捣固作业对有砟高铁道床的维护具有重要的意义。捣固的主要目的是通过施加振动或冲击力,使道床颗粒重新排列,提高道床的刚度和稳定性[1-2]。由于捣固初期颗粒之间的紧密度不够,道床刚度在短期内会出现一定程度的下降,影响到列车运行的稳定性、安全性和舒适性。因此,提升道床在捣固初期的刚度具有重要意义。国内外学者对高速、普速和重载铁路有砟道床的捣固作业开展了大量研究。戴宗林[3]提出高铁有砟线路几何状态维修控制方法,基于动力学模型对比分析了合宁高铁维修前后的线路平顺性变化特征。时瑾等[4]基于中长波平顺性控制理论建立了拨道方案优化模型,实现拨道效果影响因素与拨道方案制定过程的有效结合。张雨潇等[5]以捣固作业数据为对象,研究了有砟轨道捣固作业起道方案的综合修正方法。SAUSSINE等[6]研究了振动频率对过程结束时压实水平的影响、夯尖在穿透阶段的速度作用以及水平振动下约束颗粒层的压实机制。钱忠霞等[7]通过动力学仿真模型和现场试验分析了人工捣固作业对道砟力学状态及密实程度的影响。基于上述分析可知,现有与捣固相关的研究主要为捣固方案设计、线形控制、效果评价及道床力学状态演变等内容[8-10],关于捣固后刚度下降及应对措施内容则鲜有涉及。夯拍能有效弥补大机捣固的不足,促进道砟密度与道床稳定性的快速恢复[11]。目前夯拍技术在有砟高铁中较少采用,夯拍对提升高铁线路稳定性方面的研究十分缺乏。研究夯拍技术对高速铁路有砟线路稳定性的影响,分析高速铁路有砟线路开通前以及运营后大机捣固施工时道床夯拍的必要性以及对运营高速铁路有砟线路大机捣固周期、线路维修成本的影响,对有砟高铁动力性能优化、道床使用寿命改善和安全性提升的作用效果分析具有重要意义。鉴于此,本文针对捣固后夯拍作业对有砟高铁桥梁区段道床性能的影响作用开展研究,基于离散元法分析夯拍作用下道床状态变化规律,提出一种基于单传感器模拟多道面波法(MSOR)的有砟道床状态无损检测方法,结合仿真模拟和现场实验,从细观道床密实度、道砟接触状态和宏观道床力学性能的道床状态角度评价道床性能,关注捣固后夯拍作业对线路平顺性和车-桥系统动力性能的影响,从结构动力响应和行车安全性的道床表现角度评价道床性能,研究成果可为有砟高铁线路道床养护提供参考。
1 铁路道床夯拍工艺
铁路道床夯拍工艺能够快速恢复捣固后道床的密实度和稳定性[12],同时具有投入资源少、操作简便、上下道方便、夯实力大、速度快、作业安全可靠、作业效率高等优点,主要用于提高道床的刚度和稳定性,改善铁路线路的动力性能和安全性。这种工艺通常应用于有砟高铁道床,特别是在道床表面,以增加道床的支撑能力和抗沉降能力。
夯拍区域确定以后,清理道床表面,确保工作区域平整干净。然后,在道床坡面处安装支撑架用于支撑夯拍设备和施工人员,夯拍设备沿轨枕长边方向移动,以覆盖整个枕盒区域,如图1所示。根据道床的具体情况,调整冲击力度、频率等夯拍参数,并启动设备对道床坡面进行夯实作业,直至道床坡面达到预期的刚度和稳定性要求。

