我国沿海城市地层多由第四系全新统人工堆积层、海相沉积层以及海陆相沉积层组成,地下水发育且厚度较大,造成深基坑开挖和支护困难。为保证深厚富水地层基坑开挖的安全,基坑降水是应用最广泛的方式。国内外已有大量学者针对基坑开挖和降水对周围环境的影响展开研究,在基坑开挖方面,应宏伟等[1]采用虚拟镜像技术和无穷小方法推导了考虑非均匀收敛特性的土体水平位移的二维和三维半解析解;ZHANG等[2]基于自注意力机制和深度学习提出一种能捕捉沉降数据时空特性的深度注意力组合预测模型;在基坑降水方面,孟非等[3]结合现场案例提出了基坑开挖降水诱发的盾构隧道变形的分析方法;喻伟等[4]依托实际工程案例,结合三维有限元建模分析获得了基坑开挖降水对周围地表沉降的影响规律。ROY等[5]对基岩长期排水而导致的软土固结沉降进行了研究;在基坑开挖和降水综合作用对周围环境的影响方面,LI等[6]基于非稳态渗流理论,使用拉普拉斯变换方法推导了地表下降的数值解,引入了一种计算坑外脱水诱导的地表沉降的新方法,同时通过将边界元法与Mindlin解相结合,计算了挡土结构水平位移引起的地面沉降。而当深基坑降水对周围环境影响较大时通常采用的方式是设置隔水措施[7-8]。针对保证基坑降水地表沉降的安全设计和计算,目前主要在竖向隔水帷幕设计方向展开研究[9-10]。然而,对于深厚富水地层仅采用降水和竖向隔水帷幕会导致降水量过大而使得降水困难、地表沉降过大等问题,因此为了避免地下水过度抽取以及减少降水对周围环境的影响,工程中常用基坑底部水平封底与降水联合的方式设计施工。实际工程中,刘新创[11]和尚桌等[12]结合实际基坑开挖工程验证了底层水平加固体和降水联合方式能明显降低地表最大沉降;在一般水平止水加固体基础上,刘伟[13]提出在设置水平加固体同时添加抗浮锚杆并验证了其优越性。理论上,曹树辉等[14]提出了水平加固体厚度及设置深度计算方法并实际工程验证了理论方法的有效性;未考虑降水动态效应时,曹成勇等[15]基于水平加固体2种破坏模式提出了加固体厚度和加固体距基坑底部距离的关系表达式,并采用实际案例验证了合理性。然而,针对坑外降水与水平封底联合方式的理论,以及如何确定降水深度与加固体厚度最佳组合的理论鲜有研究。鉴于此,本文针对深厚富水软土地层基坑开挖降水与水平封底联合方式研究分析的问题,结合水平封底加固体渗透破坏和失稳破坏2种模式,分别得到2种破坏模式下水平加固体厚度与降水深度的关系表达式。同时尝试提出以满足2种破坏模式下的水平加固体厚度相差最小为目标函数,以基坑周围地表沉降和降水量不超规范限值、水平加固体不发生破坏为约束条件进行降水与水平封底联合设计的方法,最终通过迭代试算法寻求满足约束条件的降水深度与水平加固体厚度最优组合解。基于经典降水曲线理论和开挖降水地表沉降理论和工程实际案例监测成果对本文模型进行了验证,并进一步结合理论分析与数值模拟阐明了不同降水深度和加固体厚度对水平封底加固体稳定性的影响规律。
1 坑底降水与水平止水帷幕联合设计最优解理论分析
1.1 基本假设
本文理论计算应满足以下基本假设:1) 对于长条形完全对称基坑,忽略三维结构影响,视为二维平面应变问题;2) 不考虑水平加固体与邻近围护结构的摩擦作用,并假设水平封底旋喷加固体服从Tresca屈服准则[14-15];3) 水平止水帷幕加固体与地连墙能够形成良好的防渗封闭体系,可忽略基坑内降水对基坑外部地层形变的影响[14-15],则基坑外部地层形变分为坑外降水影响和基坑开挖影响2个部分组成。
1.2 水平封底加固帷幕厚度计算方法
引入降水动态影响效应,基坑底部水平加固体设置模型示意图和坑外降水漏斗曲线示意分别见图1和图2。


