悬索桥短吊杆及其连接件是悬索桥的主要传力构件,其损伤状态将直接影响桥梁在服役阶段的安全性。悬索桥短吊杆连接件承受恒载、车辆载荷和风载荷等时变动载荷的联合作用[1-3],其两侧的受力平衡状态受到破坏。随着不平衡力持续作用,吊杆连接件中的叉形耳板与锚固板之间会发生动态接触及相对滑移。由于悬索桥短吊杆的刚度较大,通常在桥梁服役过程中会有较大的弯折疲劳现象[4],因此,在短吊杆连接件的叉形耳板与锚固板之间使用自润滑关节轴承形式的铰接支撑结构来提供一定程度的转动自由度,允许短吊杆根据荷载变化进行微调,使结构具有更好的装配补偿、变形补偿及隔振功能[5]。相比于销轴等其他类型的吊杆连接件结构,关节轴承承受着更大的集中载荷和磨损位移。然而,吊杆连接件耳板之间发生相对滑移和相对转动现象,关节轴承不可避地免会发生磨损,导致其性能逐渐退化直至失效。
自润滑关节轴承是一种球面滑动轴承,在轴承外圈内表面通常黏接一层固体润滑材料(如MoS2/石墨-钢、类金刚石涂层(DLC)、聚四氟乙烯纤维(PTFE)织物/复合材料等),用以减少摩擦阻力,延长使用寿命[6]。自润滑复合织物衬垫具有摩擦因数小、耐磨损、抗腐蚀、抗冲击、污染小、噪声低等优点,被广泛应用于关节轴承的润滑介质。自润滑复合织物衬垫通常采用聚四氟乙烯纤维(PTFE)、芳纶等纤维编织,并通过树脂涂敷而成,具备更好的耐磨损性能和更高的承载能力[7],其耐磨性能直接影响关节轴承整体的服役年限。
在轴承磨损仿真方面,REZAEI等[8]考虑复合材料的各向异性,根据磨损试验得到磨损系数与接触压力和滑动速度的函数关系,开发了一套计算复合材料磨损的程序。SCHMIDT等[9]提出了一种倾斜轴瓦轴承的滑动磨损仿真方法,考虑摆动运动、曲面倾斜接触和磨损区域导致的滑移距离变化,通过三维有限元模型的动力学分析瞬态接触磨损情况。XUE等[10]发现自润滑轴承磨损呈现初期磨损和稳定磨损2个阶段,磨损形貌具有空间分布规律性,最大磨损深度位于中心接触区并呈椭圆状。LIU等[11]研究了Nomex/PTFE纤维增强复合材料在室温(20 ℃)和75 ℃环境下的摩擦磨损性能,发现摩擦温度是影响材料磨损行为的关键因素,摩擦热在材料的磨损破坏过程中起主导作用。李彦伟等[12]发现载荷增大、摆动频率提高或温度升高均会显著加剧自润滑关节轴承的磨损速率。邱明等[13]发现富含PTFE纤维的工艺衬垫更易形成完整且致密的PTFE转移膜,可改善衬垫的摩擦学性能,磨损机理主要是轻微的粘着磨损和磨粒磨损。梁杰等[14]研制了一种40Cr/石墨关节轴承,摆动摩擦实验结果表明,磨合阶段的磨损量、摩擦因数和温度增长幅度较大,在过渡阶段和稳定磨损阶段后期,这3个参数呈现小幅增长趋势。
当前对轴承磨损寿命研究多基于标准工况评估关节轴承磨损,没有考虑轴承在实际使用过程中的磨损情况,对于轴承实际服役寿命的预测不足。为了准确评估悬索桥短吊杆连接件自润滑关节轴承PTFE织物衬垫在低速重载工况下的磨损寿命,本文提出了一套系统的评估方法。首先,以某实际悬索桥短吊杆连接件中的自润滑关节轴承为研究对象,基于Archard磨损模型,构建了轴承磨损评估的核心框架。其次,建立了关节轴承的刚柔耦合动力学模型。第三,构建了桥梁结构交变载荷作用于轴承的载荷谱与关键偏转角随时间的变化历程。最后,实时追踪并量化其偏移量,动态表征PTFE织物衬垫的局部磨损深度,并通过仿真定量评估悬索桥在真实服役工况条件下自润滑关节轴承磨损寿命。
1 基于Archard磨损理论的自润滑关节轴承磨损深度计算模型
1.1 Archard磨损理论
