随着经济和水运交通的快速发展,船舶数量快速增长,航道上船舶通行密度也不断增加。一些主要河流、海峡或港口处时常有船桥相撞的事故发生[1-3]。船桥碰撞事故不仅对个人财产和安全造成直接影响,而且可能对国家和社会的经济、环境和社会稳定产生严重影响。因此,设计桥墩防撞设施已成为一个不可忽视的课题。
在实际工程中,采取的防撞装置大致分为人工岛防撞结构、薄壳筑砂围堰[4]、自适应防撞装置[5]、浮式钢套箱[6]、柔性消能防护装置[7]、防撞护舷[8]等。现有装置存在一些缺点,如:人工岛与筑砂围堰设计简单、施工方便,但是修建成本较高、占用河道空间大、影响船舶通航;浮式钢套箱可以根据不同环境和需求设置,适应性强,但维护和修复较困难等。为了提高装置的防撞性能,一些研究者提出了将现有装置如钢橡胶组合装置[9]、复合材料防撞装置[10-12]等与其他材料组合。然而,组合装置依然存在着尺寸过大、维修困难等问题。因此,设计一种体积小、防撞性能好、便于维修的防撞装置尤其重要。
夹层结构是由2个或多层材料之间夹有吸能材料构成的结构形式,具有较大的强度和刚度、轻量化、优良的抗冲击和抗震特性,在航空航天、汽车制造、建筑工程、船舶制造等领域都得到广泛应用[13-14]。鲍莉霞等[15]设计了一种波纹钢夹层防护结构,研究了不同结构参数对吸能效果的影响,验证了波纹钢夹层结构具有优良的防护效果。潘晋等[16]对多种夹层结构的耐撞性能进行了数值模拟研究,发现X型夹层结构具有更优的耐撞性。HAN等[17]通过压缩试验及有限元仿真对3种不同类型的梯形格构腹板夹层结构的防撞性能进行了研究,发现45°梯形格构腹板组合防撞装置性能最佳。
本文引入夹层结构,设计了一种可展开的单元式桥墩防撞装置,以达到减小航道尺寸占用、维护简单方便的效果。首先,通过数值模拟计算确定夹层形式;然后,开展落锤试验探究防撞装置的防护效果,并建立有限元模型,将模型模拟结果与试验结果进行对比,以验证有限元模拟的合理性和准确性;最后,通过设计正交试验,根据数值分析结果确定防撞装置最优的参数组合。
1 可展开的单元式桥墩防撞装置设计
1.1 装置总体设计
基于Ⅲ级航道设防的要求[18-19],通过监测航道通行船只,运用折叠展开机制,将装置在船只即将撞击桥墩时展开,达到既能够有效防护桥墩又不过多占用航道空间的目的。
可展开式桥墩防撞装置主要由监测控制组件、防撞单元、浮箱3部分组成。整个装置布设在浮箱上,浮箱环绕于桥墩周围,可随水位上下浮动,实现在不同水位下对桥墩的动态防护。防撞单元包含滑槽、锁扣、弹开组件和吸能主体等部分,如图1所示。装置不使用时,通过锁扣折叠起来固定在桥墩表面,减小对航道的占用。装置使用时,控制系统开启锁扣,弹开组件将吸能主体弹开,装置翻转展开并由撑杆支撑,展开成图1(a)所示工作状态。监测控制组件结合主动防撞技术,采用激光雷达对临近防护桥墩的过往船只进行监控,根据船只的距离、速度和航向判断船只撞击桥墩的可能性。当判断可能出现险情时,发出信号,开启锁扣,防撞单元翻转展开,同时对船只进行警示。
2025年9期/10.11817j.issn.1672-7207.2025.09.019/alternativeImage/415CED81-23BF-48ef-BE35-84AD4C22AE78-F001.jpg)
1.2 防撞单元构造
考虑到船舶与装置尺寸,对单个防撞单元按设防500 t船舶设计。参考目前实际工程中的一些防撞护舷尺寸[20-21],结合防撞单元的折叠展开特性,通过初步计算,防撞单元的外部长×宽×高确定为1.5 m×1.5 m×0.6 m。在夹层结构中,夹层的形式和层数对结构的整体刚度和能量缓冲有很大的影响[22]。根据文献[23],对防撞单元的夹层选用波纹形、三角形、梯形这3种形式进行对比分析,每种形式均设置5个夹层,单元构造如图2所示。波纹形及三角形夹层的波长与波高均为0.3 m,梯形夹层一个梯形波的上底宽为0.2 m,下底宽为0.3 m,波高为0.3 m。