2 捣固后夯拍作业对道床状态参数影响研究
2.1 捣固后夯拍作业-有砟道床耦合离散元模型
离散元方法能够模拟铁路道砟等颗粒材料力学行为,为探究捣固后夯拍作业对道床状态参数影响提供计算基础。道床仿真模型中道砟几何形态的精确模拟是确保仿真结果合理性的重要前提[13],本研究采用3D激光扫描技术获取道砟三维点云数据,通过相关学者提出的道砟重构方法[14],生成符合真实道砟形态统计特征的多面体颗粒。真实道砟颗粒与重构多面体颗粒对比如图2(a)所示,模型中典型道砟颗粒模型如图2(b)所示。通过控制多面体颗粒的粒径倍数,本文构建了满足相关规范中特级碎石道砟级配要求的道床模型。

岩土材料重力沉积形成的边坡自然休止角与岩土体的形状、本征参数、接触参数有关。本研究对道砟的自然休止角进行数值模拟,结合文献[15]中实际道砟休止角试验验证离散元道砟接触参数合理性。在半径300 mm、高700 mm圆柱约束容器内生成道砟,以1 cm/s速率竖向提升,模拟道砟自由堆积过程。为保障仿真条件与实验室相同,将基底平面的相关参数设置成混凝土平面参数。模拟结果显示休止角为30.1°与实测值29.8°的绝对误差0.3°,如图3所示。该偏差源于实验与仿真的差异,结果证实了道砟接触参数设置的合理性,为道砟力学分析提供可靠的模型基础。

本文建立了包含5根连续轨枕的有砟道床模型,并通过对中间轨枕两侧枕盒区域加载以最小化边界效应,该模型能够有效捕捉中间轨枕及其两侧枕盒区域的宏细观力学响应特征,并在保证结构整体性与边界效应可控的前提下满足研究精度要求。考虑到钢轨在捣固/夯拍作业下对轨枕运动的约束作用,主要体现为对轨枕平动和转动的限制,通过对轨枕自由度的约束间接反映钢轨对轨排系统结构响应的影响。轨枕采用CRTS Ⅲa型,以刚性几何体的形式导入模型。轨枕的运动遵循牛顿第二定律,并通过Hertz-Mindlin接触模型实现与道砟间力与位移的双向传递。道床断面尺寸参考正线桥上有砟轨道道床的要求。模型边界则通过在四周与底部设有固定的墙体进行约束,对道床底部边界施加了等效桥面结构的物理力学参数,以模拟桥梁支承条件下的边界响应,参考LIU等[16]的建模方法,边界采用与颗粒相同的接触参数以降低边界效应。基于前期室内试验和文献[17]调研,设置离散元模型中细观参数如表1所示。
| 细观参数 | 道砟 | 轨枕 |
|---|---|---|
| 密度/(kg∙m-3) | 2 600 | 2 500 |
| 泊松比 | 0.18 | 0.2 |
| 杨氏模量/MPa | 5.9×104 | 3.1×104 |
| 摩擦因数 | 0.6 | 0.9 |
根据现场调研,大机捣固作业过程可分为起道、下插、夹持、撤回4个基本阶段。为精确模拟捣固作业对道床宏细观力学行为的影响,本文在铁路碎石道床模型的基础上引入捣镐,通过对轨枕与捣镐施加加速度或力,实现捣固作业的精细化模拟,如图4(a)所示。结合现场作业及相关文献[17]中的常用捣固作业参数,起道量设为30 mm,捣固深度设为15 mm,各镐尖振幅设为10 mm,激振频率设为35 Hz。通过对比捣固作业前后道床横向阻力数值计算结果与相关文献中现场试验结果(图5),验证了模型中细观参数的有效性。


