磁浮交通系统依靠悬浮控制系统所产生的电磁力使列车能够在不接触轨道的情况下实现稳定运行[1-3]。控制系统是磁浮车-桥系统的核心组成部分,其通过传感器实现对悬浮间隙、加速度等状态的测量,在传感器接收信号、处理信号以及最终执行信号的过程中,不可避免地会产生时滞[4]。时滞的存在使得监测量不能及时反映车辆和桥梁的受扰状态,控制器无法立即根据干扰做出调整,从而导致系统性能下降。此外,时滞可能导致系统出现分岔、共振等复杂的动力学现象[5-8],严重时甚至会危害列车运行安全[9]。因此,开展时滞对高速磁浮车-桥系统稳定性影响的研究具有重要意义。针对时滞对磁浮车-桥系统的影响,王洪坡等[10-11]研究了反馈控制中的位移、速度和加速度信号时滞对耦合系统稳定性的影响。结果表明,当时滞超过一个特定的阈值时,系统可能会经历Hopf分岔,时滞在车辆-导轨耦合共振问题中起着重要作用。沈飞等[12]研究了控制回路的速度信号存在时滞时系统的变化情况,发现当时滞超过或者接近临界值时,系统可能出现Hopf分岔,并给出了时滞的稳定范围。ZHANG等[13]探讨了考虑反馈控制时滞的刚性及弹性轨道磁浮列车稳定性和Hopf分岔现象,指出时滞和控制参数对于Hopf分岔的出现以及周期解的幅值具有决定性的影响。陈晓昊等[14]研究了控制时滞对车辆稳定性的影响,表明控制器时滞会引发系统的Hopf分岔。LIN等[15]分析了时滞对控制参数稳定范围的影响,结果表明时滞越大,系统的性能也越差,最终可能失稳。SUN等[16]研究表明系统存在时滞时,控制器的设计更加困难,针对输入时滞问题,构建带时延补偿的滑模面。值得说明的是,以上研究均基于单电磁铁,实际结果与车-桥系统相差甚远。王美琪等[4]通过推导两自由度磁浮列车的时滞表达式,根据特征根穿越虚轴的边界条件获得了临界时滞与控制参数之间的关系,并开展了时滞对磁浮系统稳定性的影响,结果显示在时滞临界值附近系统会发生超临界Hopf分岔。黎松奇等[17]分析了时滞对车辆上下坡过程的影响,得出时滞对车辆下坡时的影响大于上坡时。XU等[18]在实车测试过程中得出间隙反馈控制时滞为0.027 s时车-轨耦合振动响应急剧增大。吴晗等[19]考虑间隙反馈的时滞,分析了不同参数对临界值的影响,并指出减小反馈控制中的比例系数、增大微分系数以及增大二系悬挂阻尼均可以增强车辆稳定性,该类研究仅考虑车辆竖向振动,未能全面反映实际车-桥系统的性能。FENG等[20]分析了控制时延下车辆速度和反馈回路参数对磁浮车-轨系统动态响应的影响,结果表明列车运行速度越高,时滞对磁悬浮系统的动态响应影响越大,但该研究仅针对中低速磁浮。上述研究表明,时滞对磁浮车-桥系统具有显著影响,将时滞因素纳入考量能够更准确地反映列车与桥梁的动力学特性。然而,截至目前,针对时滞对高速磁浮车-桥系统稳定性影响的深入分析尚显匮乏。本文首先推导包含时滞效应的电磁力模型,并对此模型的稳定性展开分析;其次,构建考虑控制时滞的高速磁浮车-桥系统耦合振动模型,并对该模型的准确性进行验证;最后,探讨车辆与桥梁参数变化对控制回路临界时滞的潜在影响。以期为增强高速磁浮车-桥系统的稳定性提供设计参考。
1 时滞电磁力模型及其稳定性分析
1.1 考虑时滞的电磁力模型
电磁悬浮型(EMS)磁浮列车通过多个悬浮电磁铁和导向电磁铁实现稳定运行。因此,单电磁铁是磁浮列车的基本控制单元,本节以其为研究对象推导时滞电磁力计算公式。单电磁铁的基本结构图如图1所示,参数如表1所示。