在运动副之间,相对摩擦作用常导致接触表面的材料发生转移或丧失,形成磨损。自润滑关节轴承在服役过程中,在复杂交变载荷作用下关节轴承的内、外圈之间运转会产生相对转角,导致轴承内圈与PTFE织物衬垫的接触区域持续磨损,严重影响其服役性能和寿命。针对该问题,学者提出了大量的计算模型,其中Archard模型[15-17]应用最广。本文自润滑关节轴承磨损仿真选用Archard磨损模型。
2025年9期/10.11817j.issn.1672-7207.2025.09.015/alternativeImage/34B94352-9254-4ec8-90F4-141687204CDA-M001.jpg)
式中:V为磨损体积;X为相对滑移距离;K为磨损系数;P为磨损表面受到的法向接触压力;H为摩擦副较软材料的布氏硬度。工程应用上常用磨损深度作为磨损量,整理后可得式(2)。
2025年9期/10.11817j.issn.1672-7207.2025.09.015/alternativeImage/34B94352-9254-4ec8-90F4-141687204CDA-M002.jpg)
式中:A为摩擦副的接触面积;h为磨损深度;p为法向接触应力;v为相对滑动速度;t为滑动时间。将式(2)代入式(1)可得:
2025年9期/10.11817j.issn.1672-7207.2025.09.015/alternativeImage/34B94352-9254-4ec8-90F4-141687204CDA-M003.jpg)
自润滑关节轴承是悬索桥吊杆连接件短吊杆中常用的构件,而在高接触应力、高滑动速度及低温环境下,PTFE织物衬垫将发生磨损。研究表明,接触应力和滑动速度对衬垫磨损都有影响,设k=K/H,联合式(2)和(3)对时间积分可得总磨损深度h。
2025年9期/10.11817j.issn.1672-7207.2025.09.015/alternativeImage/34B94352-9254-4ec8-90F4-141687204CDA-M004.jpg)
1.2 自润滑关节轴承磨损演化仿真
为了更准确地模拟复杂结构中的磨损现象,采用Abaqus软件中的子程序UMESHMOTION,通过自定义网格的形变与每个时间增量步中的计算结果相耦合,可以准确地模拟磨损过程中节点位置的动态变化,同时可获得磨损仿真结果,包括结构表面的磨损变形及局部状态、应力及分布规律等。
在进行磨损演化仿真时,对磨损过程进行离散化处理,即将整个过程划分为多个时间增量步,每个时间增量步中每个节点磨损深度如式(5)所示。
2025年9期/10.11817j.issn.1672-7207.2025.09.015/alternativeImage/34B94352-9254-4ec8-90F4-141687204CDA-M005.jpg)
式中:i为节点编号;hi为节点的磨损深度;pi和vi分别为i节点的接触应力和相对滑动速度。
通过式(5)可以在UMESHMOTION子程序中计算出每个时间增量步中节点的磨损深度,并确定每个节点的磨损运动方向,再将全局坐标系下的分量转换到边界节点局部坐标系下,得到节点的运动方向及位移。然后,使用ALE(Arbitrary Lagrangian-Eulerian)网格自适应技术实现节点的位置调整及网格的重新划分,该方法根据模型的变形情况和需求,自动调整网格的位置、形状和密度等,从而提高计算精度,如式(6)所示。
2025年9期/10.11817j.issn.1672-7207.2025.09.015/alternativeImage/34B94352-9254-4ec8-90F4-141687204CDA-M006.jpg)
