21世纪以来,随着我国经济的飞速发展以及人口数量的迅速增长,城市轨道交通系统的建设在大力推进。截至2023年末,全国铁路营业里程15.9万km,其中高铁营业里程4.5万km,全国铁路路网密度165.2 km/万km2,比上年末增加4.1 km/万km2[1]。随着一体化、多层次的城市轨道交通体系的不断建设,更多具备安全性高、站间距大、运行速度快等优点的列车穿梭于各个城区,但与此同时,列车在运行过程中也会存在许多火灾安全隐患,进一步导致列车着火的情况发生[2-3]。针对列车着火问题,国内外学者进行了大量的相关研究。LI等[4]通过缩尺寸试验研究不同比例车厢内火源热释放速率的相关性,研究表明不同比例车厢内火灾发展机制非常相似。NG等[5]通过1∶5缩尺寸试验研究不同车门开启方式下车厢内火焰颜色差异,当车门全部关闭情况下,火焰在整个发展过程中会有显著变化。PENG等[6-8]通过缩尺寸单节车厢模型开展试验,建立了车厢顶棚下方温度分布经验模型,建立了4个侧门全开启情况下的温度衰减模型。由于“车-隧”耦合区间的特殊性,若列车在隧道内发生火灾,将形成隧道列车双狭长火灾场景,不少学者对列车起火后隧道内的烟气蔓延规律进行了探讨。OKA等[9]通过1/10缩尺寸试验,揭示了现有隧道火灾临界风速表达式的局限性,并在此基础上给出了适用性更广的纵向风速表达式。毛军等[10-13]在纵向风速表达式的基础上,提出了更适合于夹带火焰的烟气逆流情况的经验公式。毛军等[14]还利用数值模拟对着火列车继续行驶时,不同列车行驶速度和热释放速率对隧道温度的影响展开了研究。赵小龙等[15-16]通过数值模拟研究了阻塞率对隧道临界风速的影响,结果表明临界风速受阻塞比影响较大,隧道纵向风速随列车阻塞比增加而减小。ZHAO等[17]对市域快线区间隧道列车不同车厢顶部空调火灾场景下,轨行区与疏散平台处隧道拱顶温度场、速度场进行了分析。列车车厢空间狭小,人员荷载大,若内部发生火灾,缺少有效的排烟手段和人员避难方法,易引发群死群伤的严重事故,因此对列车车厢内部火灾开展研究十分必要。由于车厢内部没有十分有效的火灾排烟系统,传统的研究思路主要考虑没有机械通风,烟气自然蔓延的车厢内部火灾场景[18-20]。但必须考虑到,随着车厢内部火灾事故发展,温度迅速升高可能使得着火车厢门窗破裂,从而隧道机械通风风流灌入车厢内,因此对于纵向风影响下的车厢内烟气温度分布规律需进行更加深入的研究。SU等[21]利用数值模拟,研究了纵向风影响下的车厢内烟气回流长度。从伟[22]利用缩尺寸试验,分析了车厢封闭、多开口等多种结构特征对车厢内烟气温度分布特性的影响,并考虑车厢上下游温度衰减情况分别建立相关预测模型。徐志胜等[23-24]采用缩尺寸试验和火灾动力学模拟相结合的研究手段,分析不同边界条件、不同火灾场景下的车厢内部火灾危险性,对火灾烟气蔓延、回流现象等开展了一系列研究。刘智远等[25]建立全尺寸地铁仿真模型,对有无送风情况下的车厢内部火灾温度场进行了模拟分析,研究表明车厢内温度分布情况与侧面开口相关,烟气温度均呈指数衰减。李宇辉等[26]利用数值模拟对比人员疏散时间,分析列车火灾中的人员安全性。聂慧等[27]构建疏散模型开展研究,对单侧、双侧及全部车门疏散的多种场景进行了分析。在涉及纵向风作用下车厢内部温度分布特征的研究中,其试验模型的设计及车厢门开启数量的设置和真实车厢情况相差较大。同时常用的火灾动力学模型大多是在两端开口的狭长隧道内研究得到的,而对于侧向开口的车厢内部火灾场景,其纵向风流只能通过门窗等小开口进入,以往的理论模型可能并不适用。本文通过缩尺寸试验的方法,研究纵向通风情况下,不同车厢门开启数量的车厢内温度场分布规律。旨在提出“车-隧”耦合区间车厢内部火源上、下游无量纲烟气温升纵向衰减关系式,掌握车厢内部火灾高温烟气运移规律,为类似可能发生的“车-隧”耦合区间车厢内部火灾防灾救援工作提供参考。
1 缩尺寸试验
1.1 物理模型设置
图1为“车-隧”耦合区间火灾缩尺寸试验模型,由于火灾烟气主要受到热浮力的控制,依据Froude相似性准则[28],确定缩尺比例为1∶15。纵向通风由射流风机提供,射流风机前方设置整流格栅,起整流作用。采用云母板拼接搭建小型的3节列车车厢,分为中间的着火车厢以及两侧的火源下游车厢、火源上游车厢,车厢之间通过贯通门连接。