| 参数 | 数值 |
|---|---|
质量![]() | 286 |
空气磁导率![]() | 4π×10-7 |
线圈匝数![]() | 270 |
磁极面积![]() | 0.04 |
额定间隙![]() | 0.01 |
电磁铁绕组电阻![]() | 1 |
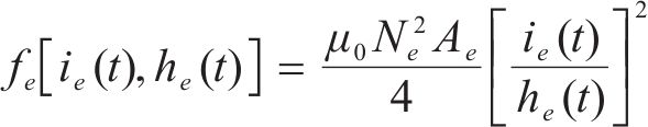
电磁铁位于轨道下方,电磁力计算公式为[21]

式中:






式中:


电磁铁处于静平衡状态时的表达式为

式中:


在平衡点

式中:




鉴于电磁力的非线性特性,悬浮系统本身呈现不稳定性,因此通常需设计控制器以确保车辆与轨道之间间隙的稳定。本文以间隙、间隙的积分和间隙的导数为状态变量,采用PID控制器[22]对电流进行调节,反馈控制表达式如式(5)所示。

式中:





由式(2)~(5)可以求出引入PID控制器之后闭环系统传递函数,如式(6)所示:

式中:






为方便分析,本文假定悬浮系统的时滞全部发生在间隙反馈环节,时滞传递函数表达式为[20]

式中:

对式(7)进行线性化,并忽略高阶项,得到平衡点处时滞传递函数的表达式为

结合式(8)可以得出考虑时滞的单电磁铁闭环系统框图,如图2所示。

根据图2,考虑时滞之后反馈控制表达式为

此时,考虑控制时滞的电磁力计算公式为

1.2 稳定性分析
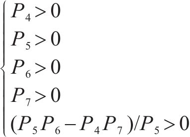
对于不考虑时滞情况下的单电磁铁稳定性,根据劳斯判据,式(6)稳定的条件如式(11)所示:

将各系数的值代入式(11),可以进一步得到系统稳定的条件为

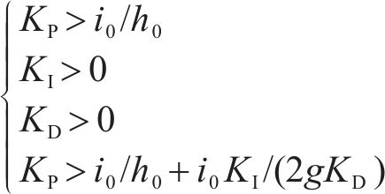
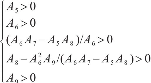
通过式(12)可以得到单电磁铁系统稳定时,各反馈控制参数需要满足的条件为


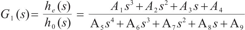
考虑控制时滞之后,基于所建立的时滞电磁力模型对单电磁铁稳定性进行分析,由图2可以求出考虑控制时滞情况下系统的闭环传递函数,如式(13)所示:

式中:










对比式(6)和式(13)可以看出,考虑控制时滞之后系统闭环传递函数的阶次由3阶变为4阶,系统变得更加复杂和不稳定。根据劳斯判据,式(13)稳定的条件为

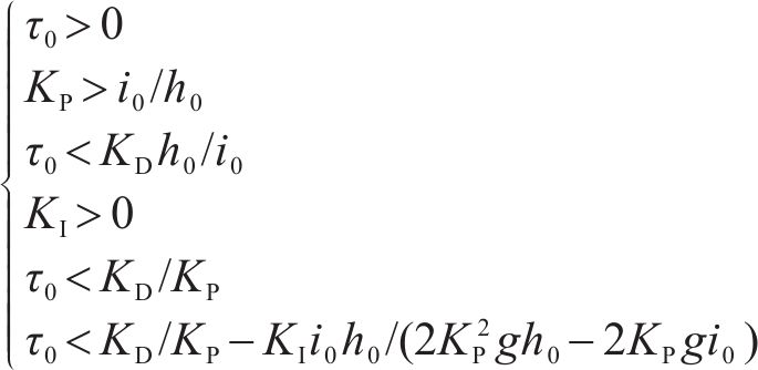
此外,劳斯判据中还要求特征方程中的系数全为正,即


从式(15)中可以得到,时滞


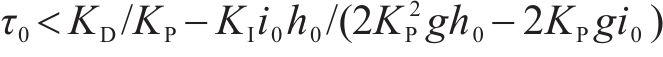
式中:
值得说明的是,本文临界时滞的计算公式仅适用于同时考虑比例-积分-微分通道时滞,且车辆匀速在桥梁上行驶的情况,对于其他情况(如单独考虑比例通道时滞、考虑不同通道时滞不一致、车辆非匀速行驶等)需另做分析。
2 考虑控制时滞的高速磁浮车-桥耦合振动模型
2.1 车辆模型
本文以德国TR08列车为原型,由5节构造相同的车厢串联而成。如图3所示,每节车厢最上部分为车体,往下依次配置有摇杆、转向架、悬浮电磁铁和导向电磁铁[23]。车体与摇杆之间通过一对(横向和竖向)弹簧阻尼元件连接,摇杆与转向架之间通过空气弹簧连接,转向架与悬浮电磁铁之间通过竖向弹簧阻尼元件连接,转向架与导向电磁铁之间通过横向弹簧阻尼元件连接,电磁铁前后依次与转向架搭接,前后车厢之间通过一对悬浮和导向电磁铁连接。车体质量为3.90×104 kg,车体对x、y和z轴质量惯性矩分别为6.46×104、1.75×104和1.76×104 kg∙m2。转向架与悬浮电磁铁之间的刚度和阻尼分别为2.00×107 N/m和5 000 (N∙s)/m,转向架与导向电磁铁之间的刚度和阻尼分别为2.80×107 N/m和500 (N∙s)/m。车体与转向架之间的竖向弹簧刚度和阻尼分别为2.00×106 N/m和5 000 (N∙s)/m,车体与转向架之间的横向弹簧刚度和阻尼分别为2.00×106 N/m和2 000 (N∙s)/m,空气弹簧竖向刚度为1.90×106 N/m,其余参数见文献[24]。

对于车辆模型,车体考虑除纵向自由度之外的其他5个自由度;转向架考虑除纵向自由度之外的其他5个自由度以及前后架构之间的相对旋转,自由度数为6;摇杆仅考虑其绕固定点的扭转运动,自由度数为1;悬浮磁铁考虑其竖向和绕中心扭转方向的运动,自由度数为2;导向磁铁考虑其横向和绕中心扭转方向的运动,自由度数为2,5节磁浮车辆模型的总自由度为537。
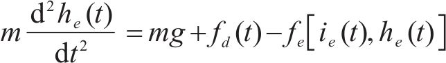
基于以上描述,将车辆各部分视为刚体,采用达朗贝尔原理可建立车辆模型的运动方程为

其中,






2.2 桥梁模型
桥梁模型为10跨连续跨简支梁,主体结构预应力混凝土梁采用直线布置,功能件长度为3.096 m,单跨长度为24.768 m[25],如图4(a)所示。其中主梁和钢轨均为闭口箱梁截面,主梁呈“工”字形,桥墩为单柱式,实心截面,如图4(b)和图4(c)所示。轨道梁还具有特定的功能区,包括长定子铁芯、顶板滑行面及磁性导向板面等,这些部分为高速磁悬浮车辆提供牵引制动、悬浮及导向功能。采用有限元法建立桥梁模型,其中主梁、桥墩、钢轨和刚臂均采用铁木辛柯梁单元进行模拟,支座采用弹簧阻尼单元进行模拟,主梁和钢轨之间采用刚臂连接,主梁和桥墩之间通过弹簧连接。桥墩底部为固定约束,主梁两端节点约束x、y、z和rotx共4个方向的自由度。主梁、桥墩和钢轨的单元划分尺寸分别为0.05、0.2和0.005 m。主梁、钢轨和桥墩三者的密度分别为2 551、7 850和2 500 kg/m3,弹性模量分别为4.45×104、2.06×105和3.00×104 MPa,泊松比分别为0.2、0.3和0.2。