2025年9期/10.11817j.issn.1672-7207.2025.09.019/alternativeImage/415CED81-23BF-48ef-BE35-84AD4C22AE78-F002.jpg)
2 夹层形式确定
基于有限元软件ANSYS建立碰撞模型,对图2所示的3种不同夹层形式进行数值模拟分析。
2.1 模型建立
建立夹层结构有限元模型,如图3所示。初步选取迎撞板厚度为9.0 mm,夹层板厚度为6.0 mm,横隔板厚度为7.0 mm,外侧板厚度为5.5 mm,夹层单元的高宽比为1꞉1。
2025年9期/10.11817j.issn.1672-7207.2025.09.019/alternativeImage/415CED81-23BF-48ef-BE35-84AD4C22AE78-F003.jpg)
船舶选用质量为500 t的驳船,为提高计算效率,碰撞模型中仅保留船艏部分,通过关键字*MAT_RIGID将其定义为刚体。防撞单元有限元模型均采用Hughes-Liu壳单元。夹层板网格尺寸划分为2 cm,其他板件网格尺寸划分为5 cm。波纹形夹层模型共划分75 290个单元,73 107个节点;三角形夹层模型共划分72 290个单元,70 007节点;梯形夹层模型共划分61 586个单元,59 591节点。各板件之间采用共节点连接。防撞单元模型材料为钢材,密度为7 850 kg/m3,弹性模量为2.1×105 MPa,泊松比为0.3,屈服应力为235 MPa,切线模量为1 180 MPa。采用随动塑性本构模型,通过关键字*MAT_PLASTIC_KINEMATIC定义。
在碰撞模型中,约束防撞单元底板的所有自由度,定义船艏模型的初速度为3 m/s,关键字为*INITIAL_VELOCITY,不考虑流体的影响,只保留船艏碰撞方向的平动自由度。为了避免防撞单元内部结构之间出现穿透现象,通过关键字*CONTACT_AUTOMATIC_SINGLE_SURFACE将内部各板件之间定义为自动单面接触。船艏和防撞单元间则通过关键字*CONTACT_AUTOMATIC_SURFACE_TO_SURFACE设置为自动面-面接触。接触的静摩擦因数设置为0.2,动摩擦因数设置为0.15[24]。
2.2 结果分析
在夹层形式为波纹形、三角形、梯形这3种情况下,碰撞力分别为3.540、4.228、4.592 MN。当夹层形式为波纹形时,在碰撞过程中产生的碰撞力最小,所以,防撞装置的夹层形式选用波纹形。
当防撞单元选用波纹形时,各板件内能变化时程曲线见图4。从图4可以看出:随着碰撞的进行,各个板件通过变形吸收的能量不断增加,最后内能曲线逐渐趋于稳定。其中,波纹板吸收的能量最多,占比达到44.3%;四周侧板吸收的能量次之,说明夹层板的吸能占主要作用,其构造形式尤其重要。
2025年9期/10.11817j.issn.1672-7207.2025.09.019/alternativeImage/415CED81-23BF-48ef-BE35-84AD4C22AE78-F004.jpg)
3 落锤试验与有限元数值仿真
为了探究防撞单元的防撞效果,需通过模型试验对防撞单元的性能及有限元模型的合理性进行验证。考虑到桥墩刚度相对于防撞试件的刚度很大,在试验过程中,以防撞试件的缓冲耗能情况反映其防撞效果,按1꞉3的外形缩尺比例进行落锤试验,并对试验过程进行有限元数值模拟。
3.1 试验装置与试件设计
3.1.1 落锤试验装置