3节车厢的车厢门开启方式均为单侧开启。参考《城市轨道交通市域快线120~160 km/h车辆通用技术条件》(GB/T 37532—2019)[29],基于A和D这2种车型的几何尺寸和车厢门数,车厢模型长度1.467 m(对应A和D型列车长度22 m),车厢模型内净高0.14 m(对应A和D型列车长度2.1 m),车厢侧门数量2~5个,以着火车厢为例给出具体侧门设置方式,车厢尺寸示意图如图2所示。

1.2 试验装置及测点布置
模型车厢内的试验装置及测点布置如图3所示。依托广州某地铁隧道长大区间工程,实际工程中一个地铁区间长度约1 000 m,隧道内横通道间距一般为600 m。因此,搭建的火灾试验区间隧道模型对应全尺寸长度应在600~1 000 m,能够较好地模拟区间内列车火灾发展情况。试验搭建了58 m长大区间隧道,对应全尺寸隧道长度870 m,隧道模型横断面尺寸最大高度0.43 m,对应全尺寸隧道高度6.45 m。采用钢制结构,通过防火玻璃观察试验现象。火源燃烧器放置在列车着火车厢内部中间位置,采用气体火进行火灾研究,以丙烷作为燃料,利用气体流量计控制气瓶释放至燃烧器的可燃气体流量,从而控制热释放速率,计算方法如式(1)所示:

式中:Q为热释放速率,kW;h 为燃烧效率,取0.95;ΔH为丙烷高位热值,取101 266 kJ/m3;q为丙烷气体流量,m3/s。

利用射流风机及整流格栅提供纵向风。车厢内部布置K型热电偶,1级精度等级,数据采集误差为±1.0%,通过MT-X多路温度记录仪(误差±0.1 ℃)存储数据并利用电脑实时检测温度数据。3节车厢均在顶部布置有纵向温度测点,着火车厢额外布置有横向温度测点,根据开启侧门数量不同,测点布置有所区别,具体如图3所示。
1.3 工况设置
试验工况如表1所示。试验的参数条件为着火与非着火车厢车厢门开启数量、火源热释放速率、纵向通风风速,共有140组工况。相关研究表明,列车内部机械等固定火灾荷载一般不会超过5 MW[30],因此本文采用5种火源热释放速率(heat release rate, HRR)对应全尺寸火源热释放速率1、2、3、4和5 MW进行研究。
试验 序号 | 着火车厢车厢 门开启数量 | 非着火车厢侧 门开启数量 | 缩尺寸火源 热释放速率/kW | 丙烷气体 流量/(m3∙s-1) | 缩尺寸纵向 风速/(m∙s-1) |
|---|---|---|---|---|---|
| A1~A35 | 单侧开启2个 | 单侧开启2个 | 1.1、2.3、3.4、 4.6、5.7 | 0.69、1.44、2.13、 2.875、3.56 | 0.2、0.4、0.6、0.8、 1.0、1.2、1.4 |
| A36~A70 | 单侧开启3个 | 单侧开启3个 | |||
| A71~A105 | 单侧开启4个 | 单侧开启4个 | |||
| A106~A140 | 单侧开启5个 | 单侧开启5个 |
2 结果与分析
2.1 不同因子对列车着火车厢内温度场分布的影响
图4为不同火源功率下的火焰行为,以车厢开启3个侧门的情况为例。由于车厢空间狭窄,火源功率为1.1 kW时,火焰间歇撞击车厢顶板,随着火源功率增大,火焰高度达到车厢高度,火焰直接撞击车厢顶棚并径向扩散,形成车厢顶部火焰高温区域。火源功率增大将会显著提升车厢顶棚的最大温升,沿着顶棚径向扩散的火焰将扩大车厢内的高温范围。