式中:2025年9期/10.11817j.issn.1672-7207.2025.09.015/alternativeImage/34B94352-9254-4ec8-90F4-141687204CDA-M007.jpg)
2025年9期/10.11817j.issn.1672-7207.2025.09.015/alternativeImage/34B94352-9254-4ec8-90F4-141687204CDA-M008.jpg)
2025年9期/10.11817j.issn.1672-7207.2025.09.015/alternativeImage/34B94352-9254-4ec8-90F4-141687204CDA-M009.jpg)
2025年9期/10.11817j.issn.1672-7207.2025.09.015/alternativeImage/34B94352-9254-4ec8-90F4-141687204CDA-M010.jpg)
2 自润滑关节轴承刚柔耦合动力学模型
2.1 刚柔耦合动力学模型
悬索桥短吊杆及其连接件结构由主缆、索夹、上锚头、吊杆、下锚头和锚固板等组成,如图1所示,吊杆连接件内部叉形耳板与锚固板之间使用自润滑关节轴承连接。其中,关节轴承的PTFE织物衬垫为复合材料,其纤维轴向方向模量为52 040 MPa,纤维横向模量为4 710 MPa,横向剪切模量为3 450 MPa,泊松比为0.3;轴承内、外圈材料均为4Cr-13轴承钢,其弹性模量为 212 000 MPa,泊松比为0.26[18]。
2025年9期/10.11817j.issn.1672-7207.2025.09.015/alternativeImage/34B94352-9254-4ec8-90F4-141687204CDA-F001.jpg)
关节轴承的主要磨损部位为PTFE织物衬垫。所以,将衬垫设置为柔性体,使其可以在载荷和磨损作用下产生形变,更好地模拟衬垫磨损后的应力分布和磨损形貌。对衬垫模型进行有限元离散,并将PTFE织物衬垫外表面与轴承外圈的内表面进行绑定约束。关节轴承内圈的硬度远大于PTFE织物衬垫的硬度,所以,将关节轴承内圈简化为刚体并与轴承中心点rp-1进行耦合,导入PTFE织物衬垫进行装配,并在连接边界处设置 面-面接触关系。轴承内、外圈的摆动角如图2所示,轴承内圈的摆动速度为2.44 mm/s。
2025年9期/10.11817j.issn.1672-7207.2025.09.015/alternativeImage/34B94352-9254-4ec8-90F4-141687204CDA-F002.jpg)
在网格划分方面,关节轴承的网格采用八节点线性六面体缩减积分单元(C3D8R),单元形状为六面体(Hex),为了更容易得到形状规则的网格,采用中心轴算法,设置轴承外圈的网格元素类型为沙漏增强型,如图3所示。网格划分后,轴承内、外圈和衬垫的单元数量分别为19 548、22 932和3 608个。至此,建立了自润滑关节轴承的刚柔耦合动力学模型。
2025年9期/10.11817j.issn.1672-7207.2025.09.015/alternativeImage/34B94352-9254-4ec8-90F4-141687204CDA-F003.jpg)
2.2 关节轴承初始润滑寿命计算
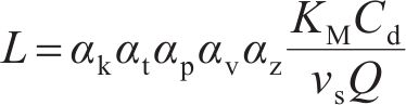