落锤装置由提升装置、自动脱钩装置、落锤、导向杆以及钢管钢架等多个部分组成,如图5所示。装置高为4.5 m,落锤最大下落高度为2.5 m。落锤两边焊接有套筒,套筒与导向杆配合使锤头只能沿竖直方向运动。
2025年9期/10.11817j.issn.1672-7207.2025.09.019/alternativeImage/415CED81-23BF-48ef-BE35-84AD4C22AE78-F005.jpg)
落锤试验中锤头形式对试验结果影响很大,为了尽可能与实际碰撞场景一致,选取与船艏形状类似的半圆柱型锤头,圆截面半径为300 mm。锤头上设置固定螺杆,通过在螺杆上附加配重块使落锤质量在200 kg到300 kg之间变化,以满足试验过程中不同冲击能量的输入需求。
3.1.2 防撞单元
防撞试件的外部长×宽×高为500 mm×500 mm×200 mm,基于落锤冲击能量设计,在试件内部共设置2层夹层,每个夹层的高度为250 mm,如图6所示。1个夹层板包含2个完整的正弦波,波长与波高均为250 mm。试件中顶板与底板厚度为2 mm,其他板件厚度均为1 mm。为了防止试件在试验过程中产生移动,在底板4个角处分别开孔,通过螺栓将试件固定在上夹板上。上夹板和下夹板通过4个角上的螺栓将力传感器固定在2块夹板中间,以测量装置缓冲后的碰撞力。
2025年9期/10.11817j.issn.1672-7207.2025.09.019/alternativeImage/415CED81-23BF-48ef-BE35-84AD4C22AE78-F006.jpg)
为了检验在夹层板内填充泡沫后的防撞性能,将泡沫块切割成需要的尺寸及形状后填入夹层结构空隙内,如图6(b)所示。本试验使用的填充泡沫为PH75型号PVC泡沫,通过单轴压缩试验得到泡沫材料的应力-应变曲线如图7所示。PVC泡沫密度为75 kg/m3,压缩强度为1.7 MPa,压缩模量为 72 MPa,拉伸截止应力为2.6 MPa。
2025年9期/10.11817j.issn.1672-7207.2025.09.019/alternativeImage/415CED81-23BF-48ef-BE35-84AD4C22AE78-F007.jpg)
3.2 试验方案
为了检测不同撞击能量下的防撞效果,前期通过有限元模拟,选取不同下落高度和落锤质量的工况进行对比,设计了200、250和300 kg共3种不同质量下的落锤冲击工况,具体工况如表1所示。
| 工况编号 | 试件类型 | 落锤质量/kg | 下落高度/m |
|---|---|---|---|
| 1 | 未填充 | 200 | 2.2 |
| 2 | 未填充 | 250 | 2.2 |
| 3 | 未填充 | 300 | 2.2 |
| 4 | PVC泡沫填充 | 250 | 2.2 |
| 5 | 未设置防撞试件 | 300 | 1.0 |
| 6 | 未填充 | 300 | 1.0 |
试验时,使用提升装置将落锤提升到指定位置,再将试件安装到上夹板,待数据采集系统准备就绪后,通过脱钩装置释放落锤,使其自由下落并撞击待测试件。在撞击过程中,测力传感器和高速摄影机实时对试验数据进行采集。试验完成后,观察并记录试件的变形情况,及时保存设备记录的数据。完成1个工况后,更换试件,调整落锤质量,然后重复上述操作。
在试验过程中,需要采集的参数有冲击力、锤头的位移及碰撞速度。其中,冲击力由压力传感器测量,采用数据采集仪可以得到冲击力时程曲线。压力传感器选用上海狄佳公司出品的DJYZ-676压电式压力传感器,测量范围为0~300 kN,最大误差为±0.6 kN。采用高速摄影机(帧率为4 000 帧/s)记录落锤冲击试件全过程。试验中高速摄像机采集的是一系列图像,可根据所拍摄照片中标尺和标记点的相对位置自动计算标记点的位移随时间的变化,并基于位移-时间曲线计算锤头接触试件瞬间的速度。
