材材性退化,在0.15~0.22 s,中柱塑性区不断发展直至竖向荷载超过自身极限承载力而发生屈曲破坏,此时,钢框架受火单室所在一侧中部因失去边中柱和中柱而倒塌。在燃烧1 200 s时,中柱已经屈曲,一旦边中柱因爆炸而破坏,钢框架中部一侧立刻失去边中柱和中柱这两个承重柱而倒塌,因此,曲线呈直线下降的趋势。从图12(b)可以看出:对于中柱腹板爆炸的工况,在0~0.12 s时,在火灾燃烧0 s和900 s爆炸这2种工况下,中柱柱顶竖向位移曲线几乎一致,这是因为在这2种工况下,中柱的破坏情况相近,而在0.12 s后,在火灾燃烧900 s爆炸工况下,中柱在钢材材性退化、在竖向荷载和二阶效应的作用下产生更大竖向位移,最大竖向位移达到-335 mm,比火灾燃烧0 s爆炸工况下的最大竖向位移-310.24 mm提高了7.98%。对于火灾燃烧1 200 s爆炸这一工况,由于中柱在火灾单独作用下已经屈曲,上方竖向荷载传递到其他柱,梁的悬链线效应已经生效,因此,中柱下降速度小于其他2个工况下的下降速度。

3.3.2 相同火灾燃烧时间下迎爆柱位置的影响
图13所示为角柱、边中柱和中柱在相同火灾燃烧时间下发生爆炸后的柱顶竖向位移时程曲线。从图13(a)可见:在0.135 s前,不同柱的柱顶竖向位移时程曲线的下降趋势一致,这是因为柱的破坏程度相近;在0.135 s后,边中柱位移继续增大,位移回升时间也比角柱和中柱的位移回升时间晚,这是因为钢柱爆炸后柱顶竖向位移峰值是由钢柱所受的竖向荷载和钢梁悬链线效应共同决定的,边中柱受到3根梁的约束,同时承受梁传递来的荷载,但其中2根梁与柱采用端板螺栓连接,端板螺栓连接属于半刚性连接,传递弯矩的效果不如刚性连接时的效果,从而使边中柱处钢梁悬链线效应对竖向荷载的抵抗能力比角柱处和中柱处对荷载的抵抗能力弱,因此,边中柱竖向位移最大。从图13(b)可见:角柱和中柱的竖向位移接近,边中柱竖向位移最大且在维持一段时间后迅速增加,这是因为边中柱受爆炸作用后,其上方荷载传力路径改变,与边中柱相邻的中柱则因荷载超过自身极限承载力而屈曲,使得钢框架一侧中间失去承重柱而倒塌,而角柱爆炸、中柱爆炸时,与受爆柱相连的其他柱没有发生破坏,所以框架没有倒塌。从图13(c)可见:在角柱和边中柱迎爆的情况下,钢框架倒塌,其原因是柱自身失效,上方荷载分配到相邻柱,在高温下,相邻柱所受荷载超过自身承载力极限,使得钢框架失去部分承重柱而倒塌。角柱爆炸下钢框架要发生倒塌的前提是与角柱相邻的2个边中柱被破坏,而边中柱爆炸下钢框架发生倒塌仅需要中柱被破坏,因此,边中柱爆炸钢框架倒塌速度更快。中柱在爆炸作用下破坏失效,其上方荷载按刚度分配,会有更多荷载分配到未受火部分的柱,此时,中柱以外的其他柱承受的荷载均不超过自身极限承载力,钢框架不会发生倒塌。

综上所述可见:1) 在单室火灾下,钢框架发生爆炸,受爆柱失效后,若与其相邻的柱也失效,则钢框架会因失去部分承重柱而发生连续倒塌;2) 在单室火灾下,当边中柱发生爆炸时,钢框架最容易发生倒塌,当中柱发生爆炸时,钢框架最不易倒塌。
3.4 火灾工况的影响
本节研究在双室和多室火灾燃烧1 200 s时,炸药正对中柱腹板爆炸钢框架的破坏倒塌机理,并与单室火灾爆炸工况进行对比。火灾升温条件与2.1节中的相同,火灾爆炸工况如图14所示。

钢框架的倒塌破坏情况如图15所示。从图15可见:在单室火灾爆炸时,钢框架未倒塌;在相邻双室火灾爆炸时,火室上方混凝土板塌落;在对角双室火灾爆炸时,钢框架失去承重柱而倒塌;四室火灾爆炸,火室上方混凝土板全部塌落。相邻双室火灾情况下,受火室梁下翼缘、腹板、上翼缘的温度分别为663、691、583 ℃,屈服强度分别下降为常温下的31.88%、25.16%、52.27%,中柱因爆炸失效,后上方荷载向与中柱相连的柱传递,受火室梁柱节点处的梁在竖向荷载下发生剪切破坏,如图15(b)所示,火室上方混凝土板失去梁的支撑而塌落。由图15(a)可知:在单室火灾下,梁柱节点处的梁端也发生剪切破坏,但其相邻室没有发生火灾,原本由受火单室的梁承受的竖向荷载分摊到未受火室的钢梁,常温区的钢梁没有发生剪切破坏,因此,最终单室火灾下混凝土板没有塌落。从图15(c)可见:对角双室火灾梁柱节点破坏情况与单室火灾时的梁柱节点破坏情况一致,受火区上方混凝土荷载会分摊到常温区的梁,混凝土板因常温区的梁没有剪切破坏而不发生塌落,但对角双室火灾仍降低了柱的极限承载力,当中柱失效后,荷载路径改变,远离爆炸位置一侧的受火边中柱因上方混凝土板完好,柱所受荷载更大,当荷载大于自身极限承载力时,该边中柱屈曲随后另一侧边中柱也屈曲破坏,钢框架因失去承重柱而发生连续倒塌。从图15(d)可见:在四室火灾爆炸时,受火室梁柱节点处梁发生剪切破坏,梁上方混凝土板因失去承重构件(梁)而塌落。

4 结论
1) 在钢框架发生爆炸前,火灾燃烧时间越长、结构温度越高,材料的屈服强度和弹性模量退化越严重,爆炸对结构造成的损伤越大。
2) 在相同火灾燃烧时间和相同爆炸条件下,炸药正对柱腹板爆炸比炸药正对柱翼缘爆炸对柱破坏更大,更易使钢框架倒塌。随着火灾燃烧时间的延长,迎爆面类型对钢框架抗爆抗倒塌性能的影响减小。
3) 对于单室火灾,在相同火灾燃烧时间和相同爆炸条件下,边中柱腹板处发生爆炸最易使钢框架倒塌,中柱腹板处爆炸最不易使钢框架倒塌。
4) 对于相邻双室火灾和四室火灾,中柱腹板处爆炸,受火室梁上方混凝土板会因梁发生剪切破坏而塌落;对于对角双室火灾爆炸,当钢框架中柱失效后,与其相连的2个受火边中柱相继失效,框架因失去承重柱而倒塌。由此可见,发生火灾后,将火势限制在一定范围防止火灾蔓延,可提高钢框架的抗倒塌性能。
田力, 王剑飞. 钢框架在火灾和爆炸联合作用下的破坏倒塌机理[J]. 中南大学学报(自然科学版), 2025, 56(2): 622-636.
TIAN Li, WANG Jianfei. Collapse mechanism of steel frames under combined action of fire and explosion[J]. Journal of Central South University(Science and Technology), 2025, 56(2): 622-636.