自润滑向心关节轴承在诸如航天航空等高精尖领域得到广泛使用,但工程设计中面临的主要问题仍是其使用寿命和可靠性评估。针对钢/PTFE织物自润滑向心关节轴承,机械行业标准JB/T 8565—2010[19]提出了初始润滑寿命计算公式,如式(7)~(12)所示。
2025年9期/10.11817j.issn.1672-7207.2025.09.015/alternativeImage/34B94352-9254-4ec8-90F4-141687204CDA-M011.jpg)
式中:L为关节轴承初始润滑寿命;αk为载荷特性寿命系数;αt为温度寿命系数;αp为载荷寿命系数;αv为滑动速度寿命系数;αz为润滑寿命系数;KM为与摩擦副材料有关的系数;Cd为关节轴承额定动载荷;2025年9期/10.11817j.issn.1672-7207.2025.09.015/alternativeImage/34B94352-9254-4ec8-90F4-141687204CDA-M012.jpg)
2025年9期/10.11817j.issn.1672-7207.2025.09.015/alternativeImage/34B94352-9254-4ec8-90F4-141687204CDA-M013.jpg)
2025年9期/10.11817j.issn.1672-7207.2025.09.015/alternativeImage/34B94352-9254-4ec8-90F4-141687204CDA-M014.jpg)
式中:Cdr为关节轴承径向额定动载荷;fr为关节轴承额定动载荷模量;C为关节轴承外圈公称宽度;dk为关节轴承滑动球面等效直径。
2025年9期/10.11817j.issn.1672-7207.2025.09.015/alternativeImage/34B94352-9254-4ec8-90F4-141687204CDA-M015.jpg)
式中:k为耐压模量,根据摩擦副材料,k=150 N/mm2。
向心关节轴承取Cd=Cdr,有
2025年9期/10.11817j.issn.1672-7207.2025.09.015/alternativeImage/34B94352-9254-4ec8-90F4-141687204CDA-M016.jpg)
式中:β为摆角;f为关节轴承摆动频率;2025年9期/10.11817j.issn.1672-7207.2025.09.015/alternativeImage/34B94352-9254-4ec8-90F4-141687204CDA-M017.jpg)
2025年9期/10.11817j.issn.1672-7207.2025.09.015/alternativeImage/34B94352-9254-4ec8-90F4-141687204CDA-M018.jpg)
2025年9期/10.11817j.issn.1672-7207.2025.09.015/alternativeImage/34B94352-9254-4ec8-90F4-141687204CDA-M019.jpg)
式中:G=402.011 5,b=0.855 6。
2025年9期/10.11817j.issn.1672-7207.2025.09.015/alternativeImage/34B94352-9254-4ec8-90F4-141687204CDA-M020.jpg)
式中:λ为计算变量,λ=1.019 3p。