3.3 试验结果
3.3.1 试件变形情况
在工况1~4下(见表1),防撞试件在落锤冲击下的变形情况如图8所示。从图8可以看出:试件顶面出现明显的凹陷,顶板贴合锤头曲面弯曲变形,四周板件呈现出凹陷和凸起;在部分变形较大的区域,各板件间的焊缝因为巨大的冲击作用而被破坏开裂。
2025年9期/10.11817j.issn.1672-7207.2025.09.019/alternativeImage/415CED81-23BF-48ef-BE35-84AD4C22AE78-F008.jpg)
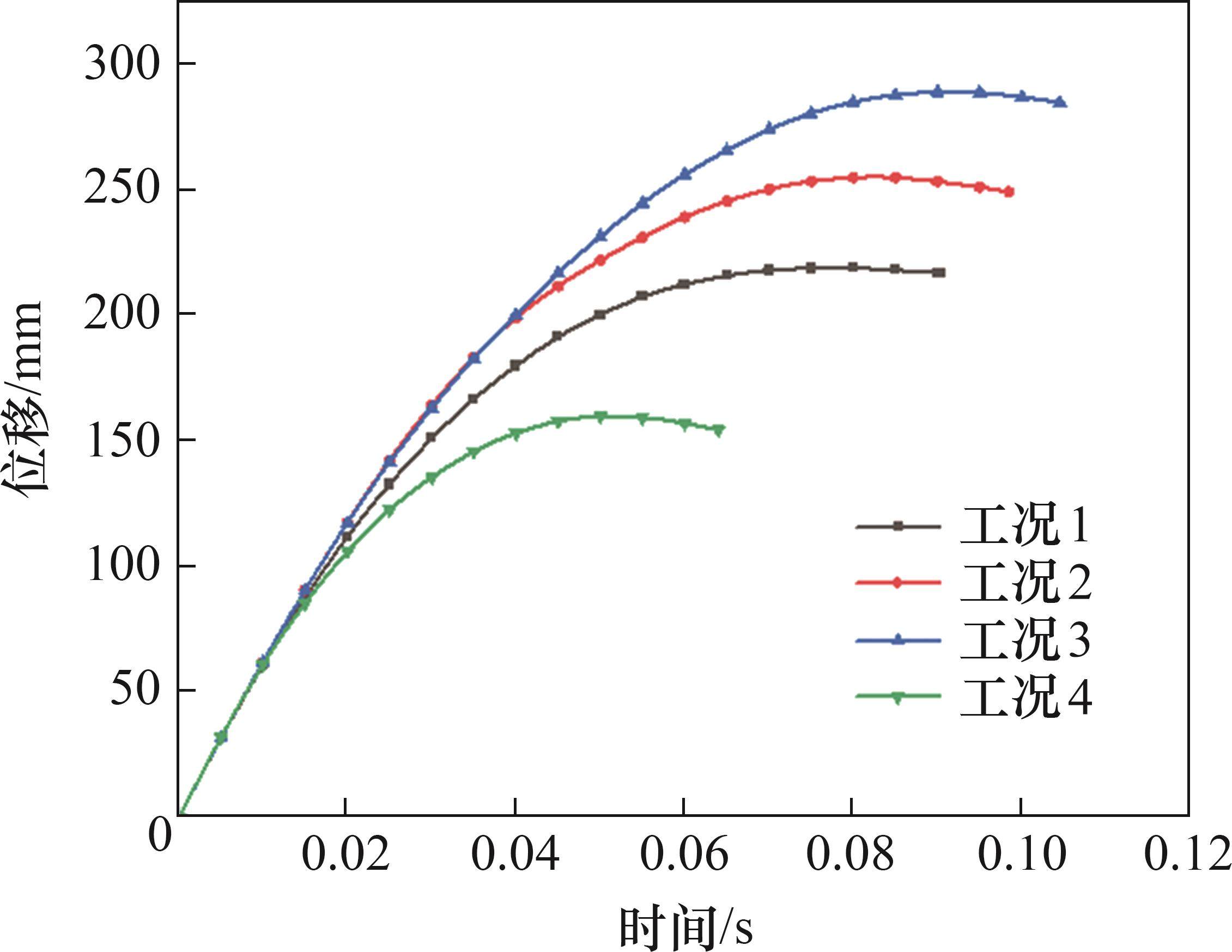
试验中,高速摄影机记录不同工况下锤头与装置接触开始的位移-时间曲线,如图9所示。
2025年9期/10.11817j.issn.1672-7207.2025.09.019/alternativeImage/415CED81-23BF-48ef-BE35-84AD4C22AE78-F009.jpg)
从图9可以看出:在不同工况下,曲线线型基本一致,冲击发生后锤头位移不断增加;随着试件的变形吸能,落锤的动能逐渐减小,落锤位移曲线逐渐平缓并趋于稳定,落锤位移达到最大值;随后,试件由于并未完全塑性变形而产生回弹,位移曲线有所回落。
在工况1~4下,落锤的位移最大值分别为218.74、255.03、288.89、159.84 mm。当下落高度相同时,随落锤质量增加,下落位移的最大值随之增大,试件的变形也不断加大。试件在填充泡沫材料后,结构的刚度和强度有所增加,试件的变形减小。相较于未填充泡沫的试件,下落位移最大值减小了59.5%。
3.3.2 试件冲击力
在工况1~4下,试件所受冲击力的时程曲线如图10所示。
2025年9期/10.11817j.issn.1672-7207.2025.09.019/alternativeImage/415CED81-23BF-48ef-BE35-84AD4C22AE78-F010.jpg)
从图10可以看出:不同工况下得到的冲击力时程曲线较相似,只是冲击力峰值和作用时间有所不同;落锤在与试件接触后冲击力迅速达到第一个峰值,由于第一个夹层的变形缓冲,冲击力有所降低;当第二个夹层开始起作用时,冲击力又开始增大;随着内部波纹板及各板件的大变形耗散冲击能量,冲击力又缓慢下降;试件在填充泡沫材料后,结构的刚度有所增加,试件的冲击力最大。
工况1~3的冲击力峰值分别为37.03、39.22、43.12 kN。随着落锤质量增加,落锤冲击能量越大,造成的冲击力峰值也越大。填充泡沫材料后测得的冲击力峰值为63.81 kN,相较于未填充泡沫,冲击力峰值增大了47.98%。因此,填充泡沫材料后,可通过适当减小试件各板件的厚度调整试件刚度减小冲击力,达到减小试件自身质量、节省材料的目的。
图11所示为工况5和工况6的冲击力时程曲线。从图11可以看到:未设置防撞单元的整个碰撞时间约为0.021 s,冲击力时程曲线在达到峰值293.25 kN后出现了1个平台段,这是因为在该工况下,冲击力超出了传感器量程范围。设置防撞单元 后碰撞时间约为0.183 s,碰撞力峰值为19.13 kN。设置了防撞试件后,碰撞时间大幅度增加,冲击力峰值也大大降低。
2025年9期/10.11817j.issn.1672-7207.2025.09.019/alternativeImage/415CED81-23BF-48ef-BE35-84AD4C22AE78-F011.jpg)
3.4 有限元数值模拟
3.4.1 有限元计算模型