基于上述桥梁模型,可建立其相应的动力方程:

其中,









2.3 耦合振动方程及求解
联合式(17)和式(18),可建立考虑控制时滞的高速磁浮车-桥系统耦合振动方程:

式中:





在建立车-桥模型时,以各单体结构静力平衡位置为坐标原点,未考虑车辆和桥梁自重引起的变形,车辆和桥梁的位移、速度和加速度等响应量均是增量。采用分离迭代法求解式(19),迭代过程中时间步内,以前后2次计算结果中第1节车车体的竖向位移相对误差小于10-6为收敛条件,同时满足力的平衡条件。电磁力中的间隙由额定间隙、车辆响应、桥梁响应和轨道不平顺共同决定,电流由PID控制器进行调节,电磁力由考虑控制时滞的式(10)计算。系统的动力响应由Newmark-β法计算,时间步长为0.000 1 s。t等于0时,车辆模型和桥梁模型的动力响应均为0。车-桥系统动力响应的求解流程见图5。

3 模型验证
本文以5节车通过10跨简支梁桥为计算条件,通过对比上海高速磁浮线路的实测数据验证模型的正确性。轨道不平顺采用SHI等[26]拟合的7参数PSD函数生成,波长范围为0.258~50 m,生成的样本如图6所示。

磁浮车-桥系统动力响应数值模拟与实测结果对比如图7所示。其中桥梁竖向位移的实测数据(车速430 km/h)来源于文献[24],桥梁竖向位移动力系数的实测数据(车速50~350 km/h)来源于文献[27],车体加速度的实测数据(车速300 km/h)来源于文献[28]。从图7(a)中可以看出,两者的桥梁竖向位移结果变化趋势基本一致,从幅值来看,数值模拟为1.63 mm,实测结果为1.57 mm,相对误差仅为3.8%。从图7(b)中可以看出,50~350 km/h车速范围内,数值模拟结果基本在实测结果附近波动,误差较小。从图7(c)和图7(d)中可以看出,车体竖向和横向加速度的数值模拟结果与实测结果幅值大小基本一致。总而言之,通过上述分析的验证过程,表明本文所构建的高速磁浮车-桥模型具有良好的计算准确性,可以用于后续的分析。

4 案例研究
4.1 高速磁浮车-桥系统时滞临界值
第1节对单电磁铁理论临界时滞进行了计算。然而,该结论是否可直接应用于整车模型尚待验证。为此,本节旨在分析单电磁铁与车-桥模型在临界时滞上的差异,通过计算不同时滞条件下高速磁浮车-桥系统的动力响应,并以动力响应发散作为判定标准,确定车-桥模型下的系统临界时滞值。在车-桥模型中,悬浮控制参数