由于悬索桥设计恒载为1 000 kN左右,所以,将1 000 kN作为关节轴承承受的载荷,关节轴承的尺寸、摆动及载荷数据见表1,由此可计算关节轴承的初始润滑寿命L。
| 参数 | 数值 |
|---|---|
| 外圈公称宽度C/mm | 55 |
| 径向额定动载荷Cdr/kN | 932 |
| 摆动频率f/Hz | 15 |
| 摆角β/(°) | 4 |
| 球面直径dk/mm | 140 |
| 当量动载荷P/kN | 1 000 |
按照标准中给出的耐压模量k=150;fr=121;αk=αt=1;αz=0.5;与摩擦副材料有关的系数KM=2.592×105,计算得到关节轴承初始润滑寿命L= 2 887 246摆次。
2.3 恒定载荷下关节轴承磨损寿命仿真
PTFE织物衬垫失效是引起自润滑向心关节轴承失效的主要原因。自润滑衬垫的主要失效形式是磨损,衬垫磨损会引起轴承内圈和外圈配合间隙过大,使轴承丧失运动特性。重载、大扭矩工况还会急剧降低轴承的摩擦学性能,使内、外圈工作面胶合,从而导致轴承出现抱死现象。针对钢/PTFE织物自润滑向心关节轴承,机械行业标准JB/T 10860—2008[20]从摩擦副的磨损量、摩擦温度、摩擦因数以及轴承各部件工作性能4个方面来进行失效判定。本文选择轴承衬垫的径向磨损量作为关节轴承仿真模型失效的主要依据。
为确定轴承衬垫的磨损系数,参照文献[21],在相同工作条件下,将机械行业标准计算得出的轴承磨损寿命代入Archard模型进行计算,得到衬垫的磨损系数为0.66×10-10。为了减小由于增量步较小而导致磨损量计算产生累计误差,调整模型,使其每1 s计算1次节点的磨损量,当载荷为1 000 kN时,关节轴承的应力分布如图4所示。轴承衬垫的接触应力最大值为210.3 MPa,应力最大位置为衬垫与轴承内圈接触的中心。
2025年9期/10.11817j.issn.1672-7207.2025.09.015/alternativeImage/34B94352-9254-4ec8-90F4-141687204CDA-F004.jpg)
轴承内圈承受了垂直方向的载荷,在衬垫中心位置的接触应力最大,磨损后轴承衬垫在垂直方向磨损最严重,关节轴承衬垫磨损后位移云图如图5所示。
2025年9期/10.11817j.issn.1672-7207.2025.09.015/alternativeImage/34B94352-9254-4ec8-90F4-141687204CDA-F005.jpg)
随着轴承内圈开始摆动,轴承衬垫呈线性磨损,根据机械行业标准JB/T 10860—2008[20],假定关节轴承衬垫的磨损量为0.3 mm时,衬垫失效。计算结果表明,当磨损量达到失效标准时,关节轴承内外圈摆动次数为3×106次。
将关节轴承磨损仿真寿命与机械行业标准 JB/T 8565—2010[19]中公式计算所得的理论计算值进行对比,发现两者寿命结果相对误差仅为3.7%,在可接受范围内,证明了自润滑关节轴承刚柔耦合动力学模型的正确性。
3 基于桥梁实测载荷作用下关节轴承的磨损寿命评估
3.1 关节轴承计算用载荷谱编制
悬索桥短吊索轴力-时间历程曲线如图6所示。将桥梁健康监测系统提供的短吊杆轴力-时间历程曲线编制为载荷谱,用于关节轴承的磨损寿命仿真分析。
2025年9期/10.11817j.issn.1672-7207.2025.09.015/alternativeImage/34B94352-9254-4ec8-90F4-141687204CDA-F006.jpg)