按照试验中采用的落锤尺寸,去除锤头上多余的组件,建立简化的有限元模型。由于锤头相较于试件刚度极大,在冲击过程中几乎没有变形,为减小计算量,将其设置为刚体,并约束落锤除竖向以外的其余自由度,其网格尺寸为15 mm。在有限元模型中,将落锤移动到试件顶部,将落锤接触试件时的速度设为落锤模型初速度。防撞装置采用壳单元模拟,外壳网格尺寸为10 mm,夹层网格尺寸为5 mm。箱内填充的PVC泡沫采用实体单元。应力-应变曲线采用3.1.2节的试验结果。试件底部约束所有方向的自由度,建立的有限元模型如图12所示。
2025年9期/10.11817j.issn.1672-7207.2025.09.019/alternativeImage/415CED81-23BF-48ef-BE35-84AD4C22AE78-F012.jpg)
3.4.2 数值模拟与试验结果对比
将落锤试验与有限元计算得到的防撞试件变形情况、落锤位移与冲击力变化时程曲线进行对比,以验证有限元模型计算结果的准确性,并进一步探究防撞装置的防护性能。
1) 试件变形情况。有限元模拟的各工况试件变形如图13所示。对比图13与图8可以看出有限元模拟的整体变形与试验结果基本吻合,说明有限元能够较好地模拟防撞试件受到冲击时的变形破坏特征。
2025年9期/10.11817j.issn.1672-7207.2025.09.019/alternativeImage/415CED81-23BF-48ef-BE35-84AD4C22AE78-F013.jpg)
锤头位移-时间曲线如图14所示,实验结果与有限元结果变化趋势较吻合。
2025年9期/10.11817j.issn.1672-7207.2025.09.019/alternativeImage/415CED81-23BF-48ef-BE35-84AD4C22AE78-F014.jpg)
2) 冲击力时程曲线。不同工况下试验与有限元模拟得到的冲击力时程曲线对比如图15所示。从图15可以看到:在各工况下,通过有限元模拟得到的冲击力时程曲线与试验实际测得的冲击力时程曲线在形态上具有较高的一致性。
2025年9期/10.11817j.issn.1672-7207.2025.09.019/alternativeImage/415CED81-23BF-48ef-BE35-84AD4C22AE78-F015.jpg)
位移峰值和撞击力峰值的试验结果和有限元模拟结果对比如表2所示。从表2可见:试验与有限元模拟的冲击力峰值最大相对误差为6.24%,位移峰值最大相对误差为9.66%,表明有限元模型能够比较准确地计算防撞单元落锤冲击试验的动力响应。
| 工况 | 参数 | 试验结果 | 模拟结果 | 相对误差绝对值/% |
|---|---|---|---|---|
| 1 | 冲击力峰值/kN | 37.03 | 39.34 | 6.24 |
| 位移峰值/mm | 218.74 | 197.62 | 9.66 | |
| 2 | 冲击力峰值/kN | 39.22 | 40.34 | 2.86 |
| 位移峰值/mm | 255.03 | 235.78 | 7.55 | |
| 3 | 冲击力峰值/kN | 42.12 | 44.40 | 5.41 |
| 位移峰值/mm | 288.89 | 307.17 | 6.33 | |
| 4 | 冲击力峰值/kN | 64.08 | 66.30 | 3.46 |
| 位移峰值/mm | 159.84 | 156.00 | 2.40 |
在工况5中,有限元计算得到的冲击力时程曲线与实验测得的冲击力在0~300 kN范围内较符合(图15(e)),由于实测冲击力超过传感器量程,可取有限元计算的冲击力峰值(503.55 kN)来代替实验 所测得的冲击力峰值。经计算可知,当总质量为300 kg的落锤从1 m高处落下时,防撞单元试件能使冲击力减小约96.20%,说明防撞装置具有很好的缓冲吸能效果。