图5为不同纵向风速下着火车厢顶部温升分布云图,以车厢车厢门开启数量为3个侧门和5个侧门为例。纵向风速为0.2 m/s时,高温区域面积最大,随着纵向风速增加,车厢顶部下方高温区域逐渐减小。此外,高温区域呈现出向非门侧的偏移,这是因为车厢侧门单侧开启以及隧道内纵向通风共同作用而导致的,车厢门开启侧低温区域风流流速较快,压强较小,而车厢非门侧风流流速较慢,压强较大,因此在车厢内产生了自车厢门开启侧到非门侧的压力差,从而火焰出现了向非门侧的偏移。着火车厢火源下游末端椭圆状低温区域随纵向风速的增大略有减小,但并未消失,这说明纵向风对火源下游的温度传播影响有限。

图6为不同车厢门开启数量下着火车厢顶部温升分布云图。车厢内火焰在纵向风的影响下,向着下游倾斜,且风流携带更多的热量吹向了火源下游,导致高温区域偏向下游。随着车厢门开启数量的增加,车厢侧面的开口面积加大,更多的纵向风流通过侧门灌入车厢内部,导致车厢内纵向风惯性力增大,着火车厢内部整体高温区面积逐渐减小,但火焰高温区面积随车厢门开启数量的增加变化较小。

随着火源功率的增大,车厢内整体温度逐渐升高,上游低温区域和下游低温涡旋逐渐减小。着火车厢侧门开启数量为2~4个时,进入车厢的风流较小,着火车厢火源下游末端椭圆状低温区域并没有随侧门数量的增加而消失,且椭圆状低温区域面积和温度几乎不随车厢门开启数量增加而变化。车厢门开启数量为5个侧门时,进入车厢的风流较大,低温涡旋被挤压至消失。相比于直接增大纵向风速,增加车厢门开启数量对火焰高温区的变化影响较小,因此火焰高温区面积随单侧车厢门开启数量的增加变化较小。
图7为火源正上方不同车厢门开启数量下横向温升分布图。可以看出,随火源功率增加,不同侧门开口数量下温升差异显著,尤其车厢单侧开启5个侧门时。这是因为在纵向风的作用下,随着火源功率的增加,不同车厢门开启数量下车厢内热量损失的差异变得更加明显。同时,可以发现,车厢门开启侧的温升与不开启侧的温升相差不大,说明车厢门开启对于火源处的整体温升影响不大。

2.2 列车全车厢内温度场分布
如图8所示,车厢开启不同数量的侧门时,3节车厢的整体规律类似。在上游车厢与着火车厢之间的贯通门位置温度骤降,且着火车厢和上游车厢在贯通门处温差随火源功率增大而逐渐增大。

