渗透系数作为土壤的重要的工程物理性质,在各类工程中的应用已十分广泛,如路基填料的性能和稳定性分析[1],地基的加固与建设安全[2-4],膨润土垫层[5-8]、石油开采[9]等。快速、准确地获得土壤渗透系数对于各类工程施工都有广泛且重要的意义。但由于黏土大多有颗粒粒径小、复杂双电层作用导致的渗透性极低等特点[10],现有的渗透系数测量手段难以准确且快速地获得黏土渗透系数[11-12]。土壤的渗透系数的主要获得方法可以分为试验法与经验公式法2种。其中试验法又分为室内测试和现场测试两大类[13-14]。现场测试方法根据不同工况,主要采取钻孔注水试验、钻孔抽水试验、孔压静力触探等测试[15],其测试结果能直接反映土壤在自然状态下的渗透特性,避免了土样扰动和代表性不足的问题,但成本较高,且受现场复杂环境影响较大[16]。室内测试根据不同的需求,主要有常、变水头渗透试验以及三轴渗透试验等[15],条件可控性较高,操作简单,成本较低,因此提高室内测试的准确度能够有效降低工程成本。室内渗透试验主要包括变水头渗透试验、常水头渗透试验等,这2种渗透试验能保证一定的准确度,但在测试透水性较小的黏土的渗透系数时试验周期可能长达1~2周,导致实际工程应用时效率极低。经验公式法能够在欠缺测试数据的情况下,利用经验系数能较快估算出土壤的渗透系数,国内外学者们针对土壤渗透特性的测定,提出了大量基于天然土的物理性指标、粒径级配曲线等计算渗透系数的经验公式[17-20]。然而上述经验公式对黏土适用性有限,在应用过程中依旧难以避免室内试验,影响了实际工程应用的效率。为提出黏土渗透系数快速测定方法,本文将基于达西定律,结合布氏漏斗真空抽滤试验,提出一种基于达西定律和抽滤试验的渗透系数快速测定方法。并将用这一快速方法,对3种原状土与APAM絮凝改性温州土的渗透系数进行测定。最后,结合常规的室内渗透固结试验结果,验证其准确性与适用范围。提出的方法与传统室内渗透试验方法相比,单组黏土渗透试验测试时间将缩短至数十分钟,适用于较大孔隙比范围的饱和温州土、高岭土、宁波土和絮凝改性温州土。为工程上黏土渗透系数的快速测定方法提供一定思路与参考。
1 试验方法
1.1 试验土样
本次试验用土为浙江省宁波市某桩基工程渣土(本文简称宁波土)、浙江省温州市某海涂处理工程黏土(本文简称温州土)与高岭土,所有土样均为高含水率原状土。采用《土工试验方法标准》(GB/T 50123—2019)[21]规定的标准岩土工程试验方法确定了土样的物理力学特性,其中土的液塑限由液塑限联合测定仪测得,比重由比重瓶法测得,土的基本物理参数如表1所示。各土的成分由X射线衍射(XRD)确定,结果如表2所示。采用密度计法测量土样的粒度分布,级配曲线如图1所示。根据《土的工程分类标准》(GB/T 50145—2007)[22]确定3种土的工程分类,高岭土与宁波土属于低液限黏土,温州土属于高液限黏土。此外,为确定所提出方案对絮凝土的适用性,将对絮凝剂处理后的温州土进行试验分析。选用APAM絮凝剂,掺量根据毛细吸水(CST)试验确定,CST试验可以直接反映液体从黏土悬浮液中排出的速度,被广泛用于评估黏土的过滤性能,CST值越小,黏土的过滤透水性能越好。絮凝剂添加后,先以350 r/min的速率混合60 s,再以250 r/min的速率混合40 s。
| 泥浆参数 | 液限/% | 塑限/% | 比重 | 初始含水量% |
|---|---|---|---|---|
| 宁波土 | 31 | 21 | 2.71 | 170 |
| 温州土 | 53 | 26 | 2.63 | 159 |
| 高岭土 | 40 | 23 | 2.68 | 153 |
| 土样 | 绿泥石 | 伊利石 | 角闪石 | 石英 | 微斜长石 | 钠长石 | 方解石 | 赤铁矿 | 高岭石 |
|---|---|---|---|---|---|---|---|---|---|
| 温州土 | 18 | 30 | 2 | 32 | 3 | 11 | 3 | 1 | 0 |
| 宁波土 | 15 | 24 | 1 | 44 | 4 | 11 | 0 | 1 | 0 |
| 高岭土 | 0 | 2.9 | 0 | 0 | 0 | 0 | 0 | 0 | 96.5 |

1.2 试验装置
1.2.1 布氏漏斗抽滤装置
布氏漏斗真空抽滤装置(图2)由布氏漏斗、塞式测量筒和滤架组成。漏斗下端和量筒上口采用喷砂处理,保证连接的气密性。布氏漏斗内径为10 cm,量筒容积为250 mL,布氏漏斗及量筒壁上画有刻度,以便试验中读数。