在现场夯拍作业中,夯拍设备需沿轨枕长边方向移动以覆盖整个枕盒区域。为提高计算效率并确保模拟结果的准确性,本文将夯拍设备底部的矩形金属板简化为与轨枕长度相同、宽度等于轨枕净距的矩形板,如图4(b)所示。这种简化方法不仅降低了夯拍设备移动的仿真复杂性,同时通过施加与实际相同频率和幅值的荷载,模拟了夯拍作业下道床的力学响应,从而确保了计算结果的可靠性。根据现场常用夯拍作业参数,夯拍频率设为20 Hz,夯拍力幅值设为25 kPa。
2.2 捣固后夯拍作业对道床状态影响分析
2.2.1 道床密实度变化规律分析
基于已建立的有砟道床离散元模型,以轨枕及夯拍板直接接触的枕底与枕盒区域的道砟为研究对象,如图6所示将密实度采集区域划分为A1至A5。在仿真过程中,密实度定义为采集区域内道砟颗粒体积与该区域体积的比值[18],且采集区域随轨枕同步运动,与轨枕的相对位置保持不变。不同作业阶段的密实度计算结果如图7所示。


从图7可以看出,捣固作业对枕盒区域的影响较显著,A1和A2区域的道砟密实度分别下降了51.92%和11.35%,而A4区域密实度略有上升(2.06%)。这表明捣固作业使枕盒区域的道砟向枕底方向移动,不仅填充了因轨枕抬升产生的空隙,还对枕底道砟起到一定的加密作用。相比之下,夯拍作业的主要作用是恢复枕盒区域的密实度。具体表现为A1和A2区域的密实度分别增加了8.06%和9.31%,而A4区域略微下降了3.83%。在夯拍后,A2和A4区域的密实度差异由捣固后的7.85%缩少至0.62%。此外,由于作业深度有限,A3和A5区域的密实度基本保持不变。这表明捣固后夯拍能够有效改善捣固作业后枕盒区域的道砟密实度分布,使轨枕周围道砟颗粒更加均匀。
2.2.2 道砟间接触状态变化规律分析
为探究捣固后夯拍作用下道床中道砟间接触状态的变化规律,本研究选取道砟配位数和平均接触力2个指标来进行分析。道砟配位数与平均接触力分别量化颗粒接触密度与局部荷载强度。二者负相关性显著,可同步表征道床结构稳定性与应力集中演化,为接触状态评估提供双维度判据,综合分析道砟配位数与平均接触力可直观反映道砟间接触状态[19]。不同作业阶段的道砟配位数和平均接触力如图8所示。

由图8可见,捣固作业使道砟颗粒间的配位数从6.44降至5.38,平均接触力则从5.38 N增至39.46 N,表明捣固作业导致道床内部接触状态变得相对松散。而在夯拍作业后,配位数回升至6.29,平均接触力下降至25.85 N,说明夯拍作业使道床中道砟重新排列、相互咬合,砟间接触点增多,受力分布更加均匀,从而减少了应力集中现象,提高了道床的稳定性。
2.2.3 道床力学性能变化规律分析
为进一步研究夯拍作用下道床力学性能的变化规律,本文分析了不同作业阶段道床横纵向阻力和支承刚度。上述指标均根据相关规范进行计算,分别反映道床的横纵向稳定性和竖向承载能力[20-21]。不同作业阶段的道床横纵向阻力和支承刚度如图9所示。