采用MatLab编写雨流循环计数程序,对轴 力-时间历程数据进行雨流计数,按照不等间距法将幅值对应极值的1、0.95、0.85、0.725、0.575、0.425、0.275、0.125倍分为8级[22],将雨流循环计数结果转化为8级均幅值二维轴力谱,结果如表2所示。
| 级数 | 荷载幅值/kN | 轴力均值/kN | |||||||
|---|---|---|---|---|---|---|---|---|---|
| 936.0 | 954.8 | 973.7 | 992.6 | 1 011.4 | 1 030.3 | 1 049.2 | 1 068.0 | ||
| 1 | 13.54 | 13 990 608 | 7 763 058 | 1 312 627 | 310 656 | 42 031 | 4 499 | 482 | 39 |
| 2 | 29.78 | 1 154 | 11 172 | 8 255 | 2 336 | 242 | 17 | 1 | 0 |
| 3 | 46.03 | 0 | 1 304 | 1 269 | 194 | 47 | 1 | 0 | 0 |
| 4 | 62.27 | 0 | 128 | 450 | 38 | 2 | 0 | 0 | 0 |
| 5 | 78.52 | 0 | 1 | 83 | 1 | 0 | 0 | 0 | 0 |
| 6 | 92.06 | 0 | 0 | 936 | 955 | 0 | 0 | 0 | 0 |
| 7 | 102.89 | 0 | 0 | 1 | 0 | 0 | 0 | 0 | 0 |
| 8 | 108.30 | 0 | 0 | 0 | 3 | 0 | 0 | 0 | 0 |
为了提高计算效率,采用变均值法[23-24]将得到的均幅值二维载荷谱转化为变均值一维载荷谱,即将表3中各级幅值所对应的8级均值进行加权平均计算,得到第i级幅值对应的新的均值Mi,Mi的计算公式见式(13)。第i级幅值对应的频次ni计算公式见式(14)。
2025年9期/10.11817j.issn.1672-7207.2025.09.015/alternativeImage/34B94352-9254-4ec8-90F4-141687204CDA-M021.jpg)
2025年9期/10.11817j.issn.1672-7207.2025.09.015/alternativeImage/34B94352-9254-4ec8-90F4-141687204CDA-M022.jpg)
| 级数 | 载荷幅值/kN | 载荷均值/kN | 载荷频次/次 | 载荷谱最大值/kN | 载荷谱最小值/kN |
|---|---|---|---|---|---|
| 1 | 13.54 | 945.24 | 2.342 4×107 | 958.78 | 931.70 |
| 2 | 29.78 | 965.06 | 2.317 7×104 | 994.84 | 935.28 |
| 3 | 46.03 | 966.90 | 2 815 | 1 012.93 | 920.87 |
| 4 | 62.27 | 971.07 | 618 | 1 033.34 | 908.80 |
| 5 | 78.52 | 973.70 | 85 | 1 052.22 | 895.18 |
| 6 | 92.06 | 980.97 | 13 | 1 073.03 | 888.91 |
| 7 | 102.89 | 973.70 | 1 | 1 076.59 | 870.81 |
| 8 | 108.30 | 992.60 | 3 | 1 100.90 | 884.30 |