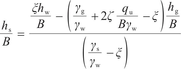
不考虑降水动态影响效应,曹成勇等[15]基于水平加固体失稳破坏和渗透破坏2种破坏模式,理论推导获得了水平加固体厚度hg和水平加固体距基坑底部距离hs的关系表达式如下:
1) 考虑失稳破坏时

式中:hs、hg、hw分别为水平止水帷幕至基坑底部的距离、水平止水帷幕厚度与地下水位距基坑开挖底面的距离;B为基坑开挖宽度;ξ为基坑突涌安全系数;γs、γg、γw分别为水平封底帷幕上部土体饱和重度、水平封底帷幕的重度与水的重度;ζ为经验系数;qu为封底加固体单轴抗压强度。
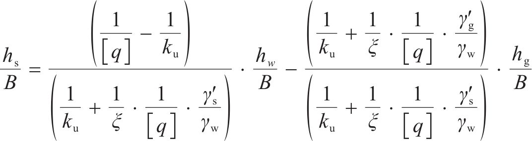
2) 考虑渗透破坏时

式中:[q]为水平封底加固体允许单位渗水量;ku为基坑外部土体的等效渗透系数,可表示为


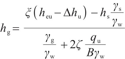
当考虑坑外降水引起的地下水位变化时,由图1和图2知降水后的水位高度hu大小等于基坑底部到水位的高度hw、水平加固体到基坑底部的高度hs和水平加固体厚度hg之和;降水前水位高度heu等于降水后水位高度hu+降水高度Δhu。即:


式中:heu为坑外降水前的水位高度;hu为坑外降水后的水位高度;Δhu为坑外降水深度;hg为水平加固体厚度,hs为水平加固体顶距基坑底部的距离;hw为坑外降水后水位距基坑底部的距离。

式(5)即为考虑失稳破坏的基坑深层水平加固体厚度与降水高度的关系表达式。
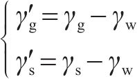
水平加固体和原土层的浮重度表达式为


式(7)即为考虑渗透破坏的基坑深层水平加固体厚度与降水高度的关系表达式。
1.3 基坑降水和开挖引起的基坑周围地表沉降计算方法
1.3.1 降水漏斗曲线计算
基坑采用并维持内、外降水措施后,以基坑中线为对称轴一定范围内形成稳定的降水漏斗,如图2所示。
借鉴文献[16-18]中有关水位下降时渗透力及地下水浸润线计算的研究成果,同时结合文献[15, 17-18]中针对多层土体渗透系数、孔隙度等参数采用的加权平均处理方法,提出富水软土地层深基坑降水漏斗曲线计算方法:

式中:H(0)为坑外降水前基坑地下水位距不透水层高度;H(t)为降水时间t时基坑地下水位距不透水层高度;F(λ)为地下水影响系数,可由式(9)~(10)求解。
当

当

式中:


式中:n为孔隙率;K为渗透系数,cm/s;其中f(K)=0.067(3.063+lgK)。
1.3.2 疏干区由抽水引起的土体自重应力变化分析
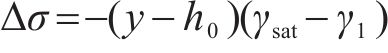
在计算坑外降水之后疏干区地层沉降时,需先计算获得疏干区的有效应力变化。当水位下降时,总应力会因为孔隙水的排出而减小。降水后位于疏干区的土体总应力





式中:h0为地下水位埋深,如图1所示;y为位于疏干区单元体深度;γ0为地下水位以上土的天然重度;γ1为抽水之后土的重度;γsat土体饱和重度。
1.3.3 饱和区渗流引起的有效应力分析
坑外降水会造成基坑周围水的渗流流动,而水的渗流会给予土体颗粒渗流压力,从而造成土体有效应力变化。随着水的渗流,孔隙水压力变小,而土体有效应力增加,从而土体变形增加。
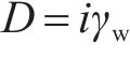
单位土体竖向渗透力为[19]