1.2.2 渗透固结装置
在自制的直径为60 mm的固结渗透装置(图3)中对土样开展固结试验与渗透试验。采用标准多级加载固结装置进行初始荷载为1 kPa的固结试验。将渗透装置与固结装置相结合,可实现在一定压力下实时测量黏土的渗透性。考虑到固结压力小于6 kPa时土骨架尚未形成,渗透系数试验测试误差较大,本研究只讨论6 kPa以上加载阶段中测得的渗透系数。

1.3 试验方案及误差分析
本文使用3种原状土与APAM絮凝改性温州土进行渗透固结试验和抽滤试验,根据试验结果,提出基于抽滤试验的渗透系数测定方法。具体试验操作步骤如下。
1)最优掺量絮凝土配制。配置APAM掺量为0.05%、0.10%、0.15%、0.20%、0.25%的絮凝温州土,测量其CST值,取CST值最小时掺量为最优絮凝剂掺量,以最优掺量配置絮凝温州土进行后续渗透固结试验以及抽滤试验。
2)渗透固结试验。根据《土工试验方法标准》(GB/T 50123—2019)提出的固结试验方法,开展固结试验[21]。将含有样品的固结环(直径为60 mm,高度为20 mm)置于土样盒中,样品两端有滤纸和透水石。固结压力逐渐增加到1、2、3、4、6、8、10、12.5、25、50、100、200、400、800 kPa,在每个加载阶段沉降结束后(1 h内沉降小于0.005 mm),通过连接在土样盒上的变水头渗透仪进行渗透试验,完成后开始下一个加载阶段,得到各土样的孔隙比-渗透系数(e-k)曲线。
3)布氏漏斗抽滤:①布氏漏斗底部覆盖滤纸,均匀缓慢地填充240 mL土样,记录初始泥面高度为3 cm。②在泥浆顶部覆盖一层不透气的塑料膜以避免抽滤过程中气体进入土样减小饱和度。③静置一段时间待漏斗内泥浆面稳定,自重脱水完毕后,用真空泵施加恒定压力80 kPa,每30 s(0~300 s)、60 s(300 s后)记录一次量筒内滤液体积以及漏斗内泥面高度,10 min后停止记录。
本研究所涉及的2种渗透试验的主要误差来源于装样过程中难以避免气体进入导致的土样不饱和问题,为避免这一误差,本研究在装样完毕后将进行反压饱和,将样品置于含水饱和缸内并密封饱和缸,外接真空泵使缸内气压低于20 kPa并静置12 h,使样品充分饱和后再进行试验。同一孔隙比进行至少3次试验,结果取数据相近的数据点取平均值。
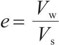
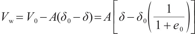
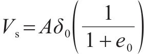
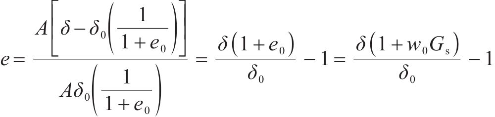
1.4 基于达西定律和抽滤试验的渗透系数测定方法
由达西定律可知,渗流速度v、水力梯度i与渗透系数k的关系为:

在布氏漏斗抽滤装置中,渗流速度v与水力梯度i可以根据式(2)与式(3)进行计算:


式中:A为布氏漏斗面积;V为出水体积;t为抽水时间;g为重力加速度;


本文将通过布氏漏斗抽滤试验,获得各时刻下黏土脱水速率

用参数泥面高度




其中,






其中,



2 试验结果及分析
2.1 CST试验
絮凝温州土的CST值如图4所示,由CST试验可知,对于温州土,APAM的最优掺量为0.1%。高岭土、宁波土、原状温州土、最优掺量APAM絮凝改性温州土的CST值分别为337、21.7、597、343 s。

2.2 渗透试验
由渗透固结试验装置测得的各试验土样的渗透曲线如图5所示,每种试验土都进行了10组不同孔隙比下的渗透试验,各试验土样的e-k曲线在双对数坐标系中都呈现出良好的线性关系。对比原状土试验组,高岭土的渗透系数随孔隙比变化最小,宁波土最大。这可能是由于各土样黏粒占比不同,级配不同,导致渗透系数及其随孔隙比的变化趋势存在较大差异。在低孔隙比下,宁波土渗透系数最低,高岭土最高,在高孔隙比下,温州土渗透系数最低,宁波土最高。对比2种温州土试验组,在相同孔隙比下,相较于APAM絮凝温州土,原状温州土渗透系数更高。

2.3 布氏漏斗抽滤试验
图6、图7为自重脱水后出水量随时间变化图以及泥面高度随时间变化图。温州土、宁波土、高岭土、APAM絮凝温州土的10 min时出水量分别为126.6、147.9、130.0、113.7 mL,10 min时的沉降量分别为1.61、1.88、1.65、1.45 cm。


图8为出水速率随时间变化曲线。总体上看,4种土的出水速率由快到慢分别为APAM絮凝温州土、宁波土、高岭土、温州土。由于试验开始的前150 s,各土样含水量过高,土骨架尚未形成,出水速率十分不稳定,因此取150 s后的抽滤试验数据计算各土渗透系数。