将均幅值二维载荷谱采用变均值法进行转化,得到变均值一维载荷谱,见表3。
3.2 关节轴承内圈偏转角统计
根据悬索桥桥上通过的车流数据,计算得到关节轴承内圈偏转的横、纵桥向角度-时间历程,如图7所示。桥梁服役过程中,车载及横风载均具有随机性,致使桥梁在横桥向的偏转角呈现出较大幅度的变化。根据球面三角形余弦定理,将横、纵桥向偏转角耦合,计算轴承内圈偏转总角度,用于计算关节轴承的磨损寿命。
2025年9期/10.11817j.issn.1672-7207.2025.09.015/alternativeImage/34B94352-9254-4ec8-90F4-141687204CDA-F007.jpg)
首先,将偏转角取绝对值,计算每一时刻轴承内圈的相对偏转角。然后,将同一时间下的横、纵桥向关节轴承内圈的相对摆动弧度作为球面直角三角形的2条直角边a和b,由于θ为2个直角边夹角,所以cosθ=0,如图8所示。
2025年9期/10.11817j.issn.1672-7207.2025.09.015/alternativeImage/34B94352-9254-4ec8-90F4-141687204CDA-F008.jpg)
根据球面直角三角形余弦定理[25]变形,计算可得斜边c的弧度,公式见式(15)。
2025年9期/10.11817j.issn.1672-7207.2025.09.015/alternativeImage/34B94352-9254-4ec8-90F4-141687204CDA-M023.jpg)
将横、纵桥向轴承内圈摆动角度耦合,得到内圈偏转角-时间历程曲线,如图9所示。计算得到关节轴承一周横桥向与纵桥向摆动角度之和γ为50 173.3°,如式(16)所示。
2025年9期/10.11817j.issn.1672-7207.2025.09.015/alternativeImage/34B94352-9254-4ec8-90F4-141687204CDA-F009.jpg)
2025年9期/10.11817j.issn.1672-7207.2025.09.015/alternativeImage/34B94352-9254-4ec8-90F4-141687204CDA-M024.jpg)
3.3 关节轴承磨损寿命仿真
对短吊索连接件所使用的关节轴承采取有效的密封措施,能够有效隔绝外界水汽。湿度因素对其性能的影响可忽略不计。关节轴的服役条件主要是室温下的低频重载工况,其运行过程中的温度变化所引起的影响较小,所以,未考虑温度影响因素[26]。
将3.1节中编制的8级载荷谱各级均值和幅值输入到Abaqus中的Amp模块中,并将曲线导入Load模块中进行加载,经过仿真计算,得到关节轴承在不同级别载荷谱加载下关节轴承的接触应力云图,如图10所示。1~8级别下轴承衬垫的接触应力云图形状相似,最大接触应力分别为201.6、209.2、213.0、217.3、221.3、225.7、226.5、231.6 MPa。
2025年9期/10.11817j.issn.1672-7207.2025.09.015/alternativeImage/34B94352-9254-4ec8-90F4-141687204CDA-F010.jpg)
不同载荷级别下轴承衬垫的位移云图如图11所示,可见,随着载荷谱级别增加,相同磨损时间下关节轴承衬垫的磨损位移呈逐渐变大趋势。
2025年9期/10.11817j.issn.1672-7207.2025.09.015/alternativeImage/34B94352-9254-4ec8-90F4-141687204CDA-F011.jpg)