式中:D为单元土体渗透力;γw为水的重度;i为水力坡度。
由渗流引起的土体附加有效应力

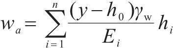
式中:h′为疏干区以下单元土体距离降水漏斗的距离。由图2可知,

式中:y为位于疏干区以下的单元土体深度;H(x)为位于疏干区以下的单元土体对应的降水漏斗曲线坐标深度。

1.3.4 坑外降水引起的坑外土体固结和沉降分析
坑外降水引起的沉降可以采用分层总和法计算,地表沉降公式为

式中:wj为坑外降水引起的地表总沉降;wi为第i层土体沉降量;Δσi为第i层土体有效应力增量;Ei为第i层土体压缩模量;hi为第i层土体高度。
坑外降水引起的地下水位以上土体无变形,则坑外降水之后降水漏斗曲线以上非饱和区沉降量为

坑外降水漏斗曲线以下饱和区沉降量为

则坑外降水诱发的地表总沉降量为

式中:wa和wb分别为非饱和区和饱和区沉降量。
1.3.5 基坑开挖引起的地表沉降分析
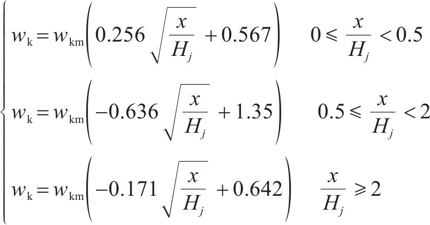
CLOUGH等[20]研究发现,软黏土和中等黏土地层基坑开挖时地表沉降最大值不会出现在基坑边界,而是会出现在离基坑边界一定距离的位置。HSIEH等[21-22]基于大量软土地层基坑开挖引起的实测数据分析总结获得了地表沉降经验公式,并在数据分析中指出:由于实测地表沉降数据是实施坑外降水并形成稳定降水漏斗、基坑开始开挖之后进行现场监测而获得,可认为是仅由基坑开挖施工而引起的地表沉降,可采用式(23)和式(24)进行计算:


式中:wk为由于基坑开挖产生的周围地表沉降,m;wkm地表沉降最大值,m;x为距基坑边界的距离,m;Hj基坑开挖深度,m。
则基坑开挖和坑外降水诱发的距基坑边界

1.4 基坑降水+水平封底最优化模型分析
当基坑底部含水层厚度较大时,工程中常采用降水+水平封底联合方式降低地下水对基坑施工安全的影响。为了获得降水深度和水平封底厚度最佳组合,本文提出以下降水+水平封底最优化模型:在保证基坑底部不发生破坏的前提下,以基坑周围允许沉降量、允许降水量不超限值为约束条件,寻求工程量最小、造价最低的降水深度和水平封底厚度组合方式。
1.4.1 约束条件
1) 坑底安全约束
基坑开挖过程中水平封底加固体厚度需保证坑底不发生突涌,式(5)和式(7)分别给出了水平加固体失稳破坏和渗透破坏2种情况下的水平止水帷幕厚度hg与降水高度Δhu的关系,故坑底安全约束条件为:

式中:[hg]l为水平止水帷幕最小允许厚度,max[hg]为满足失稳破坏和渗透破坏2种情况下水平止水帷幕最大值。
2) 周围环境沉降约束
基坑降水势必造成周围环境不均匀沉降,为保证基坑周围安全,周围建筑物沉降量必须小于允许沉降量。式(25)给出了坑外降水和基坑开挖导致的周围沉降表达式,所以环境沉降约束条件为:

式中:[Wx]l为周围建筑物环境沉降量;[Wax]为周围环境允许沉降量。
3) 降水量约束
参见《管井技术规范》(GB 50296—2014)中基坑涌水量计算理论,基坑坑外降水井设置类别属于潜水非完整井,设计降水量可通过“大井法”计算得到[23]。设计降水量应当小于当地地质条件下最大允许降水量,即降水量约束为

式中:[Q]l为设计降水量;[Qax]为当地地质条件下最大允许降水量。
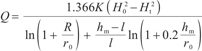
非完整潜水井计算涌水量公式为[23]

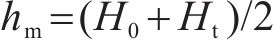
式中:Q为设计降水量,m3/d;l为抽水井进水部分长度,m;hm可由式(30)计算得到(m);R为降水影响半径,m;r0为基坑等效半径,对于长条形基坑,可由式

式中:R为基坑降水影响半径,可由《建筑基坑支护技术规程》[24]中经验公式(31)计算得到。

式中:Δhu为水位降深,m,当水位降深小于10 m时,取Δhu=10 m。
基坑降水量计算公式基于地层均质假定,因此对于分层土层,可采用加权平均的方式计算地层等效渗透系数[15, 17-18],即

式中:Ki为第i层地层渗透系数;Mi为第i层地层厚度。
1.4.2 目标函数
基坑降水+坑底水平加固的基坑工程中,目标函数在满足以上约束条件前提下,还应同时使满足失稳破坏的水平帷幕厚度hg和满足渗透破坏的水平帷幕厚度

其中,
1.5 问题求解方法
因基坑降水和水平止水帷幕联合设计参数较多,为加快计算效率并提高计算精确度,本文选择试算迭代法求解降水深度和加固体厚度最优解。即通过工程地质实际参数资料,使得2种破坏模式下的2个水平封底加固体厚度数值逐渐逼近,最终寻求最优解[25]。取迭代值间距δ=0.5 m。试算求最优解流程图见图3。

2 工程实例分析
2.1 参数确定
2.1.1 水文地质条件
如图4和图5所示,某车站主体基坑采用明挖法施工,基坑总长138.7 m,基坑开挖深度hj=30.95~34.45 m,标准段宽度为B=29 m,外部降水井设置距基坑2 m处。止水帷幕设置在地连墙底部,距基坑底部高度为hs=22.7 m,水位线距地连墙底部高度为hu=30.95-3.5+22.7=50.15 m。地层自上而下分别为杂填土、淤泥、细砂、淤泥质粉质黏土、淤泥质细砂、中砂、淤泥质粉质黏土、中砂;基底位于中砂及淤泥质粉质黏土层。


根据工点工程地质资料和室内外试验成果,各层土体平均厚度及基本物理力学参数见表1所示。其中,现场开展标准贯入试验获得了各层土平均标贯击数,通过引用文献[26]提出的平均标贯次数与压缩模量和动弹性模量关系式进行不同土层压缩模量和动弹性模量换算:


式中:Esn和Edn分别为黏土压缩模量和弹性模量,MPa;Ess和Eds分别为砂土压缩模量和弹性模量,MPa;N为平均标贯次数。
| 土体类型 | 厚度/ m | 平均标贯 击数N | 压缩模 量/MPa | 弹性模 量/Pa | 密度/ (kg∙m-3) | 泊松比ν | 渗透系数 K/(cm∙s-1) | 饱和重度/ (kN∙m-3) |
|---|---|---|---|---|---|---|---|---|
| 杂填土 | 2.7 | 5.1 | 4.96 | 1.40×108 | 1 684 | 0.35 | 3.55×10-6 | — |
| 淤泥 | 9.8 | 2.4 | 3.87 | 9.30×107 | 1 500 | 0.44 | 3.79×10-6 | 14.7 |
| 细砂 | 8.2 | 16.5 | 13.16 | 2.83×108 | 1 939 | 0.3 | 4.58×10-3 | 19.2 |
| 粉质黏土 | 4.1 | 5.5 | 5.12 | 1.47×108 | 1 786 | 0.38 | 3.80×10-6 | 17.5 |
| 淤泥粉质黏土 | 5.2 | 7.2 | 5.8 | 1.77×108 | 1 806 | 0.42 | 3.00×10-6 | 16.5 |
| 中砂 | 6.2 | 22.7 | 16.64 | 3.60×108 | 2 020 | 0.26 | 1.75×10-2 | 19.8 |
| 粉质黏土 | 4.3 | 17.4 | 13.66 | 2.94×108 | 1 908 | 0.38 | 1.01×10-6 | 17.8 |
| 淤泥粉质黏土 | 4 | 7.2 | 5.8 | 1.77×108 | 1 806 | 0.42 | 3.00×10-6 | 17.7 |
| 淤泥质细砂 | 3.1 | 18 | 14 | 3.01×108 | 1 878 | 0.28 | 4.50×10-3 | 18.4 |
| 中砂 | 20.3 | 23 | 16.81 | 3.64×108 | 2 031 | 0.26 | 1.80×10-2 | 19.9 |
各土层渗透系数则根据场地土层室内渗透试验成果,并结合站址地区附近场地抽水试验资料整理得出。在现场抽水试验中外部抽水井深入含水层的长度l=10 m,每次进行不少于2次不同降深的抽水试验,根据试验结果,竖向水力坡降选取试验平均值i=0.08。
2.1.2 坑底水平止水帷幕加固体材料强度分析
在场地范围内进行MJS和RJP工艺的原位试验,并检验加固体质量,从而获得水平加固体单轴抗压强度。基本试验参数为:使用型号为MJS-60VH全液压可旋转式地基改良设备,共设置6根试验桩,MJS和RJP试桩各3根。试验桩桩深为65 m、桩径为2.4 m。试验结束后取出试桩芯样进行强度测试,结果表明全液压可旋转式旋喷桩抗压强度为4.7~5.4 MPa,取加固体平均强度5.0 MPa进行设计。坑底水平止水帷幕加固体重度为γg=24.0 kN/m3,水平止水帷幕上部土体平均重度为γs=19.0 kN/m3。
2.1.3 基坑整体结构和参数确定
根据《城市轨道交通岩土工程勘察规范》(GB 50307—2012)条文3.0.7,本工程属于地下车站,工程重要性等级为1级,基坑突涌安全系数取ξ=1.5,经验系数ζ=1.5[27]。并根据相关工程经验和规范要求,水平止水帷幕最大允许水渗透量为[q]=0.25 m3/d[15, 28],工程地质勘测资料表明当地最大抽水量[Qax]=66 000 m3/d;根据《建筑地基基础设计规范》(GB 50007),关键建筑物最大允许沉降量取[Wax]=30 mm。
2.2 最优组合值求解
该基坑最近距离40 m处有高层居民楼,距基坑40 m处沉降量需满足允许沉降量要求。基于式(22)以及式(25)可计算得到距基坑40 m处坑外不同降水高度时该建筑物因降水和开挖产生的地表沉降量;基于式(29)可以得到不同降水高度时的降水量;依据式(5)和式(7)得到基于渗透破坏和失稳破坏的保证基坑不发生突涌的基坑降水高度和水平帷幕厚度。采用Matlab科学计算平台内嵌的迭代求解算法获得了保证基坑不发生破坏的基坑水平止水帷幕厚度和降水高度的部分解答组合,如表2所示。可知:当降水高度为22 m时,满足渗透破坏和失稳破坏的水平止水帷幕差值最小,因此可认为该工程最佳降水高度为22 m;此时基坑底部最佳水平加固体厚度为3.15 m,且基坑周边沉降能够得到有效控制。
| 降水高度/m | 开挖沉降量/mm | 饱和区降水沉降量/mm | 非饱和区降水沉降量/mm | 总沉降量/mm | 降水量/ (104m3∙d-1) | 满足渗透破坏加固体厚度/m | 满足失稳破坏加固体厚度/m | 二者 之差 | 是否满足沉降量约束 | 是否满足降水量约束 | 二者之差是否最小 |
|---|---|---|---|---|---|---|---|---|---|---|---|
| 9 | 8.6 | 4.8 | 11.6 | 16.4 | 3 | 18.87 | 9.98 | 8.89 | 是 | 是 | 否 |
| 10 | 8.6 | 4.6 | 12.25 | 16.85 | 3.2 | 17.58 | 9.21 | 8.37 | 是 | 是 | 否 |