着火车厢内热烟气量随火源功率增大而增加,在着火车厢内不断向上、下游蔓延累积,但因贯通门阻隔作用和上游车厢纵向的风流影响,烟气基本无法蔓延到上游车厢,上游车厢近火源端温度主要由烟气热辐射影响而升高,因此温差逐渐变大。随着车厢门开启数量增加,水平惯性力增大,进一步限制和冷却了火源上游的高温烟气,因此车厢门开启数量越多,火源上游烟气温度越低。在纵向通风和侧门进入的水平风流的影响下,火源上、下游的温度分布是不对称的,故火源上、下游的温度衰减特性有所区别,需分别进行讨论。
图9为不同纵向风下的车厢顶部纵向温升分布情况。可以发现,纵向风速对车厢顶部温度分布情况有一定影响,这种影响主要体现在远离火源的位置,随着风速增大抑制了高温烟气向火源上游的蔓延;在火源上方,纵向风速只能稍微抑制火焰上方的最大温升,且随着热释放速率增大,纵向风速的影响逐渐减弱。纵向风速能够限制车厢内的烟气回流现象,但不能起到限制火灾荷载,影响热释放速率的效果。

在车厢内部有限空间火灾中,烟气在靠近车厢末端温度衰减较慢。因此,这里采用一种具有普适性的无量纲指数衰减模型来预测车厢火灾纵向温度衰减[31],如式(2)所示:

由于x-x0为0时无量纲温升等于1,因此系数A和B需满足二者之和为1的条件,因此公式(2)可以进一步变为式(3):

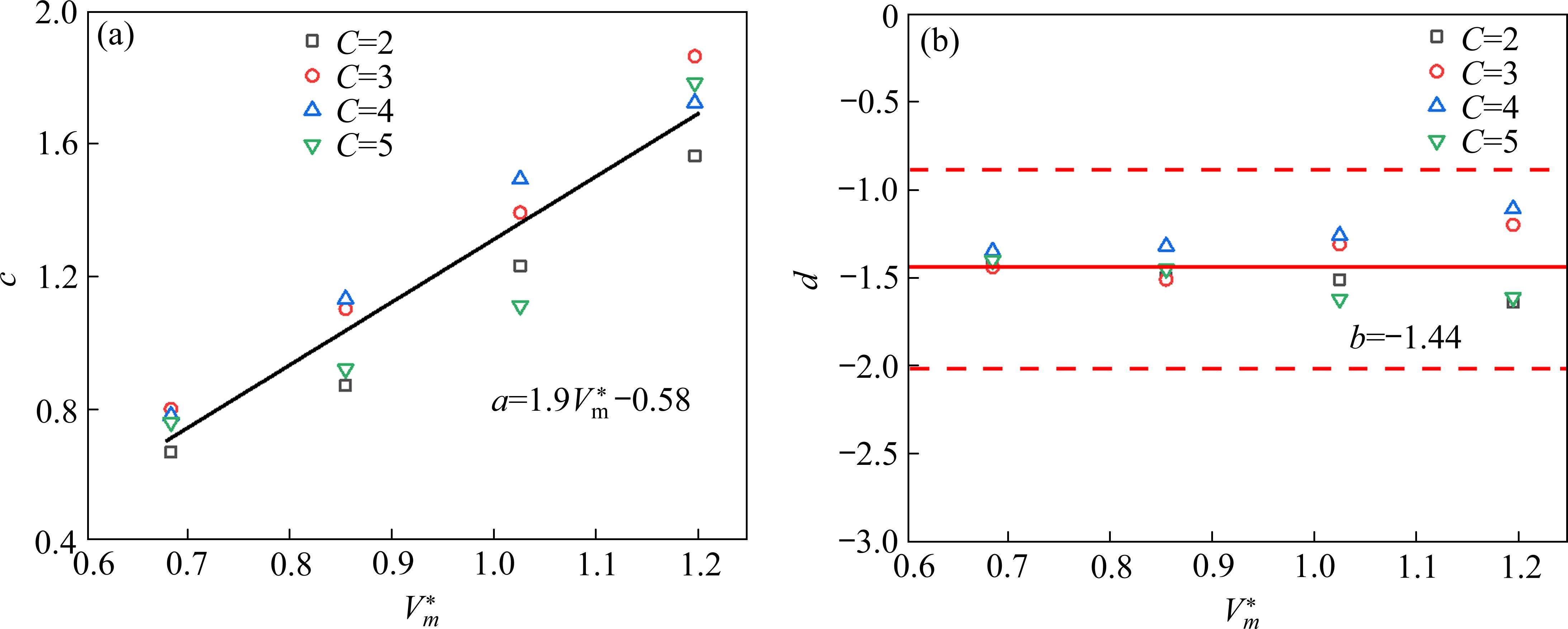
根据式(3)对列车火源下游的温度进行拟合分析,拟合系数A与衰减系数k随无量纲纵向风速、无量纲火源热释放速率变化如图10所示。其中,C为车厢门开启数量,无量纲纵向风速