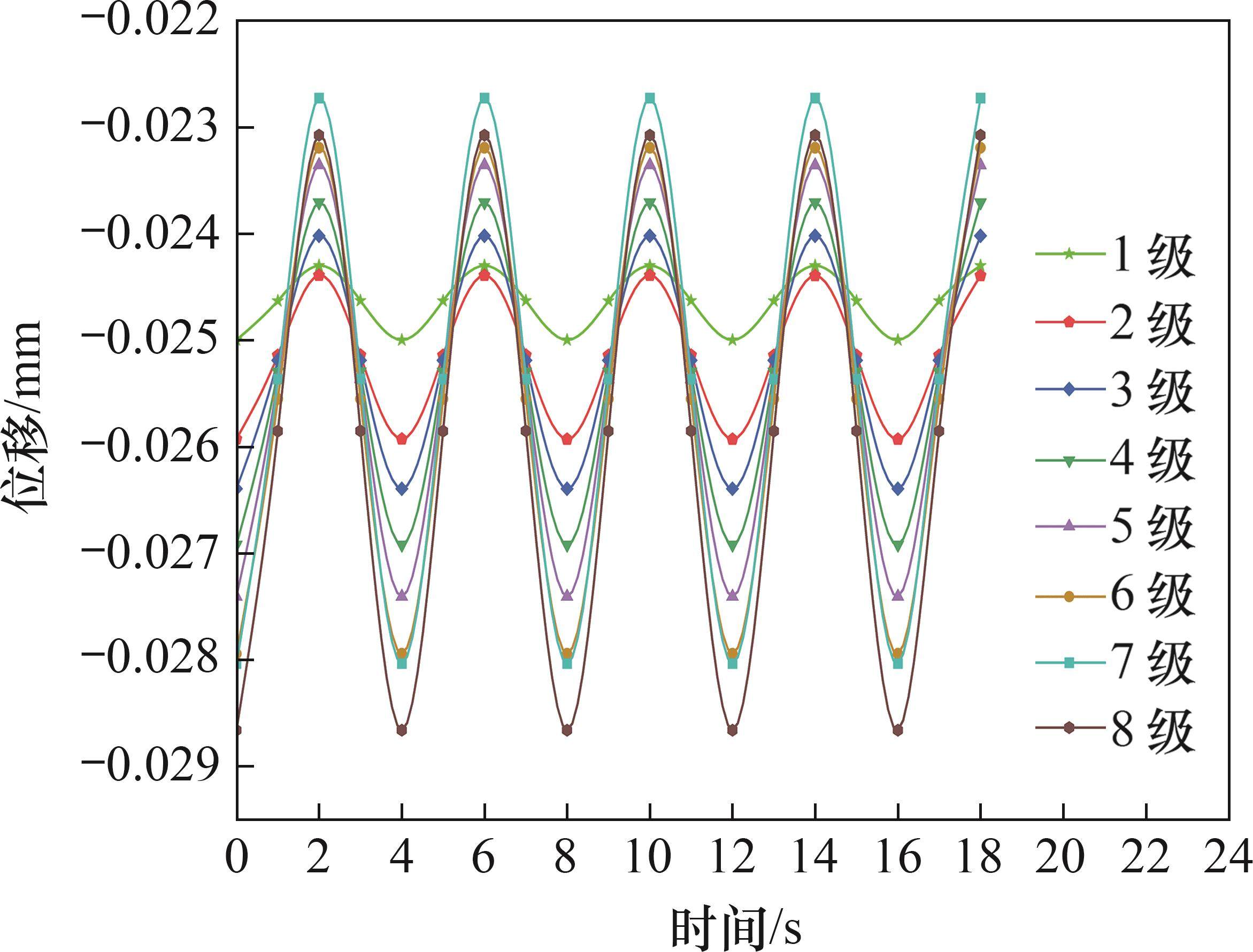
从Abaqus中分别提取不同载荷级别下关节轴承衬垫模型中心点的磨损位移,如图12所示。表4列出了不同载荷级别对应的磨损位移以及各载荷水平出现的频次、比例,计算得到该悬索桥短吊杆连接件使用的自润滑关节轴承衬垫磨损失效约9.68 a。
2025年9期/10.11817j.issn.1672-7207.2025.09.015/alternativeImage/34B94352-9254-4ec8-90F4-141687204CDA-F012.jpg)
| 级数 | 载荷幅值/kN | 载荷均值/kN | 10次摆动磨损位移/mm | 频次/次 | 比例 |
|---|---|---|---|---|---|
| 1 | 13.54 | 945.24 | 0.95×10-6 | 2.342 4×107 | 9.99×10-1 |
| 2 | 29.78 | 965.06 | 1.00×10-6 | 2.317 7×104 | 9.80×10-2 |
| 3 | 46.03 | 966.90 | 1.02×10-6 | 2 815 | 1.20×10-2 |
| 4 | 62.27 | 971.07 | 1.05×10-6 | 618 | 2.00×10-3 |
| 5 | 78.52 | 973.70 | 1.10×10-6 | 85 | 3.00×10-4 |
| 6 | 92.06 | 980.97 | 1.18×10-6 | 13 | 5.54×10-5 |
| 7 | 102.89 | 973.70 | 1.20×10-6 | 1 | 4.26×10-6 |
| 8 | 108.30 | 992.60 | 1.23×10-6 | 3 | 1.28×10-5 |
4 结论
1) 基于自润滑关节轴承的主要磨损位置和零件的材料属性,建立了基于Archard模型的刚柔耦合磨损动力学模型。
2) 建立了基于ALE网格自适应技术和UMESHMOTION子程序的自润滑关节轴承磨损演化仿真模型,获取了关节轴承磨损损伤后的应力分布及磨损量,预测的寿命与机械行业标准JB/T 8565—2010提供的轴承计算寿命相对误差为3.7%,证明了模型的正确性。
3) 针对悬索桥健康监测系统获取的实际工况,建立的评估体系有效融合了实测交变载荷与空间摆动运动特性(横、纵桥向转角),最终定量预测该轴承PTFE织物衬垫的磨损寿命约为9.68 a。
刘一力, 张亚妮, 陈一馨, 等. 基于Archard模型的悬索桥短吊杆连接件自润滑轴承磨损评估方法[J]. 中南大学学报(自然科学版), 2025, 56(9): 3737-3747.
LIU Yili, ZHANG Yani, CHEN Yixin, et al. Wear evaluation method of self-lubricating bearing for short suspender connector of suspension bridge based on Archard model[J]. Journal of Central South University(Science and Technology), 2025, 56(9): 3737-3747.
http://dx.doi.org/10.11817/j.issn.1672-7207.2025.09.015