| 12.5 | 8.6 | 4.2 | 12.55 | 16.75 | 3.75 | 14.72 | 7.52 | 7.2 | 是 | 是 | 否 |
| 15 | 8.6 | 3.8 | 12.9 | 16.7 | 4.08 | 11.91 | 6.12 | 5.79 | 是 | 是 | 否 |
| 17.5 | 8.6 | 3.51 | 14.1 | 17.61 | 4.75 | 8.13 | 5.58 | 2.55 | 是 | 是 | 否 |
| 20 | 8.6 | 3.37 | 14.5 | 17.87 | 5.03 | 5.22 | 4.2 | 1.02 | 是 | 是 | 否 |
| 21 | 8.6 | 3.21 | 15.02 | 18.23 | 5.18 | 4.91 | 4.18 | 0.73 | 是 | 是 | 否 |
| 21.5 | 8.6 | 3.26 | 15.55 | 18.81 | 5.2 | 4.22 | 3.87 | 0.35 | 是 | 是 | 否 |
| 22 | 8.6 | 3.02 | 16.25 | 19.27 | 5.25 | 3.15 | 3.14 | 0.01 | 是 | 是 | 是 |
| 22.5 | 8.6 | 2.78 | 16.78 | 19.56 | 5.31 | 2.42 | 2.89 | 0.47 | 是 | 是 | 否 |
| 25 | 8.6 | 2.56 | 17.2 | 19.76 | 5.9 | 0.89 | 2.55 | 1.66 | 是 | 是 | 否 |
| 26 | 8.6 | 2.32 | 17.91 | 20.23 | 6.16 | — | 1.87 | — | 是 | 是 | — |
| 27 | 8.6 | 2.22 | 19.01 | 21.23 | 6.42 | — | 1.02 | — | 否 | 是 | — |
| 27.5 | 8.6 | 2.15 | 24.85 | 27.0 | 6.58 | — | 0.77 | — | 否 | 是 | — |
| 28 | 8.6 | 2.08 | 27.75 | 30.83 | 6.62 | — | 0.21 | — | 否 | 否 | — |
3 数值模拟分析
为验证前文理论分析结果的有效性,采用通用有限元数值模拟软件Midas GTS分析基坑坑外降水+坑底水平联合加固时基坑开挖对地表沉降的影响规律,并与理论解析进行对比分析。
3.1 参数选取
各土层土体本构模型采用修正-摩尔库伦模型,地连墙、地层加固体、基坑内支撑以及降水管井(不锈钢套筒)采用弹性模型,结合表1地层基本物理力学参数和地质勘察报告,不同土层强度参数见表3,基坑支护各类结构材料参数见表4。
| 土体类型 | 杂填土 | 淤泥 | 细砂 | 粉质黏土 | 淤泥粉质黏土 | 中砂 | 粉质黏土 | 淤泥粉质黏土 | 淤泥质细砂 | 中砂 |
|---|---|---|---|---|---|---|---|---|---|---|
| 黏聚力c | 18.4 | 11.4 | 1.5 | 30.2 | 12.1 | 1 | 32.2 | 11.8 | 5 | 1 |
| 摩擦角φ | 12.3 | 2.1 | 29 | 9.8 | 2.3 | 37 | 9.7 | 7.1 | 25 | 35 |
| 结构 | 材料 | 规格 | 弹性模量/MPa | 泊松比 | 容重/(kN∙m-3) |
|---|---|---|---|---|---|
| 地下连续墙 | C45 | 深度52.65 m,厚度120 mm | 33.5 | 0.2 | 19.6 |
| 内支撑 | HPB400 | φ800 mm,t=20 mm,间距3 m,预应力-500 kN | 205 000 | 0.3 | 76 |
| C45 | 800 mm×1 000 mm,间距9 m | 33.5 | 0.2 | 19.6 | |
| 内部降水井 | Q235B | φ600 mm,深度52.65 m | 210 000 | 0.3 | 76.9 |
| 外部降水井 | Q235B | φ600 mm,深度32 m | 210 000 | 0.3 | 76.9 |
| 水平加固体 | C35 | 宽度29 m,计算厚度 | 31.5 | 0.2 | 19.2 |
3.2 模型建立
基坑典型断面开挖深度为30.95 m,宽度为29 m,地连墙宽度为1.2 m,深度为52.65 m。研究表明基坑开挖对周围地表的影响距离为3Hj~4Hj[20],故数值模型尺寸设为300 m×67.9 m,如图6所示。初始水位为地面以下3.5 m,降水深度为理论计算最优解22 m;分别在基坑内、外设置降水井,内部降水井距基坑边界5 m,总深为45 m;外部降水井距基坑边界2 m,深入含水层10 m;地层水平加固体设置于地连墙底部,厚度为理论计算最优解3.15 m。模型边界采用规则自动约束边界,网格采用自动-面划分模式,基坑内部网格尺寸设置为0.5 m,以保证地连墙形成2层以上网格,进而形成不透水结点;基坑外部地层采用线性梯度(长度)方法划分尺寸,从基坑边界到外部边界尺寸范围为0.5~2.0 m。采用分层开挖-逐层支护进行过程工况模拟,示意图如图7所示。