式中:H为车厢客室高度,m。



从图10可以看出,相同车厢门开启数量和火源热释放速率下,系数A、k几乎不随无量纲纵向风速



因此,可以得到火源下游无量纲烟气温升纵向衰减关系式,如式(7)所示:

同理,根据式(3)对列车火源上游的温度进行分析。图11给出了火源上游无量纲烟气纵向温升系数A随无量纲纵向风速




图12给出了火源上游无量纲烟气温升纵向衰减系数k随无量纲火源热释放速率










综合各系数值,可得到火源上游无量纲烟气温升纵向衰减关系式如下:

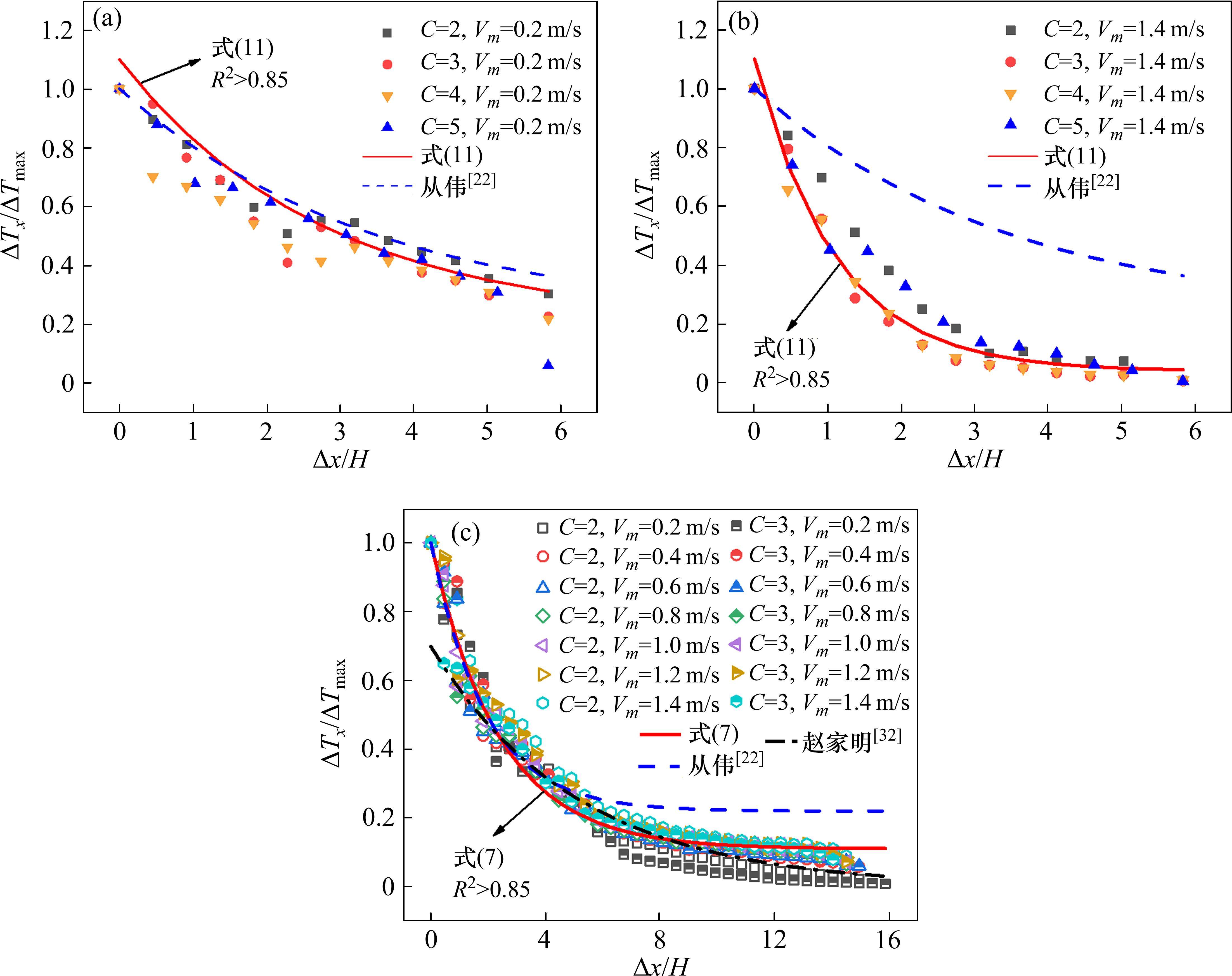
图14为火源上、下游温度衰减模型的拟合结果情况。可以看出,式(7)和式(11)的预测结果较好。前人模型[22, 32]在火源下游以及火源上游纵向通风速率较小时的预测结果尚可;但未考虑纵向风速较大时的情况,此时的火源上游温度衰减预测结果较差。本文提出的模型对这种情况具有更好的预测准确性。

