饱和土在外部荷载的作用下,体积发生压缩且孔隙水压力消散的过程即为土体固结[1]。土体固结会造成一系列的工程危害,如基坑支护结构变形,地下民用设施受损等。研究饱和土体中超孔隙水压力的变化规律有助于理解土体的固结行为,采取相应的措施来控制土体的变形和沉降[2]。目前,在固结问题中,解析研究、数值方法和试验测量是监测超孔隙水压力的3种主要方法。然而,解析方法仅适用于较理想的低维固结问题[3];数值方法在求解固结方程时,需依赖完整且明确的初始边界条件,而岩土工程中的初始和边界条件通常呈现出较大的不确定性,故而产生的误差较大,此外,传统数值方法难以解决不稳定问题[4];对于试验方法,尽管其能通过获取实测数据反映土体内部孔隙水压力的真实变化,但所需试验耗时较长,且稀疏的传感器布置无法全面反映土体全域内孔隙水压力的变化[5]。因此,如何利用稀疏且真实的超孔隙水压力实测数据,并在不完全依赖初始和边界条件的情况下,高效准确预测土体的固结行为,是岩土工程中亟待解决的关键问题之一。随着人工智能的发展,机器学习(Machine Learning)技术如深度神经网络(deep-learning neural network, DNN)和深度算子网络(DeepONet)等纯数据驱动神经网络方法,可为上述问题的解决提供新的思路[6-7]。目前DNN和DeepONet已被用于解决部分岩土工程问题[8-9]。事实上,在固结问题中,纯数据驱动方法可以通过神经网络拟合实测的孔隙水压力数据,在不依赖初始边界数据的情况下,近似得到孔隙水压力随时空的变化关系。但由于纯数据驱动神经网络方法本质为拟合方法,模型训练的准确性完全依赖于数据量的大小,而在实际固结问题中,孔隙水压力测点及数据是较为稀疏的,因此,纯数据神经网络模型的预测准确性难以保证,需进行改进[10]。为解决纯数据驱动神经网络方法的缺陷,RAISSI等[11-2]将物理方程引入DNN和DeepONet的训练中,分别提出了物理信息神经网络(physics-informed neural networks, PINNs)方法和物理信息深度算子网络(PI-DeepONet)方法。2种算法由于在训练过程中引入了物理方程的约束,故而相比纯数据驱动的DNN和DeepONet方法,求解精度有了大幅度提高,且所需训练数据量较小。PINNs与PI-DeepONet方法的不同之处在于:PINNs在单一物理模型的求解方面表现较好,但当物理模型中的参数发生变化时,其需要进行重新训练,从而导致训练时间较长;而PI-DeepONet可一次对一类物理模型进行训练,且训练完成后,可对所属该类物理模型的其他模型进行预测,泛化性较强[13-14]。本文引入PI-DeepONet方法,针对2种不同类型饱和土的固结问题,利用稀疏孔隙水压力测点数据实现土体全域水压力的实时预测。本文的结构如下:在第1节中,以一维固结问题为例,介绍DeepONet和PI-DeepONet算法的原理。在第2节中,利用2种算法研究了常规饱和黏性土的非线性固结行为,并讨论了不同噪声数据对预测结果的影响。随后,对于大变形饱和软土,利用2种算法得到了其固结行为,并在排水界面参数已知情况下,基于一个测点数据获得了土体全域孔隙水压力的演化规律。最后第3节给出结论。
1 理论介绍
1.1 问题表述
在实际工程中,通常会遇到常规饱和黏性土层的固结或特殊饱和软土层大变形固结问题。针对这2类问题,假定实验可测得部分离散空间点的孔隙水压力演化值,欲预测整个土层中各点的超孔隙水压力的变化,则该问题退化为以下问题。
考虑无量纲化深度为H的一维饱和土层,将垂直方向设置为Z。如图1所示,假设沿深度方向布置若干个孔隙水压力传感器(图中以3个传感器为例),得到各深度处超孔隙水压力



1.2 DeepONet方法基本原理
基于算子的万能逼近定理[15],LU等提出了DeepONet方法[7]。DeepONet属于一种新型纯数据驱动人工智能方法,其通过将输入数据序列映射到输出数据序列来近似其之间的函数关系,在数学上称之为算子,如求导,积分[16]。因此,1.1节中的固结问题可归结为求解离散超孔隙水压力测点数据到全域超孔隙水压力的映射算子
1.2.1 DeepONet神经网络
不同于传统神经网络变量到变量间的映射,DeepONet本质上为函数到函数间的映射关系,因此其神经网络的构造方式与传统神经网络不同,训练方式也不相同。具体而言,DeepONet方法由以下几步组成。
1) DeepONet网络搭建如图2(a)所示,DeepONet网络由分支网络(Branch net)和主干网络(Trunk net)组成,2个子网络均采用前馈神经网络(feedforward neural network, FNN)结构。分支网络以时间离散形式的超孔隙水压力函数