从图9(a)和图9(b)可以看出,捣固作业使横向阻力从12.08 kN降至6.05 kN(减少49.92%),纵向阻力从17.59 kN降至6.71 kN(减少61.85%)。而夯拍作业后,横向阻力增加至10.03 kN(提升65.79%),纵向阻力增加至11.99 kN(提升78.69%)。结合密实度数据可知,捣固作业导致A1区域密实度下降,与横纵向阻力降低密切相关。尽管夯拍作业仅使A1密实度增加了9.31%,但显著改善了轨枕附近道砟分布的均匀性,从而增强了道床横纵向阻力。
从图9(c)可以看出,捣固作业使道床支承刚度从163.13 kN/mm降至75.14 kN/mm(减少49.92%);而在夯拍作业后,刚度回升至137.65 kN/mm(提升65.79%)。虽然A4区域密实度变化不大,但捣固后A4区域的配位数从6.23降至5.40,最大接触力从568.27 N增至993.89 N,显示出局部应力集中现象。这种现象可能导致A4区域变形增加,从而使刚度减小。夯拍作业后,A4区域的配位数回升至5.95,最大接触力降至803.60 N,表明局部应力集中现象有所缓解,道床刚度得以恢复。
3 捣固后夯拍作业对道床刚度提升效果研究
3.1 基于MSOR法的铁路有砟道床刚度无损检测
开展现场无损检测探究捣固后夯拍作业下道床状态变化,可为分析作业效果提供实际支撑。依据道床临空面横波和纵波叠加形成的表面波在垂直非均匀介质(分层)中传播时的频散特性[22],采用单通道模拟多道面波法(MSOR),如图10所示。MSOR法检测系统由激励与采集单元构成,采用DH5981动态采集仪连接。激励端(图11(a))采用300 g重的尖嘴锤参照卷尺刻度沿测线方向以设定的道间距在圆形钢板(Φ200 mm×20 mm)上垂向激发高频面波,锤头上粘贴的4组1/4桥应变片构成触发系统,以幅值的1/8作为触发信号。采集端(图11(b))使用东华1A102E三分量加速度计采集瑞利波水平和竖直分量,传感器耦合通过磁吸底座吸附在契入道床的高碳钢材质凿子(Φ19 mm×250 mm),凿子顶部经精密研磨确保无隙耦合。


记录测点激励下加速度时程曲线通过积分和去趋势得到速度时程曲线,选用相移法将时间-空间域的二维波场变换到频率-相速度域实现频散能量成像,对有砟道床检测数据进行频散能量分析。其中,最浅可分辨探测深度与道间距成正比,转换系数0.3~1.0。检测方案设计测线平行于列车行进方向,其中偏移距10 cm,道间距5 cm,测线长度2 m,能够兼顾最浅检测深度和检测精度。
检测场地位于某高铁段箱梁桥K34+031下行和K33+997下行2个工点,分别在捣固前、捣固后和捣固前、捣固夯拍后2种工况下开展MSOR检测试验。
3.2 基于道床剪切波波速的道床刚度识别分析
道床剪切波波速与其平均配位数紧密相关[23],且能够转换为模量对道床状态进行评价。以K33+997下行工点夯拍前数据为例,将反映瑞利波垂向分量和水平分量的加速度计采集的信号叠加后进行积分、滤波后获取各通道速度时程曲线,采用3.1节相移法获取频散能量谱,如图12(a)所示,提取频散曲线并转换到波长-相速度域,如图12(b)。

现场实测道床高度约为0.65 m,对应波长小于1.3 m范围反映了铁路基础结构上部道床层状态。频散曲线上部分层结构的剪切波波速可简化为通过瑞利波相速度和泊松比参数直接计算:

式中:道床层相速度

基于剪切波波速、密度和泊松比换算弹性模量E:

代入道床层相速度294.4 m/s,密度1 750 kg/m3,换算道床层模量为385.3 MPa。道床整治前、后MSOR检测结果汇总如表2所示。
| 整治工艺 | 阶段 | 剪切波波速/(m∙s-1) | 换算模量/MPa |
|---|---|---|---|
仅捣固 (K33+997) | 整治前 | 294.4 | 385.3 |
| 整治后 | 256.3 | 292.0 | |
| 捣固+夯拍 (K34+031) | 整治前 | 307.5 | 420.3 |
| 整治后 | 289.1 | 371.5 |
仅采取捣固工艺整治后道床剪切波波速下降了12.9%,换算模量下降了24.2%,支承刚度降低;采取捣固+夯拍工艺整治后道床剪切波波速下降了5.9%,较仅捣固施工工艺有显著提高,换算模量下降了11.6%,可见捣固后夯拍作业能够有效恢复道床支承刚度,现场实验结果也与2.2节中离散元模拟得到的道床支承刚度在规律上较为接近,相互验证良好,同时为动力性能研究提供计算基础。
4 捣固后夯拍作业对车桥系统动力性能影响评估
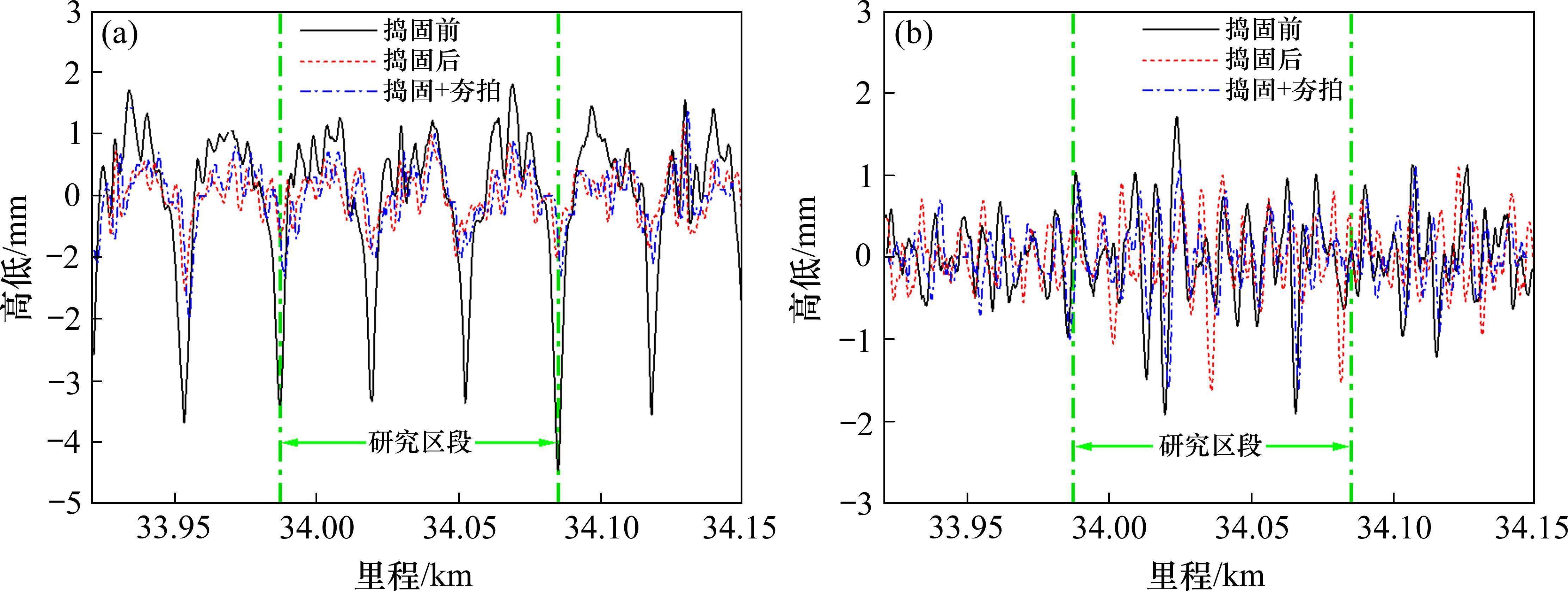
4.1 捣固后夯拍作业对线路平顺性影响分析
选取某高铁K33+987~K34+085区间简支箱梁桥的三跨为研究对象,其捣固前、捣固后和捣固夯拍后3种工况下轨检车实测的线路高低、轨向不平顺如图13所示。引入60 m和30 m中点弦测评价方法,由图14可知,60 m弦评价方法的矢高与轨道不平顺在梁端对应性较好,存在较大的峰值,在捣固后有明显的降低;30 m弦的矢高与轨道不平顺时域对应效果较好,相比于60 m弦的矢高与轨道不平顺的关联性更好,捣固后随着简支梁桥轨道不平顺的幅值降低而降低,捣固效果明显。由捣固作业和捣固夯拍作业对比可知,捣固后夯拍作业对轨道平顺性影响不明显。