4 防撞单元的参数优化
通过落锤试验验证防撞单元的缓冲效果和有限元模型计算可靠性。建立防撞单元和实际船舶的碰撞计算模型,确定防撞单元各部件的最优参数。
4.1 尺寸设计及有限元模型
影响防撞单元吸能效果的主要参数是防撞单元各板件的厚度,为了确定防撞单元在船舶撞击下的最优参数组合,通过有限元模拟设计正交试验,每个因子选取5个水平,共5个因子,以碰撞力为指标确定各参数的最优组合。初步选取迎撞板的厚度为8.0、8.5、9.0、9.5、10.0 mm,夹层板厚度为5.0、5.5、6.0、6.5、7.0 mm;横隔板厚度为6.0、6.5、7.0、7.5、8.0 mm;外侧板厚度为4.5、5.0、5.5、6.0、6.5 mm,夹层单元的高宽比为1꞉0.90、1꞉0.95、1꞉1.00、1꞉1.05、1꞉1.10,分别建立有限元数值模型对碰撞力进行计算。
4.2 正交试验及仿真计算结果
通过对25组正交试验组合的防撞单元进行有限元模拟计算,可以得到不同参数组合下船艏与防撞单元之间的碰撞力,利用极差分析探究各因素的影响规律变化和显著性,分析结果见表3。
| 参数 | 水平 | 因子1 | 因子2 | 因子3 | 因子4 | 因子5 |
|---|---|---|---|---|---|---|
| K | 1 | 4.100 | 3.432 | 3.588 | 4.864 | 4.074 |
| 2 | 3.946 | 3.906 | 4.824 | 3.944 | 3.668 | |
| 3 | 3.708 | 5.098 | 3.708 | 3.720 | 3.904 | |
| 4 | 4.400 | 4.008 | 4.466 | 3.904 | 4.060 | |
| 5 | 4.338 | 4.048 | 3.906 | 4.060 | 4.786 | |
| 最小K值 | 3.708 | 3.432 | 3.588 | 3.720 | 3.668 | |
| 最佳水平 | 3 | 1 | 1 | 3 | 2 | |
| R | 0.692 | 1.666 | 1.236 | 1.144 | 1.118 | |
表3中,因子1、2、3、4、5分别对应迎撞板厚度、夹层板厚度、横隔板厚度、外侧板厚度、夹层高宽比。由表3可知:在选定的水平范围内,各因素影响防撞单元防护效果的程度不同;夹层板厚度的极差值最大,表明夹层板的厚度是影响防撞单元防护效果的最重要因素。对碰撞力影响程度由大至小的因素依次为夹层板厚度、横隔板厚度、外侧板厚度、夹层高宽比、迎撞板厚度。当因子1取第3个水平(9.0 mm)、因子2取第1个水平(5.0 mm)、因子3取第1个水平(6.0 mm)、因子4取第3个水平(5.5 mm)、因子5取第2个水平(1꞉0.95)时,防撞效果最佳。
各因子按最优参数选取后,防撞单元的冲击力时程曲线如图16所示。从图16可见:防撞单元在船艏的碰撞下,碰撞过程共持续0.87 s,最大碰撞力出现在0.34 s,最大撞击力为2.87 MN,较之前25组正交组合下的碰撞力都低,说明防撞单元的参数选取合理。
2025年9期/10.11817j.issn.1672-7207.2025.09.019/alternativeImage/415CED81-23BF-48ef-BE35-84AD4C22AE78-F016.jpg)
4.3 最优参数下防撞单元性能
以我国内河航道中比较常见的1000DWT货船作为设防代表船型,建立船舶碰撞有限元模型,如图17所示。
2025年9期/10.11817j.issn.1672-7207.2025.09.019/alternativeImage/415CED81-23BF-48ef-BE35-84AD4C22AE78-F017.jpg)