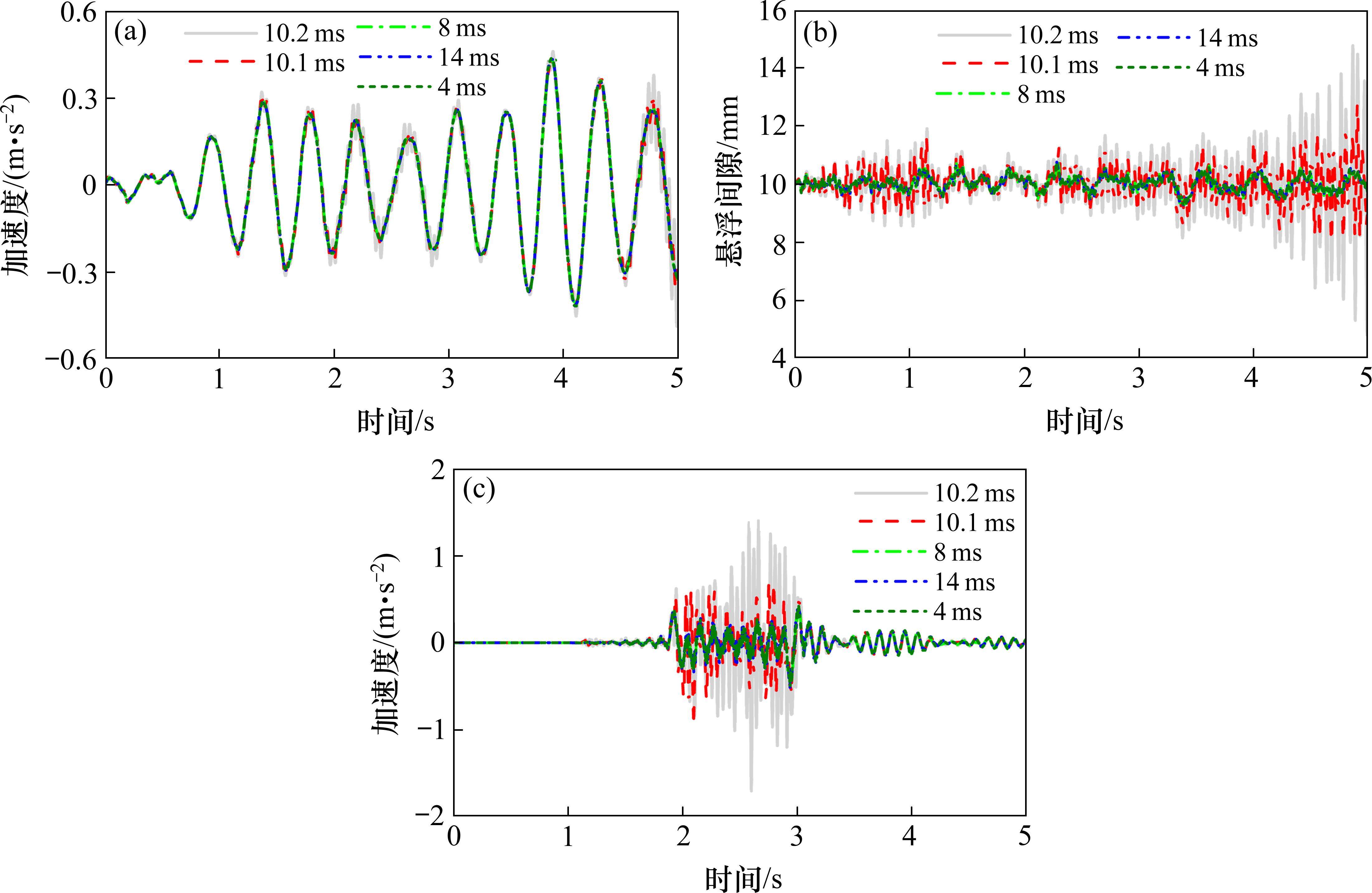
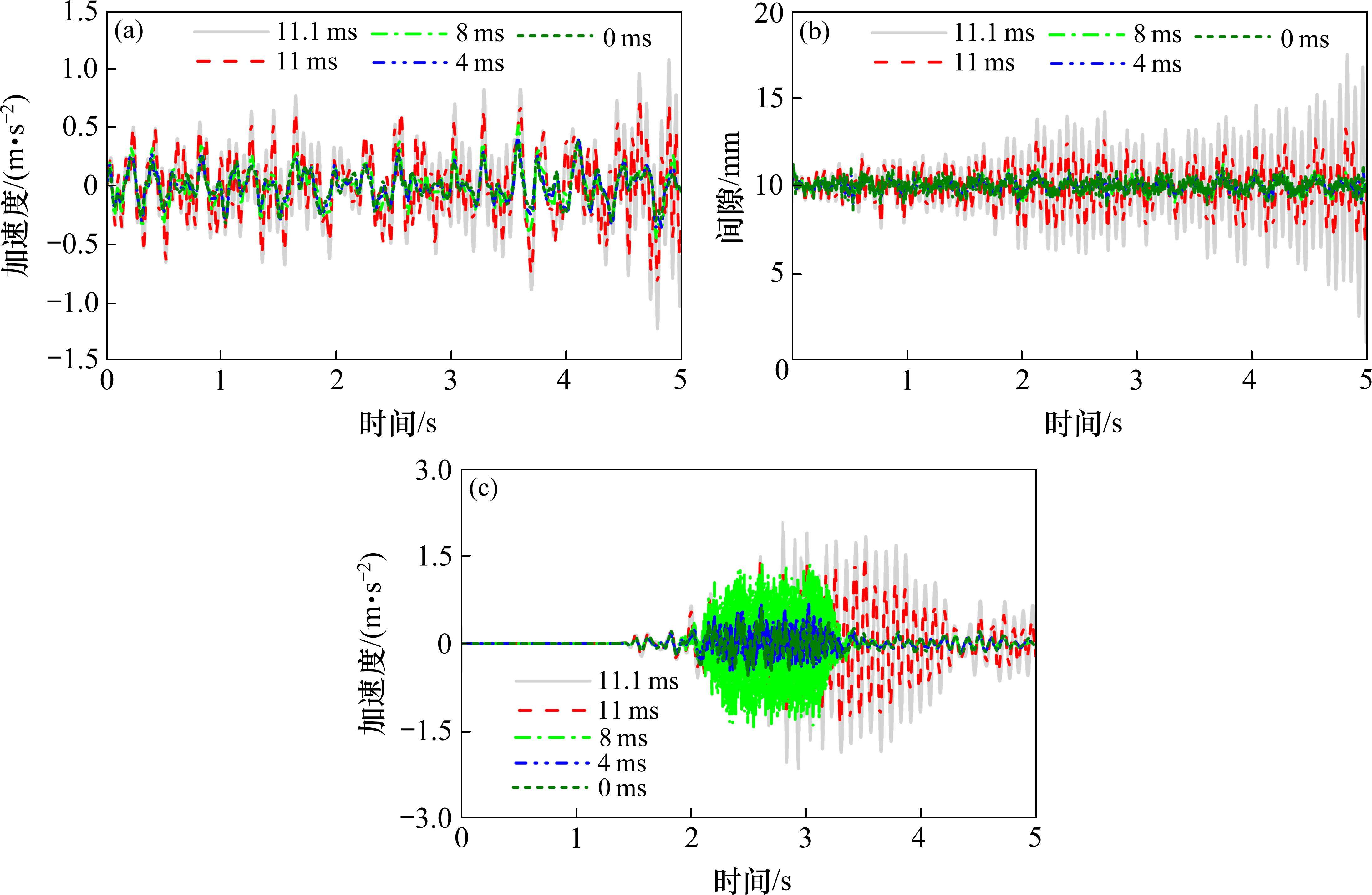
从图8中可以看出,0~10.1 ms时滞范围内,车体竖向加速度、悬浮间隙和桥梁竖向加速度均随时滞的增大而增大,但系统依旧处于稳定状态。当时滞大于10.1 ms,悬浮间隙开始发散,系统处于不稳定状态,即悬浮系统时滞临界值为10.1 ms。临界时滞范围内,时滞对悬浮间隙的影响较大,对桥梁竖向加速度的影响次之,车体竖向加速度受时滞影响最小,这是由于系统进行反馈控制时以间隙作为状态变量,导致时滞直接影响了悬浮间隙,而对车体和桥梁响应的影响是间接的。此外,当时滞为10.2 ms时,桥梁竖向加速度在3 s之后并没有继续增大,这是因为此时车辆已经下桥,不再给桥梁施加激励,从而动力响应逐渐衰减。
同理,图9中给出了不同时滞下车体横向加速度、导向间隙和桥梁横向加速度的时程曲线。从图9中可以看出,0~11 ms时滞范围内,车辆的横向动力响应均随时滞的增大而增大,桥梁横向加速度随时滞的增大则表现为先减少后增加的变化,但系统依旧处于稳定状态,当时滞大于11 ms之后,导向间隙开始发散,系统处于不稳定状态,即导向系统时滞临界值为11 ms。另外,对比图8(a)和图9(a)可以看出,相比车体竖向加速度而言,车体横向加速度受时滞的影响更大。