4.2 捣固后夯拍作业对车桥系统动力性能影响评估
运用车辆-轨道-桥梁动力相互作用分析模型进行动力性能评估[24]。选用高速铁路CRH380动车组车型,动车组模型考虑为多刚体系统,将车体、转向架、轮对结构简化为刚体,车辆各结构通过一、二系悬挂连接,其中一、二系悬挂系统简化为弹簧、阻尼元件。钢轨简化为离散弹性点支承基础上的连续Euler梁,考虑其横向、垂向和扭转振动。轮轨接触力采用Kalker简化滚动接触理论计算轮轨蠕滑力和蠕滑力矩,FASTSIM算法计算轮轨作用力,结合新型两步数值积分方法求解车辆-轨道-桥梁动力学方程[25]。将夯拍作业前后实测轨道不平顺数据和本文3.2节中实测得到道床刚度施加到动力学模型中。
图15为捣固前、捣固后和捣固夯拍后3种工况下的车体加速度的时程变化曲线,由图15可见:捣固后和捣固夯拍后相较捣固前的车体垂向、横向加速度在较低范围内频数占比均大幅增加;相比于捣固后,捣固夯拍后车体垂向加速度在0~0.04 m/s²范围内频数占比仅减少5.71%;车体横向加速度在0~0.08 m/s²范围内频数占比仅减少4.01%;夯拍工序实施以后,车体振动较之捣固后变化不大,可见捣固后夯拍对车体动力性能影响很小。

图16为捣固前、捣固后和捣固夯拍后3种工况下的安全性指标,由图16可见:捣固后和捣固夯拍后相较捣固前的脱轨系数、轮重减载率在较低范围内频数占比均大幅增加;相比于捣固后,捣固夯拍后脱轨系数在0~0.05范围内频数占比仅减少3.45%,在0.05~0.15范围内频数占比十分接近;轮重减载率在0~0.1范围内频数占比小幅增加4.6%,在0.1~0.3范围内频数占比十分接近;夯拍工序实施以后,安全性指标较之捣固后变化不大,可见捣固后夯拍对行车安全性指标影响很小。

图17为捣固前、捣固后和捣固夯拍后3种工况下的桥梁动力响应,由图17可见:道床捣固前桥梁最大垂向加速度为0.032 m/s2,捣固后和捣固后夯拍分别为0.028 m/s2和0.035 m/s2;道床捣固前桥梁最大垂向位移为1.38 mm,捣固后和捣固后夯拍分别为1.34 mm和1.37 mm,3种工况下变化不明显;捣固后夯拍对桥梁结构的动力性能影响很小。

5 结论
1) 基于夯拍作业-有砟道床耦合离散元计算,夯拍工艺显著恢复了枕盒区域道砟的密实度,使轨枕附近区域道砟分布更加均匀,减少了局部应力集中发生的概率,进而提高了道床的横向阻力和支承刚度。
2) 开展捣固夯拍现场试验,利用MSOR无损检测方法能够通过道床层剪切波波速反映道床支承刚度状态。捣固作业后道床剪切波换算模量下降24.2%;夯拍作业后道床剪切波换算模量较捣固前下降11.6%,夯拍作业能够有效恢复捣固后的道床支承刚度。
3) 道床表现方面,捣固后增加夯拍作业对车桥系统动力响应影响不大,保证了行车安全性。道床状态研究揭示道床稳定性有效提升,有利于线路平顺性的保持。
王宏昌,时瑾,贾浩宇等.捣固后夯拍作业对有砟高铁桥梁区段道床性能的影响[J].铁道科学与工程学报,2025,22(10):4295-4306.
WANG Hongchang,SHI Jin,JIA Haoyu,et al.Influence of compaction operation after tamping on the performance of ballasted high-speed railway bridge bed[J].Journal of Railway Science and Engineering,2025,22(10):4295-4306.