通过探究顶板下方温度分布变化规律,有利于掌握列车车厢内部高温烟气的蔓延情况,便于在列车区间隧道暖通系统设计早期初步预测机械通风对车厢内部火灾的控制效果,能够为优化列车车厢顶部火灾感温/感烟智能探测系统布置位置提供一定的参考。
3 结论
1) 列车车厢内烟气温度场分布受侧门开口数量变化的影响。随着车厢门开启数量的增加,着火车厢内部整体高温区域逐渐减小,但火焰高温区面积变化受其影响较小,着火车厢上游低温区域面积随之增大,下游低温涡旋区面积逐渐减小,直至消失。不同侧门开口数量下着火车厢内横向温升变化差异随火源热释放速率增加而显著。
2) 列车车厢内烟气温度场分布受纵向风影响较大,着火车厢顶部高温区域随纵向风速增大逐渐减小,并呈现向下游和非门侧偏移的现象,高温区域主要分布在火源下游0.2 m位置处。
3) 由于烟气受到贯通门阻碍,火源上游烟气温度于贯通门处发生明显降低,随着车厢门开启数量的增多,车厢内纵向风流水平惯性力增大,火源上游烟气温度将会降低。车厢顶部下方纵向温升分布随火源热释放速率增大而增大,随车厢门开启数量的增加而降低,但车厢门开启数量变化对纵向温度衰减的影响小于火源热释放速率。
4) 通过分析车厢顶部下方纵向温升特性,发现火源上、下游无量纲烟气纵向温升呈指数衰减。不同火源热释放速率下,火源下游温升衰减系数与无量纲纵向风速呈指数函数关系。当0.17≤

2023年交通运输行业发展统计公报
[EB/OL]. (于子涵,喻杨健,陈玉远等.“车-隧”耦合区间车厢火灾温度场变化规律研究[J].铁道科学与工程学报,2025,22(10):4623-4635.
YU Zihan,YU Yangjian,CHEN Yuyuan,et al.Study of changing law of the carriage fire temperature field in “train-tunnel” coupling section[J].Journal of Railway Science and Engineering,2025,22(10):4623-4635.