依据工程实际施工流程,基坑分层开挖-逐层支护模拟过程同时开展了基坑内部降水模拟。考虑到水平加固体与地连墙能够形成良好的防渗封闭体系,同时参考文献[14]和文献[15]研究成果,可忽略基坑内部降水过程对外部沉降的影响。分层开挖-逐层支护施工过程中出现的地表形变可认为均由基坑开挖而诱发的地表沉降。同时,数值模拟过程中:开挖降水阶段之前设置初始渗流场和初始地应力,施工阶段类型选择应力-渗流-边坡模型,其中降水阶段类型为稳态模型,其余阶段类型为应力模型。
3.3 模型有效性验证
依据实际工程施工工况,通过数值模拟方法获得了距基坑边界不同距离处开挖降水地表沉降及仅开挖地表沉降模拟值和基坑周围地层水位变化模拟曲线,与降水曲线理论计算结果[16-18]和基坑开挖降水诱发地表沉降计算结果[20-22]对比,以验证本文模型的有效性。
3.3.1 基坑外部地层水位变化分析
降水采用节点水头的方式进行降水模拟,根据表5所示工况进行基坑降水数值模拟分析。
| 工况 | 降水高 度/m | 初始节点水 头高度/m | 降水后节点 水头高度/m |
|---|---|---|---|
| 1 | 13 | 45.9 | 32.9 |
| 2 | 19 | 45.9 | 26.9 |
| 3 | 25 | 45.9 | 20.9 |
3种工况地层水位理论值和模拟值曲线如图8所示。理论值和模拟值吻合良好,可验证本文模型的有效性。且可以看出当水位降至30 m时水位曲线变化幅度变大,这是因为位于30 m处的地层为中砂层,其渗透系数较大,水位变化较为明显,进一步证实了本文模型的有效性。