式中:



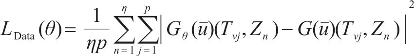
2) 损失函数构造针对1.1节中的固结问题,DeepONet网络的训练数据如下:

式中:


其中,


3) 损失函数优化损失函数衡量了DeepONet神经网络孔隙水压力预测值与真实值间的偏差,偏差越小,神经网络预测越准确。为找寻最优神经网络参数
1.3 PI-DeepONet方法基本原理
由上可见,DeepONet本质上为纯数据驱动神经网络方法,通过拟合实测值以获取最佳网络参数。因而,其对数据量的依赖也较大。但在实际工程问题中,数据的获取较为困难,且纯数据驱动的方法无法满足底层物理规律。为解决此类问题,WANG等[12]提出了PI-DeepONet算法。此算法在预测土体固结行为时,将固结方程嵌入DeepONet网络,在神经网络训练过程中增加了物理规律的约束,使得神经网络具有更好的预测精度。
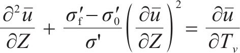
例如,考虑到饱和软土的大变形固结行为预测时,可基于XIE等[18]提出的一维大变形固结方程:

式中:

其中,

式中:q为构建物理约束所选取的随机时空点数。如图2(c)所示,总损失为

式中:Wo和Wf分别是数据损失部分和物理损失部分所占的权重。
2 2种土体的固结行为预测
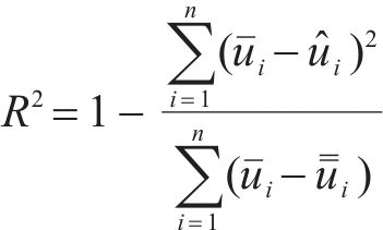
2.1 评估指标
为了量化2种算法解决问题的准确性,引入2个指标来定量评估结果,第1个评估指标为相对L2误差,如式(8)所示:

式中:



式中:n为预测集的大小;



2.2 常规黏土变形固结的全域孔隙水压力演化预测
本节将考虑连续排水边界条件下常规黏土变形固结行为。具体而言,将从有限局部空间测点的孔隙水压力测量值出发,获得土体全域内超孔隙水压力的演化规律。考虑到土体固结的非线性特性,在PI-DeepONet部分,引入非线性固结方程进行固结分析。此外,还研究了不同噪声情景下PI-DeepONet算法对全域超孔隙水压力预测结果的影响。
2.2.1 求解结果
限于试验数据获取的困难性,本部分的局部孔隙水压力测点数据通过宗梦繁等[19]推导的一维非线性固结方程的解析解生成。在生成过程中,界面参数



式中:


| 参数 | DeepONet/PI-DeepONet取值 |
|---|---|
| Wo | 1/1 000 |
| Wf | 0/10 |
| p | 100 |
| q | 2 800 |
| m | 1 000 |
| 测点数目 | 3 |
| 分支网络结构 | [1 000,40,40,40,40,40] |
| 主干网络结构 | [2,40,40,40,40,40,40] |
| Adam学习率 | 0.005 |
| Adam迭代次数 | 40 000 |
基于常规黏土变形固结的预测结果,对比了2种算法的相对L2误差和R2结果。如表2所示,PI-DeepONet算法相对L2误差少于0.6%,相较DeepONet算法减少了一个数量级,且R2大于0.999 8,在预测精度方面取得了显著提升,且2种算法的计算时长相差不大。
| DeepONet | PI-DeepONet | |
|---|---|---|
| 相对L2误差 | 0.070 835 | 0.005 569 |
| R2 | 0.982 201 | 0.999 896 |
| 计算时长/s | 296.0 | 341.4 |
图3(a)和图3(b)分别展示了DeepONet和PI-DeepONet 2种算法对超孔隙水压力



2.2.2 噪声对PI-DeepONet算法精度影响研究
为了模拟实际环境下超孔隙水压力监测数据可能存在的偏差,在本算例解析解的基础上添加噪声生成合成数据,使得监测数据更贴近真实场景中的观测误差。噪声的生成公式如下:

式中:


0.5% | 2% | 5% | |
|---|---|---|---|
相对L2误差 | 0.007 371 | 0.022 962 | 0.053 068 |
R2 | 0.999 813 | 0.998 281 | 0.989 985 |

2.3 软弱黏土大变形固结的全域孔隙水压力演化预测
在实际工程中,当土体为饱和软土时,还常常会遇到土体的大变形固结问题。本节将考虑连续排水边界条件下软弱黏土大变形固结行为,并对比2种算法在预测土体全域超孔隙水压方面的效果。随后,在不同界面参数条件下,利用PI-DeepONet对同一个测点处的孔隙水压力时变数据进行学习,最终预测其他界面参数所对应的土体全域孔隙水压力演化规律。
2.3.1 求解结果
类似地,本部分局部孔隙水压力测点数据通过江文豪等[20]推导的饱和软土一维大变形固结方程的解析解生成。界面参数


| DeepONet | PI-DeepONet | |
|---|---|---|
| 相对L2误差 | 0.037 777 | 0.002 052 |
| R2 | 0.995 455 | 0.999 986 |
| 计算时长/s | 310.7 | 485.5 |

2.3.2 不同界面参数下软土全域内超静孔隙水压力演化预测
界面参数是反映边界排水能力的重要参数,土体中排水速率的不同意味着超孔隙水压力的消散速率不同[21]。因此对不同界面参数下的超孔隙水压力进行预测,并设置合理的界面参数,能对工程有实际的指导意义。
假定

| 参数 | PI-DeepONet 取值 | 参数 | PI-DeepONet 取值 |
|---|---|---|---|
| Wo | 10 | q | 3 000 |
| Wf | 1 000 | m | 1 000 |
| p | 1 000 | 测点数目 | 8组训练参数 每组1个测点 |
对于





| 训练 | 测试 | |||||||||
|---|---|---|---|---|---|---|---|---|---|---|
![]() | 2 | 3 | 3 | 4 | 8 | 8 | 9 | 13 | 6 | 11 |
![]() | 3 | 4 | 5 | 5 | 9 | 10 | 10 | 14 | 7 | 12 |
![]() | 3 | 4 | 5 | 5 | 7 | 9 | 10 | 14 | 8 | 12 |
![]() | 2 | 3 | 3 | 4 | 5 | 7 | 9 | 13 | 6 | 11 |
表7展示了4组测试界面参数下PI-DeepONet算法的误差评估指标,其中相对L2误差均少于7%,R2均大于0.993,证明训练好的PI-DeepONet网络对不同的界面参数条件下的孔隙水压力分布具有良好的预测性能。图6(a)~图6(d)分别为



![]() | ![]() | ![]() | ![]() | |
|---|---|---|---|---|
| 相对L2误差 | 0.062 464 | 0.068 153 | 0.041 458 | 0.068 232 |
| R2 | 0.994 055 | 0.993 791 | 0.997 545 | 0.994 246 |

3 结论
1) 构建了DeepONet和PI-DeepONet网络,将稀疏测点超孔隙水压力数据映射到全域超孔隙水压力数据,实现全域超孔隙水压力的实时预测。其中,PI-DeepONet算法相对于DeepONet算法在测点数目和各测点水压力数据量相同的条件下,能更好地预测土体的固结行为,其相对L2误差下降了一个数量级,绝对误差下降了一个数量级,且R2均大于0.999。
2) 分析了不同噪声水平下PI-DeepONet算法的预测精度,发现在添加噪声的模拟现场条件下PI-DeepONet算法具有较强的鲁棒性,仍能准确地预测土体的固结行为。
3) 在不同界面参数条件下,利用同一测点处的超孔隙水压力数据对PI-DeepONet网络进行训练,训练好的模型能在单一测点条件下快速预测其他界面参数所对应的土体全域超孔隙水压力演化规律,基于此模型可预测在不同厚度排水垫层下完成固结沉降的时间,选择合适垫层来确定施工进度,对于解决实际工程中非对称排水特性的固结问题具有指导意义。
尹掀浪,苏晶晶,张升等.基于PI-DeepONet算法与稀疏测点数据的两类饱和软土固结行为预测[J].铁道科学与工程学报,2025,22(10):4542-4552.
YIN Xianlang,SU Jingjing,ZHANG Sheng,et al.Prediction of two types of saturated soft soil consolidation behavior based on the PI-DeepONet algorithm and sparse measurement data[J].Journal of Railway Science and Engineering,2025,22(10):4542-4552.