船舶总长为63 m,型宽为10.2 m,型深为4.0 m,设计吃水为2.8 m。模型中船体各部件均采用四节点缩减积分的Hughes-Liu壳单元来进行网格划分,船艏网格尺寸为0.1 m,船身网格尺寸为0.2 m,共有壳单元112 747个。整船模型采用弹塑性本构模型即*MAT_PLASTIC_KINEMATI,船舶材料参数见表4。桥墩是某三级航道上双柱六边形桥墩,材料为C40混凝土,采用线性弹性本构模型进行模拟。碰撞模型的接触设置与2.2节中的相同。
| 材料 | 密度(kg·m-3) | 弹性模量/GPa | 泊松比 | 屈服应力/MPa | 切线模量/MPa | 失效应变 | C | p |
|---|---|---|---|---|---|---|---|---|
| 钢材 | 7 850 | 210 | 0.3 | 235 | 1180 | 0.35 | 40.5 | 5 |
设计有、无防撞单元共2种工况,船舶以 3.5 m/s的速度正撞桥墩,比较2种工况下的碰撞力及船艏变形,验证最优参数下防撞单元的吸能缓冲效果。有、无防护碰撞力时程曲线与船艏撞深时程曲线如图18所示。从图18可见:在有防护情况下,碰撞时间延长,碰撞力及船艏撞深均不同程度地减小;在有、无防护这2种工况下,碰撞力峰值分别为5.69 MN和9.66 MN,船艏撞深峰值分别为1.17 m和1.82 m;有防撞单元工况相较于无防撞单元工况,碰撞力降低41.1%,船艏撞深减少35.6%。可见,防撞装置具有良好的吸能缓冲效果。
2025年9期/10.11817j.issn.1672-7207.2025.09.019/alternativeImage/415CED81-23BF-48ef-BE35-84AD4C22AE78-F018.jpg)
5 结论
1) 本文设计的可展开式单元防撞装置由监测控制系统、防撞单元、浮箱3部分组成。通过控制防撞单元在需要时展开,可以达到有效防护桥墩且减少占用航道空间的目的,具有适应性强、便于维修更换等特点。
2) 当防撞单元夹层形式选择波纹形时,防护效果较好;填充泡沫材料后,试件的刚度增大,冲击力明显增大,变形减小。填充泡沫材料后可减小防撞装置钢板的厚度以减小装置的刚度,达到减少冲击力、节省材料的目的。
3) 设计的防撞装置具有良好的吸能缓冲效果,有限元仿真计算的位移和碰撞力峰值与试验结果最大相对误差均小于10%,表明有限元计算模型具有较高的准确度。
4) 当防撞单元的迎撞板厚度为9.0 mm、夹层板厚度为5.0 mm、横隔板厚度为6.0 mm、外侧板厚度为5.5 mm、夹层高宽比为1:0.95时,防撞单元的吸能缓冲效果最优。
内填陶粒耗能材料的桥梁钢管桩围堰防船撞试验及数值模拟
[J/OL]. 工程力学, 2024: 1-16. [宋旭明, 司合想, 唐冕, 等. 可展开式桥墩船撞防护装置数值仿真及试验研究[J]. 中南大学学报(自然科学版), 2025, 56(9): 3783-3796.
SONG Xuming, SI Hexiang, TANG Mian, et al. Numerical simulation and experimental study of deployable pier ship collision protection device[J]. Journal of Central South University(Science and Technology), 2025, 56(9): 3783-3796.
http://dx.doi.org/10.11817/j.issn.1672-7207.2025.09.019