综上所述,由于磁浮车-桥系统的复杂性,导致高速磁浮车-桥系统中悬浮系统的时滞临界值与理论值较为接近,而导向系统的时滞临界值会略大于理论值。总体而言,单电磁铁系统计算得到的时滞临界值可以用于粗略估计整个系统的临界值,实际工程设计中可以将单电磁铁的计算结果作为保守限值。
4.2 参数影响分析
为探讨磁浮车辆与桥梁系统参数对临界时滞的影响,基于4.1节的模型,调整车辆或桥梁的参数,并计算系统相对应的临界时滞,其中包括反馈控制参数、空气弹簧刚度、横向预紧力和轨道的刚柔性等。图10给出了不同控制参数下悬浮系统的临界时滞,从图10中可以看出,临界时滞受








空气弹簧作为磁悬浮列车的关键构成元件,是二系悬挂系统不可或缺的部分,其连接着车体与转向架,起到支撑车体的作用。其主要功能是降低磁浮列车运行过程中车体的振动位移和加速度,从而确保列车在行驶时能够保持稳定。通过调整空气弹簧的刚度,可以优化磁浮列车的悬浮性能和稳定性。为分析空气弹簧刚度对临界时滞的影响,计算得到了悬浮系统临界时滞随空气弹簧刚度变化的曲线,如图11所示。从图11中可以看出,当空气弹簧的刚度不断增大时,系统临界时滞呈先增大后逐渐平稳变化。因此,适度增大空气弹簧刚度有助于提升车-桥系统的稳定性。

与中低速磁浮列车相比,常导高速磁浮列车拥有独立的导向系统,该系统利用安装在列车上的导向电磁铁与轨道结构导向面之间的电磁吸引力来确保列车的横向稳定。磁浮列车运行时,列车对侧向导向面产生拉力,这个拉力表现为一种“内力”效应,即横向预紧力[21]。为分析横向预紧力对时滞临界值的影响,计算了列车以1.2~9.6 kN/m预紧力运行时反馈系统控制时滞的临界值,如图12所示。从图12中可以看出,随着横向预紧力的增大,系统时滞临界值呈先减小后平稳变化。由此可见,横向预紧力越大,系统时滞稳定性越差。

为探究轨道刚柔性对时滞临界值的影响,图13展示了刚性轨道和柔性轨道下间隙变化量随时滞的变化情况对比。由图13可见,对于悬浮系统而言,刚性轨道和柔性轨道下的间隙变化量及时滞临界值基本一致,即轨道刚度的影响较小。对于导向系统而言,相同时滞下,刚性轨道的间隙变化量更大。刚性轨道下导向系统的临界时滞值略小于柔性轨道,说明柔性轨道下磁浮车辆的时滞稳定性更好。

5 结论
1) 基于单电磁铁模型推导了考虑控制时滞的闭环系统传递函数,利用劳斯判据得到理论时滞临界值为
2) 对于高速磁浮车-桥系统而言,悬浮系统的时滞临界值与理论值接近,而导向系统的时滞临界值略大于理论值。因此,实际工程设计中可以将单电磁铁的临界时滞计算结果作为保守限值。
3) 磁浮车-桥系统的临界时滞与积分增益系数和微分增益系数成正比关系,与比例增益系数近似成反比关系。
4) 为增强系统的稳定性,可通过适当减小比例和积分增益系数、增大微分增益系数、增大空气弹簧刚度和减小横向预紧力来实现。
卜秀孟,王力东,邵壮等.基于PID控制时滞的高速磁浮车-桥系统动力稳定性分析[J].铁道科学与工程学报,2025,22(10):4307-4319.
BU Xiumeng,WANG Lidong,SHAO Zhuang,et al.Dynamic stability analysis of high speed maglev vehicle-bridge system based on PID control time delay[J].Journal of Railway Science and Engineering,2025,22(10):4307-4319.