2.4 基于抽滤试验的渗透曲线测定方法
黏土的e-k曲线可以根据布氏漏斗抽滤试验结果进行测定。考虑到抽滤试验后期泥饼形成,土样不均匀,与实际的土壤渗透情况不符,而抽滤初期快速出水阶段出水速率不稳定(图8),选用120~300 s内土样较均匀、出水速率较稳定的情况下的试验结果。将抽滤试验测得的出水速率以及泥面高度代入式(4),计算出各时刻土样的渗透系数k。再利用泥面高度和初始含水量等数据代入式(11)得到各时刻土样的孔隙比e,从而获得e-k曲线。抽滤试验获得的e和k在双对数坐标下线性相关,为使拟合式平衡量纲,令k0=10-8 cm/s,则渗透系数k可用一无量纲数k*=k/k0表示,e和k*在双对数坐标系中的线性关系如式(12):

其中,a和b为常数,各土样拟合得到的a、b如表3所示。
| 土样 | a | b | R2/% |
|---|---|---|---|
| 温州土 | 0.239 | -0.078 4 | 88.39 |
| 宁波土 | 0.270 | -0.199 0 | 96.31 |
| 高岭土 | 0.357 | -0.293 0 | 96.31 |
| APAM絮凝温州土 | 0.159 | 0.074 5 | 91.41 |
根据图8显示,在本试验压强下,抽滤试验进行到360 s后,各土的出水速率都低于10-2 mL/s,装置中土样的排水已十分缓慢。当土样含水量降低至接近一倍液限含水量时,因抽滤排水导致的土样孔隙比变化已非常微小,若要使用抽滤试验测试土样低于液限孔隙比后的渗透系数,将花费较长时间。因此,抽滤试验在直接测试低含水率土样的渗透系数上有其局限性。
要通过抽滤试验评估低含水率土样的渗透性,只能通过抽滤试验获得的e-k曲线间接反映。为验证抽滤试验e-k曲线在低孔隙比时的适用性,将该曲线与渗透固结试验在低孔隙比时的结果进行对比,结果如图9中所示,抽滤试验数据用实心标记表示,渗透固结试验数据用空心标记表示,图例中同时标示了渗透固结试验结果与抽滤试验e-k曲线的拟合度。从结果上看,各试验土样在低孔隙度的渗透固结试验结果与抽滤试验e-k曲线都有较高的拟合度。综上,对于温州土、高岭土、宁波土和APAM絮凝温州土4种工程常见土,抽滤试验e-k曲线对低孔隙比黏土也有较好适用性。

在效率上,如2.2中图5所示,传统渗透试验获得一条e-k曲线需进行多组试验,每组试验都需耗时1 h以上,使用传统室内渗透试验测得一条e-k曲线通常耗时10 h以上。而抽滤试验测试测得某种土样的e-k曲线仅需600 s,对比传统渗透实验在效率上有较大优势。在实际应用中,抽滤试验更加节省时间。
基于达西定律和布氏漏斗抽滤试验的渗透系数测定方法可以准确、快速地测定3种饱和原状黏土和APAM絮凝温州土在高含水量下的渗透系数,通过试验获得的高孔隙比渗透数据拟合所得的e-k曲线对于低孔隙比下的渗透系数计算也有一定参考价值。
3 结论
1) 本研究从理论层面讨论了达西定律在布氏漏斗抽滤试验中的应用,据此提出了一种基于达西定律与布氏漏斗抽滤试验的黏土渗透系数快速测定方法。通过常规渗透试验验证,该方法对各试验土样在高孔隙比条件下的渗透系数均具有较好的测定能力。对比常规室内渗透试验,该方法耗时较短,能够在保证一定准确度的情况下将常规室内渗透试验长达1~2周的周期减小至数小时。
2) 在高孔隙比条件下,对比抽滤试验和常规试验的试验数据,抽滤试验测得的各土样的渗透系数与常规室内渗透试验结果具有较好的一致性。在低孔隙比条件下,该方法也有较好的可靠性,e-k曲线的拟合外延结果与常规室内渗透试验数据的吻合度较高,决定系数R2均超过90%。
3) 本文提出的方法对温州土、高岭土、宁波土以及APAM絮凝改性温州土等4种工程常见黏土在孔隙比0.9~2.4范围内均表现出良好的适用性。该方法能够满足几种常见黏土的测试需求,为工程实践中黏土渗透系数的快速测定提供了具有一定普适性的解决方案。
叶朝晖,徐山琳,孙宏磊等.广义达西定律下黏土渗透系数抽滤快速测定方法研究[J].铁道科学与工程学报,2025,22(10):4553-4560.
YE Zhaohui,XU Shanlin,SUN Honglei,et al.Investigation into a rapid filtration method for determining the hydraulic conductivity of clay based on generalized Darcy’s Law[J].Journal of Railway Science and Engineering,2025,22(10):4553-4560.