3.3.2 基坑开挖和外部降水地表沉降分析
图9为3种工况下基坑开挖、外部降水周围地表沉降以及总沉降的理论值和模拟值。从图中可知3种工况下的周围地表沉降值理论值和模拟值吻合良好;且基坑开挖沉降理论和模拟曲线均在TAN等[29-30]得到的软土地层基坑开挖周围沉降包络图内,可验证本文模型的有效性。另外,从图9还可看出:虚线椭圆框选处降水沉降曲线斜率明显增大,结合3种工况水位变化曲线可知是因为该处水位从压缩模量大的中砂层下降到了压缩模量小的淤泥粉质黏土和粉质黏土层,从而导致沉降量变化增加、沉降曲线斜率变大,进一步证实了本文理论和数值建模分析的合理性。

3.4 水平加固体稳定性分析
在3.3节理论和模型分析合理性和有效性验证的基础上,设置3种工况A、B、C,研究不同工况下基坑底部水平加固体的状态,并与理论结果对比验证本文基坑底部水平加固体稳定性理论的有效性。A:降水深度19 m,加固体厚度8.8 m,满足失稳破坏,不满足渗透破坏;B:降水深度24 m,加固体厚度1.5 m,满足渗透破坏,不满足失稳破坏;C:降水深度19 m,加固体厚度5 m,同时不满足失稳破坏和渗透破坏,如图10所示。

由图10(a)位移云图可知:水平加固体并未产生位移和失稳破坏,但从图10(a)饱和度云图可知水已进入加固体内部,使其产生饱和度梯度,说明此时加固体已发生渗透破坏;图10(b)地层饱和度云图可以看到此时水平加固体并未进水,说明水平加固体并未发生渗透性破坏,但由10(b)位移云图可知此时水平加固体产生了向上方向的位移,说明此时加固体已发生了失稳破坏;图10(c)饱和度云图和位移云图可以得到此时水平加固体不仅有向上方向的位移,且水已经进入加固体内部,说明此时加固体同时产生了失稳破坏和渗透破坏。模拟结果与理论计算结果一致,从而验证了本文理论的有效性。
3.5 加固体厚度和降水深度最优解分析
为进一步说明本文提出的加固体厚度和降水深度最优解的有效性,根据表2绘制降水深度和水平加固体厚度关系曲线(见图11)。如图12所示,设置不同降水深度和加固体厚度组合的5种工况,通过数值模拟分析不同工况下的水平封底加固体状态。5种工况模拟结果见图12。


从图11可以看出工况2、5水平封底加固体均已发生了渗透破坏和失稳破坏,工况1、3、4水平加固体状态良好,与理论分析结果一致。对比工况1、3、4可发现,在水平加固体均未发生破坏的条件下,工况1加固体厚度较工况3大,从而使得工程量较大;工况4降水深度较工况3大,从而使得工程量和地表沉降较大;这可以证明在保证水平加固体稳定的条件下最优解(工况3)的有效性。
4 结论
1) 考虑基坑降水动态效应,结合水平封底加固体渗透破坏和失稳破坏2种模式,建立了分别满足软土基坑2种破坏模式的水平封底厚度与降水深度的关系式;进一步基于饱和-非饱和土渗流与变形理论,建立了基坑降水引起基坑周围地表沉降的计算方法。
2) 为实现工程量和造价最低目标,提出了以周围地表沉降和降水量满足规范、水平加固体不发生破坏为约束条件,以满足2种破坏模式下水平加固体厚度相差最小为目标函数进行降水与水平封底设计的优化方法;引入迭代试算法,提出了软土深基坑降水深度与水平加固体厚度最优组合求解技术流程。
3) 结合工程实际案例建立了基坑开挖降水数值模型,开展了多工况条件下水平加固体厚度和降水高度最优解分析,验证了本文优化设计方法的有效性。分析表明不同降水高度与加固体厚度下本文最优解理论方法设计的加固体隔渗性能良好且经济性最佳。
李亮,张太忠,单广灿等.深厚富水软土地层深基坑水平封底与降水联合优化设计方法[J].铁道科学与工程学报,2025,22(10):4528-4541.
LI Liang,ZHANG Taizhong,SHAN Guangcan,et al.Optimization of joint design parameters of horizontal bottom sealing and dewatering for deep foundation pits in deep and water-rich soft ground[J].Journal of Railway Science and Engineering,2025,22(10):4528-4541.

